Previous Page Table of Contents Next Page


Caractéristiques de reproduction des femelles ovines de race Barbarine - characteristics of reproduction of the Barbary sheep females


Résumé
Abstract
Introduction
Reprise de l'activité sexuelle post-partum
Rupture de l'anoestrus saisonnier par effet bélier

G. Khaldi et N. Lassoued
Institut national de la recherche agronomique de Tunisie
2080 Ariana (Tunisie)

Résumé

Les résultats de cette étude montrent que les brebis adultes de race Barbarine sont caractérisées par Une longue saison sexuelle qui commence en juillet et se termine en février (242 jours). L'intensité de leur anoestrus saisonnier (printemps) est relativement faible: les pourcentages de brebis ovulant ou extériorisant un comportement d'oestrus au moins une fois par mois ne sont jamais inférieurs à 75 et 25%. respectivement.

Les possibilités de reproduction des jeunes femelles nées à l'automne sont plus limitées. Atteignant leur puberté à l'âge de 10 mois, leur saison sexuelle ne dure qu'une centaine de jours (septembre-décembre).

Le rétablissement des activités ovarienne et oestrale post-partum des brebis allaitantes n'est pas immédiat. La précocité dépend essentiellement de la saison des agnelages. En effet, si l'intervalle parturition-première ovulation n'est que de 17 jours en moyenne chez les femelles agnelant au mois d'octobre, il est environ deux et trois fois plus long lorsque les mises-bas ont lieu aux mois de juin et de février respectivement. De même, la durée de l'anoestrus post-partum (intervalle parturition-premier oestrus) est de l'ordre de 60, 75 et 100 pour les mises-bas d'octobre, juin et février respectivement.

La simulation de l'activité ovarienne des femelles en anoestrus saisonnier par effet bélier est très intense. L'ovulation est induite chez 98% des brebis et 75% des antenaises. Les pourcentages de femelles dont le premier cycle ovarien est de courte durée (6 jours) sont de 25 et 35 chez les deux catégories respectivement.

La sous-alimentation prolongée des brebis pendant la gestation et la lactation a des répercussions néfastes sur leurs caractéristiques de reproduction, même quand elles vent suralimentées entre le tarissement et la lutte.

Abstract

The results of this study show that the adult Barbary ewes are characterized by a long sexual season which begins in July and ends in February (242 days). The intensity of their seasonal anoestrus (spring) is relatively low: the percentages of ewes ovulating or displaying oestrus at least once a month are never lower than 75 and 25 %, respectively.

The possibilities of reproduction of the young females born during autumn are more limited. Reaching their puberty at the age of 10 months, their sexual season is not longer than 100 days (September-December).

The restoration of the post-partum ovarian and oestrous activities is not immediate. Its precocity depends essentially on the lambing season. In fact, if the first postpartum ovulation occurs approximately 17 days after parturition in the October lambing ewes, this interval is twice and three times longer-for those lambing in June and February, respectively. On the other hand, the duration of the postpartum anoestrus (interval between parturition and the first oestrus) is about 60, 75 and 100 days when lambing occurs in October, June and February, respectively.

The stimulation of the ovarian activity of the seasonal anoestrous females in spring by the ram effect is very intensive. Ovulation is induced in 98% of adult ewes and 75 % of yearlings. The first induced induced ovarian cycle is of a short duration (6 days) in 25 and 35 % of the two categories of females, respectively.

The prolonged undernutrition of ewes during pregnancy and lactation impairs some of their reproductive characteristics even when they are overfed between weaning and joining.

Introduction

Variations saisonnières de l'activité ovarienne et du comportement d'oestrus cyclique

L'étude est réalisée à la station expérimentale de Bou Rébiâa (36°38' nord et 10°07' est), située à 25 km au sud-est de la ville de Tunis, sur 25 brebis adultes âgées de 4 à 5 ans et 26 agnelles (nées en automne) âgées de 5 mois au début de l'expérience. Toutes les femelles sont de race Barbarine à tête rousse. En plus du pâturage, elles reçoivent une complémentation composée de foin ou d'ensilage et d'aliment concentré dont les quantités varient selon la saison. Elles subissent une détection biquotidienne de chaleurs à l'aide de béliers entiers et des endoscopies tous les 17 jours pendant 15 mois.

