2.1 HYDROGRAPHY
2.2 PRODUCTION SYSTEMS, FAUNISTIC REGIMES
2.3 THE SHELF AND SLOPE, AREAL EXTENSIONS AND BOTTOM CONDITIONS
2.1.1 Introduction
2.1.2 Hydrographical observations
2.1.3 Results
The coastal Pacific waters off Central America have never been the subject of an integrated study. With the exception of some investigations in the Gulfs of Panama and Tehuantepec a general overview of the circulation pattern which governs these waters is missing nor is much information available of the seasonal and spatial variations of the physical and chemical parameters.
The waters over the continental shelf have their own characteristics which distinguish them from those of the open ocean. Nevertheless, the intensive processes of mixing between them justifies a brief description of the oceanic conditions for the purpose of explaining some of the results obtained in the survey.
Comprehensive reviews made by Wyrtki have contributed to our knowledge of the main oceanographic features of the oceanic waters off the west coast of South America.
In the surface layers three basically different types of water are found:
1. Tropical surface water. Due to surplus of precipitation over evaporation the salinity is less than 34.0 , the temperature is normally above 25°C.The meridional position of the tropical surface water is strongly related to the trade wind, however, the concerned area is covered by this water through all seasons.2. Subtropical water of high salinity which is generally warm, but of variable temperature. This water is also found below the surface regime and characterized by a maximum salinity around 35.0 and a temperature less than 16°C.
3. Surface water of the California and Peru Currents.
The most pronounced current branch is the coastal current of Costa Rica which occurs between the Dome and the coast, moving northwest and west. In June it follows this and the Mexican shelfs to the Galo current. In August the main part withdraws from the coast after having passed the Gulf of Tehuantepec. This situation prevails towards December. From January to March the water moves towards west, after having left the coast of Costa Rica and does not penetrate the Gulf of Tehuantepec.
At the end of 1986 and during the 1987 the Tropical Oriental Pacific Ocean was influenced by the presence of the El Niño phenomenon, however, recorded as moderate. The temperature anomalies in any part during this period never reached 2°C.
The coastal hydrography is known to be affected by special wind conditions in several areas where strong winds blow through passages in the mountain ranges between the Atlantic and the Pacific. Such locations are found in the Gulfs of Tehuantepec, Papagayo, Fonseca and Panama (Fig. 2.1.1).
Figure 2.1.1 Location of major upwelling centers (stippling) on the Pacific coast of Central America in relation to the central mountain ranges (cross hatching). From: P. W. Glynn, E. M. Druffel and R. B. Dunbar, Journal of Marine Research, 41, 605-637,1983.

The Gulf of Tehuantepec lies south of the Isthmus of Tehuantepec, near a major break in the Sierra Madre mountain range of southern Mexico. The winds here, commonly known as Tehuantepecs, occur most frequently in winter and may be felt several hundred kilometers southwards.
Cold waves from the north which pass the isthmus into the warmer atmosphere produce fall winds which move the upper mixed layer from the head of the gulf and cause considerably mixing along the wind axis. These processes lead to a substantial lowering of the surface temperature in the gulf, being several degrees lower than observed elsewhere in the region off southern Mexico and Central America.
Other areas of high wind velocity are found further east, notably in the Gulfs of Papagayo and Panama. The winds in these regions occur on a relatively smaller scale, but have a similar effect upon the surface temperature. After the wind has ceased there is readjustment to the initial state with a positive temperature gradient in the top layer towards the coast.
During four cruises a number of profiles crossing the shelf were taken with semi-permanent geographic positions. On all stations temperature readings, salinity and oxygen samples were collected from Nansen casts at standard depths. The distributions of these parameters are shown for all profiles in the Data File, Annex 2.
Along all courses temperature was also recorded at 4 m of depth by the vessels thermograph.
In order to study the features of the surface temperature primarily of the ocean regime, and in the waters bordering the shelf in some more detail charts showing Multi-Channel Sea Surface Temperature (MCSST) were used. The RMS deviation is supposed to be 0.68°C. (NOAA 1984). Average temperature of every whole week recordings were used and the SST contour charts are supposed to have a spatial resolution of 50 km.
