4.1 Généralités
4.2 Consultations initiales
4.3 Catégories d'utilisation des terres, leurs besoins et limitations
4.4. Description des unités cartographiques et des qualités des terres
4.5 Comparaison des terres avec leur utilisation
4.6 Analyse socio-économique
4.7 Classification de l'aptitude des terres
4.8 Résume des méthodes
4.9 Présentation des résultats
Le présent chapitre est consacre à la description des procédures à suivre pour l'évaluation des terres. Les activités entreprises et leur séquence dépendent en partie du type de méthode adoptée, à savoir, parallèle ou à deux phases (Alinéa 1.5.2).
L'évaluation des terres comporte généralement les grandes activités ci-après:
- Consultations initiales sur les objectifs de l'évaluation et sur les données et hypothèses sur lesquelles elle sera fondée.On trouvera, à la figure 3, une illustration schématique et simplifiée des activités ci-dessus.- Description des catégories d'utilisation des terres envisagées et de leurs exigences.
- Description des unités cartographiques des terres et extrapolation de leurs qualités.
- Comparaison entre les terres et leur utilisation.
- Analyse socio-économique.
- Classification d'aptitude (qualitative et quantitative).
- Présentation des résultats.
Il importe de noter que les procédures comportent un élément itératif ou cyclique. Bien qu'en l'occurrence il faille nécessairement décrire les diverses activités d'une façon consécutive, en fait, il faut souvent revenir en arrière à des étapes précédentes. Des conclusions intérimaires peuvent, par exemple, exiger que l'on reprenne en considération quels seront les modes d'utilisation des terres méritant d'être évalués, ou que l'on modifie la délimitation de la zone en question. Cet élément cyclique, qui est illustré dans la figure 3 au moyen de flèches, ne doit jamais être perdu de vue au cours de la description ci-après des procédures.
FIG. 3 REPRESENTATION SCHEMATIQUE DES ACTIVITES D'EVALUATION DES TERRES.
4.2.1 Objectifs
4.2.2 Contexte de la zone à l'étude
4.2.3 Données et hypothèses servant de base à l'évaluation
4.2.4. Planification de l'évaluation
Le cadre permet une grande liberté dans le choix des méthodes et procédures les plus appropriées à un ensemble de conditions données. Ce choix est effectué sur la base des objectifs et des hypothèses de l'étude.
Des consultations initiales entre les autorités de planification et l'organisation chargée de la mettre à exécution sont indispensables dans tous les cas. Il ne s'agit pas simplement d'exposer des faits, mais d'échanger des idées sur les objectifs de l'étude et le type d'évaluation qu'ils requièrent. Le mandat devrait être souple, afin de pouvoir revenir en arrière s'il y a lieu, à la lumière de résultats intérimaires obtenus au cours de l'étude.
Ci-après, quelques-uns des points à arrêter à cette étape:
- Objectifs de l'évaluation.On peut diviser les hypothèses générales en deux groupes, l'un se rapportant au contexte physique, économique et social de la zone, et l'autre servant de base au processus d'évaluation proprement dit. Outre ces hypothèses générales, d'autres peuvent se rapporter particulièrement à des modes d'utilisation donnés (taille des exploitations, améliorations mineures, techniques agricoles, etc.); ces hypothèses sont énoncées dans la description de chaque mode d'utilisation.
- Données et hypothèses sur lesquelles se fonde l'évaluation.
- Etendue et délimitation de la superficie à évaluer.
- Catégories d'utilisation des terres convenables
- Méthode à adopter, à deux phases ou parallèle
- Type de classification d'aptitude approprié.
- Portée et niveau des études requises.
- Echelonnement des activités de l'évaluation.
II faut, tout d'abord, établir les objectifs de la mise en valeur proposée, les ajustements, les obstacles aux modifications et toutes autres hypothèses, et, par conséquent, les modes d'utilisation à étudier. Ceci exige des entretiens entre prospecteurs des ressources, spécialistes de l'utilisation des terres (agriculteurs, forestiers), ingénieurs, économistes, sociologues, planificateurs, fonctionnaires du gouvernement et représentants de la population qui sera vraisemblablement touchée.
