J. Kepenyes
Fish Culture Research Institute
Szarvas, Hungary
1. GROUPING OF PUMPING STATIONS
2. PUMP WELL
3. SETTING OF PUMPS
4. CHARACTERS OF PUMP SETTING
5. CAPACITY OF THE PUMP STATION
6. CALCULATION OF HEAD
7. PIPE SYSTEM IN THE PUMP HOUSE
8. VALVES
9. PUMPS
10. AUXILIARY FACILITIES
Pumping stations can be grouped as follows:
- pumping water from a water source such as a river;
- for lifting water (high quantity, low pressure) from a well;
- for pumping water into a supply system, elevated water tank or water tower;
- to increase pressure.
Pumping stations for the first two functions are generally of 2-20 m lifting capacity. Pumping stations for obtaining water from a water source have two types depending on the source:
- pumping from surface water (river, canal, lake, reservoir, etc.);- pumping from subsurface water (soil water, deep seated spring, cavern water, spring water, marginal water, etc.) as shown on Figure 2.
For the water supply to fish ponds the first two types are the most commonly used. The construction of these two types are largely the same. The general arrangement of these two types are shown in Figures 1 and 3.
For the water supply to hatcheries, recirculation systems and central pumping stations of fish farms, pumps to catch subsurface water are used as shown in Figure 4.
A pressure intensifier device inserted into the water supply system compensates for lack of pressure, which can be done by:
- discharge air chamber (Figure 7 b)
- revolution control of the pumps (Figure 7 a).
Obstacles to the operation of the pump should be removed, such as branches, sand, pebbles, etc. The pump well for the inlet pipe should be furnished with a grid of 20 mm mesh in case of smaller pumps, and with a grid of 20-50 mm mesh in case of pumps with capacity higher than 1 000 l/sec. The inlet pipe of smaller pumps can be furnished with an inlet rose head for protection.
The size of the pump well should be ten times the water discharge/min. A pump well of bigger size may promote swirling of water.
The difference between the lowest possible water level in the pump well and the inlet part of the suction pipe, can be calculated as follows:
|
|
(m) |
where
v = is velocity of water in the suction pipe (m/s)
g = 9.81 m/sec2 gravitational acceleration.
Generally
h = 0.5 dt (m)
where
dt is the maximum diameter of the bell mouth entry but at least h = 0.3 m.
Figure 1. Pump houses
Figure 2. Pump wells
Figure 3. Pump houses
Pumps or suction pipes with a vertical shaft should not be arranged in series, since swirling of water at the first bell mouth entry may disturb the function of the others, An arrangement, where the water flows perpendicular to the centre line of the bell mouth entry is more favourable. The centre line of the bell mouth entry should be fairly close to the opposite wall of the inlet chamber (the optimal distance is 0.75 dt). Examples for optimal arrangement of pump wells are shown in Figures 5 and 6.
In cases of pumps with large delivery a guide cone should be inserted under the bell mouth entry on the bottom of the pump well so as to control the water stream. Thus the distance between the bell mouth entry and the bottom of the pump well is 0.8 to 1.0 dt (which is 0.35 to 0.5 dt without the guide cone).
There are three ways of setting, considering the type of pump and the inlet chamber.
(a) Pumps of vertical shaft sunk in the water of the pump well;
(b) pumps with vertical or horizontal shafts set in a dry chamber located beside the pump well;
(c) pump of generally horizontal shaft located above the water level.
Within the arrangement mentioned in (a) three further cases are possible:
- Pump is under water and the driving motor is above the water levelIn this case the electric motor is directly joined to the vertical shaft of the pump and is located in a water-free, dry place. The advantage of this solution is the relatively small space-requirement (there is no suction pipe and foot valve) and the easy start and operation (priming is not needed because air can not penetrate into the suction pipe). Its shortcomings are, especially in case of a large level difference between the motor and the pump, the difficulties in fitting the bearings in the vertical shaft, loss in efficiency (due to the several guide bearings), increased corrosion, and difficulty of checking, maintenance and repair (the pump should be drained first). This setting is illustrated in Figure 1. In cases of small delivery sometimes flexible shaft-driven pumps can be used.- Driving motor and main pump are above the water and the first stage under the water level
By applying a first stage submerged part, the pump gets inflow water. No priming is necessary before starting. The level of water delivery is controlled by the upper part, thus the pump in fact, has a double stage made up of a low-pressure (.submerged stage) and a higher-pressure stage. This solution partly eliminates the above-mentioned shortcomings, by having several advantages (power take-off shaft with lower capacity, main part of the pump is easy to maintain).This solution is applied mostly to pumps of high pressure.
