Previous Page Table of Contents Next Page


Chapter 2. Policy and management research in the CGIAR system


2.1. A General overview of policy and management research in the System
2.2. A General interpretative framework for policy research


2.1. A General overview of policy and management research in the System


2.1.1. Quantitative importance of policy and management research in the System
2.1.2. Policy research
2.1.3. Management research
2.1.4. Socioeconomic research


2.1.1. Quantitative importance of policy and management research in the System

The overall importance of social science research in the CGIAR and the relative importance of its three components - socioeconomic, policy, and management research - are given by Centre in Table 2.1. These data are derived from answers to the questionnaire sent to Centres for this study. The overall allocation of CG scientists to the social sciences is 17.4% and the corresponding budget allocation is 14.8%. This indicates that the social sciences have assumed a major role in the System, raising the question, which will be addressed in chapter 7, whether this share seems to be too high or not. The smaller share of budgets compared to scientists presumably reflects the fact that social scientists are cheaper because they do not require extensive laboratory facilities. Social scientists are not only engaged in research but also importantly in outreach, including institutional development, and in training activities.

In addition to IFPRI, IIMI, and ISNAR which are primarily social science oriented, some other Centres are heavily vested in the social sciences. This includes CIFOR (34.8% of its scientists), ICRAF (17.3%), ICARDA (16.4%), ILRI (14%), CIP (13.5%), ICLARM (12.5%), and CIAT (10.2%). The larger crop improvement and primarily biophysical centres such as CIMMYT (8.1%), IRRI (8.3%), and ICRISAT (8.9%) have lower shares of their scientific staff in the social sciences. In the "Other Centres" in Table 2.1, socioeconomics is vastly more important than policy and management research: overall the distribution of scientists is 8.3% to socioeconomics, 3.2% to policy, and 0.4% to management. In the three social science centres, policy is the dominant activity due to IFPRI's weight (45.3% of all scientists), followed by management (9.8%), and socioeconomics (9.2%). These three social science centres account for 103 of the System's 937 scientists, or 12.4% of the total.

2.1.2. Policy research

The lead Centre for policy research is IFPRI with a budget of US$9.3 million in core funds and US$4.5 million in complementary funds, or a total budget of US$13.8 million in 1994. At that date, IFPRI had 32 research fellows (including the DG, division directors, and a visiting research fellow) and a total of 30 social scientists. Research is organized in four divisions: environment and production technology, markets and structural studies, food consumption and nutrition, and trade and macroeconomics. Institution strengthening is managed by an outreach division. The MTP focuses on four areas of research: accelerated growth and transformation of agriculture, natural resource management policies, market economic reforms and trade policies, and household food security and nutrition. It is implementing this programme through 17 multicountry programmes that focus on strategic research issues with expected large payoffs. This research is wide ranging, covering subjects from macro problems of structural adjustment and its impact on agriculture to intra-household and nutritional effects of credit programmes and technological change policies. IFPRI is a highly visible institution, with the 20/20 Vision for Food, Agriculture, and the Environment programme as a case in point. It has generated an intense flow of publications and manages a large number of collaborative research programmes with foreign institutions and with other CG Centres. In general, the relevance and intensity of IFPRI's contributions have been highly praised in the economic profession and international community. Its scientific credibility is well established and it is widely known in LDC policy circles.

According to medium-term plans and answers to the questionnaire, other Centres with involvement in policy research are as follows (for greater details see Annex):

- CIAT has a small commitment to policy research, identifying only two areas of work: the dynamics of land use, in collaboration with IFPRI, and the policy determinants of sustainability.

- CIFOR has a significant commitment to policy research, with 44% of its social scientists devoted to this activity and 6.5% of the Centre's total research budget. However, it stresses the tendency of its scientists to work on socioeconomic and policy issues in an interrelated fashion, thus making separation between the two difficult. Themes addressed include the determinants of diffusion of technical improvements in forestry, the policy determinants of sustainability of forests resources, policy options to increase employment and income from forests, equity in the distribution of benefits from forestry, and extra-sectoral influences on tropical forests including the role of the policy-making process. Specific research projects include the formulation and implementation of African forest policies, international comparisons of the intersectoral linkages with tropical forests, links between policies and livelihoods in the Amazon forest margins, and reforestation policies on degraded lands in Asia.

