Página precedente Indice Página siguiente


4. ESFUERZO Y CAPTURA POR UNIDAD DE ESFUERZO


4.1 Introducción
4.2 La formulación matemática
4.3 Tiempo pescando
4.4 Poder de pesca
4.5 Distribución de la pesca
4.6 Equipos diversos
4.7 Ejercicios


4.1 Introducción

Estas dos cantidades pueden ser tratadas en conjunto convenientemente. Ambas dan índices que son proporcionales a cantidades importantes - el coeficiente de mortalidad por pesca, y la densidad de la población explotada. Si una de estas dos cantidades es conocida, la otra puede ser calculada inmediatamente, siempre que sea conocida la captura total (que generalmente lo es). A pesar de que la captura por unidad de esfuerzo es en general una cantidad que se deriva de los valores independientes de captura y de esfuerzo, este dato no necesita estar relacionado con toda la pesquería, y en la práctica, la captura por unidad de esfuerzo es obtenida a menudo de datos provenientes de una parte de la pesquería, y a base de aquella se estima el esfuerzo total.

Debe hacerse una distinción entre la utilización de los datos de esfuerzo para estudiar las poblaciones de peces, tal como se indica en este manual, y la utilización de los datos sobre la cantidad de pesca para estudiar el insumo de la pesquería en términos económicos. Para un período breve, ambos pueden medirse con la misma serie de números, es decir días en el mar, pero si hay mejoras técnicas en la pesquería entonces las estadísticas sobre cantidad de pesca deberán ajustarse en distintas formas. Por ejemplo, supongamos que la introducción de equipo de sonar duplica el poder de pesca y, por tanto, como promedio duplica la captura por día de un pesquero. En tal caso, para el biólogo el esfuerzo ejercido por día pescando se ha duplicado y las estadísticas de días pescando deberán reajustarse correspondientemente; para el economista, el insumo ha aumentado sólo ligeramente en la medida del coste del equipo de sonar.

A pesar de que la captura por unidad de esfuerzo raramente será exactamente proporcional a la densidad de la población, con frecuencia es esencial tener alguna medida de la población, y la captura por unidad de esfuerzo será casi siempre la mejor medida disponible - mejor que la captura total, por ejemplo. Al aumentar el conocimiento de la pesquería, se requieren, en general, mejores índices de la magnitud de la población, de modo que la medida de la captura por unidad de esfuerzo mejorará, haciéndose más afinado al tomar en cuenta la distribución espacial de la pesca, las diferencias en los poderes de captura de los barcos, etc.

En ciertas situaciones se puede obtener una medida satisfactoria de la densidad de la población (y, por consecuencia, un índice de la captura por unidad de esfuerzo) totalmente independiente de los datos de captura y esfuerzo. Este índice puede ser utilizado dividiéndolo por la cifra de la captura total, para proporcionar un índice del esfuerzo total. Por ejemplo, los recientes avances en las técnicas de exploración con el empleo de sonar y ecosondas indican que para algunas pesquerías pelágicas, en las cuales los datos normales de capturas y esfuerzo son en muchos casos difíciles de interpretar, el índice más fidedigno de la densidad se derivará de los datos de los reconocimientos con ecosonda o sonar expresados, por ejemplo, por el número de trazos o señales por milla navegada. El índice correspondiente del esfuerzo es en tal caso la captura dividida por el índice de densidad, es decir, las toneladas capturadas por unidad de trazos o señales.

4.2 La formulación matemática

Las relaciones entre captura, esfuerzo y densidad de población son claras para las operaciones de una sola unidad cuando la densidad de peces es uniforme, por ejemplo, en el caso de un arrastrero, el cual puede considerarse que toma en cada lance una proporción fija de los peces existentes. Entonces la captura por operación es proporcional a la densidad de la población, y el número de operaciones es proporcional a la mortalidad causada.