- Pump and driving motor under the water level
To these belong the submerged and deep-well pumps. Characteristic settings of these types of pumps are shown in Figure 4, where a submerged pump is set in a driven well, and in Figure 3, where a lifting submerged pump of high delivery is illustrated.
Installing and setting expenses of a pump placed separately in a dry chamber (cf. (b)) are high. Its mechanical construction, operation and maintenance, however, are more economical. The advantage of this arrangement is that no priming or foot valve is necessary. For automatic operation this is the most suitable solution.
Figure 5. Arrangements of pump wells
Figure 6. Arrangements of pump wells
Figure 7 a. Revolution control of pumps
Figure 7 b. Discharge air chamber
Pumps working above the inlet level (cf. also (c) above) are of mostly horizontal arrangement, with lower building and installation cost. Its disadvantage, beside suction difficulties (e.g. leakage, air - or gas development - caused water break, vacuum, cavitation), is that foot-valve and priming is necessary before starting - and all the extra costs coming from these difficulties, and in automatic starting. There are many pumps of this type working well with a suction head of 5-7 m, nevertheless, suction head higher than 3-4 m should be avoided.
The pump stations can be:
- permanently set or
- mobile (Figure 8).
A permanently set pump station should be used if:
(a) the pumping delivery is extremely high;
(b) the annual utilization of the pump station is high (close to 600 hrs);
(c) high operational safety is needed.
A mobile pump station should be used if:
(a) the use of the pump is occasional only, and the utilization is less than 200 hrs annually;
(b) the location of pumping is not permanent.
There is an in-between solution, a temporary set pump station, where the structural parts (tubes, mountings) are built, and the driving motor and pump are mobile.
The water delivering capacity, and thus the number of pumps, is defined by the amount of water to be pumped and its actual fluctuation in time and quantity (daily average, minimum or maximum).
The total capacity of a pump station should be established in such a way that the minimum water discharge is ensured even if several pumps are broken down.
The following Table gives data on the number of pump units and spares making up the total installation.
Table 1
|
Pump units |
Total number |
Delivery of spare pumps as a % of the total number | |
|
necessary for maximum delivery |
for reserve |
|
|
|
1 |
1 |
2 |
50 |
|
2 |
1 |
3 |
33 |
|
3 |
1 |
4 |
25 |
|
4 |
2 |
6 |
33 |
|
5 |
2 |
7 |
29 |
|
6 |
2 |
8 |
25 |
|
7 |
2 |
9 |
22.5 |
|
8 |
2 |
10 |
20 |
The reserve pump is the so-called operational reserve ready to work. In small pump stations, where there is a proper staff, half of the spares are ready to work and the other half in store.
If no significant fluctuation can be expected in consumption, there are generally three pump units of the same delivery, two of them are operating and the third one is the reserve.
6.1 Entrance Loss:
6.2 Resistance of Suction Screen
6.3 Resistance of Foot Valve
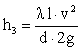
6.4 Pressure Loss Coming from Pipe Friction (h3)
6.5 Valves Built in the Pipeline (Gate Valve, Check Valve, etc.)
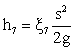
6.6 Pressure Loss from Inversion (h7)
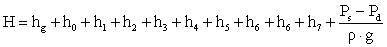
To determine the total head of a pump, the geodetic level difference between the inlet-side and delivery-side water levels and the pressure affecting them (e.g. in a discharge air chamber) should be known as well as the various hydraulic losses during lifting.