Résultats

Saison sexuelle

Le début de la saison sexuelle des agnelles nées en automne se situe pendant la première moitié du mois de septembre de l'année suivante (figure 1). Agées alors de 10 mois, ces agnelles ont un poids vif moyen de 34,7 kg. Leur saison sexuelle est courte puisque la date moyenne du dernier oestrus est le 3 décembre. Sa durée moyenne est de 104 jours.

La saison sexuelle des brebis adultes est significativement plus longue (P<0,01), la date moyenne du premier oestrus se situant pendant la première quinzaine du mois de juillet et celle du dernier oestrus pendant la deuxième quinzaine du mois de février. Sa durée moyenne est de 242 jours.

L'intensité de l'anoestrus saisonnier est également en rapport avec l'âge des femelles. En effet, 25 à 40% des brebis continuent à extérioriser un comportement d'oestrus au printemps alors que l'arrêt de l'activité oestrale est quasi total chez les agnelles pendant la même période.

Activité ovarienne

Quel que soit l'âge des femelles, il existe une dissociation oestrus-ovulation. Des ovulations silencieuses se produisent tout au long de l'année mais plus particulièrement avant le début de la saison sexuelle, après l'arrêt du comportement d'oestrus cyclique et en avril-mai.

Le taux d'ovulation reste faible (1,08) et relativement constant chez les agnelles. En revanche, il existe une variation saisonnière importante chez les brebis adultes. Chez celles-ci, le taux d'ovulation passe par un maximum en septembre octobre (1,60) et un minimum en mars-avril (1,10).

Figure 1. Pourcentage de brebis avant au moins un oestrus OU une ovulation Dar mois.

En considérant une période de un an (1er juillet-30 juin), le taux moyen d'ovulation des brebis (1,32) est significativement plus élevé (P<0,05) que celui des agnelles (1 ,08).

Le taux d'ovulation est plus faible lorsque l'ovulation est silencieuse. C'est ainsi que chez les brebis et les agnelles, il passe respectivement de 1,16 et 1,05 dans le cas des ovulations silencieuses à 1,38 et 1,12 lorsque les ovulations sont accompagnées de comportement d'oestrus.

Reprise de l'activité sexuelle post-partum

131 brebis de race Barbarine à tête rousse sont utilisées pour cette expérience à la station expérimentale de Bou Rébiâa. 53 agnèlent entre le 14 et le 30 octobre, 35 entre le 12 et le 26 février et 43 entre le 2 et le 28 juin. Pour chacune de ces périodes, la prolificité moyenne est de 120, 140 et 126% respectivement. Toutes les brebis sont adultes (3-5 ans) et leur poids vif moyen 48 heures après parturition est proche de 50 kg. A chaque saison d'agnelage, le tarissement des brebis est effectué pour la moitié des femelles à 45 jours post-partum et pour l'autre à 90 jours, à l'exception de l'agnelage du mois d'octobre, où un troisième groupe est tari 48 heures après la mise-bas.

En plus des pâturages, les brebis reçoivent du foin de vesce-avoine à volonté et 300 9 d'aliment concentré/tête/jour.

L'activité ovarienne des brebis est contrôlée par endoscopie tous les 17 jours et la détection des chaleurs est biquotidienne.

Résultats

Influence de la durée d'allaitement

Quelle que soit la saison d'agnelage, la durée de l'allaitement (45 ou 90 jours) n'a aucune influence significative sur la reprise de l'activité ovarienne post-partum des brebis. Par ailleurs, le tarissement des femelles 48 heures après la parturition n'entraîne pas une diminution significative de l'intervalle mise-bas-première ovulation (tableau 1).

Tableau 1. Influence de la durée d'allaitement et de la saison de mise-bas sur l'intervalle parturition- 1re ovulation (j)

Durée d'allaitement

Mois de mise-bas

Février

Juin

Octobre

2 jours

-

-

15,1 ± 5,5

45 jours

43,4 ± 19,8

30,3 ± 14,9

16,5 ±9,1

90 jours

51,4 ± 14,8

33,3 ± 9,8

17,6 ± 8,1

Pour une saison donnée d'agnelage, la date du tarissement par rapport à la parturition (45 ou 90 jours) n'a aucune conséquence sur les proportions de femelles ayant présenté au moins un oestrus pendant les huit mois qui suivent la mise-bas et sur l'intervalle moyen parturition-premier oestrus de ces brebis pendant la même période (tableau 2). En revanche, le tarissement très précoce (48 heures après la mise-bas) au mois d'octobre réduit d'environ 25 jours la durée de l'anoestrus post-partum.