En términos matemáticos, si la captura de una operación es proporcional a la densidad de la población

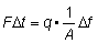
D C = q · D f · N/A (4.1)

en la que D C = captura en una operación

q = constante
D f = esfuerzo de pesca ejercido por unidad de operación
N = abundancia media de la población
A = área habitada por la población

La captura, en número, es igual al número de individuos muertos como consecuencia de la pesca que se demostrará en la sección siguiente como se pueden debidamente expresar en función de tasas instantáneas

en la que F = coeficiente de mortalidad por pesca
o, en función de cortos intervalos

D C = - (D N) pesca = FN D t

Por consiguiente,

q D f · N/A = FN D t (4.2)

y

es decir que el coeficiente de mortalidad por pesca es proporcional a la intensidad de pesca cuando esta última es definida como el esfuerzo pesquero por unidad de área y por unidad de tiempo.

Esto puede expresarse de la forma siguiente

y si q y A son constantes, sumando a lo largo de un período de longitud t

en donde f es el esfuerzo total de pesca durante el período

o F = q · f/At (4.3)

= q x intensidad de pesca

En la práctica A, el área habitada por la población será constante, y a lo largo de un período fijo de tiempo, como por ejemplo un año, se podrá escribir:

F = q'f (4.4)

en la que q' = constante, y ésta es la forma en la que se expresa generalmente la relación entre la mortalidad por pesca y el esfuerzo pesquero.

La ecuación básica (4.1) para la operación única puede escribirse en términos de captura por unidad de esfuerzo:

o, suponiendo de nuevo que q y A son constantes, y promediando a lo largo de un período

(4.5)

en la que, son la abundancia y la densidad medias durante el período. Por consiguiente, la captura por unidad de esfuerzo es proporcional a la densidad, pero también en este caso, si A es constante, entonces la captura por unidad de esfuerzo será igualmente proporcional a la abundancia.

Estos cálculos que, para todas las operaciones durante un cierto período, expresan el esfuerzo pesquero como un índice de la mortalidad, o la captura por unidad de esfuerzo como un índice de la densidad, requieren que todas las operaciones se expresen en unidades uniformes, es decir, que la constante q en la ecuación (4.1) sea la misma para todas las operaciones. Una forma simple de operación es un día en el mar de un barco único, de forma que una medida simple del esfuerzo está constituida por el número de días en el mar, y el de la captura por unidad de esfuerzo, la captura por día en el mar. Al intentar perfeccionar esta simple medida se presenta la dificultad de saber cómo durante un día corriente en el mar puede capturarse una proporción mayor o menor de la población. Como siempre, las pequeñas fluctuaciones en períodos pequeños no tienen por lo general importancia para los fines de este manual: los factores importante son los que determinan tendencias a largo plazo.

La captura de un barco por día en el mar puede aumentarse para una determinada densidad de población:

a) porque durante el tiempo efectivo de pesca se ha capturado más pescado (ha aumentado el poder de pesca del barco);

b) porque se invierte más tiempo efectivo en la pesca por día; además como la distribución de una población no es nunca completamente uniforme sino que existen concentraciones locales en donde la densidad es mayor que el promedio, otra posibilidad es;

c) porque el barco actúa en zonas localizadas donde la densidad es mayor.

La normalización de los datos del esfuerzo pesquero depende por tanto de determinar si existen variaciones apreciables (especialmente tendencias) en cuanto al tiempo efectivo de pesca, poder de pesca, o distribución de la flota y, en caso afirmativo, llevar a cabo la necesaria normalización de la componente apropiada del esfuerzo pesquero total. El método preciso de normalización se determina en mejor forma una vez que han sido identificados los cambios o los posibles cambios. Así, por ejemplo, es sabido que en los arrastreros el poder de pesca aumenta con el tamaño (tonelaje) y con la fuerza motriz. Si la composición de una flota de arrastreros no varía aún cuando haya a la vez barcos grandes y pequeños, entonces no existe una necesidad inmediata de normalización. Pero, si hay cambios, y aumenta el tamaño medio o la potencia media de los barcos, entonces es preciso llevar a cabo una determinada normalización. Si el cambio se debe a la construcción de nuevos barcos que son a la vez mayores y más potentes, entonces tal normalización podría ser en función del tonelaje o de la potencia (o quizás de algún otro índice de tamaño o de fuerza motriz) según cual de ellos sea más conveniente. Si los cambios son debidos al montaje de motores más potentes en los barcos ya existentes entonces la normalización debe ser en función de la potencia (u otro índice del tamaño de la máquina).