A preliminary estimate indicate that the temperature at 4 m depth is on an average 1-2°C lower than the MCSST, depending on the strength of the top-layer mixing.
On an average the surface salinity decreases from 33.5 in the dry season to 31.8 in the rainy season to the north of Colombia. Salinity below 30 was found during the rainy season, but only close to the Colombian coast.
As a common characteristic the MCSST figures frequently indicate upwellings in the South Equatorial Current and also in the tropical region off Panama. This feature corresponds to the one found in 1987, but does not always appear in the 4 m depth temperature distribution.
An inspection of the present observations confirms that the temperature distribution also reflects the vertical density variation and that the mixed layer coincides with the thickness of water saturated with oxygen. The salinity in the sub-surface layer is above 34.0 and the oxygen saturation less than 50%.
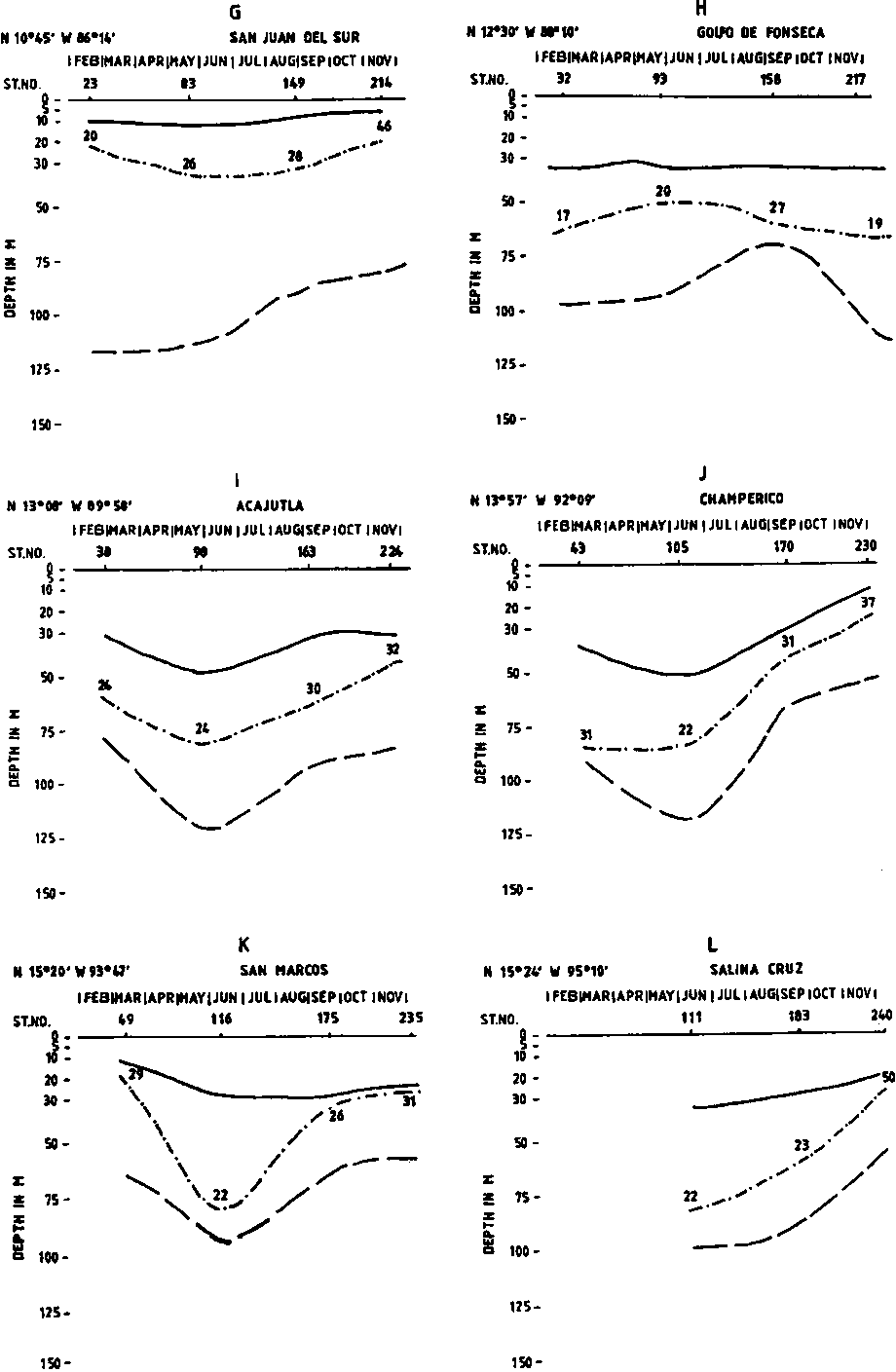
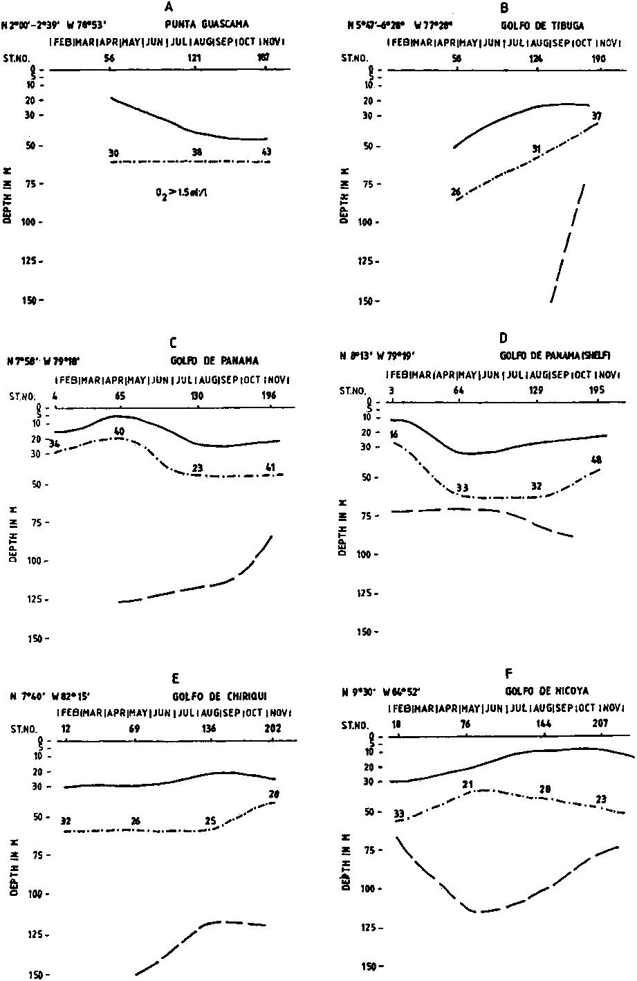
Figure 2.1.2 comprises selected stations from the hydrographical profiles and shows variation by seasons in the thickness of the mixed top-layer, the depth of the center of the permanent temperature transition and the upper limit of the water in which the oxygen content is 1.0 ml/l or less. The figure also indicates the level of the temperature gradient in the transition layer by numbers. Most of the selected stations are occupied near the edge of the shelf. However, the analysis are related to the hydrographical condition in the concerned profile.
Generally the thickness of the mixed layer varies between 10 and 30 m. The thermocline is shallow 30-75m of depth and present the year around. Below the oxycline 1.0 ml/l the content decreases gradually by depth and reaches 0.2-0.3 ml/l at depths between 150 and 500m.
There is a significant variation both locally and by season, however, and an average trend for the oxycline to ascend from south to north is evident.
Principally the thickness of the mixed water and the depth of the thermocline varies in parallel. The vertical distance between them is smallest and the gradient in the transition is greatest in the Gulf of Panama. This is in good harmony with the ridge in the topography of the depth of the thermocline related to the movement of the countercurrent.