Il est indispensable d'identifier les objectifs généraux des modifications envisagées et de formuler des propositions générales et précises en vue de les atteindre. L'autosuffisance alimentaire peut, par exemple, constituer un objectif d'ordre général; des propositions générales pour y parvenir pourraient comprendre l'accroissement de la production de blé ou de la production animale, ou encore l'expansion de l'irrigation. On peut ensuite réduire ces dernières à des propositions plus précises, comme la situation d'une exploitation mécanisée, par exemple, ou l'irrigation de telle ou telle vallée. Parmi d'autres objectifs généraux on peut citer la prestation de terres à des fins de colonisation, l'évaluation de terres rurales qui risquent d'être envahies par le développement urbain, ou encore - et il s'agit là de l'objectif le plus large - la prospection des ressources d'un pays ou d'une région à des fins de planification et de mise en valeur globales. A l'extrême opposé, on peut trouver un objectif bien défini, tel que l'établissement d'une forêt pour la production de bois de chauffage, ou celui d'un parc de loisirs pour la population urbaine.
L'évaluation des terres peut avoir pour objet aussi bien les objectifs généraux que les propositions générales et précises: les objectifs généraux dans le cas d'études de reconnaissance pour la prospection des ressources ou pour relever les possibilités de mise en valeur, les propositions plus précises dans le cas d'études semi-détaillées et détaillées.
Les objectifs servent à définir, tout au moins approximativement, des modes d'utilisation des terres convenables. Ceci, à son tour, définit la portée des informations requises et, par conséquent, les types d'études nécessaires. Lorsque les objectifs sont bien déterminés, comme, par exemple, dans le cas de petites exploitations de théiers, l'étude se concentre sur les seuls types d'informations nécessaires à cette fin et porte, par conséquent, sur une superficie plus restreinte et demande moins de personnel.
Il ressort de l'expérience passée qu'une classification d'aptitude à un seul mode d'utilisation risque d'induire en erreur. Il est presque toujours souhaitable de classer l'aptitude d'une terre à au moins un autre mode d'utilisation. Ceci n'entraîne pas nécessairement une modification, mais pourrait être la continuation de l'utilisation actuelle, en modifiant ou non les méthodes d'aménagement. Dans le cas de terres inhabitées, on peut évaluer les avantages découlant de leur non-utilisation et se servir de cette évaluation à des fins de comparaison.
Certaines des données et hypothèses relatives aux conditions physiques, socio-économiques et politiques d'un pays ou d'une région sont si évidentes qu'on ne prend pas toujours la peine de les mentionner. Parmi celles-ci, on peut citer, par exemple, l'aridité d'une région désertique, ou encore un niveau élevé ou faible de vie. Toutefois, pour faciliter le transfert des informations d'une zone à l'autre, il est bon de consigner ces hypothèses.
Afin d'éviter des listes trop longues, ou des pages et des pages de points évidents, on peut se borner au départ à une description du contexte de la zone à l'étude, comprenant:
- Situation et accessibilitéD'une part, une telle description permet de formuler quelques hypothèses évidentes et, d'autre part, la signification de la classification d'aptitude dépend du contexte physique, ! économique et social. Vu l'évolution continue des conditions socio-économiques, la classification deviendra éventuellement périmée et ces données de base serviront à déterminer la mesure dans laquelle elle est encore valable après une certaine période temps.
- Zone climatique
- Relief
- Situation actuelle des améliorations de la terre (par exemple, bonification, drainage, etc.)
- Population et son taux de croissance ;
- Niveau de vie (par exemple, produit intérieur brut par habitant)
- Instruction
- Base de l'économie actuelle
- Infrastructure économique (routes, services urbains)
- Subventions du gouvernement
- Taille des exploitations et autres propriétés foncières
- Système de régime foncier
- Système politique
Outre le contexte général, on s'appuie aussi sur des hypothèses qui influencent l'interprétation et l'applicabilité des résultats de l'évaluation dans le temps et dans l'espace; II faut énumérer ces hypothèses en tant que telles. Ci-après, quelques exemples qui sont loin de couvrir toute la gamme de possibilités.
- Limites des informations utilisées (par exemple, seules les conditions du sol indiquées sur telle ou telle carte ont été employées).L'évaluation d'une terre doit tenir compte du coût (ou de l'ampleur de l'effort requis) des améliorations foncières, qu'elles soient majeures ou mineures. Ceci s'applique aussi bien aux frais de leur entretien ultérieur qu'aux dépenses en capital non renouvelables. Lorsqu'on ne peut pas imputer les dépenses à des zones déterminées (comme c'est souvent le cas dans les projets d'amélioration à buts multiples, comme les projets d'irrigation ou d'énergie hydro-électrique, par exemple), il faut préciser la mesure dans laquelle les dépenses renouvelables et les dépenses en capital sont ou ne sont pas prises en considération.- Fiabilité et applicabilité des données disponibles à l'intérieur et à l'extérieur de la zone à l'étude (par exemple, une pluie mesurée à x km est applicable).