4.3 Tiempo pescando

La normalización del tiempo invertido en la pesca puede realizarse restando de los datos básicos de días en el mar los períodos que no se han dedicado directamente a la captura o a la localización de peces, los cuales comprenden:

El tiempo perdido a causa del mal tiempo;

El tiempo de navegación en los viajes de ida y vuelta y a los caladeros y el retorno;

El tiempo durante el cual se preparan los aparejos para la pesca, pero en que éstos no se están realmente empleando;

El tiempo invertido en la manipulación de las capturas después de ser apresadas.

Las proporciones de estos elementos del tiempo no productivo respecto al tiempo total, en el mar variarán por diversas razones. El mal tiempo puede suponerse que fluctuará al azar, y en algunos casos podrá hacerse caso omiso de él, a la vez que los barcos mayores y mejor diseñados podrán pescar en peores condiciones y, por lo tanto, perder menos tiempo.

El tiempo de navegación se reducirá con el empleo de barcos más veloces, pero en cambio puede aumentar a medida que se agotan los caladeros más próximos, con lo cual los barcos tendrán que ir más lejos (en este caso la captura por día en los caladeros podría proporcionar el mejor índice de la densidad de peces en los lugares de pesca, pero la captura por día en el mar ofrecería un índice mejor de la abundancia general de la población).

Las variaciones en el tiempo perdido en la manipulación de los artes o de las capturas pueden ser importantes, especialmente cuando se correlacionan con la abundancia de la población. Cuando ésta tiene un nivel elevado puede perderse mucho tiempo en la manipulación de la captura, o en hacer solamente lances de corta duración (en tal caso, el tiempo que permanecerán los artes en el fondo será parcialmente mucho menor), de tal modo, que las variaciones de la captura por día en los caladeros (o por día pescando) tenderán a subestimar los cambios en la densidad de la población.

El tiempo productivo estará constituido por:

i) el tiempo en los lugares de pesca buscando los peces, y
ii) el tiempo en que el arte está en funcionamiento capturando los peces.

La importancia relativa de estos dos aspectos del tiempo de pesca dependerá de la clase de arte de que se trate. En un caso extremo está la caza de la ballena, en la que el arte (arpón) funciona solamente durante un momento brevísimo, y la medida más importante, en tal caso, es el tiempo dedicado a la búsqueda de las ballenas. En el otro extremo se encuentran los arrastreros de fondo que dedican poco tiempo a la búsqueda, y la medida importante, en tal caso, es el tiempo, durante el cual el arte está en el fondo capturando peces. Para ciertos artes como, por ejemplo, los de cerco de jareta, quizá no esté claro cuál de las medidas, si el tiempo pescando o el tiempo dedicado a la búsqueda o una combinación de ambas, habrá de usarse y para tales artes quizá sea mejor tomar como unidad básica del tiempo pescando el tiempo en los caladeros (expresado en días o en horas). Tales estadísticas deberán ir complementadas con los datos detallados de los libros-registro posiblemente para una muestra de la flota solamente, acerca de la forma en que se ha empleado el tiempo total en los caladeros - buscando los peces, preparando los artes, capturando realmente, manipulando las capturas -, en la esperanza de que un análisis posterior y un mayor conocimiento de la forma en que actúa la pesquería puedan contribuir a deducir un mejor índice del tiempo pescando.

