2.1 Mathématiques
2.2 Statistique
2.3 Echantillonnage
2.4 Exercices
2.1.1 Introduction
2.1.2 Fonctions
2.1.3 Puissances et logarithmes
2.1.4 Dérivées
2.1.5 Intégrales
Dans l'étude d'une pêcherie ou dans l'évaluation d'un stock d'animaux aquatiques, on s'attache surtout aux changements: modifications dans l'effectif d'un stock avec le temps, dans le poids d'un animal avec l'âge, dans le rendement à mesure que varie l'effort de pêche, etc.
Les changements temporels se mesurent en vitesse ou taux: rapport entre modification de l'ordre de grandeur de la variable étudiée (par exemple poids) et période de temps correspondante. Même si l'intervalle temporel n'est pas précisé, on sous-entend en général une unité de temps (par exemple un an), et le changement intervenu est donc un taux.
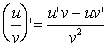
Mathématiquement, si pour une période de temps D t, la variable y varie de la quantité D y, la vitesse moyenne ou taux moyen de changement durant cette période sera
. Ce rapport est une vitesse absolue. On obtient une vitesse relative en divisant la vitesse absolue par la valeur de la variable à un moment quelconque de la période de temps considérée, par exemple au début, soit
. Les concepts ainsi définis peuvent être généralisés en prenant pour t toute variable autre que le temps.
Les modèles théoriques ont l'avantage de permettre d'étudier l'influence de certains facteurs en considérant les propriétés mathématiques des modèles. Pour simplifier, dans l'étude de ces modèles et ailleurs, on utilise fréquemment les taux d'accroissement instantanés.
Les taux instantanés d'accroissement peuvent être définis comme la limite des taux moyens lorsque la période de temps (D t) tend vers zéro. Mathématiquement, c'est le concept de la dérivée.
Les hypothèses concernant les relations entre les valeurs des taux instantanés d'accroissement et les variables peuvent s'exprimer sous la forme d'équations différentielles. Le calcul différentiel et le calcul intégral constituent pour l'étude de la dynamique des populations et d'autres systèmes des outils mathématiques importants. Certaines des hypothèses conduisent aux fonctions exponentielles, logarithmiques ou puissance.
Pour les raisons ci-dessus, il importe de passer brièvement en revue ces fonctions, ainsi que les puissances et le calcul différentiel et intégral. Le manuel de Granville, Smith et Longley Elements of the differential and integral calculus traite à fond ces sujets.
Soit les deux variables x et y. Si à chaque valeur de x correspond une valeur de y, nous pouvons dire que y est une fonction de x, ou écrire symboliquement: y =f (x). Si nous portons sur un graphique les valeurs de x sur l'axe des abscisses et les valeurs correspondantes de y sur l'axe des ordonnées, la courbe joignant les points P (x, y) d'abscisse x et d'ordonnée y est la représentation graphique de la fonction y =f (x).
FIGURE 2.1
L'une des fonctions peut-être la plus simple et certainement l'une des plus utilisées est la fonction linéaire y = ax + b, où a et b sont des constantes. Sa représentation graphique est une droite dont l'intersection avec l'axe des y (ordonnée à l'origine) est b et la pente a:
FIGURE 2.2.
Lorsque b = 0, y = ax, et la droite passe par l'origine. Cette relation entraîne que y et x sont directement proportionnels (figure 2.3.1).
Dans un cas particulier (a = 1), l'équation y = x est représentée par la bissectrice du quadrant positif (figure 2.3.2).
FIGURE 2.3.1.
FIGURE 2.3.2.
La figure ci-dessous indique la position de la droite pour les différentes valeurs de a:
FIGURE 2.4.
La fonction linéaire peut s'écrire également: y - y0= a (x - x0), où (x0, y0) est un point de la droite.
Cette formulation est particulièrement utile lorsqu'on connaît deux points de la droite et qu'on désire formuler son équation. Ainsi, avec les points (x0, y0) et (x1, y1), la ligne passera par les deux points si a répond à l'équation y1 - y0 = a (x1 - x0), autrement dit a = (y1 - y0)/(x1 - x0). L'équation peut alors être résolue immédiatement.
Dans une fonction linéaire, le taux moyen d'accroissement de y par rapport à x est constant et égal à la pente. Aussi le taux instantané d'accroissement est-il également constant, sa valeur étant représentée par la pente a.
Pour toute autre fonction, le taux absolu moyen d'accroissement entre deux valeurs x0 et x1 est égal à la pente de la droite joignant les points (x0, y0) et (x1, y1).
FIGURE 2.5.
= pente = taux absolu moyen d'accroissement
Une autre fonction très utile est la parabole, qui représente l'équation du second degré: y = ax2 + bx + c
FIGURE 2.6.
On peut donner parfois à l'équation la forme:
y = A (x - x0) (x - x1)
où x0 et x1 sont les intersections de la courbe avec l'axe des x, le signe de la constante A déterminant le sens de la concavité de la parabole:
FIGURE 2.7.1.
FIGURE 2.7.2.
FIGURE 2.7.3.
La fonction exponentielle y = ax, où a est une constante positive, est représentée graphiquement de la façon suivante:
FIGURE 2.8.1.
FIGURE 2.8.2.
Une fonction exponentielle communément employée en mathématiques est celle pour laquelle a est égal à la constante mathématique e (voir page 14).
FIGURE 2.9.
Certaines courbes ont des asymptotes, c'est-à-dire des droites dont les différents points de la courbe s'approchent de plus en plus à mesure que x s'éloigne à l'infini; plus précisément, ce sont les tangentes à la courbe lorsque x = ¥ (ou -¥). Par exemple, la fonction y = ax a pour asymptote l'axe des x (y=0) lorsque a < 1 (figure 2.8.1); les courbes correspondant aux fonctions y = 1 - e-x et y = 1 - e-2x ont toutes deux pour asymptote la droite y = 1, la seconde s'en rapprochant plus vite.