|
|
(m) |
where
H = total head (m)
hg = geodetic lifting level (m)
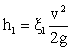
h0 = entrance loss (m)
h1 = resistance of the filter (m)
h2 = resistance of the foot valve (m)
h3 = loss by pipe friction (m)
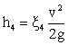
h4 = loss from increase in cross section (m)
h5 = loss from reduction in cross section (m)
h6 = loss from valves (m)
h7 = loss from inversion (m)
Ps = external pressure on the inlet-side water (Pa)
Pd = external pressure on the delivery-side water (Pa)
r = density of water 1 000 kg/m3
g = 9.81 m/sec2 gravitational acceleration
If atmospheric pressure affects the water levels of both inlet and delivery sides the last item is:

|
|
(m) |
where
v = velocity of water on entering the inlet of the pump (m/sec)
x 0 = value in case of not rounded inlet part: 0.8 - 1.0; in case of properly rounded inlet 0.04, i.e. the entrance loss is practically equal to the value which is necessary to accelerate the water.
|
|
(m) |
where
x 1 = value depends on the suction screen; according to preliminary calculation can be 2-3.
In case of a suction screen of proper size and shape with free surface this loss can be markedly reduced.
|
|
(m) |
which is equal to the specific valve-loading, and the loss-factor is gradually decreasing along with the increasing velocity if the valve is automatic
|
if v = 1 |
2 |
3 |
4 |
|
then |
|
|
|
|
x 2 = 6.9 |
1.7 |
0.77 |
0.43 |
If
is higher than 2320, in case of turbulent water stream,
where
l = pipe friction constant
l = length of the pipe-line (m)
v = water velocity in the pipe (m/s)
d = inner diameter (m)
l = kinematic viscosity (m3/sec) as a function of water temperature.
It is 1.3 . 106 at 10°C and 1 . 106 at 20°C
Pipe friction constant according to the latest research data should be calculated with consideration of Re and wall roughness of pipe. The International Congress on Water Supply held in Paris in 1952 accepted the formula of Colebrook for calculating the pipe-friction constant.
Which is
where
k= the absolute roughness of the pipe which can be selected from Table 2.
Values of pressure loss by pipe friction are determined with approximate equations, nomograms or tables. Figure 9 shows the resistance values in cases of steel and polyethylene pipes, while in Table 3 different approximate equations are collected.
Table 2 Absolute values of pipe friction
|
Type of pipe |
Condition of the pipe |
k absolute roughness (mm) |
|
drawn glass-, brass-, lead-, copper-, aluminium-, polyethylene pipes |
new, with smooth wall |
0 (glazed) |
|
|
|
- 0.0015 |
|
drawn steel pipe |
new, with different smoothness |
0.01-0.05 |
|
welded steel pipe |
new |
0.05-0.1 |
|
|
corroded |
0.1 -0.2 |
|
|
heavily corroded |
up to 3.0 |
|
galvanized steel pipe |
new |
0.02-0.12 |
|
asbestos cement pipe |
new |
0 - 0.1 |
|
concrete pipe, tube from concrete |
new concrete, with smoothing, prestressed |
0 - 0.15 |
|
|
new, without smoothing |
0.2-0.3 or |
|
|
reinforced concrete mains with smoothing after few years operating |
0.2-0.3 or above |
In case of gradual (increasing) of cross-section (diffusor), the pressure loss is;
|
|
(m) |
where the length of diffusor piece is at least six times the difference in diameters
x 4 = 0.15 - 0.24
v = the velocity value of the smaller cross-section
If the increase in cross-section is very sudden, i.e. Bordas's loss:
|
|
(m) |
where
x 4 = 1.2 - 1.3
v1 and v2 are the velocity values belonging to the larger and smaller cross-sections, respectively.