Para ciertos tipos de artes, como, por ejemplo los palangres y redes de enmalle que, al igual que las redes de arrastre, capturan más o menos continuamente, el rendimiento de las operaciones cambia al variar la duración de la faena. Así, un palangre calado durante 12 horas puede capturar más que uno calado durante 6 horas, pero no el doble. Este efecto puede ser considerado como un cambio del poder de pesca o del tiempo efectivo pescando, pero la mejor manera de recoger la información pertinente es en función del tiempo pescando. Si la duración media del lance es constante, el efecto puede no ser importante, aunque en algunas pesquerías la amplitud de tal efecto depende de la abundancia de la población; así, como ejemplo extremo, tenemos una draga para vieiras o moluscos que en algunas pesquerías puede llenarse y cesar de capturar más individuos, quizá, al cabo de 20 minutos, aun cuando se continúe arrastrándola durante media hora o más. Para tales artes, el tiempo pescando se obtiene mejor en una forma que sea conveniente, como, por ejemplo, el número de caladas, haciéndose después un reajuste para los cambios que pueda registrar la duración media de los lances o para cualquier otro efecto de saturación del arte.

4.4 Poder de pesca

El poder de pesca de un arte determinado, es decir, la captura que obtiene de una densidad dada de peces por unidad de tiempo de pesca (en las unidades de tiempo de pesca apropiadas para tal arte) puede considerarse dividido en dos partes:

a) la extensión (área o volumen de agua) sobre la que se extiende la influencia del arte, y dentro de la cual es probable que se capturen los peces (que podemos representar por a);

b) la proporción de los peces existentes dentro de este área que son realmente capturados representada por p).

Indudablemente, si los peces o las actividades de pesca estuvieran distribuidos al azar, entonces la proporción de la población total dentro del área de influencia sería a/A, y la captura sería pa/A x N. Es decir, el producto p x a/A daría una medida directa de la mortalidad por pesca (véase la sección 5.2).

El perfeccionamiento de las técnicas pesqueras puede influir en ambas cantidades. Por ejemplo, para los barcos dedicados a la pesca con redes de cerco, el área de influencia puede aumentarse mediante una mejor exploración - barcos más veloces, empleo de equipo moderno de detección, etc. -, en tanto que la proporción de la población de dicha área que puede ser capturada, puede aumentarse mediante el empleo de una red mayor o con algún equipo de sonar.

Los cambios del poder de pesca son menos importantes en los artes fijos - trampas, líneas, etc. -, en los que la unidad básica de arte - la nasa individual o el anzuelo cebado - no varía mucho y, por tanto, el poder de pesca de cada uno de los barcos se aumenta incrementando el número de nasas o utilizando más anzuelos. El esfuerzo puede, por consiguiente, ser expresado directamente en términos normalizados como número de nasas o número de anzuelos, multiplicado por una media adecuada del tiempo pescando (que, con frencuencia, será una operación ajustada en caso necesario por un índice de duración normal de tal operación).

El poder de pesca de los artes más activos - arrastre, cerco de jareta, etc. - tiene mayores probabilidades de variar con las mejoras que puedan hacerse en el barco o en los artes. Por ejemplo, el tamaño medio de los arrastreros ingleses que pescan en Islandia, casi se ha duplicado durante los 30 últimos años y, probablemente, también el tamaño de la red ha aumentado, aunque los datos sobre los detalles de los artes utilizados no son tan buenos como los datos referentes a los barcos. En esta pesquería, y en algunas otras pesquerías de arrastre analizadas en detalle, el poder de pesca se ha visto que es estrechamente proporcional al tonelaje bruto del arrastrero o a la potencia del motor. Por consiguiente, el tonelaje o el número de caballos de vapor es un índice conveniente del poder de pesca, y los datos de esfuerzo pesquero pueden ser expresados en términos normalizados tales como toneladas-horas (es decir, horas pescando multiplicado por el tonelaje medio de los barcos).