La représentation d'une relation entre deux variables peut souvent être simplifiée par un changement de variables: on utilise alors une fonction quelconque de l'une des variables plutôt que la variable elle-même.
Ainsi, si nous considérons la relation
, celle-ci peut être transformée en une relation directement proportionnelle par l'utilisation de la variable
; on a alors: y = Aw.
Il est toujours possible de transformer une fonction mathématique en une équation linéaire par une transformation appropriée des variables. Cela est particulièrement utile lorsqu'on veut ajuster aux données d'observations une courbe théorique, qui peut ne pas être simple. L'ajustement d'une droite, soit graphiquement à main levée, soit par les techniques de régression, est relativement simple, mais les courbes plus complexes, par exemple les exponentielles, sont plus difficiles à ajuster directement. Il faut signaler que la courbe ajustée aux données par la méthode des moindres carrés, ou par d'autres moyens, basée sur la moyenne arithmétique des variables transformées, ne coïncidera probablement pas avec la moyenne arithmétique des variables d'origine; par exemple, si l'on emploie la transformation w = log x, la moyenne arithmétique des w est la moyenne géométrique des x.
Comme on le verra plus loin (page 60), la courbe exprimant le nombre de poissons d'une classe d'âge en vie à l'époque t peut s'exprimer sous la forme Nt = N0e-Zt et être remplacée, en utilisant la transformation logarithmique y = Loge N, par la droite y = a + bt, où a = Loge N0 et b = - Z.
FIGURE 2.10.1.
FIGURE 2.10.2.
La relation fonctionnelle y =f (x) peut aussi s'exprimer de manière inverse, x devenant une fonction de y: x = g (y), Par exemple, la relation linéaire y = ax + b peut se formuler inversement par l'équation (également linéaire):
, pourvu que a ¹ 0. Si la fonction f (x) n'est pas une équation linéaire simple, il peut y avoir plus d'une valeur de x qui corresponde à la même valeur de y; dans ce cas, la fonction inverse x = g (y) ne sera pas une fonction univoque. Par exemple, la fonction inverse de y = x2 est
. La représentation graphique d'une fonction et celle de son inverse sont identiques. La courbe y =f (x) peut représenter la fonction x = g (y) par simple permutation des axes Ox et Oy.
Une puissance est représentée par deux nombres et s'écrit symboliquement an, a étant la base et n l'exposant. La signification d'une puissance n ième de a dépend des valeurs de l'exposant:
- si l'exposant est un entier positif, an est par définition égal au produit de n facteurs égaux à a;
- si l'exposant est nul, a0 est par définition égal à 1;
- si l'exposant est fractionnaire, par exemple, alors par définition
;
- si l'exposant est négatif, par exemple - m, alors par définition.
Lorsque la base est positive, la puissance est positive, mais lorsque la base est négative, la puissance est positive si l'exposant est pair, et négative si l'exposant est impair.
Il est utile de connaître la valeur d'une puissance lorsque l'exposant n tend vers l'infini:
- si la base a est supérieure à 1, alors an tend aussi vers l'infini,
- si la base a est égale à 1, alors an reste égal à 1 pour toutes valeurs de n,
- si la base a est comprise entre 0 et 1, alors an tend vers 0.
On trouvera ci-après quelques règles utiles de multiplication et de division des puissances:
- Puissances de même base:
![]()
![]()
- Puissances de même exposant:
![]()
Pour élever une puissance à une autre puissance, élever la base à la puissance du produit des exposants:
(an)m = anm
La fonction y = an peut être considérée de deux façons, suivant que l'on prend la base ou l'exposant comme la variable intéressante. Sous la forme y = xn (la base étant la variable), on a une fonction puissance; sous la forme y = ax (l'exposant étant la variable), on a une fonction exponentielle.
La fonction inverse d'une puissance est une racine, et la fonction inverse d'une exponentielle est une fonction logarithmique. Ainsi, si y = ax, on a x = logay, ce qui peut s'exprimer sous la forme: x est le logarithme à base a de y.
Lorsque la base est la constante e, les logarithmes sont appelés naturels ou népériens.
Il résulte de cette définition que les propriétés des puissances impliquent les propriétés correspondantes des logarithmes, c'est-à-dire
loga (A.B) = loga A + loga B correspond à la propriété ax · ay = ax+y
loga (A/B) = loga A - loga B correspond à la propriété 
loga (Am) = m loga A correspond à la propriété (ax)y = a xy
On obtient aussi des relations particulières, telles que loga 1 = 0 et loga a = 1. La relation qui permet de passer du logarithme à base a d'un nombre au logarithme à base b du même nombre est la suivante:
loga N = logb N · loga b
Les bases les plus utilisées pour les logarithmes sont la base 10 et la base e (e» 2,72), la première en raison de l'emploi généralisé décimal, et la seconde parce qu'elle permet l'expression commode de plusieurs relations mathématiques. A partir de la relation ci-dessus, le logarithme de base e d'un nombre peut être obtenu à partir du logarithme de base 10 de ce nombre, multiplié par le logarithme de base e de 10 (» 2,303). On peut utiliser cette égalité lorsqu'on ne dispose pas de table des logarithmes népériens. L'un des avantages de la base 10 réside dans le fait que tout nombre peut s'exprimer comme le produit d'une puissance de 10 et d'un nombre compris entre 1 et 10. Par exemple, 283,5 = 102 × 2,835, et 0,0053 = 10-3 × 5,3. De la sorte, le logarithme décimal de tout nombre sera la somme du logarithme décimal d'un nombre compris entre 1 et 10 (mantisse) [partie décimale] et du logarithme décimal d'une puissance de 10, c'est-à-dire de son exposant (caractéristique) [partie entière].
Pour les exemples ci-dessus, on aurait: log10 283,5 = 2 + log10 2,835 et log10 0,0053 = - 3 + log10 5,3. Les logarithmes de base 10 des nombres compris entre 1 et 10 sont donnés par des tables.