- La localisation est ou n'est pas prise en considération (voir ci-après).
- Démographie (accroissement ou décroissement des taux actuels)
- Infrastructure et services (services de réparations, facilités de crédit, services de vulgarisation agricole, etc., resteront inchangés ou seront améliores).
- Niveau des inputs (les inputs renouvelables par les utilisateurs fonciers resteront au même niveau ou augmenteront).
- Régime foncier et autres conditions institutionnelles (maintien de la propriété privée perpétuelle ou du régime communautaire de droit coutumier, ou encore coopératives agricoles).
- Demande, marchés et prix (par exemple, on s'est fonde sur les prix actuels dans la région ou sur les prix mondiaux puisqu'il n'y a pas de marché pour la culture envisagée dans la zone en question; les conséquences de la production abondante escomptée sur les prix du marché sont ou ne sont pas prises en considération).
- Améliorations foncières; lorsqu'il s'agit d'une classification d'aptitude potentielle, il faut décrire l'importance et la nature des améliorations.
- Base de l'analyse économique (les coûts de l'amortissement des dépenses en capital sont ou ne sont pas partiellement ou totalement inclus; la main-d'oeuvre fournie par les membres de la famille des petits exploitants est ou n'est pas comprise dans les coûts; taux d'actualisation utilisés dans les analyses coûts/avantages.
La situation par rapport aux marchés et aux centres d'approvisionnement en biens de production peut influer sur l'aptitude d'une terre. Dans les pays moins développés, notamment, on trouve des zones qui, de plusieurs points de vue, se prêteraient à telle ou telle utilisation mais qu'il faut laisser de côté pour le moment, parce qu'elles ont difficilement accès aux marchés et aux centres d'approvisionnement en biens de production (engrais, par exemple), soient qu'elles en sont trop éloignées, soit parce qu'elles se situent sur un terrain difficile ou privé de bonnes routes.
Dans les études des superficies relativement restreintes, le facteur situation a des chances d'être effectivement uniforme dans toute la zone étudiée. En pareil cas, il peut être considéré comme s'inscrivant dans le contexte économique. Lorsqu'il s'agit de zones étendues, toutefois, les coûts de transport risquent de varier sensiblement selon la situation, qui est alors considérée comme une qualité de la terre.
Les évaluations doivent, si possible, tenir compte du facteur situation; il se peut toutefois, qu'on ne puisse pas le faire pour les études qualitatives en raison de l'insuffisance d'informations sur les coûts, tandis que, pour les études quantitatives, on peut estimer, et par conséquent inclure les coûts de construction de routes et de transport. L'accessibilité peut être évaluée, soit sur la base de la situation actuelle, soit sur celle de ce qu'elle sera après les améliorations envisagées, comme la construction d'une nouvelle route, d'une voie ferrée ou d'ouvrages portuaires. On peut en exclure le coût des améliorations proprement dites (du fait que les avantages qu'on en tire ne se limitent pas à la terre en question), mais inclure les frais d'entretien, et non l'amortissement du capital, ou encore y inclure l'un et l'autre.
La planification et la nature des activités ultérieures d'une évaluation figurent aussi parmi les points faisant l'objet des consultations initiales.
i) Etendue et délimitations des terres à évaluer
Celles-ci peuvent avoir été déterminées avant d'envisager une évaluation, au moment de l'élaboration d'un plan de mise en valeur pour telle ou telle unité administrative, par exemple, ou encore, la zone peut n'être délimitée qu'après avoir choisi les catégories d'utilisation auxquelles elle convient, du fait que certaines superficies semblent n'avoir qu'une aptitude potentielle à cette utilisation. Dans les études très poussées, notamment, on fait appel aux cartes d'études de reconnaissance, ou autres études moins détaillées, pour choisir les zones qui semblent convenir le mieux à des catégories d'utilisation déterminées.
ii) Catégories d'utilisation à prendre en considération
Celles-ci dépendent des objectifs de l'évaluation et du contexte physique, économique et social de la zone en question. Les objectifs permettent de décider s'il faut inclure une vaste gamme de catégories d'utilisation, ou s'il faut, au contraire, orienter l'étude vers une utilisation déterminée. Dans la plupart des cas, le contexte physique, comme les aspects climatiques qui touchent toute la zone en question, par exemple, réduit sensiblement le nombre des utilisations possibles. Par ailleurs, des facteurs socio-économiques, comme les niveaux de vie ou la nécessité de faire appel à un type de régime foncier donné (privé ou communautaire), constituent aussi des contraintes.