Cuando se trata de los barcos para pesca con redes de cerco también las embarcaciones mayores capturan más que las pequeñas, pero la captura aumenta menos que proporcionalmente al tonelaje. Así, por ejemplo, para la pesquería estadounidense de atún en el Pacífico oriental se han aplicado factores de corrección para cada categoría de tamaño de barcos para ajustar su esfuerzo al de los barcos cuyo tonelaje es de 100 a 200 toneladas; estos factores variaban de 0,60 para los barcos inferiores a 50 toneladas a 1,37 para los mayores de 200 toneladas.

Para este tipo de arte es mejor, si durante el período que se estudia se han registrado cambios apreciables en la flota, tomar un barco o un grupo de barcos como patrón, y determinar de los registros de captura el poder de pesca de los demás barcos, o grupos de barcos, comparado con el del barco patrón. El esfuerzo de pesca para la flota en conjunto podrá ser entonces expresado en términos normalizados.

4.5 Distribución de la pesca

Cuando el poder de pesca y el tiempo pescando han sido totalmente normalizados, la captura por unidad de esfuerzo será proporcional a la densidad media en las zonas donde se ha pescado, habiéndose ponderado el promedio de acuerdo con la intensidad de pesca en cada lugar. Esta densidad media será casi ciertamente mayor que la densidad media verdadera, debido a que la mayor parte de la pesca se había hecho en las zonas de buenas capturas. No obstante, la captura por unidad de esfuerzo constituirá todavía un índice válido de la densidad, a condición de que la relación entre la densidad real y la densidad ponderada por la cantidad de pesca, sea constante. La diferencia entre la densidad media real y la densidad media obtenida en las zonas pescadas puede ser considerada en dos partes que corresponden a la táctica de pesca - obtener la mayor captura en un caladero determinado - y a la estrategia de pesca, elegir los caladeros mejores, teniendo en cuenta ciertos factores como el distinto tiempo de navegación hasta los diferentes lugares de pesca, la diversa composición por especies en tales lugares, los diferentes precios de las distintas especies, etc. En cualquier zona de pesca, que para las pesquerías de arrastre del Mar del Norte puede considerarse, por ejemplo, de 10 millas a lo ancho, la distribución de la actividad de pesca vendrá determinada solamente por la habilidad de los pescadores para encontrar las pequeñas concentraciones locales de peces. La densidad en las partes del caladero en que no se pesca será desconocida, pero la proporción entre la densidad en las áreas pescadas y la densidad media, será generalmente, constante, al menos para un período corto. Durante un período más prolongado, la introducción de nuevos equipos puede permitir a los pescadores concentrarse más eficazmente en los peces, tanto directamente (sondeo acústico) como por medio de una navegación más precisa (por ejemplo, Decca, radar o ecosondas). Estas mejoras pueden ser más fácilmente consideradas y analizadas como variaciones del poder de pesca de la unidad pesquera (barco, más artes de pesca, más otros avíos). Como una primera aproximación, sin embargo, podemos escribir para cualquier caladero a base de la ecuación (4.5):

(4.6)

en la que C = captura, f = esfuerzo.

q, q1 son constantes

y

densidad, ponderada según la intensidad de pesca
D = densidad media real en dicho caladero.

Generalmente, una unidad de población estará distribuida sobre varios lugares de pesca, y la relación entre la captura total y el esfuerzo total será igual a la media ponderada de las capturas por unidad de esfuerzo en los distintos caladeros, ponderada por el esfuerzo en cada uno de ellos, es decir,

en donde C, f son la captura y el esfuerzo totales, y Ci, fi, la captura y el esfuerzo en un determinado caladero.