Les tables des logarithmes népériens fournissent habituellement ces logarithmes pour une gamme de valeurs plus étendue (par exemple de 0,1 à 100), mais ils peuvent toujours être obtenus par un procédé identique et pour n'importe quelle gamme de valeurs à partir des tables des logarithmes népériens allant de 1 à 10. Par exemple:
Loge 283,5 = 2 Loge 10 + Loge 2,835 = 2 × 2,303 + 1,042 = 5,648
Loge 0,0053 = - 3 Loge 10 + Loge 5,3 = - 3 × 2,303 + 1,667 = - 5,242
Comme il a déjà été dit, le concept de dérivée est équivalent à celui de taux d'accroissement instantané: c'est la limite du taux moyen d'accroissement pour un intervalle donné lorsque cet intervalle tend vers zéro.
Considérons une fonction y =f (x). A un accroissement D x portant sur x correspond un accroissement D y portant sur y. La limite du rapport des accroissements
quand D x tend vers zéro est la dérivée de y par rapport à x au point (x, y). Elle s'exprime symboliquement par y' ou f' (x) ou
.
Graphiquement, le rapport des accroissements
est la pente de la sécante à la courbe passant par les points (x, y) et (x + D x, y + D y), et la dérivée
est la pente de la tangente à la courbe au point (x, y), la tangente étant la limite vers laquelle tend la sécante lorsque D x tend vers zéro et x + D x tend vers x.
Ainsi, dérivée, taux d'accroissement instantané et pente de la tangente sont des concepts équivalents exprimant des points de vue différents. A partir de là, on peut calculer la dérivée d'une fonction. Par exemple, pour dériver y = 3x2, nous pouvons commencer par calculer l'accroissement de y pour un accroissement donné de x.
FIGURE 2.11.1.
FIGURE 2.11.2.
Nous obtenons ainsi la valeur de la fonction au point x + D x, puis nous soustrayons la valeur de y au point x:
|
A |
x |
y = 3x2 |
|
A |
x + D x |
y + D y = 3 (x + D x)2 = 3x2 + 6x D x + 3D x2 |
|
et |
D y = 6x D x + 3D x2 |
|
Le rapport des accroissements sera
. Lorsque D x devient de plus en plus petit, le second terme devient également petit, et à la limite, lorsque D x tend vers zéro, ce second terme tend aussi vers zéro, et
sera égal à 6x.
Les dérivées s'obtiennent aisément lorsque, de cette manière, quelques égalités sont établies:
- La dérivée d'une constante, c, est nulle:
(on représente souvent la dérivée par un prime [ ' ]).
- La dérivée d'une variable x par rapport à elle-même est 1:
![]()
- La dérivée du produit d'une constante c par une fonction u (x) est égale au produit de la constante par la dérivée de la fonction:
(cu)' = cu' Par exemple:
![]()
- La dérivée d'une somme de deux fonctions, u (x) et v (x), est la somme de leurs dérivées:
(u +v)' = u' + v' Par exemple:
![]()
- La dérivée du produit de deux fonctions, u (x) et v (x), est u'v + uv':
(u.v)' = u'v + uv'' Par exemple:
![]()
- La dérivée de la puissance d'une fonction u (x) est:
(un)' = nun-1 u' Par exemple:
![]()
- La dérivée du quotient de deux fonctions, u (x) et v (x), est:
Par exemple:
En poussant l'analyse plus avant, on peut obtenir aussi les dérivées de fonctions particulières fréquemment utilisées dans les études halieutiques:
(ex)' = ex
(eu)' =eu.u'
Il est intéressant de noter que la dérivée de la fonction ex est ex: c'est la propriété de l'exponentielle à base e qui la rend si importante en théorie.
La dérivée de la fonction y = eax est y' = eax.a = ay, ce qui implique que la dérivée, ou le taux d'accroissement instantané, de y est proportionnelle à y, propriété très utile dans de nombreux cas (études de la croissance, des mortalités, etc.).
Comme exemple d'application de ces règles de dérivation, calculons la dérivée de y = (3 + e2x) (1 - x2).
En appliquant la règle de dérivation d'un produit, nous pouvons écrire:
y'= (3 + e2x)'. (1 - x2) + (3 + e2x). (1 - x2)'
Pour calculer la dérivée du premier facteur, nous pouvons utiliser la règle de la dérivée d'une somme de deux fonctions: (3 + e2x)' = (3)' + (e2x)'. Or, (3)' = 0, et (e2x)' = e2x (2x)' = e2x.2. Donc, (3 + e2x)' = 2e2x. La dérivée du second terme (1 - x2)' est: (1)' - (x2)' = 0 - 2x = - 2x. D'où y' = 2e2x (1 - x2) - 2x (3 + e2x).
La dérivée d'une fonction de x est généralement une autre fonction de x. La dérivée de cette dérivée première est la dérivée seconde de la fonction initiale. Elle est représentée par les symboles y" ou
et peut être interprétée comme le taux d'accroissement absolu du taux d'accroissement absolu (la croissance de la croissance): c'est l'accélération des physiciens. On définit de la même façon des dérivées troisième, quatrième, etc.
La dérivée première sert à étudier la variation d'une fonction, et la dérivée seconde permet de connaître la vitesse à laquelle cette variation elle-même évolue. Lorsque y' est positif, y croît; lorsque y' est négatif, y décroît. Si y' = 0, y est stationnaire (la courbe passe par un sommet, maximum ou minimum). Lorsque y" est positif, la perte de la courbe croît, et sa concavité est tournée vers le haut; lorsque y" est négatif, la pente de la courbe décroît, et la courbe est concave vers le bas. Si y" = 0, y présente un point d'inflexion (à moins que y' ne soit également nul). A partir du signe de y", nous pouvons savoir si les sommets sont des maximums ou des minimums.