Off the southern part of the Colombian shelf (Fig. 2.1.2.A) the oxygen content in the upper 150 m was well above 1.5 ml/l during the whole period of observation, while in the northern part oxygen-deficient water appeared by the end of the year at corresponding depth intervals (Fig. 2.1.2.B).
Oxygen-rich water in the upper 150 m was found during the first half of the year near the edge off the Gulf of Panama (Fig. 2.1.2.C). On the shelf, however, the strata below 75m was occupied by oxygen depleted water through the year (Fig. 2.1.2.D). This feature is interpreted as caused by upwelling close to the bottom during February. However, the situation may as well be an effect of high oxygen consumption and sluggish renewing of the water on the inner part of the shelf. In May the water on the shelf was barred by great masses of sub-surface water with comparatively high oxygen content at the edge. This is probably due to the increasing transport by the countercurrent which also causes a northgoing flow in the Gulf of Panama at that time. Towards the end of the year significant upwelling gave low oxygen tendon to the bottom layer.
In spite of a fairly broad shelf in the Gulf of Chiriqui oxygen deficient water is not found in the inner part. The variation of the hydrographical properties is here similar to that on the edge (Fig. 2.1.2.E), probably due to a broad current covering the total shelf. Oxygen less than 1.0 ml/l at 125 m of depth is observed only once.
The low oxygen-content near Gulf of Nicoya by the turn of the year (Fig. 2.1.2.F) is found on the edge only. Inside the edge the content is high through the year.
The shelf between Costa Rica and Mexico is largely homogeneous with respect to topography. The edge runs fairly parallel to the coastline and is steep. The hydrographical condition, however, seems to alter significantly both locally and by season. This feature is probably caused by mutual variable influence during the year of the anticyclonic gyrals and the countercurrent. The thickness of the mixed layer is less off Nicaragua (Fig. 2.1.2.G) than off Honduras (Fig. 2.1.2.H), but in both cases stable through the year. Oxygen-deficient water is drawn onto the shelf area during the rainy season off Nicaragua and in September off Honduras. Off El Salvador (Fig. 2.1.2.1) and Guatemala (Fig. 2.1.2.J) the thickness of the top-layer is greatest during spring. The shelfs of these locations are covered by oxygen-depleted waters through the rainy season.
The plateau off Mexico broadens out and part of it has an extensive seaward platform with a depth of 200-300 m. In the Gulf of Tehuantepec strong winds from north, especially from October through April, add hydrographical conditions of biological significance to the normal circulation. A strong feature is a southgoing flow at the sea surface from the head of the gulf, bringing the top of the ridge related to the movement and the discontinuity layer closer to the surface. This is clearly demonstrated by Fig. 2.1.2.K and to a less extent by Fig. 2.1.2.L. As the discontinuity layer approaches the windy sea surface its top is mixed with the top layer and may give rise to high local production of biota.
2.2.1 Hydrographic conditions which might have importance in determining the different species assemblages
2.2.2 Shallow water communities
2.2.3 Intermediate shelf dwellers
2.2.4 Deepwater communities
One of the most striking features of the shelf area between Panama and the Gulf of Tehuantepec is the low oxygen concentrations found at relatively shallow depths. On the shelf bottom, the 1 ml/l oxycline fluctuates between 50 and 150 m, according to season and geographical location, with a general trend of becoming shallower northwards. In April/May it was found between 75 m (Gulf of Tehuantepec, Mexico) and 150 m (Gulf of Chiriqui, Costa Rica), while in November/December it ascended and was located at about and 50 and 120 m depth respectively. Below the 1 ml/l oxycline the oxygen content decreases sharply and levels of 0.5 ml/l are found at the edge of the continental shelf or upper slope throughout the year. In Colombia the oxygen values are mostly above 2 ml/l in the southern part, while in the northern part (Gulf of Tibuga) the 1 ml/l oxycline appears in the deeper part of the shelf. In November it is located at about 150 m and the 0.5 ml/l oxycline at about 200 m.
