Previous Page Table of Contents Next Page


SECTION 4. EFFORT AND CATCH PER UNIT EFFORT


4.1 Introduction
4.2 The mathematical formulation
4.3 Fishing time
4.4 Fishing power
4.5 Distribution of fishing
4.6 Several gears
4.7 Exercises


4.1 Introduction

These two quantities may be conveniently treated together. Both provide indices related to important quantities - the fishing mortality and the density of the exploited stock. If the total catch is known (as it generally is), then if either effort or catch per unit effort is known the other can be calculated at once. Though catch per unit effort is usually a derived quantity obtained from the independent values of catch and effort, these data need not relate to an entire fishery and in practice the catch per unit is often obtained from data from some part of a whole fishery, and the total effort is estimated from it.

A distinction must be made between the use of effort data to study the stocks of fish, as described in this manual, and the use of data on the amount of fishing to study the input of the fishery in economic terms. Over a short period both may be measured by the same set of figures, say days at sea, but if there are technical improvements in the fishery then the statistics of the amount of fishing should be adjusted in different ways. For instance, suppose the introduction of sonar equipment doubles the fishing power, and hence on the average doubles the catch per day of a purse-seiner. Then to the biologist the effort exerted per day fishing has doubled, and the statistics of days fishing should be adjusted accordingly; to the economist the input is increased only slightly, to allow for the cost of the sonar equipment.

Though the catch per unit effort will rarely be exactly proportional to the stock density, it is often essential to have some measure of the stock, and the catch per unit will nearly always be the best available - better than for example, total catch. As research into the fishery develops, requiring better indices of stock magnitude so, in general will the measure of catch per effort become better, being refined by taking into account the spatial distribution of fishing, differences in the fishing power of vessels, etc.

In some situations a satisfactory measure of stock density (and hence an index of catch per unit effort) can be obtained quite independently of catch and effort data. This index can then be used, by dividing into the figure of the total catch, to provide an index of total effort. For instance, recent developments in surveying techniques using sonar and echo-sounding suggest that for some pelagic fisheries, in which normal catch and effort data are often difficult to interpret, the most reliable index of density will be derived from echo- or sonar-survey data, expressed say, as so much trace per mile steamed. The corresponding index of effort is then the catch divided by the index of density, i.e. tons caught per unit trace.

4.2 The mathematical formulation

The relations between catch, effort and stock density are clear for the operations of a single unit on a uniform density of fish, e.g. a trawl which may be considered as taking at each haul a fixed proportion of the fish present. Then the catch per operation is proportional to the stock density, and the number of operations is proportional to the mortality caused.

Mathematically, if the catch of one operation is proportional to the stock density

D C = q · D f · N/A ....................(4.1)

where D C = catch of one operation

q = constant
D f = fishing effort exerted by unit operation
N = mean stock abundance
A = area inhabited by the stock

The catch, in numbers, is equal to the number of deaths due to fishing, which, in the following section, will be shown to be written conveniently in terms of instantaneous rates

where F == fishing mortality coefficient

or, in terms of short intervals

D C = - (D N) fishing = FN D t

Therefore,

q D f · N/A = FN D f................... (4.2)

and

i.e., the fishing mortality coefficient is proportional to the fishing intensity, where the fishing intensity is defined as the fishing effort per unit area, per unit time.

This may be written

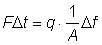
and if q and A are constant, adding up over a period length t

where f is the total fishing effort during the period or

F = q

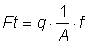
F = q · f/At ....................... (4.3)

== q × fishing intensity

In practice A, the area inhabited by the stock will be constant, and over a fixed time period, say one year, we can write

F = q' f .........................(4.4)

where q' = constant, and this is the form in which the relation between fishing mortality and fishing effort is usually expressed.

The basic equation (4.1) for the single operation can be written in terms of catch per unit effort

or, again assuming q and A are constant, averaging over a period

.....................(4.5)

where, are the average abundance and density during the period. Therefore catch per unit effort is proportional to the density, but again, if A is constant then catch per unit effort will also be proportional to the abundance.