FIGURE 2.12

Nous avons vu ci-dessus comment, étant donné une fonction, nous pouvions obtenir sa dérivée. Le problème inverse consiste à trouver une fonction connaissant sa dérivée: l'opération se nomme intégration. Par exemple, quelle est l'intégrale de 3x2? Nous avons vu que la dérivée de x3 est 3x2, donc l'intégrale de 3x2 peut être x3. Mais l'est aussi x3 + 4, par exemple, et plus généralement x3 + C, C étant une constante quelconque, puisque la dérivée d'une constante est 0. Cela veut dire que l'intégration d'une fonction ne fournit pas qu'une seule fonction, mais une famille de fonctions définies par une constante arbitraire additive C.
L'intégrale de f (x) s'écrit
ou F (x) + C, et est appelée intégrale indéfinie (elle est indéfinie du fait de l'existence de la constante arbitraire C).
Les règles d'intégration se déduisent aisément des règles de dérivation, dont elles sont les opérations inverses. Nous avons ainsi:
![]()
![]()
![]()
(pour n ¹ -1)
![]()
D'autres expressions peuvent être utiles:
Une technique très utile pour intégrer consiste à changer de variable. Par exemple, l'intégration de e4x-3 peut se faire en écrivant: v = 4x - 3 et dv = (4x - 3)' dx, ou encore dv = 4dx. On a alors:
ou
Si l'on connaît une valeur de la fonction intégrée, il est possible de déterminer la valeur correspondant à la constante C. En termes généraux, nous pouvons dire que si y = F (x) + C est l'intégrale d'une fonction, et si l'on connaît un point (x0, y0) de la courbe de l'intégrale, on a alors: y0 = F (x0) + C, et C = y0 - F (x0), d'où y - y0 = F (x) - F (x0), la courbe qui satisfait aux conditions du problème.
Nous avons vu que l'intégration était l'opération inverse de la dérivation. Il existe cependant un autre concept de l'intégrale, qui peut se comprendre facilement à partir du calcul des aires, l'une des applications les plus importantes des intégrales. Calculons par exemple l'aire comprise entre la courbe y = f (x), l'axe des abscisses et les ordonnées x = a et x = b.
Cette aire peut être approchée en faisant la somme des aires des rectangles de base D xi; et de hauteur f (xi); c'est S f (xi) D xi, l'intervalle de a à b ayant été divisé en n petits intervalles D xi. La limite de cette somme, lorsque le nombre des subdivisions croît indéfiniment et que chaque intervalle tend vers zéro, fournit l'aire requise. Cette limite est appelée l'intégrale définie: g (x), C'est l'une des valeurs possibles de l'intégrale indéfinie, puisque la vitesse à laquelle croît, avec x, la zone comprise entre la courbe et l'axe est égale à la hauteur de la courbe, de sorte que
. L'aire comprise sous la courbe entre x = a et x = b s'exprime par la formule
.
FIGURE 2.13.
Pour calculer l'intégrale définie, nous calculons comme précédemment l'intégrale indéfinie et nous soustrayons sa valeur pour x = a de sa valeur pour x = b, c'est-à-dire:
Calculons par exemple l'aire comprise sous la fonction y = 3x2 + 5 entre x = 2 et x = X:
(Lorsqu'on calcule des aires géométriques, les valeurs de la fonction et de son intégrale doivent être exprimées positivement.)
Une autre application très importante des intégrales est la solution des équations différentielles. Une équation différentielle est une équation comportant des dérivées ou des différentielles, comme par exemple y' =4x - 2 ou dy = (5 + 2x) dx.
Les équations différentielles peuvent être très difficiles à résoudre; cependant, quelques procédés élémentaires sont applicables aux équations simples. L'un d'eux consiste à séparer les variables. Intégrons par exemple l'équation dy = xydx. Par une simple opération, nous pouvons faire passer tous les termes comportant la variable y dans un membre de l'équation et tous ceux qui renferment la variable x dans l'autre membre de l'équation:
. Chaque membre peut alors être intégré séparément:
soit:
. C'est-à-dire, en regroupant les constantes x2 arbitraires:
.
Le même résultat peut être présenté de façon légèrement différente, lorsque, au lieu de la constante C, il est possible d'utiliser un point arbitraire (x0,y0). Ainsi:
peut s'écrire:
ou:
, soit:
Cette dernière expression peut se révéler très utile lorsqu'on désire étudier un point particulier d'une fonction.
L'étude des populations d'animaux aquatiques implique la détermination et l'analyse de maintes quantités - compositions par âge, taux de croissance, etc., dont peu se prêtent à une mesure exacte, en raison soit de leur variabilité intrinsèque soit de la difficulté de la mesure. Aussi doit-on faire appel aux statistiques, même s'il s'agit simplement de prendre la moyenne d'un ensemble de valeurs. Les méthodes statistiques de base, identiques quel que soit le champ d'application, sont décrites dans de nombreux manuels. Aussi s'est-on borné ici à passer brièvement en revue l'essentiel de ces méthodes. Certaines applications, comme l'analyse de corrélation et de régression, seront traitées plus avant. La présente section est consacrée surtout aux problèmes de l'échantillonnage des populations d'animaux aquatiques. (La statistique est étudiée plus en détail dans un autre manuel de la présente série, décrivant tant les méthodes fondamentales que les applications particulières aux pêches.)
La statistique s'intéresse moins aux valeurs individuelles (taille de tel ou tel poisson mis en vente) qu'à la fréquence de certaines valeurs (par exemple taille du poisson). Les distributions de fréquences peuvent être représentées graphiquement soit par des histogrammes soit par des polygones de fréquence. D'une manière générale, toute distribution de fréquence peut se caractériser par deux catégories de paramètres: la valeur moyenne (ou position de la courbe) et la dispersion des observations. Pour la moyenne, on emploie le plus couramment la moyenne arithmétique (dite moyenne tout court), la médiane (valeur de la variable définie par la condition qu'il existe un nombre égal d'observations inférieures et supérieures à cette valeur), et le mode ou dominante (valeur de la variable dont la fréquence est maximale). De ces trois paramètres de position, c'est la moyenne arithmétique qui réunit le plus d'avantages. La dispersion est généralement mesurée par la variance, qui est la moyenne des carrés des écarts; la racine carrée de la variance est l'écart type. On trouvera dans la plupart des manuels (par exemple Yule et Kendall, 1950, chapitres 4, 5 et 6) des détails sur ces paramètres, sur les méthodes de calcul, etc.