The thermocline is shallow, located between 30 and 75 m depth and present all year around. The thermocline represents a zone of rapid change in the main physical characteristics of the water column and thus usually plays an important role in determining faunal changes.
When analysing the patterns of species associations in this area, depth, with its associated physical oceanographic conditions, seems to be the main factor in determining the different species groups. The catches from the deeper continental shelf and upper slope, where oxygen levels are very low, are characterized by a low faunal diversity and species adapted to live in almost anoxic conditions. Another group can be identified as intermediate shelf dwellers, below the thermocline but in waters with higher oxygen content than that found in the deeper shelf and upper slope areas. Many of the species dominant in this part of the shelf are also found, although in smaller quantities, in shallower and/or deeper waters as well. Finally, another major group could be defined as shallow water or littoral, with species usually above the thermocline.
Within each of these main groups, different species associations are probably determined by the type of substratum, occurrence of upwelling and, in the case of shallow coastal waters, connection to estuaries or brackish waters.
The groups described below include species likely to co-occur when fishing with a bottom trawl. At the same time, they also constitute a good indication of the main species synecological relations.
They consist of species that are mainly littoral, not found deeper than about 50 m, in the warmer and oxygen rich waters above the thermocline. Several species of small pelagics, often being the largest component in the bottom trawl catches, have also been included in this group. Some of them are indeed strictly related to the trophic chain of demersal species. For example, shallow water anchovies and sardines are preyed upon by typical demersal species like the croakers. Also, some pelagic anchovy species like the Pacific anchoveta Cetengraulis mysticetus, found mainly in shallow waters of a few metres depth, feed on both pelagic and benthic organisms (diatoms, small crustaceans etc.). Large pelagic predators like barracudas, sierra and cutlassfish also often occur in the shallow bottom trawl catches.
Figure 2.2.1 (spec. 1-8) shows the bathymetric distribution of these species.
Dominant and widespread species were the Pacific bumper Chloroscombrus orqueta, the Mexican barracuda Sphyraena ensis, the deepbodied thread herring Opisthonema libertate, the Peruvian moonfish Selene peruvianus, various species of anchovies (Anchoa), the bigeye scad Selar crumenophthalmus and the sierra Scomberomorus sierra. These species were abundant throughout the area and did not seem to be characteristic of a special type of environment but were generally most abundant in the more productive upwelling areas. The Pacific butterfish Peprilus snyderi was also quite common in the shallow water catches but it will be treated together with the intermediate shelf dwellers since it also occurs in rather deep waters.
No big changes occurred in the species compositions of the shallow waters of the upwelling areas.
Hard bottoms assemblages
Figure 2.2.1 (spec. 9-15) shows the bathymetric distribution of these species.
These are characterized by the lack of almost all the above mentioned common shallow water species and other demersal, soft bottom species. Typical hard bottom assemblages were found off Panama, between Pta. Mala and the Gulf of Coiba, off Costa Rica, especially along its north west coast. The species found in this group were the spotted rose snapper Lutjanus guttatus, the yellow snapper, L. argentiventris and the Pacific red snapper L. peru (but this latter species is more characteristic of deeper water and is also found over mud bottoms), the threadfin jack Carangoides ortrynter and the Pacific porgy Calamus brachysomus. The bonefish Albula vulpes was often associated with this group although it is reported to occur on soft bottoms and estuaries.
A group similar to the above mentioned one was found in the waters between 25 and 40 m off southern Mexico and Guatemala. Here the coast consists of an extended lagoon system and the bottom is mainly muddy in the very shallow waters. Slightly offshore the bottom is more sandy. Catches here are less rich in species: most of the common pelagic species as well as the typical shallow water and mud bottoms are missing. The dominant are the brassy grunt, Orthopristis chalceus the Pacific bumper, the threadfin jack and the finescale triggerfish, Pseudobalistes polylepis.
Some bigscale goatfish, Pseudupeneus grandisquamis, was also found but this species is more ubiquitous and does not seem to have any particular bottom preference.
Soft bottom assemblages
Figure 2.2.1 (spec. 16-32) shows the bathymetric distribution of these species.
