Previous Page Table of Contents Next Page


Effect of season, fertilizer application and age of regrowth on mineral content of guinea grass (Panicum maximum, Schum) and Giant Star grass (Cynodon nlemfuensis, Chedda)

E. Kabaija

International Livestock Centre for Africa
P.O. Box 5689, Addis Ababa, Ethiopia

O.B. Smith

Department of Animal Science, University of Ife
Ile-Ife, Nigeria


Introduction
Materials and methods
Results
Discussion
Conclusion
References


Abstract

A study was conducted to evaluate the effect of season (wet/dry), age of regrowth (2, 4, 6, 8, 10, 12 weeks) and fertilizer application (with/without NPK) on the mineral content of Guinea grass and giant star grass. Mineral concentrations in both grasses were significantly affected by the main factors and the age of regrowth effects were often modified by both season and fertilizer effects. The concentrations of potassium and phosphorus and that of copper (only during the wet season) declined with age of regrowth. Fertilizer application resulted in increase of potassium and copper concentrations. The levels of potassium and copper in both grasses were lower during the dry season while those of magnesium, zinc, iron and manganese were higher. Despite these fluctuations, the forages contained adequate amounts of all minerals for livestock requirements except for phosphorus, sodium and copper which were deficient. In production systems where the two grasses constitute the main diet of grazing animals it would be necessary to offer supplementary sodium, phosphorus and copper.

Introduction

All plants depend upon the soil for their supply of mineral nutrients, and grazing ruminant animals obtain the majority of their mineral nutrients from plants grown on these soils. Concentrations of mineral elements in forage are dependent upon the interaction of a number of factors, including soil, plant species, stage of maturity, yield, pasture management and climate (McDowell et al., 1983). Most naturally occurring mineral deficiencies in herbivores are associated with specific regions and are directly related to soil characteristics (Underwood, 1981: McDowell et al., 1983). When mineral nutrients in herbage are marginal in respect of animal requirements, changes in concentrations brought about by climatic, managerial or, seasonal influences as well as plant maturity can be significant factors in incidence or severity of deficiency states by livestock wholly or largely dependent on these plants (Underwood, 1981).

In West Africa, as in the rest of tropical Africa, forages still serve largely as a source of essential elements for grazing animals. Little coordinated research has been done in these areas to identify places of endemic mineral deficiencies and toxicities. Little information is available on the mineral status of grazing animals and of the forages upon which they subsist. Since the mineral status of these forages is a function of multiple factors which interact with one another to produce varied effects, it is vital to investigate how such factors influence the mineral status of different forages in a tropical environment. This study was thus planned to investigate the effect of age of regrowth, season and fertilizer application on the mineral profile of two grasses predominant in the humid zone of West Africa, namely Guinea grass and giant star grass.

Materials and methods

The experiment was conducted at the university of Ife teaching and research farm situated in southwestern Nigeria at coordinates 7°28'N and 4°33'E at an altitude of 240 m above sea level. The average annual rainfall is about 1290 mm and the climate is subhumid. The rainy (wet) season stretches from about April to October while the dry season is from November to March.

Four plots each 10 m x 10 m, two for Guinea grass (Panicum maximum, var. S112, Nchisi, Schum.) and two for giant star grass (Cynodon nlemfuensis var. nlemfuensis, IB8, Chedda) were cut back at heights of 15 and 5 cm respectively during the early wet season and early dry season. On the day of cutting back, one plot for each grass was fertilized with NPK (15-15-15) at the rate of 100 kg/ha. Samples of regrowth cut at a height of 15 and 5 cm for Guinea grass and giant star grass respectively were taken at 2, 4, 6, 8, 10 and 12 weeks after initial cutting back. The samples were harvested from five randomly selected areas (each 1 m² in size). The samples were taken to the laboratory, chopped into pieces, mixed and dried at 85°C over night before being ground in a laboratory stainless steel mill using a one-mm sieve. The dried samples were ashed at 500°C for 8 hours and extracted with 6 M HCl as described by Buchanan-Smith et al. (1964). Potassium and sodium concentrations in the extracts were analysed by flame photometer while calcium, magnesium, manganese, iron, zinc and copper were determined by atomic absorption spectroscopy. Phosphorus concentration was determined by calorimetry (Fiske and Subbarow, 1925).