iii) Choix entre la méthode à deux phases et la méthode parallèle
L'adoption de l'une ou de l'autre de ces méthodes dépend des objectifs, de la portée et du niveau de l'étude, ainsi que du temps dont disposent les spécialistes.
iv) Type de classification d'aptitude à employer
Le choix d'une classification qualitative ou quantitative et d'une aptitude actuelle ou potentielle dépend des objectifs, de la portée et du niveau de l'étude. Pour les études de reconnaissance à des fins de planification générales, on se sert généralement de classifications qualitatives, tandis que pour des propositions plus précises, on adopte des classifications quantitatives. Des classifications d'aptitude potentielle sont nécessaires lorsqu'on envisage des améliorations majeures, telles que des projets de drainage, de bonifications ou d'irrigation. En pareils cas, il est parfois souhaitable de classer en outre la terre en fonction de son aptitude actuelle, de manière à pouvoir comparer les avantages existants avec ceux que l'on escompte obtenir grâce à la mise en valeur envisagée.
v) Portée et niveau des études nécessaires
La portée et le niveau des études nécessaires sont établis en comparant les données exigées, en fonction des objectifs de l'évaluation, avec celles qui sont déjà disponibles. Les catégories d'utilisation envisagées (par exemple, enquêtes pédologiques à des fins d'utilisation agricole, ou enquêtes écologiques à des fins de pâturages naturels) influent dans une large mesure sur le type de données nécessaires. Il faut d'abord revoir les informations existantes, comme les cartes topographiques, les photographies aériennes, les cartes des sols, les données sur les débits des cours d'eau, la population, la production et autres statistiques, la projection de la demande, etc. On compare ensuite ces données avec les besoins d'une évaluation d'un type et d'un niveau déterminé. C'est alors qu'on décide, par exemple, s'il faut de nouvelles photographiques aériennes, ou une enquête pédologique et, dans l'affirmative, l'échelle et la densité d'observation, ou encore les données économiques qu'il faut recueillir.
vi) Echelonnement des activités
Après avoir pris des décisions initiales sur les points susmentionnés, on procède à l'estimation du temps accorde à chacune des activités ultérieures et leur échelonnement relatif.
Les consultations initiales constituent une partie indispensable de toute étude d'évaluation des terres. Une fois qu'on a bien compris les objectifs et les hypothèses, on peut planifier les activités ultérieures de façon qu'elles ne produisent que des informations pertinentes et pour éviter les activités (notamment les enquêtes sur le terrain qui demandent beaucoup de temps et d'argent) susceptibles de ne fournir que des données d'un type et d'un niveau d'intensité inappropriés.
Certaines décisions prises pendant les consultations initiales sont parfois modifiées par la suite, par processus d'itération ; il importe donc que ces décisions soient souples. Lorsqu'un accord par écrit entre en jeu, comme entre clients et consultants, par exemple, il faut prévoir une clause permettant de le modifier, après nouvel examen et entente.
Les sections, ci-après, tracent les grandes lignes des activités d'une évaluation, à savoir, enquêtes, analyses, classifications et présentation des résultats.
4.3.1 Description des catégories d'utilisation des terres
4.3.2 Identification des exigences et limitations de l'utilisation
L'identification et la description des catégories d'utilisation des terres à envisager constituent une partie indispensable du processus d'évaluation. Les objectifs et les hypothèses demandent qu'on limite la gamme d'utilisations à prendre en considération. On peut distinguer deux cas à savoir:
- Les catégories d'utilisation des terres sont précisées dès le début du processus d'évaluation;Le premier cas se présente lorsqu'il s'agit d'études qualitatives visant à une évaluation sous l'angle des catégories principales d'utilisation des terres, ou encore d'études destinées à localiser les terres réservées à un seul, ou à un nombre limité d'utilisations, par exemple, les périmètres de fructiculture irriguée ou de réserves forestières. En l'occurrence, les catégories d'utilisation à envisager sont définies en grande partie par les objectifs.- Les catégories d'utilisation sont décrites dans leurs grandes lignes au départ, sous réserve de modification et d'ajustement ultérieurs, en fonction des résultats obtenus au cours du processus d'évaluation.