Como la distribución de la actividad pesquera es probable que varíe de un año a otro, debido a los cambios en la abundancia relativa de las distintas poblaciones, etc., estos factores de ponderación variarán, y asimismo variará la relación entre la captura total por unidad de esfuerzo y la abundancia de la población (a menos que la densidad de peces en todos los caladeros sea la misma).

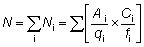
Sin embargo, de la ecuación (4.6) podemos, para cada uno de los caladeros i, cuya área sea, por ejemplo, Ai expresar el número de individuos en la forma siguiente:

Si toda la extensión abarcada por la población puede ser subdividida en regiones, dentro de cada una de las cuales pueda ser aplicada la ecuación (4.6), entonces, sumando, el número total de individuos de la población es:

Si qi es constante = q para todos los caladeros, entonces

y la densidad (4.7)

en la que ;

es decir, que la densidad es la media ponderada de la captura por unidad de esfuerzo en cada subregión, y los factores de ponderación son las áreas de las regiones. Si todas las áreas son de igual tamaño, la fórmula se reduce a:

El esfuerzo efectivo total (es decir, la medida de esfuerzo que se mantendrá proporcional a la mortalidad por pesca independientemente de los cambios en la distribución de los peces y en la actividad pesquera) puede deducirse de la ecuación (4.2) dividiéndola por la captura total, es decir:

Estas fórmulas permiten obtener también índices de densidad para cualquier subgrupo particular de la población, como por ejemplo, un grupo de edad. Si el índice de densidad para toda la población viene dado por la captura total dividida por el esfuerzo total, entonces, el índice para un grupo de edad dado se encuentra dividiendo el número de peces desembarcados de ese grupo de edad (ver la sección sobre muestreo) por el esfuerzo total. En otro caso, el índice se obtiene multiplicando el número de peces de cada edad en una unidad de peso, por el peso capturado por unidad de esfuerzo. Si hay diferencias notables en la composición entre diferentes regiones de la población, entonces tendrán que obtenerse índices de densidad para cada región separadamente, y el índice para toda la población se obtendrá ponderando cada uno mediante las áreas de cada región. El tamaño de esas regiones debe ser lo suficientemente pequeño para asegurar una composición uniforme dentro de ellas, pero en general debe ser mayor que las zonas separadas, las cuales, según se indicó anteriormente, son usadas para dar el índice de densidad total.

El análisis de los datos de captura y esfuerzo por áreas pequeñas es particularmente valioso cuando se explota más de una especie, y cada una de éstas vive en partes ligeramente diferentes, aunque quizás superpuestas, del conjunto de la región de pesca. La proporción de una determinada especie en la captura dependerá entonces, tanto del lugar donde se realizó la captura como de la abundancia de esa especie. Dentro de una subárea lo suficientemente pequeña, sin embargo, la proporción de una especie dada en la captura será más constante, y no se verá afectada por la posición precisa en que se efectúa la pesca.

Otro método para analizar datos de esfuerzo de pesca de especies mezcladas es posible cuando los desembarques puedan ser clasificados según la especie que era el objetivo principal del viaje, por ejemplo, los arrastreros alemanes que pescan al oeste de Groenlandia desembarcan durante el año cantidades aproximadamente iguales de bacalao y gallineta; sin embargo, en los distintos desembarques predomina generalmente una de dichas especies. La densidad de la población de bacalao se estimará entonces partiendo de la captura por unidad de esfuerzo de los arrastreros dedicados a pescar bacalao solamente y la densidad de gallineta de las capturas de los que pescan gallineta. (Otro método ha sido discutido por KETCHEN, en el C.I.E.M. 1964).