In case of a reduction in cross-section (confusor) the pressure loss is:
|
|
(m) |
where
x 5 = 0.02 - 0.05
v = the velocity measured at the narrowest section.
|
|
(m) |
the value of x 6, for a gate valve depends on A/A0 where A is the whole, and A0 is the gate-valve reduced cross section of the pipe.
|
If A/A0 = |
1.05 |
1.1 |
1.4 |
1.8 |
2.5 |
3.0 |
5.0 |
7.0 |
10.0 |
|
then | |||||||||
|
x 6 = |
0.1 |
0.21 |
1.15 |
4.0 |
9.7 |
15.0 |
42.0 |
72.0 |
121.0 |
If a flap valve or regulating flap is used,x 6, values depending on the construction o installation of the flap valve or regulating flap are 1.0-10.0, where the higher values correspond to pipe diameter of 80-300 mm and the lower ones to the diameter of 400 mm or more. As an average, a value of 2-3 can be approximated, but the exact number can be give experimentally only.
For the x 6 value of a butterfly valve, denoting the angle between the plate of the valve and the axis of the pipe
|
If CT = |
0 |
10 |
20 |
30 |
40 |
45 |
50 |
60 |
65 |
70 |
|
|
then | |||||||||||
|
x 6 = |
0.1 |
0.52 |
1.54 |
3.91 |
10.8 |
|
18.7 |
32.6 |
118 |
256 |
750 |
In case of a bend in the pipe
|
|
(m) |
where
x 7 depends on the relation of pipe diameter and radius r of the pipe bend midline, and on the central angle of the bent pipe, that is the degree of inversion.
Using a standard bend of 90° (r = d mm + 100 mm) x 7 = 0.2 if the angle of bending is
|
s = 22½° |
45° |
60° |
90° |
|
then |
|
|
|
|
x 7 = 0.045 |
0.075 |
0.09 |
0.10 |
If there is a direction-break (r = 0), the pressure loss in the pipe-line 2
|
|
(m) |
where
x 7 = 0.7 - 1
s = the vectoral difference between the velocity values before (v1) and after (v2) the breaking point.
Practically speaking v1 = v2 = v, that is the cross-section of the pipe is constant, thus there is no change in the velocity.
|
If a = 22½° |
30° |
45° |
60° |
90° |
|
then |
|
|
|
|
|
s = 0.37 v |
0.5 v |
0.75 v |
1.41 v |
|
With T-profile - the pressure loss corresponds to a 90 direction-break
with Y-profile - the pressure loss is ¾ of the 90 direction-break.
Values given for pressure loss are related to clean water. With sandy or muddy water these values have to be increased according to the extent of pollution.
Table 3 Approximate calculation of pipe friction factor for different types of pipes
l A . da . Reb
where
d = inner diameter of the pipe (m)
|
Type of pipe |
Fault |
A |
a |
b |
Limit of application |
|
Steel |
±10% |
0.094 |
- 0.055 |
- 0.14 |
|
|
New cast-iron |
10...13 % |
0.053 |
- 0.2 |
- 0.08 |
Re < 106 e |
|
Concrete |
|
0.0156 ha k = 0.4 |
- 0.2 |
0 |
|
|
|
|
0.0180 ha k = 0.7 |
|
|
|
|
|
|
0.218 ha k = 1.5 |
|
|
|
|
|
|
0.29 ha k = 4.0 |
|
|
|
|
Asbestos-cement |
|
0.22 |
0 |
- 0.21 |
104 < Re <10° |
Due to the incidental cavitation, the total suction head (H) is very important, and can be calculated with the following formula:
|
|
(m) |
where
hsman = pressure measured in the suction piece of the pump with manometer (m)
P0 = atmospheric pressure (Pa)
v = velocity in the suction pipe (m/sec)
The static pressure (head) of the delivered water significantly changes while passing through the pump from the inlet to the outlet. The minimum overpressure is around the entrance of the impeller. Steam bubbles arise here, if the pressure of the delivered water decreases below the pressure value of saturated steam with the same temperature (cf. Table 4). In the course of energy conversion in the pump, the pressure increases again along the stream when the water is passing through the pump and when it exceeds the pressure of the steam the bubbles are crushed (cavitation) thus starting to destruct the impeller mechanically. To prevent cavitation at the inlet of the pump the minimum inflow pressure should be maintained.