Le deuxième cas se présente lorsqu'il s'agit, par exemple, de projets de mise en valeur qui englobent plusieurs types de cultures, l'élevage et la sylviculture. On commence par décrire les catégories d'utilisation des terres en termes généraux, comme l'agriculture pratiquée par des petits exploitants, par exemple. A mesure que se déroule le processus d'évaluation, on arrête des détails peu à peu, comme le choix des cultures, l'assolement recommandé, les mesures de conservation des sols nécessaires et la taille optimale des exploitations, de sorte qu'à la fin de l'étude, les types d'utilisation des terres sont décrits en détail.
Dans le premier cas, les catégories d'utilisation des terres sont définies avant la classification de leur aptitude, Dans le deuxième, elles sont modifiées pendant la classification. En réalité, la distinction n'est pas nette, vu que, parfois, le premier cas demande également certains ajustements et révisions.
Les spécifications des types d'utilisation des terres qui doivent être incluses dans la description figurent au chapitre 2.
Après ou en même temps que la description des catégories d'utilisation, on détermine leurs besoins (section 2.5). Chaque catégorie appelle des conditions écologiques différentes pour être appliquées d'une façon continue et économiquement rentable. C'est ainsi que la plupart des cultures pérennes demandent des disponibilités en eau au niveau de la racine pendant toute l'année, la riziculture irriguée, un terrain plan, ou qui puisse être nivellé à un coût acceptable, et la sylviculture une certaine profondeur d'enracinement, bien qu'en principe elle puisse être pratiquée sur des pentes raides.
On détermine les limitations (2.5) de chaque catégorie en même temps que ses besoins. Les unes comme les autres indiquent le type de données nécessaires à l'évaluation et, par conséquent, conditionnent la nature des études qui s'imposent.
A noter que la description des catégories et l'identification de leurs besoins et limitations supposent des études sur le terrain, dont vraisemblablement des visites aux points ou sont disponibles les données de production (rendements des cultures, capacité portante des pâturages, taux de croissance des arbres), pour les confronter ensuite avec les conditions écologiques et les méthodes d'aménagement. Ces points ne se limitent pas forcément à la zone étudiée. Il se peut que ce genre de travail pratique mobilise autant, sinon plus, de temps et de personnel que la prospection des ressources de base.
Le paragraphe 4.5.2 ci-après, intitulé procédures diagnostiques, reprend l'identification des besoins et limitations des différentes catégories d'utilisation des terres et des exemples figurent au chapitre 5.
La plupart des études d'évaluation exigent la prospection des ressources physiques, encore que, de temps à autre, les informations déjà disponibles sont suffisantes. Les études comprennent souvent des enquêtes pédologiques sur les sols ou leurs formes de relief, parfois, sur les ressources en pâturages, ou autres ressources écologiques, des inventaires forestiers, la prospection des eaux superficielles et souterraines, ou encore des études de techniques routières, tout cela aux fins de définir les limites des unités cartographiques des terres, ainsi que leurs qualités.
Le tracé des unités cartographiques est fondé en partie sur les caractéristiques les plus faciles à cartographier, qui sont souvent les formes de relief, les sols et la végétation. Toutefois, à l'étape de la prospection des ressources, on a déjà provisoirement identifié les qualités des terres pouvant influer de façon significative sur les types d'utilisation envisagés; aussi faut-il s'attacher plus particulièrement aux qualités pendant les enquêtes sur le terrain. Dans les enquêtes en vue de projets d'irrigation, par exemple, on examinera, notamment, les propriétés physiques du sol, la qualité et la quantité d'eau disponible et les conditions topographiques en fonction des méthodes d'irrigation que l'on prévoit.
4.5.1 Compatibilité des terres avec leur utilisation
4.5.2 Procédures diagnostiques
4.5.3 Estimation des avantages et des inputs
4.5.4 Evaluation de l'incidence sur l'environnement
La principale étape du processus d'évaluation est celle à laquelle on réunit et on compare toutes les données ci-après; cette comparaison permet ensuite de classer l'aptitude des terres:
- Les catégories pertinentes d'utilisation, ainsi que leurs besoins et limitations.La comparaison des terres avec leur utilisation est décrite ci-après, isolément de l'analyse socio-économique, bien qu'en réalité l'une et l'autre puissent se chevaucher beaucoup.
- Les unités cartographiques des terres et les qualités de ces dernières.
- Les conditions socio-économiques.