Influence de la saison d'agnelage

Que la durée d'allaitement soit de 45 ou de 90 jours, la saison d'agnelage a une influence considérable (P < 0,01 ) sur l'intervalle parturition-première ovulation. En effet, si cet intervalle n'est que de 17 jours en moyenne chez les brebis agnelant au mois d'octobre, il est environ deux fois (32 jours) et trois fois (47 jours) plus long pour les femelles agnelant respectivement aux mois de juin et de février.

Tableau 2. Pourcentages de brebis présentant au moins un oestrus moins de 240 jours après parturition et durée de l'intervalle mise-bas-premier oestrus (j)

Durée de l'allaitement

Mois de mise-bas

Février

Juin

 

Octobre

2 jours

%

-

-

100

Durée

-

-

32,1 ± 12,9

45 jours

%

82,3

100

100

Durée

97,7 ± 12,4

73,5 ± 21,4

59,0 ± 24,9

90 jours

%

77,7

90,0

77,7

Durée

103,9 ± 8,2

76,2 ± 30,3

60,0 ± 49,7

La première ovulation est silencieuse chez 95% des brebis et ceci quelle que soit la période de mise-bas.

La durée d'allaitement (45 ou 90 jours) ne modifiant pas la reprise du comportement d'oestrus cyclique pendant la période post-partum, l'influence de la saison de mise-bas a été étudiée en considérant l'ensemble des femelles de chaque groupe.

Les pourcentages de femelles présentant au moins un comportement d'oestrus pendant la période d'observation de huit mois sont respectivement de 90,3,85,7 et 80,0 pour les agnelages d'octobre, de juin et de février (P<0,05). Pour ces femelles, l'intervalle moyen parturition-premier oestrus est de l'ordre de 60, 75 et 100 jours respectivement.

Rupture de l'anoestrus saisonnier par effet bélier

Cette étude est réalisée à la station expérimentale d'Ousseltia (35°51' nord et 9°35' est), située à 160 km au sud-ouest de la ville de Tunis. Elle est menée sur 160 brebis adultes (5,1 + -1,6 ans) et 40 antenaises (1,5 + 0,1 an) de race Barbarine à tête rousse. Toutes les femelles sont sèches et complètement isolées des mâles. Ces derniers sont introduits dans le troupeau à la fin du mois d'avril à raison d'un bélier pour 10 femelles. Tous les animaux sont conduits sur des parcours naturels sans aucune complémentation.

Le contrôle d'oestrus est biquotidien et l'activité ovarienne est étudiée par coelioscopie des ovaires le jour de l'introduction des mâles et neuf jours plus tard.

Résultats

Activité ovarienne

L'âge des femelles a une influence hautement significative (P<0,01) sur leur activité ovarienne spontanée avant l'introduction des mâles dans le troupeau (tableau 3). En effet, environ 50% des brebis contre 22,5% des antenaises ont des corps jaunes le jour de l'introduction des béliers.

Tableau 3. Pourcentages de femelles cycliques avant /'introduction des mâles

Catégorie

Nombre de femelles

Femelles cycliques

Nombre

%

Brebis

160

81

50,6

Antenaises

40

9

22,5

La stimulation de l'activité ovarienne des femelles non cycliques par effet mâle est très intense (tableau 4). L'ovulation est induite chez la quasi-totalité des brebis : (97,5%) et les trois quarts des antenaises (74,2%). La différence entre les deux catégories de femelles est hautement significative (P<0,01). L'ovulation induite apparais au cours des trois premiers jours de lutte.

Tableau 4. Pourcentages de femelles non cycliques dont l'ovulation est induite par effet mâle

Catégorie

Femelles non cycliques

Femelles ovulant

Nombre

%

Brebis

79

77

97,5

Antenaises

31

23

74,2

Quel que soit l'âge des femelles, la durée du premier cycle ovarien n'est pas toujours normale. La proportion de femelles dont le premier cycle ovarien est de courte durée (6 jours) est de 23,4% pour les adultes et de 34,8% pour les antenaises (différence non significative).