Each pump has a minimum suction head value, at which it can still work. This value is always smaller than the atmospheric pressure value expressed in pressure head of the liquid to be delivered. This value is known in the Anglo-American literature as the necessary "net positive suction head" - that is the NPSH of a pump.
This value can be considered as a loss factor and must be always subtracted from the theoretical suction head. Manufacturing companies always indicate these values for different deliveries and revolutions, since along with the increase of delivery these values increase as well. To apply properly these values, the NPSHa value of the pump under the actual conditions should be calculated with the following formula:
|
|
(m) |
where
hs geod = geodetic suction head (m)
hs = head loss on the inlet side (m)
Pd = steam pressure of the liquid (Pa)
Checking of NPSH of a working system should be performed as follows:
|
(NPSH)a = Hs - Pd |
(m) |
NPSHa ³ NPSH is necessary for cavitation prevention and vibrationless operation.
The actual value of (NPSH)a necessary depends on the characteristics of the liquid, the total height of delivery, the rpm, the delivery and on the shape of the impeller.
A suction screen with as small resistance as possible should be used on the suction pipe. With suction pipes, especially if the pump is not of inflow system, it is very important to reduce the losses to achieve the lowest possible suction head and perfect sealing. Resistance of suction pipe can be reduced with an ample cross-section and short-suction piece, and with the avoidance of sharp curves and directional changes. Velocity on entrance should be 0.8-1.0 m/sec and 1-2 m/sec in the suction pipe so as to decrease entrance loss. The suction pipe should be connected to the inlet of the pump with the shortest possible reducing piece so as to avoid the decrease of velocity below 0.8 m/sec, and to prevent air segregation and corrosion. With the application of the shortest possible vertically or slightly (1-2%) declining suction pipe, the formation of air locks can be prevented.
If air segregation occurs at any part of the pipeline, it should be solved with de-aeration of the actual part by properly connecting it to a deaerator. Reducing pieces built in a horizontal suction pipe should be asymmetric to the upper, horizontal mounting. Suction pipe after connecting should be checked with hydrostatic tests to prevent leakage. Subsurface suction pipes and syphons should always be made of welded steel.
In the case of delivery pipes in the pump house, a velocity of 2 m/sec is the most economic. Connection to an external pipeline of bigger cross-section should be done outside of the pump house. Velocity higher than 2 m/sec is admissible for temporary fluctuations of water amount only, and for as short time as possible.
In ease of marked fluctuation of the water amount, two delivery pipes should be applied, which besides ensuring an even velocity, results in a safer operation. In this case all the pumps should be attached to a common collecting main to both ends of which delivery pipes are connected. With the help of a gate valve in the middle of the collecting main, the two delivery pipes and the pump units can be operated separately.
A suitable gate valve or other cut off device should be inserted in the delivery pipe of each pump possibly close to the outlet of the pump or in case of an inflow system before the inlet of the pump as well, in order to cut off the pump. To prevent reflux of water in the delivery pipe, in case of a sudden stop of the pump, especially if several pumps are operated on a common delivery pipe, a flap valve or regulating flap should be inserted between the pump and the gate valve on the delivery side.
Pipes in the pump house should be made of flange joint cast iron or welded steel. Use of flanges meaning extra cost and source of operational faults should be restricted to connections to pumps and pipe fitting.
To render dewatering of the common delivery pipe possible, a gate valve regulated branch pipe should be inserted at the deepest part of the common delivery pipe depending upon its size and the quantity of the water to be drained.
To cut off the pipeline as well as to control the amount of water passing through different valves such as gate valves, ring valves or flap/butterfly valves are applied. They are manually operated. If the gate valve is bigger than 800 mm and fast and frequent operation is expected, or automatic or distant-control is needed, the device can be run by hydraulic or electric control.
In case of distant operation, a jam proof wedge gate valve should be applied or a parallel slide valve, cup valve or flap valve. If the space is limited, a butterfly valve or flap valve can be used with manual, electric or hydraulic operation. To ensure smooth operation and safety shut off of pipelines with high pressure and cross-section of 400 mm or more ring or cup valves can be inserted.