- CIMMYT does not have projects with a main focus on policy research, but much of its socioeconomic research has policy components. Examples of sub-projects with a policy content are analysis of the determinants of adoption of resource-conserving cropping practices in Mexico and Central America (with IFPRI and CIAT) and preparation of materials for workshops on policy reforms in Central America.

- CIP similarly does not consider that it has distinct policy, management, and socioeconomic projects, but that these activities are all integral parts of larger, umbrella-like multi-disciplinary projects, with differential weights given to the three social science components according to the nature of each project. Projects with an important policy component include the characterization of constraints and opportunities for potato and sweetpotato production in the Andes, evaluation of the impact and sustainability of potato production technologies, determinants of the expanding utilization of potato in less developed countries (with IFPRI), and post-harvest management of Andean food commodities.

- ICARDA has a large share of its scientists devoted to the social sciences (16.4%) although only 2.7% are engaged in policy research. However, boundaries between socioeconomic, management, and policy research are again stated not to be clear. Projects with a significant policy component include analysis of land tenure and public management of common property resources including rangeland and groundwater resources, management of natural resources at the farm level with emphasis on the behavioral implications of distortive policy incentives, and constraints on adoption of improved practices, particularly for range management, including the role of inappropriate incentives that lead to misuse of resources. It collaborates with IFPRI in a regional programme for integrated crop/livestock production in WANA.

- ICLARM has significant socioeconomic research but very limited explicit policy activity. Research with policy content includes the development of systems for the co-management of fisheries, and integrated resource management in small-scale mixed-enterprise farming systems. It plans to collaborate with IFPRI on themes of common property resources and fisheries policy.

- ICRAF allocates 15% of its budget and 17.3% of its scientists to social science research. It has an explicit policy research programme where the main themes are the identification and analysis of policy constraints to adoption of agroforestry technologies and the development of alternative policies to facilitate adoption.

- ICRISAT strongly stresses the need for and existence of a continuum between socioeconomic and policy research. It has had a significant programme in the socioeconomic analysis of farming systems, household behavior, and village economies, with important policy implications. It collaborates with IFPRI on resource management research.

- IITA has a small social science programme but 41% of the social science budget is allocated to policy research. Policy research is contained in projects addressing the determinants of adoption of improved practices and systems in moist savanna agroecosystems (in collaboration with ILRI), and opportunities for improving welfare while arresting resource degradation in humid forest zone development (in collaboration with ICRAF).

- ILRI (formerly ILCA) has been actively involved in policy research with 8 senior social scientists and 4 associate social scientists, and 15% of its budget allocated to socioeconomic (12%) and policy (3%) research. However, socioeconomic and policy research are again difficult to separate. ILRI's policy programme focuses on four research themes: market and consumption of livestock products, animal health and disease control policies, macroeconomic reforms and livestock sector development, and resource management policy. It has defined four areas of collaboration with IFPRI: production systems in Sub-Saharan Africa; macro-economic reforms, regional integration, and the livestock sector in West Africa; reforms for animal-health input markets; and determinants of competitiveness of and demand for domestic dairy products in Sub-Saharan Africa.

- While mainly devoted to management research, IIMI also engages in policy research with 15.4% of its social science research budget allocated to this activity. Projects with a dominant policy component include the strengthening of irrigation management in Egypt and improvement of the national water management programme in India.

- IPGRI has a small social science research budget (6%), but 35% of it is devoted to policy research. Themes with policy content include the analysis of policy issues relating to genetic resource management, national and international structures, and intellectual property rights issues relating to plant genetic resources and their conservation and access; and feasibility study on options for a multilateral system for plant genetic resources conservation and use.

- IRRI devotes 7.2% of its budget to social science research but only 1% to policy research. The latter includes long-term projections and policy implications of rice supply and demand in Asia (with IFPRI); and analysis of the roles of technology, price, and non-price factors in the development of rice economies of Asia.

- WARDA allocates 8% of its budget to social science research, half of it for policy analysis. Policy research includes the analysis of comparative advantages of rice production systems in West Africa and the analysis of pesticide use and policies in Côte d'Ivoire.

While principally dedicated to management research, ISNAR and IIMI are also contributing to policy research. A full characterization of policy research in the System would need to identify these contributions as well.