These calculations, which express for all the operations during some period the fishing effort as an index of mortality or the catch per unit effort as an index of density, require that all the operations are expressed in standard units, i.e. that the constant q in equation (4.1) should be the same for all operations. A simple form of operation is a day at sea of a single boat, so that a simple measure of effort is the number of days at sea, and of catch per unit effort, the catch per day at sea. In attempting to improve this simple measure, we are concerned with how, during an average day at sea a greater or lesser proportion of the stock can be caught. As usual, small short-term fluctuations are generally irrelevant for the purposes of this manual, the important factors being those causing long-term trends.

The catch per day at sea of a ship can be increased for a given stock density:

(a) Because during actual fishing time more fish are caught (the fishing power of the ship is increased).

(b) Because more actual fishing time is spent per day; in addition, since the distribution of a stock is never completely uniform, but there are local concentrations of higher density than the average, another possibility is

(c) Because the ship operates in local areas of greater density.

Standardization of fishing effort data therefore depends on determining whether there are appreciable variations (especially trends) in effective fishing time, fishing power, or distribution of the fleet, and if so making the necessary standardization of the appropriate component of the total fishing effort. The precise method of standardization is best determined after the changes, or likely changes have been identified. For instance, for trawlers it is well known that the fishing power increases with both size (tonnage) and horsepower. If the composition of a trawler fleet does not change, even though there are both large and small vessels, then there is no immediate need to standardize. But if there are changes, and the average sizes, or power of the ships increase, then some standardization must be done. If the change is a matter of new ships being built which are both bigger and more powerful, then the standardization might be in terms either of tonnage, or horsepower (or possibly some other index of size or power) whichever is most convenient. If the changes are a matter of putting bigger engines into existing vessels, then standardization must be in terms of horsepower (or other index of engine size).

4.3 Fishing time

Standardization of fishing time may be approached by subtracting from the basic data of days at sea the periods which are not directly occupied with catching or locating fish. These include:

(a) Time lost through bad weather.
(b) Time steaming to and from the fishing grounds.
(c) Time during which the gear is being prepared for fishing, but is not actually in operation.
(d) Time spent handling the catch, after it has been caught.

The proportions that these elements of the nonproductive time form of the total time at sea will vary for various reasons. Bad weather may be expected to fluctuate randomly, and may often be ignored, but bigger or better designed vessels may be able to fish in worse conditions and therefore lose less time.

Steaming time will be reduced by the use of faster vessels, but may increase as the nearer grounds are depleted, and the ships have to go further afield (in this case catch per day on the grounds might provide the better index of fish density on the grounds fished, but catch per day at sea a better index of general stock abundance).

Changes in the time lost handling the gear or the catch may be important, especially when correlated with stock abundance. At high levels of stock much time may be lost handling the catch, or in making only short trawl hauls (with proportionately much less time with the gear on the bottom), so that changes in the catch per day on the grounds (or day fishing) will tend to underestimate changes in the stock density.

The productive time will include:

(a) Time on the fishing grounds, searching for fish, and
(b) Time when the gear is in operation, catching fish.

The relative importance of these two aspects of fishing time will depend on the type of gear. At one extreme is whaling, where the gear (harpoon) is only in operation for a very short time, and the important measure is the time spent searching for whales. At the other extreme, bottom trawlers spend little time searching and the important measure is the time for which the gear is on the bottom, catching fish. For some gear, e.g. purse-seines, it may not be clear which measure, fishing time or searching time, or combination of both, should be used, and for these gears it may be best to take as the basic unit of fishing time the time on the grounds (expressed as days or hours). Such statistics should then be supplemented by detailed log-book records (possibly for only a sample of the fleet) on how the total time on the grounds is spent - searching, preparing the gear, actual catching, handling the catch - with the expectation that later analysis and a fuller understanding of how the fishery operates may help to derive a better index of fishing time.

For some gear, e.g. long-lines, gill-nets, which, like trawls, catch more or less continuously, the efficiency of operations changes with changing duration of the operation. Thus a long-line set for twelve hours may catch more than one set for six hours, but not twice as much. This effect may be considered as a change in fishing power, or in effective fishing time, but the relevant information is best collected in terms of fishing time. If the average duration of set is unchanged, the effect may not be important, though in some fisheries the extent of the effect depends on the abundance of the stock; thus an extreme example is a scallop dredge, which may in some fisheries fill up and cease to catch any more after perhaps twenty minutes, even though towing is continued for half an hour or more. Fishing time for such gears is then best collected in a convenient form (say number of sets), and an adjustment made for any change in the average duration of set, or for any effect of gear saturation.