Soil samples were randomly taken from the unfertilized plots during both seasons and prepared for mineral analysis as described by Black (1965). The mineral concentrations in the extracts were determined using the same procedures described above.

Data on forage mineral content was analysed, as a 2 x 2 x 6 factorial experiment with two fertilizer application levels, two seasons and six ages of regrowth. soil data were subjected to one-way analysis of variance. Significant differences between treatment means were tested with Tukey's procedure (Steel and Torrie, 1960).

Results

The results on soil chemical composition indicated the soil pH was acidic (Table 1). Soil total nitrogen and exchangeable potassium and magnesium concentrations were higher (P<0.01) during the dry season than during the wet season. Available P. Ca, Na and Zn were lower (P<0.01) during the dry season than during the wet season.

Table 1. Chemical composition of soils from experimental site at different periods.



Period of sampling

Early wet season

Late wet season

Late dry season

Mean

SE

Soil pH

5.5

5.4

5.9

5.6

0.18

Soil nitrogen (%)

0.28b

0.31b

0.4a

0.3

0.04

Available P (g/g)

55.5a

15.3b

10.4b

27.1

17.68

Calcium (g/g)

1611.7a

1452

1372.3b

1478.7

87.08

Manganese (g/g)

241.3b

251.3b

287.7a

260.1

17.4

Potassium (g/g)

105.4c

171.9b

212.2a

163.2

38.5

Sodium (g/g)

11.4a

10.6a

8.5b

10.2

1.07

Manganese (g/g)

575

550

525

550

14.7

Iron (g/g)

275a

300

225b

266.7

27.28

Zinc (g/g)

70a

32.5b

12c

38.2

17.30

Copper (g/g)

7.1

6.4

6.1

6.5

0.37

a,b,c in the same row, means bearing different superscripts are different (P<0.01).

Mineral concentrations in both grasses were significantly affected (P<0.0.1) by the main factors. In most cases, the effects of the main factors were dependent on one another. Thus two-way interaction effects were observed for nearly all the minerals. The age of regrowth effects were often modified by both season and fertilizer effects.