2.1.3. Management research

Centres specialized in management research are ISNAR for research on research policy and on the management of research, and IIMI for research on water management.

- ISNAR tackles several management issues in its programmes. Some of these are not "management" in a narrow sense, such as research programme design, which is concerned with both macro-level priority setting that belongs to policy, and with institute level scientific programme management. Other aspects that have received considerable attention are monitoring and evaluation systems generally, as well as some specific thematic issues, such as organizing for natural resource management research. ISNAR's programme on "Management of Organizations and Resources" gave considerable attention to the development and installation in several countries of a NARO management information system (INFORM). Other aspects of ISNAR's research include the management of human (including gender), financial, physical, and information resources by NARSs.

- IIMI engages in a wide range of aspects of water management research that includes assessment and improvement of the performance of irrigated agriculture, sector-level management of irrigated agriculture, improvement of public irrigation organizations, local management of irrigation systems, and the sustainable management of water delivery and disposal. Cross-cutting themes include gender issues in the performance of irrigated agriculture, health and environmental problems related to irrigation, analysis of technological options, and development of a global data base on irrigated agriculture. An important feature of IIMI's management work it that, following extensive privatizations and devolution of management to users, it has expanded its research beyond the public management of irrigation systems to the role of water users associations and the determinants of cooperative behavior in the management of common-property water resources.

- Among other Centres, most declare not to have a specific management research component, even though management aspects may enter indirectly through socioeconomic and policy research. Centres with no explicit management research are CIAT, CIMMYT, ICLARM, ICRAF, ICRISAT, IITA, ILRI, and WARDA.

- CIFOR devotes a small fraction (1.3%) of its budget to management research. This research includes a survey on research manpower in the South African development community, and identification of the policy and management barriers to application of forestry research results.

- CIP has minimal management research that mainly enters through projects with socioeconomic or policy objectives. This is for instance the case with research on characterization of constraints and opportunities for potato production in the Andes.

- ICARDA is conducting institutional research on property rights and public/local institutions that regulate use of rangelands (in cooperation with IFPRI). It is seeking support to expand its research on the public management of underground water for irrigation.

- IPGRI does research on the design, organization, and management of plant-genetic resource activities in NARSs.

- IRRI conducts management research on the setting of priorities in rice research. This includes analysis of yield gaps, identification of research priorities and estimation of payoffs from research, and assessment of rice-research capacity in the Asian NARSs.

While principally engaged in policy research, IFPRI also conducts management research. This includes public management research which is an important component of public policy research. In addition, IFPRI has become increasingly involved in research on research management, water management, and forestry management, generally in collaboration with the corresponding specialized Centres, namely ISNAR, IIMI, and CIFOR.

2.1.4. Socioeconomic research

This is the most important area of social science research in the Centres other than IFPRI (policy research) and ISNAR and IIMI (management research). The nature of this research has been analyzed in another TAC special study and we only make general reference to this type of research principally because it is both essential for policy and management research and often hardly separable from these two. Even IFPRI, ISNAR, and IIMI do considerable socioeconomic research since analysis of the behavior of consumers, producers, households, communities, associations, managers, rent seekers, and policy makers are fundamental cornerstones of policy and management research.

In principle, socioeconomic research conducted by Centres where biophysical research is dominant has as a purpose to guide research resource allocation toward priority areas, help in technology design, assess the determinants of adoption of new technologies, and determine the impact of diffusion of these technologies on welfare and the environment. For this type of research, the biophysical centers have a comparative advantage over IFPRI as they can most easily mobilize the necessary interdisciplinarity with biological scientists. This research has an important service function in giving guidelines to researchers and the Centres. In fact, socioeconomic research covers a wide array of issues, showing that it has become an integral component of research programmes as research questions and the CO mandate have become increasingly more complex and holistic. No longer is socioeconomic research introduced as a prop to the definition and diffusion of technological change, but it has become an undissociable component of the search for solutions to complex interdisciplinary problems. This is, of course, the main reason why social science research has acquired growing importance in the CG's total research portfolio.

It is worth noticing that 17 out of 78 scientists devoted to socioeconomic research in the CGIAR, or 22%, are at ICRAF. This percentage raises to 25% when IFPRI, ISNAR, and IIMI are excluded. The Panel could not look into the reasons for this disproportionately high presence of socioeconomic research at this particular Center.