4.4 Fishing power

The fishing power of a particular gear, i.e. the catch it takes from a given density of fish per unit fishing time (in the units of fishing time appropriate to that gear), can be thought of in two parts

(a) The extent (area or volume of water) over which the influence of the gear extends, and within which fish are liable to be caught (= a say).

(b) The proportion of the fish within this area which are in fact caught (= p say).

Clearly if fish or fishing were randomly distributed, then the proportion of the total stock within the area of influence would be a/A, and the catch would be pa/A × N. That is, the product p × a/A would give a direct measure of the fishing mortality (see section 5.3).

Improvements to fishing techniques can affect either quantity. For instance, for purse-seiners the area of influence can be increased by better searching - faster ships, use of advanced detection equipment etc. - while the proportion of the population in this area that can be taken may be increased by the use of a larger net, or by some of the sonar equipment.

Changes in fishing power are least important in stationary gears, traps, lines, etc., where the basic unit of gear - the single lobster pot, or the baited hook - does not change much, and the fishing power of the individual vessel is increased by carrying more pots, or using more hooks. The effort can therefore be readily expressed in standard terms as number of pots, or number of hooks, etc. multiplied by a suitable measure of fishing time (which will often be one operation, adjusted if necessary to a standard duration of operation).

The fishing power of the more active gears - trawls, purse-seiners, etc. - are more likely to change with improvements in the vessel or gear. For instance the average size of United Kingdom trawlers fishing at Iceland has almost doubled during the past thirty years, and probably also the size of net has increased, though the data on the details of the gear used are not as good as the vessel data. In this fishery, and in some other trawl fisheries analysed in detail, the fishing power has been shown to be closely proportional to the gross tonnage of the trawler or to the horse power of the engine. Tonnage or horse power is therefore a convenient index of fishing power, and fishing effort data may be expressed in standard terms such as ton-hours (i.e. hours fishing times average tonnage of the vessels).

For purse-seiners also large vessels catch more than small vessels, but the catch goes up less than proportionately to tonnage. Thus for the United States tuna fishery in the eastern Pacific correction factors have been used for each size category of vessel to adjust their effort to that of vessels between 100 and 200 tons; these factors ranged from 0.60 for vessels less than 50 tons to 1.37 for vessels over 200 tons.

For this type of gear, it is best, if there have been appreciable changes in the fleet during the period of study, to take one vessel, or group of vessels as standard, and determine from catch records the fishing power of other vessels, or group of vessels, relative to the standard vessel. The fishing effort for the fleet as a whole can then be expressed in standard terms.

4.5 Distribution of fishing

When the fishing power and fishing time have been fully standardized, the resulting catch per unit effort will be proportional to the average density at the positions fished, the average being weighted according to the amount of fishing at each place. This average density will almost certainly be greater than the true average density, because most fishing will be done on the grounds giving good catches. The catch per unit effort will, however, still be a valid index of the density so long as the ratio of the true density to the density weighted by the amount of fishing remains constant. The difference between the true average density and the average density taken over the positions fished may be considered in two parts, corresponding to fishing tactics - getting the best catch on a particular ground - and fishing strategy - making the best choice of grounds taking into account such things as different steaming time to different grounds, the different species composition on the grounds, and the different prices for different species, etc. On any given fishing ground, which for the North sea trawl fisheries may be thought of as say ten miles across, the distribution of fishing will be determined solely by the fishermen's ability to find the small local concentrations of fish. The density in the unfished parts of the fishing ground will be unknown, but the ratio of the density in the fished areas to the average density will generally be constant, at least over a short period. Over a longer period the introduction of new devices may permit the fishermen to concentrate more effectively on the fish, either directly (echo sounding) or by more accurate navigation (e.g. Decca, radar or echo sounding). These improvements may be most easily considered and analysed as changes in the fishing power of the fishing unit (vessel, plus fishing gear plus other gear). To the first approximation, though, we may write, for any one fishing ground, from equation (4.5)

.............................. (4.6)

where C == catch, f = effort

q, q1 are constants

and = density, weighted by amount of fishing

D = true average density on that ground

A unit stock will usually be distributed over several fishing grounds and the ratio of total catch to total effort will be equal to the weighted mean of the catches per unit effort in the various grounds, weighted by the effort on each ground, i.e.

where C, f are the total catch and effort, and Ci, fi the catch and effort in a particular fishing ground.