Les tests de signification constituent un autre groupe d'outils statistiques fort utiles en recherche halieutique, ainsi que dans la plupart des autres domaines. Nous laisserons au lecteur le soin de consulter le chapitre approprié des manuels (par exemple Yule et Kendall, chapitre 21) pour l'explication du processus arithmétique en cause, en nous contentant de préciser le principe des tests de signification. Sur la base d'une hypothèse nulle, on calcule la probabilité de réalisation des valeurs observées. Si celle-ci est suffisamment faible (généralement une sur vingt ou une sur cent), l'hypothèse nulle est rejetée. Par exemple, si l'on emploie le test t pour comparer les moyennes de deux échantillons, l'hypothèse nulle serait que les deux échantillons proviennent de la même population. Si la probabilité que t ait une valeur égale ou supérieure à la valeur observée est par exemple de 0,01, cela signifie que si les deux échantillons étaient provenus de la même population, un événement improbable (une chance sur cent) se serait produit, et nous en concluons que les deux échantillons n'appartiennent pas à une même population, autrement dit qu'ils sont statistiquement différents. Cette épreuve ne renseigne pas sur la probabilité que les deux échantillons proviennent de populations différentes, ni sur la signification pratique de la différence. C'est ainsi que deux petits échantillons variables peuvent différer d'une quantité non statistiquement significative, mais qui, si elle était réelle, serait extrêmement importante. Par contre, deux grands échantillons homogènes peuvent présenter une différence assez grande pour être statistiquement significative, mais suffisamment faible pour être négligeable dans la pratique.
2.3.1 Généralités
2.3.2 Echantillonnage des apports
2.3.3 Echantillonnage de la population
(Pour de plus amples détails, voir: FAO. Manuel des méthodes d'échantillonnage et des méthodes statistiques applicables à la biologie halieutique par J.A. Gulland. Première partie: Méthodes d'échantillonnage. Rome, 1966.)
La plupart des quantités utilisées dans les travaux sur les populations d'animaux aquatiques ne peuvent être obtenues ni mesurées pour l'ensemble de la population: il est pratiquement impossible de mesurer tous les animaux capturés, et encore moins tous les animaux des océans. On utilisera donc, pour étudier les paramètres voulus (pourcentage des poissons parvenus à maturité, taille moyenne, etc.), une fraction, ou échantillon, de la population totale. Si l'on suppose cet échantillon représentatif de l'ensemble de la population, on peut estimer la valeur vraie de celle-ci. Si le système d'échantillonnage utilisé est bon, l'évaluation obtenue différera peu de la valeur vraie. Les avantages ou inconvénients d'un système d'échantillonnage peuvent être mesurés par deux quantités relatives aux estimations obtenues (la mesure ne se rapportant pas aux estimations individuelles mais à l'ensemble des estimations pouvant être obtenues par des échantillonnages répétés); premièrement, la variance définie plus haut pour toute distribution statistique, qui traduit la dispersion des estimations autour de leur valeur moyenne; deuxièmement, le biais ou différence entre valeur moyenne des valeurs possibles et valeur vraie.
Comme le biais, quand il est présent, existe dans tous les échantillons et fait apparaître les évaluations constamment supérieures (ou inférieures) à la valeur vraie, on ne peut le déceler sous forme de différence entre échantillons successifs. Il est donc en général très difficile à détecter et, partant, à éliminer, dans les analyses ultérieures. Par contre, une variance importante apparaîtra aussitôt par les différences entre échantillons. Un biais considérable est donc plus à craindre qu'une grande variance, car il peut aboutir, avec des données apparemment valables et solides, à des résultats qui ne sont cohérents que dans la mesure où ils sont faux.
Tout bon système de sondage doit reposer sur un échantillonnage «au hasard». L'objectif est d'assurer que tous les éléments de la collection d'objets sondée ont les mêmes chances de se trouver dans l'échantillon. En pratique, cette condition peut être transgressée, et le sondage être non aléatoire quand il n'y a pas de relation entre les chances de se trouver dans l'échantillon et la valeur du paramètre mesuré. Par exemple, les premiers poissons débarqués d'un chalutier et exposés pour la vente sont généralement parmi les derniers capturés: ils seront donc placés en bordure de l'étalage et auront par conséquent plus de chances d'être inclus dans l'échantillon. Si l'on ne s'occupe que de la taille du poisson, cela aura peu d'importance (il y a peu de rapport entre taille du poisson et heure de sa capture), mais l'échantillon sera très mauvais si l'on veut étudier son état de fraîcheur. Cette introduction d'un biais (ainsi, l'échantillon ci-dessus sera biaisé au sens qu'il renfermera trop de poisson frais) constitue le grand inconvénient des méthodes d'échantillonnage non aléatoire, qui en comportent d'autres encore: par exemple le fait que nombre des calculs utilisés pour estimer la variance, etc. ne valent que pour le sondage au hasard. Il faut donc avant tout éviter tout mode de sélection pouvant créer un biais. Certaines pratiques font clairement apparaître leurs défauts: par exemple tendance à prendre les plus gros poissons d'une pile, en laissant les petits en dernier, mais d'autres peuvent être moins apparentes: ainsi, durant la campagne harenguière de l'East Anglia, il semblerait commode de prélever des échantillons de harengs à bord des premiers «drifters» rentrant chaque matin. Or, ceux-ci viennent généralement des bancs les plus proches, qui renferment des poissons dont la composition par taille et par âge tend à être légèrement différente. Ainsi, un sondage non aléatoire dans le temps peut introduire un biais dans l'évaluation de la taille ou de l'âge moyen du poisson débarqué.