4.6 Equipos diversos

Cuando más de un grupo de barcos está explotando una unidad de población - por ejemplo, arrastreros y palangreros, o barcos de varios países - será generalmente difícil o imposible expresar las estadísticas de esfuerzo de todos los barcos en las mismas unidades, y obtener directamente de este modo, un valor para el esfuerzo total. En tal caso puede ser tomada como patrón una sola flota (A) y su captura por unidad de esfuerzo (cpue) tomada como el mejor índice de densidad, y el esfuerzo total estimado como:

Esfuerzo total = Esfuerzo de la flota

Si se dispone de estadísticas razonables de esfuerzo para más de una flota, es mejor calcular primero el valor de la captura por unidad de esfuerzo para cada flota separadamente, y después, comparar los cambios de un año a otro en los índices de abundancia así obtenidos. Si cada índice por separado, sigue la misma tendencia, podemos considerar que esto confirma en parte que cada índice es una medida bastante buena de la abundancia (el grado de confirmación aumenta con la diversidad de las flotas en cuestión, por ejemplo, es más convincente si concuerdan los datos de arrastreros y palangreros, que si concuerdan los de dos flotas de arrastreros). Por el contrario, si hay alguna discrepancia entre dos grupos de valores de captura por unidad de esfuerzo, entonces, uno, y posiblemente ambos, no serán buenas medidas de la abundancia. Antes de usar uno u otro de los grupos de datos, deben examinarse los métodos usados al obtenerlos, para ver donde pudieran surgir las discrepancias (por ejemplo, que una flota haya incluido un creciente número de barcos nuevos y más potentes y que esta circunstancia no se haya tenido en cuenta en las estadísticas de esfuerzo utilizadas). Si dos o más flotas dan índices consistentes de captura por unidad de esfuerzo puede obtenerse un índice combinado de capturas por unidad de esfuerzo (y por lo tanto, de esfuerzo total) expresando el índice para cada flota como un porcentaje de algún año patrón, o de un período de años.

4.7 Ejercicios

1. Descríbanse brevemente los tipos de artes utilizados en las pesquerías con las que se esté familiarizado.

2. ¿De qué medida de esfuerzo se dispone actualmente?

3. ¿Qué medidas de esfuerzo serían idealmente las de mejor aplicación?

4. ¿Cuáles son las causas posibles de las diferencias en cuanto a poder de pesca, o esfuerzo de pesca, entre los barcos o grupos de barcos que componen la flota?

5. ¿Hay razones para suponer que, en algunas de estas pesquerías, la captura por unidad de esfuerzo no es proporcional a la abundancia de la población? En caso afirmativo, ¿puede evitarse esto utilizando una medida mejor del esfuerzo?

6. La tabla que sigue es una simplificación extremada de los datos ingleses sobre la pesca de arrastre en el Mar del Norte, y representa el esfuerzo y las capturas de solla y eglefino en dos años. El área ha sido dividida en 16 subáreas, en cada una de las cuales los datos de captura y esfuerzo han sido registrados separadamente:


Año 1

Año 2

Esfuerzo

5

6

6

3

16

17

13

14

Eglefino

50

48

60

24

208

238

195

168

Solla

0

12

6

0

0

17

13

0

Esfuerzo

8

7

9

8

13

12

13

10

Eglefino

40

49

54

48

130

132

91

80

Solla

16

0

27

8

13

12

26

0

Esfuerzo

10

13

11

14

9

9

(8)

6

Eglefino

40

65

33

56

45

63

(32)

48

Solla.

40

39

22

42

18

18

(8)

18

Esfuerzo

14

15

16

15

5

5

6

4

Eglefino

28

0

16

15

10

5

6

4

Solla

84

90

48

45

25

15

12

8

Obtener:

i) Obtener para cada año, por suma, la captura total de cada especie y el esfuerzo total, y después calcúlese la relación captura total/esfuerzo total.

ii) Trazar un gráfico para cada año, mostrando la captura por unidad de esfuerzo de cada especie en cada rectángulo.

iii) Calcular para cada especie un índice total de densidad, es decir, la captura media por unidad de esfuerzo y la intensidad de pesca efectiva total sobre cada especie en cada año.