Since the distribution of fishing is likely to vary from year to year due to changes in the relative abundance of different stocks, etc., these weighting factors will vary, and the ratio of the total catch per unit effort to stock abundance will also vary (unless the density of fish on all grounds is the same).

However, from equation (4.6) we can for any fishing ground, i, whose area is Ai say, express the number of fish as

If the whole range of the stock can be subdivided into regions, within each of which equation (4.6) can be applied, then by adding, the total number in the stock is

If qi is constant = q for all grounds, then

....... (4.7)

where

A == S Ai

i.e. the density is the weighted mean of the catches per unit effort in each subregion, the weighting factors being the areas of the regions. If all the areas are of equal size, this reduces to

The effective total effort (that is, the measure of effort which will remain proportional to the fishing mortality regardless of changes in the distribution of fish and fishing) can be derived from equation (4.7) by dividing into the total catch, i.e.

These formulae also allow density indices to be obtained for any particular subgroup of the population, e.g. an age group. If the density index for the entire population is given by total catch divided by total effort, then the index for a given age group is found by dividing the number landed of that age group (see section on sampling) by the total effort. Otherwise the index is obtained by raising the number of each age in a unit weight by the weight caught per unit effort. If there are marked differences in composition between different regions of the stock then the density indices will have to be obtained for each region separately, and the index for the whole stock obtained by weighting up by the areas of each region. The size of these regions should be small enough to ensure uniform composition within them, but in general should be larger than the separate grounds, which, as discussed earlier, are used in giving the overall density index.

The analysis of catch and effort data by small areas is particularly valuable when more than one species is being exploited, each species living in slightly different, but perhaps overlapping, parts of the whole fishing region. The proportion of a given species in the catch will therefore, depend as much on where the catch was made, as on the abundance of that species. Within a sufficiently small subarea, however, the proportion of a given species in the catch will be more nearly constant, and unaffected by the precise fishing position.

Another method of analysing fishing effort data on mixed species is possible when any one landing can be allocated according to the species which was the main objective of that trip - for example German trawlers fishing at west Greenland land during the year roughly equal quantities of cod and redfish, any one landing however usually consists predominantly of cod or of redfish. The stock density of cod will then be estimated from the catch per unit effort of those trawlers fishing specifically for cod, and the density of redfish from the catches of those fishing for redfish. (Another method is discussed by Ketchen in International Council for the Exploration of the Sea, 1964 b.)

4.6 Several gears

When more than one group of vessels is exploiting a unit stock - e.g. otter trawlers and longliners, or vessels from several countries - it will usually be difficult or impossible to express the effort statistics from all vessels in the same units, and thus to obtain directly a figure for total effort. One single fleet (A) may therefore be taken as standard, and its catch per unit effort taken as the best index of density, and total effort estimated as

Total effort =

If reasonable effort statistics are available from more than one fleet it is best first to calculate catch per unit effort figures for each fleet separately, and then compare the year-to-year changes in the indices of abundance thus obtained. If each separate index follows much the same trend, then this is some confirmation that each is a fair measure of the abundance (the degree of confirmation increases with the diversity of the fleets concerned, e.g. it is more encouraging if data from trawlers and long-liners agree, than if two trawl fleets agree). Conversely, if there is a discrepancy between two sets of catch per unit effort figures, then one, and possibly both, is not a good measure of abundance. Before using either set of data the methods of obtaining them must be examined to see where the discrepancy might arise (e.g. one fleet has included an increasing number of new and powerful vessels, not taken account of in the effort statistics used). If two or more fleets give consistent indices of catch per unit effort, then a single pooled index of catch per unit effort (and hence of total effort) can be conveniently obtained by expressing the index for each fleet as a percentage of some standard year, or period of years.

4.7 Exercises

1. Outline briefly the types of gear used in fisheries with which you are familiar.

2. What measures of effort are at present available?

3. What measures of effort would, ideally, be the best to use?

4. What are the possible causes of differences in fishing power, or fishing effort, between vessels or groups of vessels comprising the fleet?

5. Are there any reasons to suppose that, in any of these fisheries, the catch per unit effort is not proportional to the stock abundance; if so, can this lack of proportionality be overcome by using a better measure of effort?