Some examples of the wide array of issues addressed by Centres' socioeconomic research is indicated by the following answers to the Centres' questionnaire:

- CIAT focuses mainly on the analysis of prototype production systems and participatory research methods.

- CIFOR conducts research on household strategies and community differentiation in the production of non-traditional forest products in Sri Lanka, household economics and forest use in Brazil, interactions between environment and population in Thailand, forests and food security, income generation and incentives for forest management, and the social dimensions of sustainability criteria.

- CIMMYT's socioeconomic research addresses questions of global maize research and the maize seed industries, the conservation of germplasm diversity, impact assessment of research in wheat and maize, priority setting and research resource allocation (with IFPRI), the determinants of adoption of long-term conservation investments, and the diagnosis of natural resource management issues.

- CIP's socioeconomic research is integrated in the same topics that are part of its policy research programme mentioned above.

- ICARDA's socioeconomic research focuses on the economic analysis of production systems and the exante and expost analysis of new technology options. Projects address integrated crop/livestock production, water resource management, water harvesting, and farmers' participation in and use of local knowledge at breeding barley for specific adaptation.

- ICLARM conducts socioeconomic research on the dissemination and evaluation of genetically improved fish strains, the bioeconomic modeling of capture fisheries, and bioeconomic models of coastal aquaculture systems.

- ICRAF's socioeconomic research includes the development of typologies of land-use systems and farmers, the development of ecological-economic models which predict the adoption potential and sustainability of improved agroforestry practices, and the evaluation of the actual ecological, social, cultural, and economic impacts of adoption of agroforestry practices.

- IITA's socioeconomic research includes improving postharvest systems, the diversification of humid forest production systems, improvement of yam-based systems, and the determinants of cassava productivity under various ecological conditions.

- ILRI's research includes a wide range of themes focusing on the economic and environmental impacts of livestock disease control, the economics of mixed crop-livestock systems, the socioeconomic analysis of livestock production and natural resource management, the economics of peri-urban dairy systems, and impact assessment and priority setting studies.

- IPGRI's research addresses the role of gender in plant genetic resource conservation and use, documentation of indigenous knowledge for farmers and scientists, and the effect of conservation and use of germplasm on socioeconomic development through agricultural development.

- IRRI's socioeconomic research focuses on the determinants of adoption of knowledge intensive rice technology, understanding the risks in rainfed rice farming, and the impact of rice technology on rural income distribution and poverty.

- WARDA's research agenda includes farmers' perceptions and adoption of new rice varieties, the economics of rice-based cropping systems, agricultural intensification and women, economic constraints to rice based rotations in the Sahel, differentials in economic efficiency for small and large rice farmers, and the rate of return to rice breeding research.

2.2. A General interpretative framework for policy research

This review of the Centres' social science research shows that there is a defacto continuum between socioeconomic, management, and policy research that makes it difficult to neatly separate these activities and allocate budgets to each. This is due to the double fact that socioeconomic research is an essential component of policy research and that few socioeconomic studies end without extracting policy and management implications from the results obtained. As a consequence, it could be said that there is much more on-going policy and management research in the System than formal separations imply. Attempts to differentiate between socioeconomic, management, and policy research remain, however useful they may be as rough indicators of priorities in research projects.