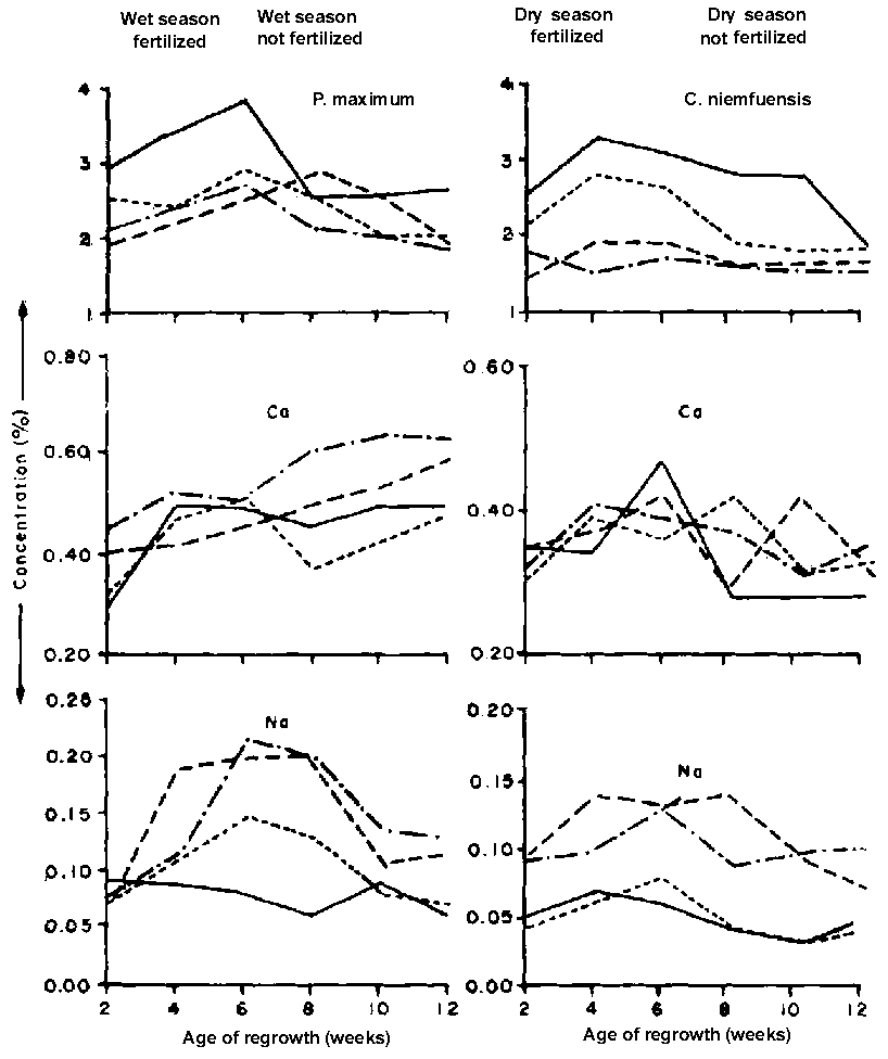
The K concentration in both grasses was higher (P<0.01) during the wet season particularly during the early period of regrowth. With both grasses there was a general decline in K concentration after six weeks of regrowth and the concentration of this element was lowest during the dry season though the differences were narrow towards the end of the regrowth period (Figure 1). The concentration of Na in both grasses increased up to four weeks and thereafter the changes were inconsistent. With both Guinea grass and giant star grass, the concentration of Na was higher during the dry season. There was an increase in the concentration of Ca during both seasons in Guinea grass while in giant star grass the changes were irregular and no overall increase was observed over the whole period. Except for K where lower concentrations of the element were observed in unfertilized plots, fertilizer effect on Na and Ca concentrations were inconsistent.

The concentration of P in Guinea grass during both seasons and in giant star grass during the wet season declined with age of regrowth. No remarkable differences were observed due to either season or fertilizer application (Figure 2). Overall, there was an increase with age of regrowth in the concentration of Mg in Guinea grass during both seasons and in giant star grass during the dry season. The concentration of Mg in both grasses was higher during the dry season. Fertilizer application was associated with higher Mg concentration during the dry seasons in giant star grass while the reverse was observed in the case of Guinea grass.

Figure 1. Potassium, calcium and sodium concentrations of P. maximum and C. nlemfuensis over 12 weeks of regrowth as influenced by season and fertilizer application.

The concentration of Fe in Guinea grass was fairly constant during the wet season but rose sharply with age of regrowth during the dry season. The changes in iron concentration with age of regrowth in giant star grass were inconsistent. Fe concentration was greatly increased by fertilizer application during the dry season. Except for giant star grass during the dry season when there was a decline in concentration with age of regrowth, the Mn concentration in both grasses exhibited slight variations over the 12-week period. In both grasses the concentration of Mn was higher during the dry season. No remarkable differences in concentration of Mn were associated with fertilizer effect (Figure 3). The changes in Zn concentration in Guinea grass during the wet season over the 12-week period were slight while there was a significant increase during the dry season. The concentration of Zn was high in Guinea grass during the dry season and only in unfertilized giant star grass during the same period. There was decline in Cu concentration during the wet season in both grasses with age of regrowth while little variation occurred with age of regrowth during the dry season. Fertilizer application on both grasses during the wet season resulted in higher Cu content.

Figure 2. Magnesium, phosphorus and iron concentrations of P. maximum-and C. nlemfuensis over 12 weeks of regrowth as influenced by season and fertilizer application.

Discussion

Potassium, phosphorus and copper concentrations declined with age of regrowth. With temperate grasses, Whitehead (1966) observed that P content and that of most trace elements in herbage declined with age. Potassium and P declining with age has been reported in tropical forages (Perdomo et al., 1977; Gomide, 1978). This decline may be due to the effect of dilution of these elements in a great quantity of dry matter that is produced and accumulated with advancing age. Gomide (1978) associated the low concentration of P and K in young tissues to their being mobile and thus easily translocated from the oldest tissues to the young ones.