If the pump stops, efflux can be prevented with a flap valve, or regulating flap. Automatic butterfly valves or a ring valve cause less pressure loss or resistance than flap valve does.
With intake pipes of pools and wells, with a pressure of 0-2 m water column, a catch mounted on the end of the tube should be applied, with automatic cut off.
To take unilateral pressure or to cut off intake pipes of wells, sluices moving between the walls of the well or sliding sluice-valves are used. They are operated with spindle-drive up to 3-4 m water pressure. At higher water pressure, diameter rack-drive or sliding sluices, or sluice valves provide the best solution. The sluices are generally controlled manually. Electric or hydraulic drive is only occasionally used (e.g. at very quick cut off, or open, in case of automatic operation).
9.1 Choice of the Proper Type of Pump
9.2 Control of Delivering Capacity
For water delivery rotary pumps are used almost exclusively. For water catchment, for primary lifting of a small amount of water at little heights (2-12 m), and for amounts higher than 200 l/sec, by providing the proper possibilities as to inflow, the propeller pump is the most suitable in one or two-step operation. The same type can be applied in case the delivery requirements are higher than 500 l/sec at changing lifting heights, with adjustable blades.
Water level fluctuation can be as high as 8-11 m at plants for water catchment. In such places, a pump with a steep characteristic is favourable, but if a pump of proper type and capacity cannot be mounted, separate pumps should be installed for the lower or higher lifting levels. At a lifting level higher than 30 m up to approximately 150 l/sec capacity multi-stage pumps should be applied. For higher lifting levels, up to 150 m, one stage pumps are optimal especially for delivery of water amounts more than 150-200 l/sec. Pumps at such lifting levels should be set under the water level, so as to prevent vacuum formation, and to ensure the inflow prescribed by the manufacturer. To pump water of a driven well, a submerged pump should be used.
Capacity of a pump station can be controlled with the simultaneous application of pumps of different delivery capacity. For one delivery pipe a maximum of three pumps, with intermittent running, with revolution control throttling, and bypass can be used. The most simple is throttling in the delivery pipe (Q, H), and thus the amount of water delivered can be reduced according to the throttling curve. It should be kept in mind, however, that this type of control results in a loss of efficiency, therefore it can only be temporarily applied. Control with throttling is not feasible with pumps of propeller or wing blade, due to the overloading of the motor. Control is made with adjustable blades with high capacity pumps with wind blades.
Permanent pumps usually are driven by directly connected electric motors with constant speed. Mobile pumps are generally driven by Otto or Diesel engines.
For centrifugal pumps, where the suction level is under the pump, i.e. there is no inflow, and a foot valve cannot be used because of the high delivering capacity or other reasons, priming is necessary before starting. For priming, electric motor driven watering vacuum pumps are the most suitable. With the pumps of smaller stations, starter tanks, or extra-resistance forming, self-priming pumps are applied.
To make installation and mounting easier, above the machines in the pump house of smaller stations a crane with suspended pulley block should be mounted above the pumps. In pump stations of several pumps of high capacity an overhead electric traveller should be installed.