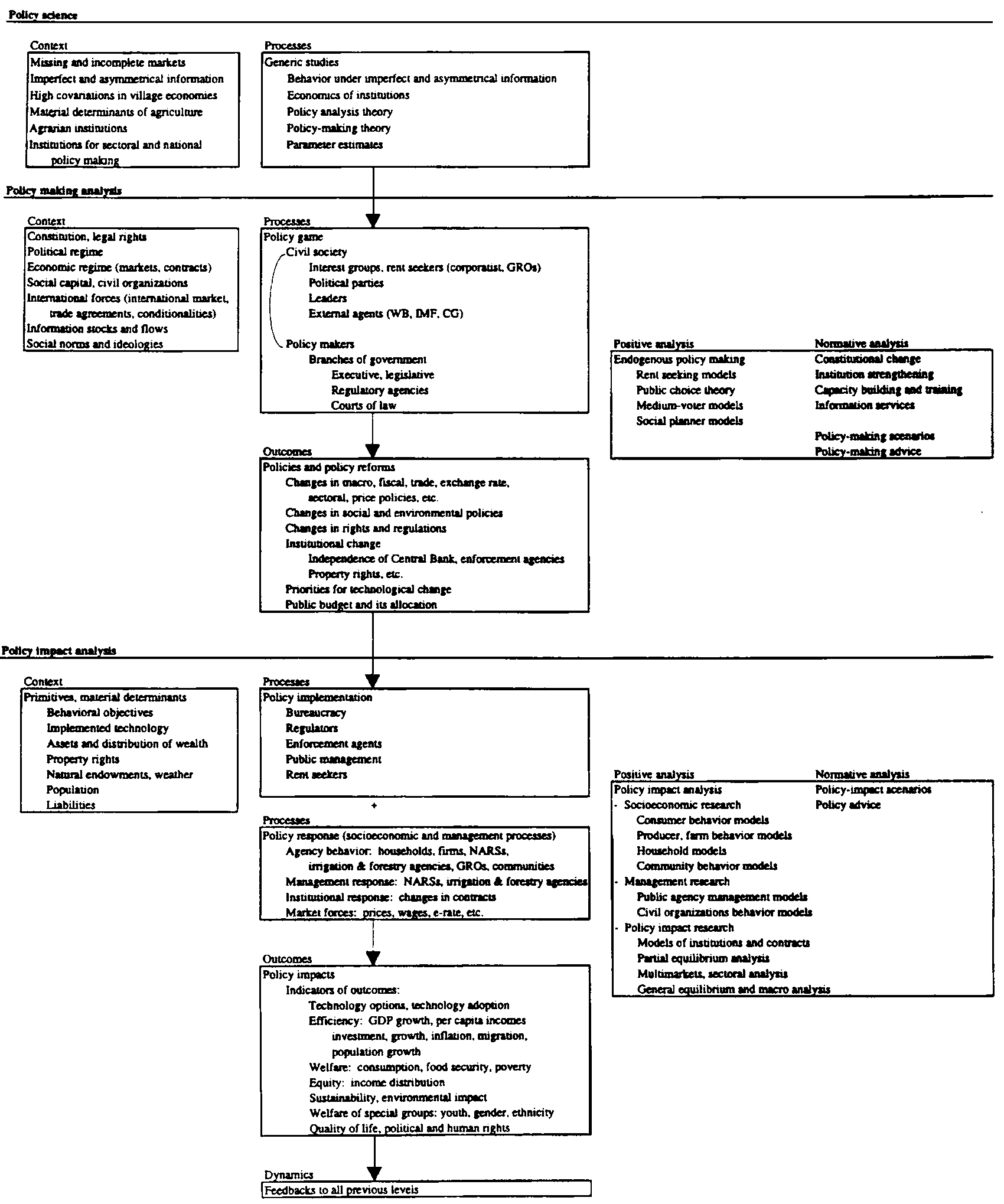
We use Figure 2.1 to show how socioeconomic and management research are essential components of policy research, while socioeconomic and management research can stand alone without necessarily being part of policy research. Here, we do not analyze the processes of socioeconomic and management research per se in as far as they are separate elements from policy research, but only that part of socioeconomic and management research which is a subset of policy research. We distinguish between three levels of policy research: (1) policy science which develops the methodological foundations of policy analysis; (2) the analysis of policy-making where policies and reforms are endogenous outcomes; and (3) the traditional analysis of policy impact, where policies and policy reforms are taken as exogenous changes.

Policy science is located upstream from policy making and policy impact analyses. It aims at developing a set of theoretical and methodological instruments to understand the behavior of agents and institutions, and the processes through which policy is made and policy has impact. The context where these generic studies are to be developed is characteristic of the structural features of the less-developed economies with pervasive missing and incomplete markets, imperfect and asymmetrical information, high covariations in the random events of village economies, locally specific agrarian institutions, as well as locally specific institutions for sectoral and national policy making. Policy science thus acquires specificity to the context of the less-developed economy that warrants a specialization distinct from policy science in the context of industrialized nations. In pan, this is what justifies the need for some policy science exercise at IFPRI as it addresses policy questions in a context that may be understudied in the universities and research institutes of the more-developed economies.