Comportement d'oestrus

Parmi les femelles ayant ovulé à la suite de l'introduction des béliers, 87,0% des brebis et 73,9% des antenaises extériorisent Un comportement d'oestrus au cours des 26 premiers jours de lutte. Quel que soit l'âge de ces femelles, le comportement d'oestrus apparaît vers le 1 7e jour lorsque le premier cycle ovarien est normal et vers le 23e jour lorsque ce dernier est de courte durée.

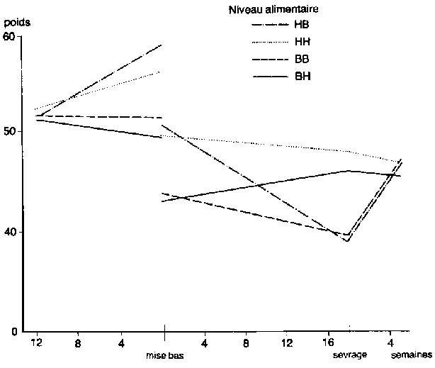
Influence du niveau alimentaire sur la réponse des brebis à l'effet mâle

110 brebis adultes de race Barbarine ayant Un poids vif moyen de 51 kg sont réparties en 2 lots Haut (H) et Bas (B) pendant les 12 dernières semaines de gestation et en 4 sous-lots pendant les 18 semaines d'allaitement (HH, HB, BH et BB) selon leur niveau alimentaire:

· lot HH: haut avant et après mise-bas
· lot HB: haut avant mise-bas et bas après
· lot BH: bas avant mise-bas et haut après
· lot BB: bas avant et après mise-bas

Les agnelages ont lieu au mois d'octobre. Après le sevrage (28 février), le poids vif moyen des brebis des quatre lots est ramené à une valeur sensiblement identique (47 kg environ) à la date d'introduction des béliers (30 avril).

La détection des chaleurs est biquotidienne et l'activité ovarienne des brebis est contrôlée par une série d'endoscopies à J1, J4, J9 et 8 à 12 jours après la date d'apparition du premier oestrus. :

Résultats

Les variations du poids vif des brebis sont représentées dans la figure 2.

Activité ovarienne

La sous-alimentation à long terme avant et/ou après la mise-bas réduit de moitié le pourcentage de femelles cycliques avant l'introduction des béliers (tableau 5).

Tableau 5. Pourcentages de brebis cycliques avant l'introduction des mâles

Lots

Nombre de femelles

Femelles cycliques

Nombre

%

HH

32

21

66

HB

26

8

31

BH

31

11

35

BB

21

7

33

L'ovulation est induite chez la totalité des femelles non cycliques des quatre lots dans les quatre jours qui suivent l'introduction des mâles (tableau 6). La sous-alimentation des brebis pendant la gestation et/ou la période d'allaitement ne semble donc pas affecter leur réponse à l'effet bélier à condition de les bien nourrir entre le sevrage et la lutte. La sous-alimentation avant et/ou après la mise-bas augmente le pourcentage de cycles ovariens de courte durée qui est plus élevé dans les lots BH (75%), HB (67%) et BB (79%) que dans le lot HH (45%).

Figure 2. Evolution du poids vif du brebis

Tableau 6. Réponse à l'effet mâle et pourcentages de cycles courts

Lots

Nombre

Femelles ovulant

Cycles courts

N

%

N

%

HH

11

11

100

5

45

HB

18

18

100

12

67

BH

20

20

100

15

75

BB

14

14

100

11

79

Performances de reproduction

Le taux d'ovulation induite varie entre 1,27 (HH) et 1,79 (BB). AU premier oestrus, ce taux varie entre 1,12 (HB) et 1,36 (HH).

Le tableau 7 montre que la sous-alimentation prolongée de part et d'autre de la mise-bas provoque une diminution sensible de la fertilité des brebis, même si elles sont suralimentées après le sevrage.

Tableau 7. Taux d'ovulation et fertilité des brebis (%)

Lots

Ovul. induite

1er oestrus

Fertilité

HH

1,27

1,36

91

HB

1,35

1,12

94

BH

1,50

1,30

100

BB

1,79

1,31

77


Previous Page Top of Page Next Page