Table 4
|
Temperature of water |
Steam pressure |
Density of water | ||
|
t |
T |
Pd |
r | |
|
0 |
273.15 |
0.006107 |
0.9998 | |
|
1 |
274.15 |
0.006566 |
0.9999 | |
|
2 |
275.15 |
0.007056 |
0.9999 | |
|
3 |
276.15 |
0.007577 |
1.0000 | |
|
4 |
277.15 |
0.008131 |
1.0000 | |
|
5 |
278.15 |
0.008722 |
1.0000 | |
|
6 |
279.15 |
0.009349 |
0.9999 | |
|
7 |
280.15 |
0.010016 |
0.9999 | |
|
8 |
281.15 |
0.010725 |
0.9998 | |
|
9 |
282.15 |
0.011477 |
0.9997 | |
|
10 |
283.15 |
0.012275 |
0.9996 | |
|
11 |
284.15 |
0.013122 |
0.9995 | |
|
12 |
285.15 |
0.014020 |
0.9994 | |
|
13 |
286.15 |
0.014971 |
0.9993 | |
|
14 |
287.15 |
0.015979 |
0.9992 | |
|
15 |
288.15 |
0.017045 |
0.9990 | |
|
16 |
289.15 |
0.018174 |
0.9988 | |
|
17 |
290.15 |
0.019367 |
0.9987 | |
|
18 |
291.15 |
0.02063 |
0.9985 | |
|
19 |
292.15 |
0.02196 |
0.9984 | |
|
20 |
293.15 |
0.02337 |
0.9982 | |
|
21 |
294.15 |
0.02486 |
0.9979 | |
|
22 |
295.15 |
0.02643 |
0.9977 | |
|
23 |
296.15 |
0.02808 |
0.9975 | |
|
24 |
297.15 |
0.02982 |
0.9972 | |
|
25 |
298.15 |
0.03166 |
0.9970 | |
|
26 |
299.15 |
0.03360 |
0.9967 | |
|
27 |
300.15 |
0.03564 |
0.9964 | |
|
28 |
301.15 |
0.03778 |
0.9961 | |
|
29 |
302.15 |
0.04004 |
0.9958 | |
|
30 |
303.15 |
0.04241 |
0.9956 | |
|
31 |
304.15 |
0.04491 |
0.9952 | |
|
32 |
305.15 |
0.04753 |
0.9949 | |
|
33 |
306.15 |
0.05028 |
0.9946 | |
|
34 |
307.15 |
0.05318 |
0.9942 | |
|
35 |
308.15 |
0.05621 |
0.9939 | |
|
36 |
309.15 |
0.05939 |
0.9935 | |
|
37 |
310.15 |
0.06273 |
0.9932 | |
|
38 |
311.15 |
0.06623 |
0.9929 | |
|
39 |
312.15 |
0.06990 |
0.9926 | |
|
40 |
313.15 |
0.07374 |
0.9922 | |
|
41 |
314.15 |
0.07776 |
0.9918 | |
|
42 |
315.15 |
0.08197 |
0.9914 | |
|
43 |
316.15 |
0.08638 |
0.9910 | |
|
44 |
317.15 |
0.09099 |
0.9906 | |
|
45 |
318.15 |
0.09581 |
0.9902 | |
|
46 |
319.15 |
0.10084 |
0.9898 | |
|
47 |
320.15 |
0.10611 |
0.9893 | |
|
48 |
321.15 |
0.11161 |
0.9889 | |
|
49 |
322.15 |
0.11735 |
0.9885 | |
|
50 |
323.15 |
0.12334 |
0.9880 | |
|
51 |
324.15 |
0.12959 |
0.9877 | |
|
52 |
325.15 |
0.13611 |
0.9872 | |
|
53 |
326.15 |
0.14292 |
0.9867 | |
|
54 |
327.15 |
0.15001 |
0.9862 | |
|
55 |
328.15 |
0.15740 |
0.9857 | |
|
56 |
329.15 |
0.16509 |
0.9852 | |
|
57 |
330.15 |
0.17311 |
0.9847 | |
|
58 |
331.15 |
0.18146 |
0.9843 | |
|
59 |
332.15 |
0.19015 |
0.9837 | |
|
60 |
333.15 |
0.1992 |
0.9832 | |
|
61 |
334.15 |
0.2086 |
0.9826 | |
|
62 |
335.15 |
0.2184 |
0.9821 | |
|
63 |
336.15 |
0.2285 |
0.9816 | |
|
64 |
337.15 |