L'exécution d'un véritable échantillonnage au hasard dans une collection importante et hétérogène d'objets soulève de considérables difficultés d'ordre pratique. On peut les surmonter en subdivisant l'ensemble de la collection en fractions plus petites et compactes, se prêtant mieux à un sondage aléatoire. On distingue sondage stratifié et sondage à deux degrés. Dans le sondage stratifié, la collection entière d'objets est divisée en plusieurs fractions ou strates, dont chacun est ensuite échantillonné et analysé séparément (on peut prendre pour strates les arrivages dans différents ports). Cette méthode présente un grand intérêt pour réduire le biais et la variance lorsqu'il existe une différence marquée entre strates.
Dans l'étude des populations d'animaux aquatiques, le principal problème d'échantillonnage se pose lorsqu'on évalue les indices d'abondance des différentes classes d'âge ou de taille des animaux, et notamment lorsqu'on opère sur des échantillons prélevés dans les prises commerciales pour déterminer la composition par taille ou par âge. Avant d'aborder le processus d'échantillonnage, il faut en définir les objectifs, en précisant tant leur portée que la nature du paramètre étudié (par exemple longueur des plies débarquées par les chalutiers britanniques de la mer du Nord). Si l'on procède par stratification, la population complète assez hétérogène sera divisée en strates relativement uniformes. Pour les apports britanniques de poissons de fond, on a jugé bon de traiter séparément les mises à terre dans chaque port et pour chaque mois, tandis que pour les débarquements de harengs, plus variables, on a pris pour base les apports par périodes de trois jours. Sur le plan pratique, la première étape consiste à s'assurer que l'échantillon n'est pas biaisé. Dès que la prise d'un navire est vendue, elle peut être répartie entre un certain nombre de commerçants, dont chacun préférera presque certainement une certaine taille ou une certaine qualité de poisson; aussi tout échantillon pris sur les quantités acquises par un mareyeur sera presque à coup sûr biaisé. Il faut donc opérer avant la répartition des captures: en Grande-Bretagne, cela signifie procéder à l'échantillonnage en halle de vente tôt le matin, avant le début des enchères.
Pour choisir le poisson à mesurer, il est pratique de procéder en deux temps: d'abord, prélever un échantillon de un ou de plusieurs navires appartenant à la flotte débarquant du poisson durant la période visée, et ensuite mesurer un échantillon des poissons péchés par ce ou ces navires. Le choix des bateaux ne suscite généralement pas de problème, et de petits écarts à la règle de l'échantillonnage au hasard ne présentent pas de très grands dangers, bien qu'ils puissent causer un biais lorsque l'heure du débarquement ou la position de la prise dans la halle de vente (éléments propres à modifier leurs chances d'être échantillonnés) sont elles-mêmes conditionnées par le lieu de pêche et par conséquent liées à la composition des captures. Cette difficulté peut être surmontée par une stratification plus poussée, l'échantillonnage et l'analyse des prises ayant lieu séparément pour chaque secteur de pêche.
Lors de l'échantillonnage de la prise d'un navire, un important biais peut être causé par la tendance de la plupart des gens à prélever d'abord les plus gros poissons d'un tas en laissant les petits pour la fin. Cela est manifeste lorsqu'on opère sur des poissons étalés sur le pont, par exemple après affalage d'un trait d'un navire de recherche. A la mer, ce biais ne peut être éliminé qu'en étudiant la totalité de la prise, ou tout au moins une fraction bien déterminée de celle-ci (par exemple un «coin» de la pile), en prélevant tous les poissons du haut au bas du tas - jusqu'au niveau du pont. Sur le marché, la plupart des poissons sont placés en caisses (les plus gros fréquemment sur le dessus), et l'on évitera un biais en incluant dans l'échantillon une ou plusieurs caisses complètes. Sauf tri bien défini en diverses catégories, il y aura peu de différences systématiques entre les caisses, et l'on pourra employer la méthode d'échantillonnage pratique - mais non aléatoire - consistant à prendre les caisses qui se trouvent sur un des côtés du lot. Dans l'utilisation des résultats d'un tel système de sondage, il importe de considérer les facteurs d'extrapolation, c'est-à-dire le rapport du poids échantillonné à la totalité du poids débarqué, tant pour les apports totaux que pour le navire échantillonné.
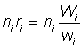
On procède comme suit, en supposant que l'on étudie le nombre total débarqué de spécimens d'une certaine taille (ou d'un certain âge, d'un certain degré de maturité, etc.):
m = nombre de navires à bord desquels des échantillons ont été prélevés, et, pour n'importe lequel de ces navires, par exemple le ième:Wi = poids débarqué
wi = poids échantillonné
ni = nombre de poissons de la taille voulue dans l'échantillon.
On a alors:
facteur d'extrapolation pour le ième bateau
et:
nombre de poissons de la taille voulue pour le navire échantillonné.