Des le début de l'évaluation, on effectue un choix provisoire des catégories d'utilisation qui semblent convenir aux terres, compte tenu des objectifs et de l'ensemble des conditions physiques et socio-économiques. Une fois que l'on a obtenu des données supplémentaires au moyen d'enquêtes et d'études systématiques, il faut faire cadrer les indications générales sur les catégories d'utilisation et leurs besoins avec des informations plus précises sur les qualités des terres. Ce processus d'adaptation et d'ajustement réciproques entre la description des catégories d'utilisation et les détails plus poussés sur les qualités foncières de mieux en mieux connues est qualifié de compatibilité.
La compatibilité représente l'essence de l'étape interprétative qui suit la prospection des ressources dans le processus d'évaluation et se fonde sur les relations fonctionnelles qui existent entre les qualités des terres, les possibilités d'améliorer ces dernières et les besoins de la catégorie d'utilisation. Sous sa forme la plus simple, la compatibilité consiste à confronter les besoins physiques de cultures données (ou de graminées, d'arbres, etc.) avec les conditions des terres pour prévoir le comportement de telle ou telle culture. L'opération devient plus complexe lorsqu'au facteur de production s'ajoutent d'autres caractéristiques non physiques de l'utilisation des terres, influant sur leur comportement, comme les coefficients de main-d'oeuvre et de capital.
Supposons, par exemple, que l'une des catégories d'utilisation soit la culture pérenne du palmier à huile. Il est indispensable que la disponibilité en eau du sol reste au-dessus du point de flétrissement dans telle ou telle partie de la zone radiculaire pendant toute l'année; en outre, la disponibilité en eau influe sur les rendements et leur régularité et, par conséquent, est reconnue comme une qualité des terres s'appliquant à cette catégorie d'utilisation. Elle est déterminée pour chaque unité sur laquelle on envisage de cultiver le palmier à huile, d'après ses caractéristiques, comme le régime des pluies, la profondeur d'enracinement et la capacité de rétention d'eau disponible. On estime les rendements dans des conditions optimales de disponibilité en eau, avec des normes d'aménagement données. On évalue ensuite la réduction probable des rendements causée par un manque d'eau déterminé. Dans une étude qualitative, une réduction arbitraire des rendements, de 50 pour cent, par exemple, peut servir de critère pour distinguer les terres aptes des terres inaptes à l'utilisation en question. Dans une étude quantitative, on calcule les conséquences économiques des réductions de rendements.
On procède de façon analogue pour les qualités des terres qui influent sur les inputs. La culture du maïs, par exemple, entraîne des périodes pendant lesquelles la surface du sol est dénudée. La résistance à l'érosion est donc une qualité qui doit entrer en ligne de compte. Les conditions optimales supposent un terrain de plan ne demandant pas de mesures de conservation des sols. Grâce à des caractéristiques comme la pente, la perméabilité et la stabilité de la structure du sol, l'intensité des pluies, etc., on établit un paramètre représentatif de la résistance à l'érosion de chaque unité de terre concernée. Dans une étude qualitative, les risques d'érosion peuvent être divisés en classes telles que nuls, faibles, modérés et sérieux, les deux derniers degrés, au moins, se rangeant sous la rubrique inapte. Dans une étude quantitative, on évalue les coûts de construction et d'entretien des dispositifs de conservation des sols, à chaque degré d'érosion, ainsi que les conséquences économiques de ces coûts au niveau du projet et de l'exploitation.
Ce processus de compatibilité sert entre autres à:
- Vérifier le caractère approprié des catégories d'utilisation des terres et en perfectionner la description.Ce processus est étudié plus avant par Beek (1975).- Permettre la détermination systématique des spécifications d'aménagement et d'amélioration de chaque catégorie d'utilisation de chaque unité cartographique s'y prêtant et, partant, celle des inputs requis (capital, main-d'oeuvre etc.).
- Estimer l'ampleur des avantages obtenus grâce à chaque catégorie d'utilisation des terres sur chaque unité cartographique.
Entre autres procédures pour estimer les inputs et les avantages, on compte les suivantes:
- Mesure directe, par exemple, à partir d'un certain nombre de stations situées, ou à créer, sur différents types de terres dans la zone étudiée ou a proximité.La première procédure est préférable. Il se peut qu'on puisse obtenir des informations au moyen d'essais ou d'unités agricoles, d'essais forestiers ou de zones pilotes de mise en valeur pour différents systèmes agricoles qui existent déjà. En l'absence de telles zones, il convient de prendre les mesures nécessaires pour les établir le plus tôt possible. Ces zones d'essai constituent un moyen d'obtenir des normes pour la deuxième et la troisième procédures. Afin d'activer les résultats, on peut également prélever des coupes de cultures.- Méthodes de simulation faisant appel à des modèles mathématiques qui établissent la relation entre les avantages (par exemple, les rendements des cultures) et les critères diagnostiques.