Widespread soft bottom shallow water species were the yellow bobo Polydactylus opercularis and the blue bobo P. approximans, the Panama grunt Pomadasys panamensis, the croakers of the genus Bairdiella, the steeplined drum Larimus acclivis, the Pacific flagfin mojarra Eucinostomus gracilis, the Peruvian mojarra Diapterus peruvianus and the golden mojarra D. aureolus, species of bluntnose jack Hemicaranx. Other species seemed to be associated particularly to estuarine/brackishwater environments like the chihuil sea catfish Bagre panamensis and several Arius species, the silver weakfish Isopisthus altipinnis, several species of drums of the genus Stellifer and of weakfishes of the genus Cynoscion, the Pacific longfin herring, Opisthopterus dovii, the tropical longfin herring, Neoopisthopterus tropicus and the toothed anchovy Lycengraulis poeyi. Several species of penaeid shrimps are known to occur in very shallow waters, connected to brackishwater environment. Unfortunately, these could not be fully sampled. Dominant species from about 10-15 m depth were the whiteleg shrimp Penaeus vannamei, especially off southern Mexico and Guatemala, and the Pacific seabob Xiphopenaeus riveti from El Salvador southwards to Colombia. Both species were present in the Gulf of Fonseca. The Panama spadefish Parapsettus panamensis was found in the estuarine areas of the Gulf of Panama and of the Gulf of Fonseca.
The Pacific anchoveta, Cetengraulis mysticetus, typical of shallow mud flats, was only seldom caught probably because it occurs mostly in very shallow waters.
The Pacific cutlassfish Trichiurus nitens, is also a regular visitor of estuaries but it will be treated together with the intermediate shelf dwellers because of its wide depth range.
This group of species seems to occur mainly below the thermocline and to depths where oxygen levels are not too low (usually to between 0.5 and 1 ml/l). In deeper waters they are probably outcompeted by species better adapted to living in almost anoxic conditions (see below). Figure 2.2.2 shows the bathymetric distribution for these species most of which seemed to be rather ubiquitous.
Some of the species found in this group have a semi-pelagic or bentho-pelagic nature, i.e. able carry out important vertical migrations. Although they are not typical demersal species and have a wide depth distribution range, they have been included in this section because they formed the greatest part of the biomass in this depth stratum. The most abundant were the Pacific butterfish, Peprilus snyderi/medius, the Pacific cutlassfish, Trichiurus nitens and the dart squid Loliopsis diomedae. These species form aggregations close to the bottom during daytime and are dispersed in the water column at night. They are found from shallow inshore waters to depths over 200 m, throughout the year. Captures of cutlassfish ranged from 11 to almost 400 m depth, but the bulk of the biomass was between 150 and 200 m throughout the year. The dart squid is shallower, with highest concentrations between 75 and 100 m.
The shortfin scad, Decapterus macrosoma is mainly pelagic in nature but also forms important aggregations on the bottom during daytime. This species was one of the dominant ones in the night bottom trawl catches in the deeper waters below the thermocline of the Gulf of Panama and in the Gulf of Tehuantepec, although only sporadically. Other species associated with the above were the round herring, Etrumeus teres, mostly in the Gulf of Panama.
The occurrence of upwelling seems to greatly affect the intermediate shelf area, especially in the Gulf of Panama. In wintertime, both biomass and faunal diversity seemed to be at their lowest, while in the postupwelling times (April-May) this part of the shelf is invaded again and actually this might be the spawning time for some of these intermediate shelf dwellers (see below). A particular behaviour is shown by the Pacific butterfish which is mostly found in depths of 75-125 m almost all the year around, with a peak in biomass in springtime. In November, when the winter approaches, part of the population was found in shallower waters and part in deeper waters, at the edge of the continental shelf. A similar pattern was also observed off Nicaragua while in the Gulf of Tehuantepec, which holds much less quantities of this species, it was found at depths above the thermocline almost throughout the year.