Le total pour tous les navires échantillonnés donne le nombre de poissons de la taille requise pour tous les navires échantillonnés, soit:
De même, si W = poids total débarqué
et w = poids débarqué par les bateaux échantillonnés on a R = facteur d'extrapolation =
et
= nombre total débarqué de poissons de la taille requise, disons N ce qui donne:
Les poissons sont fréquemment rangés en différentes catégories de taille, qui peuvent ou non être les mêmes d'un navire à l'autre. Il faut donc évidemment prendre un échantillon dans chaque catégorie de navires étudiée. On aura donc le chiffre pour le navire dans son ensemble en multipliant la valeur pour chaque catégorie par le facteur d'extrapolation approprié. Ainsi, si l'on a deux catégories, on obtient, en utilisant la notation ci-dessus et en distinguant les catégories par les signes prime (') et seconde ("):
et le nombre de poissons d'une taille donnée sur le ième bateau échantillonné est:
On peut en tirer directement une estimation du nombre total débarqué:
N = RS {ni'ri' + ni''ri''}
Inversement, et de préférence, le choix par catégorie peut être utilisé comme stratification pour tous les apports, et des coefficients d'extrapolation calculés et appliqués pour chaque catégorie. On estime alors ainsi le nombre débarqué:
N = R'S ni'ri' + R''S ni''ri''
où
et
Cette seconde estimation est plus précise (variance moindre), car elle utilise l'information sur la répartition en catégories de tous les apports. Elle peut être utilisée tant que cette répartition est constante, même si elle n'est pas très précise, c'est-à-dire tant que le nombre et la définition des catégories demeurent constants, même si la ligne de démarcation entre elles varie.
Dans les études de population, on s'intéresse à plusieurs caractères des animaux aquatiques - longueur, poids, âge, maturité - qui sont souvent reliés entre eux. Certains, comme la longueur, sont très faciles à déterminer de façon à la fois rapide et précise, même dans des conditions quelque peu défavorables (soit en mer, soit sous la halle de vente). L'étude d'autres paramètres (par exemple l'âge) exige des manipulations beaucoup plus fastidieuses; il sera donc plus aisé de procéder par sondage direct visant à mesurer uniquement la longueur, en prélevant par ailleurs des échantillons relativement petits pour établir une correspondance longueur/âge permettant de convertir directement la longueur en âge. En d'autres termes, l'échantillonnage des longueurs donne le nombre de poissons dans chaque classe de longueur, et les échantillons d'âge la proportion de chaque âge dans chaque catégorie de longueur. L'effectif de chaque âge est alors facilement obtenu.
Si l'on écrit:
Ni = nombre de poissons dans la ième classe de longueur
Pij = nombre des poissons d'âge j dans la ième classe de longueur

ni = nombre de poissons de longueur i examinés du point de vue de l'âge
ni,j = nombre de poissons de longueur i d'âge j
on a:
Ni Pij = nombre total de poissons de longueur i et d'âge j
et
S Ni Pij = nombre total de poissons d'âge j.
Il faut relever que, si les calculs ci-dessus ne reposent sur aucune hypothèse particulière concernant le mode de croissance, c'est lorsque cette dernière est rapide et uniforme que la méthode est la plus précise (variante moindre et moindre risque de biais).
Les données sur la composition des captures sont importantes en elles-mêmes, notamment lorsqu'on veut comparer et associer les effets de deux pêcheries différentes exploitant le même stock, ou évaluer les répercussions immédiates d'une modification du maillage, par exemple. De plus la prise, soit de la flotte commerciale soit d'un navire de recherche, peut aussi être considérée comme un échantillon du stock. Les méthodes de sondage courantes sont directement applicables - par exemple échantillonnage stratifié, la zone étant divisée en sous-zones relativement uniformes -, mais des difficultés particulières apparaissent quand on désire obtenir des estimations non biaisées de l'abondance et de la composition du stock. Pour les premières, il faut établir un rapport entre densité du stock et prise par unité d'effort, et pour les secondes procéder à une sélection au sens large, c'est-à-dire en incluant tout facteur propre à amener les animaux aquatiques d'une certaine taille (ou «condition») à être plus facilement que d'autres capturés et retenus par l'engin, le type de maille constituant un cas particulier. Ces problèmes seront traités plus à fond dans les chapitres ultérieurs.
1. Valeurs de x et valeurs correspondantes de y:
|
x |
1 |
2 |
3 |
4 |
5 |
|
y |
10 |
25 |
32 |
38 |
41 |
Tracer une courbe passant par ces points. Déterminer le taux moyen absolu de variation de y dans l'intervalle x = 1,5 x = 3,5. Quel est le taux moyen relatif durant le même intervalle? Donner la valeur approximative du taux absolu instantané pour x = 1,5.
2. Calculer l'équation de la droite passant par les points A (2 et - 5) et B (- 1 et 3). Calculer ses intersections avec les coordonnées cartésiennes. Formuler une équation correspondant à une parallèle à cette droite.
3. Tracer une ligne droite de pente négative.
4. Calculer la droite coupant l'axe des x au point - 2 et celui des y au point 3. Quelle valeur de y correspond à x = 6? A quelle valeur de x correspond y = 3?
5. Calculer, sans recourir aux tables:
6. Calculer:
|
a) log10 42,5 |
log10 0,018 |
log10 0,263 |
|
b) Loge 0,50 |
Loge 2,52 |
Loge 17,10 |
7. Déterminer la valeur de x dans les expressions suivantes:
|
0,70 = e-x |
2,4 = 10x |
104 = ex |
8. Résoudre (en utilisant les logarithmes naturels):
y = 2x · e4+x et
9. Calculer N si l'on a:
Loge N - Loge Na = - Z (t - ta)
10. Effectuer le produit:
log10 e × Loge 10
11. Exprimer en logarithmes les expressions:
w = q · l3
x = (A+B) · C4
12. Calculer la valeur de
pour n = 1, 2, 5, 10, 100 et 1 000.
Vérifier qu'à mesure que croît n le résultat tend vers la valeur de e» 2,718.
13. Calculer
dans les fonctions suivantes:
|
(a) y =3 |
(b) y = 4-6x |
(c) |
(d) |
|
(e) y = (1 + 4x)3 |
(f) y = 4v2 pour v = 5x2 - 2x |
|
|
|
(g) y = ex |
(h) y = e-4x |
(i) y = Loge (5 + x) |
(j) y = (1 + e2x)(1 - e-2x) |
14. Calculer la dérivée seconde de:
|
y = 4x3 - 5x |
y = e4x |
y = Loge (x + 2) |
15. Etant donné la fonction y = 2x (3 - x), calculer les dérivées première et seconde et déterminer le point zéro d'accroissement instantané; les intervalles dans lesquels y croît et ceux dans lesquels il décroît; la concavité de la courbe représentative de la fonction. Tracer cette courbe.