In this study Na and Ca concentrations in both grasses did not change appreciably with increase in age of regrowth at most times. Perdomo et al. (1977) observed that Ca concentration in Guinea grass and Bermuda grass did not change with increasing maturity. They however observed that Na concentration in Guinea grass increased with age. Fleming (1973) observed that Ca levels in forages remained relatively constant with advancing maturity. The concentration of Mg exhibited slight variations with age of regrowth during the wet season but increased during the dry season. Fleming and Murphy (1968) reported that Mg content in temperate grasses exhibited relatively little variation with advance in maturity. On the contrary, Jones (1963) in Zimbabwe noted that Mg levels in Guinea grass decreased with advancing maturity.

Except for Cu. whose concentration declined with age of regrowth during the wet season in both grasses, the changes exhibited by the other trace elements were inconsistent. The decline in Cu concentration with age of regrowth has been earlier reported in temperate grasses (Thomas et al., 1952) and tropical grasses (Gomide et al., 1969). The inconsistencies in changes in trace element concentration observed in this study agreed with the statement by Conrad (1978) that trace minerals in plants may increase, decrease or show no consistent change with stage of growth, plant species, soil or seasonal conditions.

In this study only K and Cu were remarkably affected by NPK fertilizer application. When NPK fertilizer was applied on Guinea grass and giant star grass in central Brazil (Gomide et al., 1969) no effect was observed on any of the minerals studied except Mn, whose concentration increased. Hemingway (1962) found that application of nitrogen fertilizer to grasses increased their Cu content while neither superphosphate nor muriate of potash influenced the Cu content of the herbage. Fleming and Murphy (1968) reported that application of K fertilizers resulted in increased Mg concentration in the herbage while the level of K subsequently increased. In this study, the failure of NPK fertilizer to influence Mg concentration considerably could be due to the combined effect of K and P. as Andrew and Robins (1969) reported that P fertilizer application resulted in increased Mg concentration while K fertilizer caused a reversed effect.

Figure 3. Manganese, zinc and copper concentrations of P. maximum and C. nlemfuensis over 12 weeks of regrowth as influenced by season and fertilizer application.

According to NRC (1978, 1984, 1985) mineral requirement recommendations for cattle and sheep, the two forages were adequate in K, Ca, Mg, Mn, Fe and Zn. The latter element was marginal in Guinea grass during the wet season. The grasses were deficient in P. Na and Cu during both seasons. The Cu deficiency was more severe during the dry season. Low levels of Na, P and Cu in tropical forages have earlier been reported (Oyenuga and Hill, 1966, Ademosun and Baumgardt, 1967). Concentrations of Mn as high as 430 mg/kg that were observed in Guinea grass could probably be detrimental to animal health through interference with metabolism of other minerals (Thomas, 1970). Whether such high levels are of any economic significance in Africa is an aspect yet to be investigated.

Conclusion

A study of the effect of season, age of regrowth and NPK fertilizer application on the mineral profile of Guinea grass and giant star grass indicated significant effects of the main factors, particularly of season and age of regrowth on almost all the elements. The two grasses were adequate in all minerals measured for livestock feed, except for Na, P and Cu. In case the two grasses are exclusively fed to livestock, it is recommendable to supplement with these deficient minerals. Other measures that could be taken to improve the mineral status of these forages include fertilizer application in case of P. Zn and Cu as well as foliar dusting in case of Zn and Cu as long as precautions are taken not to deposit excess amounts of these minerals on the vegetation. Effectiveness of such corrective measures under African field conditions need to be investigated. In both grasses, the Mn and Fe concentrations occurred in quantities far in excess of livestock requirements. It is recommended that further research be done to elucidate any deleterious effects to livestock that might be associated with such high mineral concentrations.

References

Ademosun, A.A. and Baumgardt, B.R. 1967. Studies on the assessment of the nutritive value of some Nigerian forages by analytical methods. Nigerian Agricultural Journal 4:1-7.