Other less conspicuous species but common throughout the area are the widespur seabass, Diplectrum euryplectrum, the toadfish Porichthys nautopedium and the batfish Zalieutes elater, together with the spotted lizardfish, Synodus evermanni. Among the crustaceans, the crystal shrimp Penaeus brevirostris and the mantis shrimp Squilla panamensis. All the above species are known to occur over muddy/soft bottoms.
The searobins Prionotus stephanophrys, P. quiescens and P. ruscarius although distributed throughout the area, appeared in large concentrations in the most productive up-welling areas.
The rose threadfin bass, Hemanthias signifer and Pronotogrammus multifasciatus are known to occur on hard bottom or in proximity of rocky outcrops. Very large concentrations of these species were found at about 120 m depth by the end of February off Nicaragua and in May in the Gulf of Panama, probably related to spawning. The Pacific red snapper was also caught in very large quantities in the southeastern part of the Gulf of Panama.
This group includes all the species caught at depths where the oxygen levels were usually below the oxycline of 0.5 ml/l, except those from Colombia and the outer eastern part of Panama.
Figure 2.2.3 shows the average depth distributions for these species and others associated with them, from survey II, III and IV.
The fauna of areas with low oxygen content usually consists of a lower number of taxa and a high number of individuals. Those species able to tolerate these conditions can reach very high densities because of good food availability and less competion. Indeed, some of these stations are characterized by very large catches of few species, particularly the argentine Argentina aliceae and the langostino Pleuroncodes planiceps. The former has been found in most stations along the surveyed coast, from about 100 to over 300 m depth, mainly between 150 and 200 m. It is a pelagic species forming large shoals on the bottom and usually caught in bottom trawls. The latter was caught mainly in the northern part of the area surveyed (i.e. from the Gulf of Papagayo to the Mexican border), abundant between 100 and 300 m depth (however, very few deep water stations were carried out in the southern part because of lack of trawlable grounds). This species is known to occur off southern California and the Pacific coast of northern Mexico at temperatures between 10 and 14°C and usually in oxygen depleted waters (02 < 0.5 ml/l). Most species belonging to the same family (Galatheidae) are exclusively benthic as adults, their larvae are pelagic. Pleuroncodes planiceps is one of the few species of squat lobsters occurring at surface or mid waters as adults. Largest individuals appear to be exclusively benthic. In the course of DR. FRIDTJOF NANSEN surveys this species was observed to occur and was caught only on the bottom, never pelagic. Adults of this species are known to be able to switch their food habits from phytoplankton to detritus according to food availability and if suitable grounds are present. The Central American population of Pleuroncodes planiceps, which appeared to be exclusively benthic, might thus have reversed to benthic life due to the presence of suitable grounds. No significant difference was found in the catches between night and day, confirming the strictly demersal nature of this species. In the course of the third survey (August-September) very large concentrations were found in shallower waters, between 100 and 150 m, while in the course of the other surveys the largest concentrations were found at about 200-250 m depth.
The mantis shrimp, Squilla biformis, was also most abundant at that depth range and seemed to have a similar distribution pattern as P. planiceps.
The northern nylon shrimp, Heterocarpus vicarius, was often found, although in much less quantities, in association with the above species but most abundant in deeper waters, between 300 and 350 m depth. This species is known to occur between 70 and 550 m depth but it is considered as a slope species. Better catches (about 50% higher) were obtained during daytime. All the above crustacean species are well known for living in almost anoxic conditions. The kolibri shrimp, Solenocera agassizii although mostly associated with the deep-water group, was sometimes also found in shallower waters.
A few deepwater stations (300-350 m) were carried out outside Nicaragua. They are characterized by an extremely low faunal diversity. The few species present were the black brotula, Cherublemma emmelas, found only in these stations and the Panama hake Merluccius angustimanus. Pleuroncodes planiceps and Heterocarpus vicarius are also present in a few of these stations, in significant quantities.
In tropical and subtropical regions most of the commercial types of small pelagic fish and all commercial demersal fish are found within the continental shelf areas of the sea. The extent and configuration of the shelf areas is thus important for the existence and distribution of these categories of resources.