16. En utilisant les dérivées première et seconde, trouver les éventuels maximums, minimums et points d'inflexion, les intervalles dans lesquels la fonction est croissante et décroissante, et les concavités de la courbe représentative pour:
|
y = (x-1)2 |
|
y = a (1 - e-bx)3, a> 0 et b> 0 |
17. Quel est le rapport entre le taux absolu instantané de Loge y et le taux relatif instantané de y, y étant une fonction de x?
18. Calculer le taux relatif instantané d'accroissement de N par rapport à t dans:
19. Calculer le taux absolu instantané d'accroissement de l par rapport à t dans:
et l'exprimer en fonction de l.
20. Calculer le taux relatif instantané d'accroissement de l par rapport à t dans:
et l'exprimer en fonction de la variable l.
21. Intégrer les expressions suivantes:
22. Calculer:
23. Résoudre les équations différentielles suivantes:,
,
,
,
,
,
,
|
dy = 3xdx |
lorsque y = 2 quand x = 1 |
|
|
lorsque y = y0 quand x = x0 |
|
|
lorsque y = y0 quand x = x0 |
|
|
lorsque N = R quand t = t0 |
|
|
lorsque l = 0 quand t = t0 |
24. Calculer l'aire délimitée par la courbe y = 5x (4 - x) et l'axe de x entre x = 1 et x = 3.
25. Si y =f (x) est une fonction dont le taux relatif instantané de variation est constant et égal à -a, exprimer la fonction si (x0, y0) est un point de celle-ci.
1. Etant donné les deux distributions de fréquences de longueurs:
|
Longueur (cm) |
10 |
11 |
12 |
13 |
14 |
15 |
16 |
17 |
18 |
19 |
20 |
|
Fréquence |
1 |
3 |
S |
16 |
18 |
17 |
12 |
6 |
2 |
1 |
0 |
et
|
Longueur (cm) |
10 |
11 |
12 |
13 |
14 |
15 |
16 |
17 |
18 |
19 |
20 |
21 |
22 |
|
Fréquence |
0 |
0 |
4 |
12 |
14 |
10 |
9 |
8 |
4 |
3 |
1 |
1 |
0 |
déterminer les éléments suivants:
a) Moyenne
b) Mode
c) Médiane
d) Variance
e) Ecart type
f) Erreur type de chaque moyenne
A partir de ces résultats, déterminer si la différence entre les moyennes est plus du double (niveau 5 pour cent) ou du triple (niveau 1 pour cent) de l'écart type. (On a intérêt à déterminer le mode graphiquement, les autres par le calcul.)
2. Répéter l'exercice 1 ci-dessus pour les deux distributions suivantes:
a) 15, 17, 20, 23, 24, 27. 29, 31, 33, 35, 36, 36, 38, 40, 42, 42, 46, 49, 52, 53, 54, 58, 60, 65, 71.b) 19, 26, 23, 29, 30, 32, 34, 37, 38, 40, 42, 42, 44. 45, 46, 48, 51, 54, 56, 59, 60. 65, 68, 75.
3. Sur deux chalutiers, on a échantillonné trois caisses de 10 «stones» (63,5 kilogrammes) chacune correspondant à trois catégories de taille de merlus: gros, moyen et petit. Le tableau suivant donne le nombre de poissons dans chaque groupe de 10 cm et le poids débarqué.
|
Catégorie de longueur |
40-
|
50- |
60- |
70- |
80- |
90- |
100- |
Total |
Poids débarqué |
|
|
(Nombre de caisses) |
||||||||||
|
Navire A |
|
|
|
|
|
|
|
|
|
|
|
|
gros |
|
|
|
|
7 |
7 |
|
14 |
2 |
|
|
moyen |
|
|
8 |
15 |
3 |
|
|
26 |
10 |
|
|
petit |
2 |
32 |
19 |
1 |
|
|
|
54 |
14 |
|
Navire B |
|
|
|
|
|
|
|
|
|
|
|
|
gros |
|
|
|
|
5 |
4 |
3 |
12 |
23 |
|
|
moyen |
|
|
4 |
17 |
6 |
1 |
|
28 |
53 |
|
|
petit |
1 |
13 |
27 |
4 |
|
|
|
45 |
40 |
Nombre de caisses mises à terre pour l'ensemble des navires: 350, 720 et 1 056 respectivement pour des merlus gros, moyens et petits. Calculer le nombre et la distribution par taille des merlus débarqués par les navires échantillonnés, et le total pour tous les navires.
4. Nombre estimé de plies mâles (par classes de 5 cm) débarquées en 1955 à Lowestoft:
|
25-29 |
30-34 |
35-39 |
40-44 |
45-49 |
|
3 991 984 |
4 155 009 |
1 232 174 |
274 972 |
15 346 |
Nombre de mâles dont l'âge a été estimé à partir des otolites:
|
Age |
3 |
4 |
5 |
6 |
7 |
8 |
9 |
10 |
11 + |
Total | |
|
Longueur |
|
|
|
|
|
|
|
|
|
| |
|
|
25-29 |
33 |
82 |
30 |
13 |
8 |
1 |
|
|
|
167 |
|
|
30-34 |
8 |
48 |
53 |
24 |
34 |
12 |
5 |
1 |
1 |
186 |
|
|
35-39 |
1 |
14 |
26 |
33 |
42 |
19 |
11 |
10 |
6 |
162 |
|
|
40-44 |
|
1 |
8 |
2 |
12 |
5 |
5 |
- |
3 |
36 |
|
|
45-49 |
|
|
|
|
|
1 |
4 |
- |
4 |
9 |
Estimer le nombre total des poissons de 6 ans débarqués.
5. Commenter les problèmes et méthodes d'échantillonnage relatifs à des pêches que vous connaissez bien.