0.2391 |
0.9811 | |
|
65 |
338.15 |
0.2501 |
0.9805 | |
|
66 |
339.15 |
0.2615 |
0.9800 | |
|
67 |
340.15 |
0.2733 |
0.9794 | |
|
68 |
341.15 |
0.2856 |
0.9788 | |
|
69 |
342.15 |
0.2984 |
0.9783 | |
|
70 |
343.15 |
0.3116 |
0.9777 | |
|
71 |
344.15 |
0.3253 |
0.9771 | |
|
72 |
345.15 |
0.3396 |
0.9766 | |
|
73 |
346.15 |
0.3543 |
0.9760 | |
|
74 |
347.15 |
0.3696 |
0.9754 | |
|
75 |
348.15 |
0.3855 |
0.9748 | |
|
76 |
349.15 |
0.4019 |
0.9743 | |
|
77 |
350.15 |
0.4189 |
0.9737 | |
|
78 |
351.15 |
0.4365 |
0.9730 | |
|
79 |
352.15 |
0.4547 |
0.9725 | |
|
80 |
353.15 |
0.4736 |
0.9718 | |
|
81 |
354.15 |
0.4931 |
0.9713 | |
|
82 |
355.15 |
0.5133 |
0.9706 | |
|
83 |
356.15 |
0.5342 |
0.9699 | |
|
84 |
357.15 |
0.5557 |
0.9694 | |
|
85 |
358.15 |
0.5780 |
0.9687 | |
|
86 |
359.15 |
0.6011 |
0.9681 | |
|
87 |
360.15 |
0.6249 |
0.9674 | |
|
88 |
361.15 |
0.6495 |
0.9667 | |
|
89 |
362.15 |
0.6749 |
0.9660 | |
|
90 |
363.15 |
0.7011 |
0.9653 | |
|
91 |
364.15 |
0.7282 |
0.9647 | |
|
92 |
365.15 |
0.7561 |
0.9640 | |
|
93 |
366.15 |
0.7849 |
0.9633 | |
|
94 |
367.15 |
0.8146 |
0.9626 | |
|
95 |
368.15 |
0.8453 |
0.9619 | |
|
96 |
369.15 |
0.8769 |
0.9612 | |
|
97 |
370.15 |
0.9094 |
0.9604 | |
|
98 |
371.15 |
0.9430 |
0.9598 | |
|
99 |
372.15 |
0.9776 |
0.9590 | |
|
100 |
373.15 |
1.0132 |
0.9583 | |
|
102 |
375.15 |
1.0878 |
0.9568 | |
|
104 |
377.15 |
1.1667 |
0.9555 | |
|
106 |
379.15 |
1.2504 |
0.9540 | |
|
108 |
381.15 |
1.3390 |
0.9526 | |
|
110 |
383.15 |
1.4326 |
0.9510 | |
|
112 |
385.15 |
1.5316 |
0.9496 | |
|
114 |
387.15 |
1.6361 |
0.9480 | |
|
116 |
389.15 |
1.7464 |
0.9464 | |
|
118 |
391.15 |
1.8627 |
0.9448 | |
|
120 |
393.15 |
1.9853 |
0.9431 | |
|
122 |
395.15 |
2.1144 |
0.9415 | |
|
124 |
397.15 |
2.2503 |
0.9398 | |
|
126 |
399.15 |
2.3932 |
0.9382 | |
|
128 |
401.15 |
2.5434 |
0.9365 | |
|
130 |
403.15 |
2.7011 |
0.9348 | |
|
132 |
405.15 |
2.8667 |
0.9332 | |
|
134 |
407.15 |
3.041 |
0.9314 | |
|
136 |
409.15 |
3.223 |
0.9296 | |
|
138 |
411.15 |
3.414 |
0.9279 | |
|
140 |
413.15 |
3.614 |
0.9261 | |
|
145 |
418.15 |
4.155 |
0.9217 | |
|
150 |
423.15 |
4.760 |
0.9169 | |
|
155 |
428.15 |
5.433 |
0.9122 | |
|
160 |
433.15 |
6.180 |
0.9074 | |
|
165 |
438.15 |
7.008 |
0.9024 | |
|
170 |
443.15 |
7.920 |
0.8973 | |
|
175 |
448.15 |
8.925 |
0.8921 | |
|
180 |
453.15 |
10.027 |
0.8869 | |
|
185 |
458.15 |
11.234 |
0.8814 | |
|
190 |
463.15 |
12.552 |
0.8760 | |
|
195 |
468.15 |
13.989 |
0.8703 | |
|
200 |
473.15 |
15.551 |
0.8647 | |