Comparar las intensidades de pesca en las dos especies.
Comparar el cambio de densidad entre los dos años medido por la relación captura total/esfuerzo total, y por la captura media por esfuerzo.

iv) Suponiendo que no haya habido pesca en el segundo año en uno de los rectángulos centrales, como se ha indicado por paréntesis en la tabla, ¿cómo se podría calcular la densidad media o la intensidad de pesca efectiva total? Háganse algunas hipótesis razonables sobre la densidad en el área; compruébese el efecto de diferentes hipótesis. Algunas de las hipótesis son: que la densidad es la media de las áreas circundantes; que el cambio respecto al año anterior es el mismo que el de las otras áreas (como caso límite), que la densidad es 0.

7. La tabla que sigue da las estadísticas de captura y esfuerzo de las pesquerías de bacalao en la Región I del C.I.E.M. (Mar de Barents). Las capturas se dan en toneladas (el total incluye las capturas alemanas y noruegas); el esfuerzo de pesca de los barcos ingleses en millones de toneladas-horas (horas pescando x tonelaje medio de los barcos pesqueros); el esfuerzo de pesca de los barcos soviéticos en miles de horas pescando. (Datos tomados del informe del Grupo de Trabajo sobre las Pesquerías del Artico).


Captura

Esfuerzo

Año

Inglaterra

U.R.S.S.

Total

Inglaterra

U.R.S.S.

1946

53,835

117,100

199,640

17.6

104

1947

127,242

151,970

340,758

38.4

149

1948

164,794

158,650

406,620

63.1

162

1949

226,450

162,340

484,942

80.0

171

1950

136,790

135,410

356,474

93.2

161

1951

129,030

189,580

407,989

98.9

231

1952

130,546

258,830

524,160

102,6

247

1953

59,445

261,400

442,839

53.1

275

1954

72,347

404,650

597,534

51.5

340

1955

91,379

530,280

830,694

60.6

373

1956

67,787

512,170

787,070

54.3

492

1957

38,488

183,000

399,595

44.5

-

1958

46,225

146,570

388,067

55.6

-

Calcular la captura por unidad de esfuerzo en las flotas inglesa y soviética.

Calcular el esfuerzo total de pesca en unidades inglesas y soviéticas. Para cada flota, exprésese la captura anual por unidad de esfuerzo como porcentaje del promedio del 1946-56; ¿son iguales las tendencias de las dos series? ¿Puede atribuirse la diferencia al hecho de que una serie contiene un factor (tonelaje) que deja cierto margen para el aumento del poder de pesca de los distintos barcos?

8. Los arrastreros alemanes pescan bacalao y gallineta al oeste de Groenlandia. Sus capturas en toneladas y sus esfuerzos de pesca durante 1958 y 1959 fueron los siguientes (datos tomados de los Statistical Bulletins de la CIPAN):

Año

Especie principal

Días pescando

Captura de bacalao

Captura de gallineta

1958

Bacalao

1,337

26,247

1,754

Gallineta

385

1,277

9,457

Mezclados

199

2,386

1,969


Total

1,921

29,910

13,170

1959

Bacalao

645

12,336

1,087

Gallineta

690

2,705

15,683

Mezclados

169

2,372

2,062


Total

1,504

17,413

18,832

Estimar los cambios (en porcentaje) en las densidades de las poblaciones de bacalao y gallineta entre 1958 y 1959, a partir de las capturas por unidad de esfuerzo dedicado a la pesca de bacalao (para los barcos que fueron a pescar bacalao) y a la de gallineta (para los barcos que fueron a pescar gallineta). Compárense éstas con los cambios en las capturas de bacalo y gallineta por unidad de esfuerzo por todos los barcos en conjunto, y también con los cambios en las capturas por unidad de esfuerzo aplicado al bacalao por los barcos que pescan gallineta y a la gallineta por los barcos que pescan bacalao.


Página precedente Inicìo de página Página siguiente