Policies and policy reforms, which constitute the outcomes of policy making, may concern macro and sectoral issues, social and environmental questions, rights and regulations, institutions, priorities for technological change, and public budgets and their allocation. These policies may be more or less effectively implemented according to the bureaucracy, regulators, enforcement agents, public managers, and the power of rent seekers.

Implementation of policy reforms induces behavioral responses in a whole range of agents and agencies. It is the analysis of these behavioral patterns and the changes in them induced by policy that requires socioeconomic and management research. Responses originate in a wide array of actors whose behavior needs to be understood to do analysis of policy impact. They include consumers, producers, households, NARSs, irrigation and forestry agencies, grassroots organizations (GROs), and communities. Socioeconomic research typically attempts to explain, through estimated or calibrated formal models, or though observation of regularities in behavior, how these actors have responded or will respond to policy changes. Responses include management and institutional responses (e.g., changes in contracts). Agency, management, and institutional responses in turn induce changes in market forces, reflected in changes in prices, output levels, wages, employment levels, exchange rate movements, and aggregate effects.

Socioeconomic analyses are typically highly demanding of primary data, and both IFPRI and the other Centres have been outstanding in the research community for engaging in unique data collection initiatives, sometimes sustained over long time spans and on several occasions contributing data sets that have been widely used in the research community, in and out of the CG System. A star example has been the village data collected by ICRISAT over 10 years in 10 villages in the Deccan Plateau. This information has been analyzed by ICRISAT and IFPRI, but has also given rise to very important "discoveries" in the intertemporal logic of household and community behavior that have had major effects in policy formulation toward issues such as credit, insurance, and risk management strategies. Some 40 Ph.D. dissertations have been written with these data and countless research papers have been published, including many jointly authored between CG and non-CG scholars. Similar data initiatives, if of a smaller scale, have been pursued at IRRI, IFPRI (e.g., in Pakistan, the Philippines, and Senegal), and are in progress at IIMI in Pakistan.

Policy impacts are measured by a set of indicators. For technology, they would include both expansion of the set of available technological options and diffusion of technological innovations. The range of impact criteria is vast, including indicators of static and dynamic efficiency, welfare, equity, sustainability and environmental impact, welfare of special groups, nutrition, and quality of life including the various dimensions of human development. In positive analysis, policies are assessed in terms of their impact on this range of indicators. In normative analysis, impact analysis of alternative policy scenarios serves as the basis for policy advice.

The bulk of CG policy research has been on policy impact: starting from a policy reform and explaining (ex post) or simulating and predicting (ex ante) its consequences. Policy reforms are, however, endogenous to a policy-making process. Good policy impact requires that this policy making process be able to continuously turn out good policies. The process can be conceptualized as a "game" between policy makers and agents in civil society. The outcomes of this game, in terms of quality of policies as assessed by their future impact, depends on the context in-which it occurs: the constitution, the political regime, the economic regime, the accumulated social capital and the nature of civil organizations, international market forces, flows of information, and the nature of social norms and ideologies. From a positive standpoint, the question is to explain policy outcomes given the context where the policy is applied and the actors involved. From a normative standpoint, understanding the logic of the policy process allows to engage in policy-making advice, as opposed to policy advice derived from policy impact analysis. In a long-term perspective, policy-making advice is clearly more powerful than policy advice. Even in the short run, the political acceptability of policy advice, and hence the sustainability of the recommendations made, depends on congruence between these policies and the policy-making process.

In general, policy research in the CG System has been strong on policy impact and weak on policy making. It could be said that policy making is highly political, sociological, and historical, and hence very context-specific and less in the realm of CG responsibilities, and that, as a consequence, it is better practiced by universities and independent national think tanks. This is true. Several attempts have been made to develop this type of research in the CG, with to this date limited success. Past external and internal reviews of IFPRI have suggested that more attention should be devoted to policy-making research. From a logical standpoint, engaging in policy advice without questioning the policy-making process, and hence the sustainability of the policy recommended in the sense of the ability of a particular society to endogenize this particular policy, is not very useful. It is consequently an area of policy research to which more attention needs to be given. Given the comparative advantages of the CG and desirability to steer clear of political involvements that could compromise the System's reputation of impartiality, this research should likely be developed cooperatively with national social science institutions.