Table 2.1 shows approximate estimates of the coastlines and the extents of the continental shelf within depth ranges for the Pacific coasts of Colombia, Panama, Costa Rica, Nicaragua, Honduras, El Salvador and Guatemala, and for the Gulf of Tehuantepec in Mexico. Panama has with abt. 15000 nm2 the largest shelf, the most important part of which is contained within the Gulf of Panama. For the other countries the areas range from abt 6 000 to abt. 10 000 nm2 except for Honduras whose Pacific coast is limited to a part of the small Gulf of Fonseca.
|
Table 2.1 Estimates of coastline and the area of shelf used in
the analysis in the report. |
|||||||||
|
|
COASTLINE |
0-50 |
50-100 |
100-200 |
TOT nm2 |
200-300 |
300-400 |
400-500 |
TOT nm2 |
|
MEXICO |
215 |
2790 |
1650 |
2131 |
6571 |
2800 |
475 |
390 |
10236 |
|
GUATEMALA |
125 |
1819 |
1390 |
907 |
4116 |
290 |
185 |
165 |
4756 |
|
EL SALVADOR |
150 |
1487 |
2433 |
1266 |
5186 |
410 |
200 |
180 |
5976 |
|
HONDURAS |
25 |
400 |
- |
- |
400 |
|
|
|
|
|
NICARAGUA |
170 |
1326 |
2028 |
3385 |
6739 |
300 |
150 |
145 |
7334 |
|
COSTA RICA |
340 |
1201 |
1685 |
1182 |
4068 |
|
|
|
|
|
PANAMA-EAST |
300 |
3952 |
2977 |
1430 |
8359 |
|
|
|
|
|
PANAMA-WEST |
160 |
1296 |
1816 |
431 |
3543 |
|
|
|
|
|
PANAMA-C.1) |
60 |
182 |
118 |
68 |
368 |
|
|
|
|
|
COLOMBIA |
420 |
2562 |
1673 |
1367 |
5602 |
|
|
|
|
*) Based on soundings R/V Dr. Fridtjof NansenThe type of bottom is of interest for fisheries and bottom character was observed along the survey tracks on the basis of an examination of the echo sounder diagrams. The resolution of these observations is 5 nm and since there is also some navigational uncertainty the precision of the charts produced is limited. Four categories were used: smooth even bottom, relatively smooth but uneven bottom, rough bottom and very steep bottom. The last two are considered unsuitable for bottom trawling. However, also the first category, smooth bottom, may include grounds unsuitable for trawling, e.g. very soft mudbottoms.
1) Shelf between Punta Mala and Gulf of Coiba.
Figure 2.3.1 shows the data on bottom character deriving from plots along the course lines and some interpolation. The Colombian shelf is narrow, on average abt. 20 nm, but with wider parts from about Pta. Guascama to Buenaventura and in the Gulf of Cupica. In the south rough bottom prevails in the outer parts of the shelf and the slope is generally very steep. Larger areas of smooth bottom is found in and off the Gulf of Cupica. The major parts of the wide Panaman shelf is smooth and even, but some stretches of uneven and rough ground is found south of the Pearl Islands, in the southeastern part of the Gulf of Panama and west of Coiba Island. Also the Costa Rican shelf has generally smooth and even bottom, but with some rough parts off Pta. Judas and Cabo Blanco. Off Nicaragua most of the shelf is trawlable, but the slope is very steep in some parts especially in the south and in the narrow canyon leading towards the Gulf of Fonseca. A similar description can be made for El Salvadors shelf, but conditions along the slope are somewhat more difficult, with more very steep and rough bottoms, unsuitable for trawling. Most of the Guatemalan shelf has smooth even bottom, except for some of the deeper offshore parts off Champerico. The shelf in the Gulf of Tehuantepec is very wide, 40-70 nm, with an outer part, about 1/3 of the total forming a platform with depths down to 300 m. Most of this wide shelf is even and smooth, but with some steep parts offshore in the southeast and northwest.
Figure 2.3.1 The bottom conditions as observed with the acoustic system.