6. The table below is an extreme simplification of United Kingdom North sea trawl data and represents the effort and catches of plaice and haddock in two years. The area has been divided into sixteen subareas in each of which the data of catch and effort have been recorded separately.

(a) For each year obtain, by addition, total catch of each species and the total effort, and hence calculate the ratio total catch/total effort.

(b) Draw up a chart for each year showing the catch per unit effort of each species in each rectangle.

(c) Calculate for each species an overall density index, i.e. the mean catch per unit effort, and the effective fishing intensity on each species each year.

Compare the fishing intensities on the two species.


Year 1

Year 2

Effort

5

6

6

3

16

17

13

14

Haddock

50

48

60

24

208

238

195

168

Plaice

0

12

6

0

0

17

13

0

Effort

8

7

9

8

13

12

13

10

Haddock

40

49

54

48

130

132

91

80

Plaice

16

0

27

8

13

12

26

0

Effort

10

13

11

14

9

9

(8)

6

Haddock

40

6S

33

56

45

63

(32)

48

Plaice

40

39

22

42

18

18

(8)

18

Effort

14

15

16

15

5

5

6

4

Haddock

28

0

16

15

10

5

6

4

Plaice

84

90

48

45

25

15

12

8

Compare the change in density between the two years as measured by the ratio total catch/total effort, and by mean catch per unit effort.

(d) Supposing that there had been no fishing in the second year in one of the middle rectangles, as indicated by brackets in the table, how could mean density or effective overall fishing intensity be calculated? Make some reasonable assumption as to the density in the subarea; try the effect of different assumptions. Some assumptions are: that the density is the mean of surrounding subareas; that the change from the previous year is the same as that for other subareas; (as a limiting case) that the density is zero.

7. The table below gives the catch and effort statistics for the cod fishery in the International Council for the Exploration of the Sea Region I (Barents sea). The catches are given in tons (the total includes German and Norwegian catches), United Kingdom fishing effort as millions of ton-hours (hours fishing × mean tonnage of the fishing vessels), and U.S.S.R. fishing effort as thousands of hours fishing.

Calculate the catch per unit effort of the United Kingdom and U.S.S.R. fleets.
Calculate the total fishing effort in United Kingdom and in U.S.S.R. units.

Year

Catch

Effort


United Kingdom

U.S.S.R.

Total

United Kingdom

U.S.S.R.

1946

53 835

117 100

199 640

17.6

104

1947

127 242

151 970

340 758

38.4

149

1948

164 794

158 650

406 620

63.1

162

1949

226 450

162 340

484 942

80.0

171

1950

136 790

13S 410

356 474

93.2

161

1951

129 030

189 580

407 989

98.9

231

1952

130 546

258 830

524 160

102.6

247

1953

59 445

261 400

442 839

53.1

275

1954

72 347

404 650

597 534

51.5

340

1955

91 379

530 280

830 694

60.6

373

1956

67 787

512 170

787 070

54.3

492

1957

38 488

183 000

399 595

44.5

-

1958

46 225

146 570

388 067

55.6

-

For each fleet express the annual catch per unit effort as a percentage of the 1946-56 average; are the trends in the two series the same? Might the difference be accounted for by the fact that one series contains a factor (tonnage) which makes some allowance for increased fishing power of the individual trawlers?

8. German trawlers fish at west Greenland for both cod and redfish. Their catches in tons and fishing efforts during 1958 and 1959 were as follows (data taken from Statistical bulletins of the International Commission for the Northwest Atlantic Fisheries).

Year

Primary species

Days fished

Catch of cod

Catch of redfish

1958

Cod

1 337

26 247

1 754

Redfish

385

1 277

9 457

Mixed

199

2 386

1 969

Total

1 921

29 910

13 180

1959

Cod

645

12 336

1 087

Redfish

690

2705

15 683

Mixed

169

2 372

2 062

Total

1 504

17 413

18 832

Estimate, from the catch per unit effort of cod by the trawlers fishing for cod, and of redfish by trawlers fishing for redfish, the changes (as percentages) in the densities of the stocks of cod and redfish between 1958 and 1959. Compare these with the changes in the catches per unit effort of cod and redfish by all vessels taken together, and also with the changes in the catches per unit effort of cod by the redfish vessels, and of redfish by the cod vessels.


Previous Page Top of Page Next Page