- Estimation empirique fondée sur des relations hypothétiques entre avantages et critères diagnostiques.
Jusqu'à présent, on a rarement fait appel à la deuxième procédure qui, toutefois, a un potentiel pour l'avenir, lorsque des données plus précises sur les relations quantitatives entre l'environnement et l'utilisation des terres seront disponibles.
Pour la troisième procédure, on se sert souvent d'une table de conversion, établie de telle sorte que les critères diagnostiques sont liés à différentes classes d'aptitude des terres. Ces dernières dépendent de la mesure dans laquelle les qualités d'une terre répondent aux besoins d'une utilisation donnée. Auparavant, les tables de conversion étaient fréquemment fondées sur les caractéristiques des terres; une terre avec une pente de plus de 5°, par exemple, ne pourrait pas se ranger dans la ou les classes d'aptitude les plus élevées. Le cadre recommande que les tables de conversions lient les classes d'aptitude des terres aux limitations de ces dernières sur la base de leurs qualités; une terre présentant des risques d'érosion "modérés", par exemple, peut être exclue des deux classes d'aptitude les plus élevées à des fins agricoles. On peut aussi établir des tables supplémentaires liant les critères diagnostiques à différents groupes de caractéristiques des terres.
Etant donné que la première procédure est fondée sur des expressions quantifiées des rapports de cause à effet entre les qualités des terres et le résultat de la catégorie d'utilisation, il s'agit d'un processus de compatibilité quantitatif. La deuxième, elle aussi, est, potentiellement du moins, quantitative tandis que la troisième, bien qu'elle puisse sembler l'être à première vue, à cause des valeurs numériques dont on se sert pour les critères diagnostiques, est essentiellement qualitative. Pour que la compatibilité soit quantitative, les inputs et les avantages doivent se rapporter aux qualités des terres en termes numériques (le plus souvent économiques, parfois en termes de volume de production).
Des informations systématiquement groupées sur les relations entre les qualités d'une terre et sa productivité (rendements des cultures, capacité portante des pâturages, taux de croissance des arbres, etc.) sont rares. Pour remédier à cette situation, il faudrait commencer par recueillir des données et préparer des tables de conversion, programmes ou formules se rapportant à des utilisations bien définies et, notamment, à des cultures données qui indiquent des niveaux bien définis de qualités des terres requis pour les différentes catégories d'utilisation, ainsi que sur les quantités d'inputs nécessaires et les degrés de productivité. Au départ, ces données seront exprimées en termes physiques. Elles peuvent, ensuite, être traduites en termes économiques, s'il y a lieu, sur la base des coûts et des prix en vigueur. A condition de pouvoir obtenir des données de ce genre, on peut imputer des valeurs économiques bien définies à tel ou tel niveau de qualités ou de limitations des terres. Young (1973, 1976, pages 369-73) cite certaines procédures diagnostiques visant à établir des estimations de rendements des cultures, au moyen de pratiques d'aménagement données, particulières à certains types de sols, et Condon (1968), des méthodes pour estimer la capacité portante des pâturages. Vink (1975, pages 145-168) examine, pour sa part, les relations qui existent entre les conditions des terres, les pratiques d'aménagement et les réponses des cultures. Le chapitre 5 donne quelques exemples, y compris des tables de conversion.
La comparaison entre les avantages obtenus et les inputs ou dépenses qu'ils requièrent constitue l'un des principaux moyens pour évaluer l'opportunité des modifications que l'on envisage d'apporter a l'utilisation des terres.
Les avantages peuvent consister en production, en services, ou en autres profits intangibles. La production comprend les cultures, les pâturages à fauche, les produits de l'élevage, le bois d'oeuvre et les produits ligneux. Les avantages intangibles englobent la création d'emplois, les loisirs et le tourisme, la conservation de la flore et de la faune, et autres agréments esthétiques. Les avantages de la conservation des eaux, soit par tapis végétal dans les bassins versants, ou par inondation des terres à la suite de la construction de réservoirs, peuvent s'inscrire aussi bien dans le contexte de la production que dans celui des avantages intangibles.
On évalue d'abord les avantages en termes physiques, comme le volume de production ou le nombre estimé de touristes, puis, dans la mesure du possible, on les traduit en termes économiques en s'appuyant sur des hypothèses en matière de prix, etc.