Andrew, C.S. and Robins, M.E. 1969. The effect of phosphorus on the growth and chemical composition of some tropical pasture legumes. II. Nitrogen, calcium, magnesium, potassium and sodium contents. Australian Journal of Agricultural Research 20:675-685.

Black, C.A. 1965. Methods of soil analysis. Agronomy No. 9(2). American Society of Agronomy, Madison, Wisconsin.

Buchanan-Smith, J.G., Evans, E. and Poluch, S.O. 1964. Mineral analyses of corn silage in Ontario. Canadian Journal of Animal Science 54:253-256.

Conrad, J.H. 1978. Soil, plant and animal tissues as predictors of the mineral status of ruminants. In: J.H. Conrad and L.R. McDowell (eds), Latin American symposium on Mineral Nutrition Research with Grazing Ruminants. University of Florida, Gainesville, Florida. pp. 143-148.

Fiske, C.A. and Subbarow, Y. 1925. The calorimetric determination of phosphorus. Journal of Biological Chemistry 66:375-400.

Fleming, G.A. 1973. Mineral composition of herbage. In: G.W. Butler and R.W. Bailey (eds), Chemistry and biochemistry of herbage. I. Academic Press, New York. pp. 529-566.

Fleming, G.A. and Murphy, W.E. 1968. The uptake of some major and trace elements by grasses as affected by season and stage of maturity. Journal of British Grassland Society 23:174-185.

Gomide, J.A. 1978. Mineral composition of grasses and tropical leguminous forages. In: Latin American Symposium on Mineral Nutrition Research with Grazing Ruminants. University of Florida, Gainesville, Florida. pp. 32-40.

Gomide, J.A., Noller, C.H., Mott, G.O., Conrad, J.H. and Hill, D.L. 1969. Mineral composition of six tropical grasses as influenced by plant age and nitrogen fertilization. Agronomy Journal 61:120-123.

Hemingway, R.G. 1962. Copper, molybdenum, manganese and iron contents of herbage as influenced by fertilizer treatments over a 3-year period. Journal of British Grassland Society 17:182-187.

Jones, D.I.H. 1963. The mineral content of six grasses from a Hyparrhenia-dominant grassland in Northern Rhodesia. Rhodesia Journal of Agricultural Research 1:33-38.

McDowell, L.R., Conrad, J.H., Ellis, G.L. and Loosli, J.K. 1983. Minerals for grazing ruminants in tropical regions. University of Florida, Gainesville, Florida.

NRC (National Research Council). 1978. Nutrient requirements of domestic animals. Nutrient requirements of dairy cattle. Fifth edition. National Academy of Sciences, Washington, D.C.

NRC. 1984. Nutrient requirements of domestic animals. No. 5. Nutrient requirements of beef cattle. Fifth edition. National Academy of Sciences, Washington, D.C.

NRC. 1985. Nutrient requirements of domestic animals. Nutrient requirements of sheep. Sixth edition. National Academy of Sciences, Washington, D.C.

Oyenuga, V.A. and Hill, D.H. 1966. Influence of fertilizer application on the yield, efficiency and ash constituents of meadow hay. Nigerian Agricultural Journal 3: 6-14.

Perdomo, J.T., Shirley, R.L. and Chicco, C.E. 1977. Availability of nutrient minerals in four tropical forages fed freshly chopped to sheep. Journal of Animal Science 45:1114-1119.

Steel, R.G.D. and Torrie, J.H. 1960. Principles and procedures of statistics. McGraw Hill Book Co., New York.

Thomas, J.W. 1970. Metabolism of iron and manganese. Journal of Dairy Science 53:1107-1123.

Thomas, B., Thompson, A., Oyenuga, V.A. and Armstrong, R.H. 1952. The ash constituents of some herbage plants at different stages of maturity. Experimental Agriculture 20:10-22.

Underwood, E.J. 1981. The mineral nutrition of livestock. 2nd edition. Commonwealth Agricultural Bureau, London.

Whitehead, D.C. 1966. Nutrient minerals in grassland herbage. Pub. 1/1966. Commonwealth Bureau of Pastures and Field Crops, Commonwealth Agricultural Bureau, London.


Previous Page Top of Page Next Page