Little emphasis has been placed by the CG on policy science, despite of specificity of the context where policy research is being done and the large research gaps in addressing the specificity of this context. Developing this area of research would imply an upstream move for some of IFPRI's research fellows. This topic is discussed in chapter 5, where the CG's capacity for policy research is analyzed.

We should note that the continuum between socioeconomic and P&M research also applies to biophysical research and P&M research, where the results of biophysical research provide information for P&M research or provide technological options that may enable policy adjustments. Where these research continua are strong, P&M research may be best located in the centres where the socioeconomic and the biophysical are done, or needs to be developed in strong collaboration between the policy and management research centres and the socioeconomic and biophysical research centres.

Table 2.1. Shares of CG Centers' scientists and budgets allocated to research in the social sciences, 1995

Centre

Number of social scientists (in FTE) in

Total number of scientists in

policy

management

socioeconomics

social science

all sciences

IFPRI

40

0

0

40

40

IIMI

2

7

4

13

25

ISNAR

4.7

3.05

5.5

13.25

38

CIAT

1.75

0

6.75

8.5

83

CIFOR

3.5

1

3.5

8

23

CIMMYT

1

0

5.2

6.2

77

CIP

2

0.1

6.3

8.4

62

ICARDA

1.5

1.5

6

9

55

ICLARM

0

0

2

2

16

ICRAF

2

0

17

19

110

ICRISAT

1.75

0.4

6.85

9

101

IITA*

1.7

0

2.3

4

89

ILRI

5.5

0

6.5

12

86

IPGRI

1.25

0.5

1.5

3.25

50

IRRI

0.75

0.25

4

5

60

WARDA

1

0

1

2

22

Totals


IFPRI, IIMI, & ISNAR

46.7

10.1

9.5

66.3

103


Other Centers

23.7

3.8

68.9

96.4

834


Grand total

70.4

13.8

78.4

162.6

937


Percentage share of total number of scientists in

Percentage share of Centers' budgets allocated to

policy

management

socioeconomics

social science

policy

management

socioeconomics

social science

IFPRI°

100.0

0.0

0.0

100.0

100.0

0.0

0.0

100.0

IIMI

8.0

28.0

16.0

52.0

8.0

28.0

16.0

52.0

ISNAR

12.4

8.0

14.5

34.9

13.0

8.0

15.0

36.0

CIAT

2.1

0.0

8.1

10.2

1.8

0.0

7.2

9.0

CIFOR

15.2

4.3

15.2

34.8

6.5

1.3

15.6

23.4

CIMMYT

1.3

0.0

6.8

8.1

0.5

0.0

3.0

3.5

CIP

3.2

0.2

10.2

13.5

2.0

0.7

6.0

8.7

ICARDA

2.7

2.7

10.9

16.4

1.5

1.5

3.8

6.8

ICLARM

0.0

0.0

12.5

12.5

1.0

0.0

9.0

10.0

ICRAF

1.8

0.0

15.5

17.3

1.0

0.0

14.0

15.0

ICRISAT

1.7

0.4

6.8

8.9

3.0

0.0

7.0

10.0

IITA*

1.9

0.0

2.6

4.5

3.0

0.0

4.3

7.3

ILRI

6.4

0.0

7.6

14.0

3.0

0.0

12.0

15.0

IPGRI

2.5

1.0

3.0

6.5

2.1

0.8

3.1

6.0

IRRI

1.3

0.4

6.7

8.3

1.0

1.0

5.2

7.2

WARDA

4.5

0.0

4.5

9.1

4.0

0.0

4.0

8.0

Totals


IFPRI, IIMI, & ISNAR

45.3

9.8

9.2

64.3

47.7

10.1

9.1

66.8


Other Centers

2.8

0.4

8.3

11.6

2.0

0.4

6.5

8.9


Grand total†

7.5

1.5

8.4

17.4

6.7

1.4

6.8

14.8

Source: answers to questionnaire on strategic study on policy and management research.

FTE = full time equivalent scientist.

° There is a definitional problem with the IFPRI data since all scientists are assigned to policy for lack of more detailed information, when a number of IFPRI scientists also engage in management and socioeconomic research.

* Total number of scientists from 1996 Program Plans and Funding Requirements, Table 5. Budget figures refer to core funding only.

† Weighted by Centers' total funding to calculate percentage shares of budgets.

Figure 2.1 - A general Interpretative Framework for policy research


Previous Page Top of Page Next Page