L'évaluation des avantages intangibles présente des problèmes particuliers. Les terres utilisées à des fins de loisirs ou de protection des réserves naturelles ne produisent pas nécessairement des avantages directement mesurables; il est notamment difficile de traduire ces avantages en termes économiques. Au lieu d'une approche purement commerciale, une décision politique peut s'imposer pour mettre en réserve certaines superficies pour les besoins de l'esthétique, de la santé publique, de l'éducation et de la conservation. Ceci suppose des méthodes de classification en termes de qualités des terres qui ont un effet positif ou négatif sur leur utilisation à ces fins. Par exemple une capacité portante soutenue exprimée en termes de jours/homme par an et par superficie unitaire pourrait constituer la mesure d'aptitude aux loisirs. La rareté de telle ou telle terre (2.4.2) et la distance qui la sépare des centres peuplés sont souvent des facteurs pertinents. Comber et Riswas (1972) ont étudié les techniques d'évaluation des facteurs écologiques intangibles, notamment ceux se rapportant aux loisirs, et Leopold (1969), l'évaluation des facteurs esthétiques.
Il est aussi nécessaire d'estimer les inputs, ou coûts, que la production. Ceci s'applique aussi bien aux inputs renouvelables que non renouvelables (capital).
De même que les avantages, les inputs sont d'abord décrits en termes physiques, qui sont ensuite traduits en coûts. Dans le cas des inputs renouvelables, il faut d'abord préciser les techniques d'aménagement, en poussant plus avant, si l'on peut, le détail des données figurant déjà dans la description des catégories d'utilisation. On énumère ensuite les biens et services nécessaires qui comprennent fréquemment:
- Les biens de production renouvelables (semences, engrais, etc.)On effectue une estimation analogue des inputs nécessaire pour les grands travaux, y compris ceux requis pour les améliorations majeures envisagées. On convertit ensuite les inputs aussi bien renouvelables que non renouvelables en coûts.
- L'eau d'irrigation
- Les besoins en main-d'oeuvre, spécialisée et non spécialisée
- Les machines (fonctionnement, entretien, dépréciation)
- Les besoins en transport
L'incidence sur l'environnement, ou les conséquences probables des modifications pour ce dernier, doivent être prises en considération, non seulement au cours du processus de compatibilité, mais pendant toute l'évaluation. Pour protéger l'environnement, il est indispensable d'évaluer l'aptitude des terres en supposant que les utilisations envisagées peuvent être pratiquées sur une période de temps indéfinie. Ceci exige que toute conséquence nuisible pour l'environnement ne soit ni sérieuse ni progressive.
Les conséquences écologiques ne sont pas nécessairement désavantageuses; par exemple, lorsqu'on installe un système d'irrigation dans une région aride, la teneur en matière organique des sols peut s'améliorer. En Europe, certains sols ont été améliorés au moyen d'applications prolongées d'engrais et de fumier; le "plaggenboden", pratiqué au Pays-Bas depuis des siècles et qui consiste à épandre des déchets animaux sur les terres labourables, est un exemple extrême de ces méthodes.
Ce qui importe le plus c'est d'évaluer les possibilités de dégradation de l'environnement, comme, par exemple, l'érosion des sols et la salinisation ou la dégradation des pâturages. De nombreuses modifications des modes d'utilisation des terres entraînent forcément un certain degré d'incidence nuisible sur l'environnement, en réduisant la teneur en matière organique des sols, par exemple, lorsque les forêts sont déboisées pour l'agriculture. Il faut avant tout que la dégradation de l'environnement ne soit ni sérieuse ni progressive. Par dégradation sérieuse, on entend la destruction importante et irréversible des ressources en terres, comme dans le cas de l'érosion par ravelines. Par dégradation progressive, on entend l'épuisement continu des ressources dû à telle ou telle utilisation des terres, comme la dégénération de la végétation causée par un système pastoral ne comportant aucun contrôle des effectifs du cheptel.
Lorsqu'on reconnaît un risque de dégradation sérieuse ou progressive, il faut déterminer les mesure préventives nécessaires et en estimer le coût. Souvent, ces terres sont classées inaptes, parce qu'on ne peut pas y appliquer l'utilisation envisagée ou parce que le coût des mesures préventives est prohibitif.
Exceptionnellement, on peut accepter un certain degré de dégradation des terres comme étant inévitable. L'évaluation doit alors préciser que l'on ne prévoit qu'une utilisation à courte échéance, et doit fournir des informations sur la nature et l'étendue de la dégradation et sur la condition de la terre lorsqu'elle ne sera plus utilisée.
Lorsqu'on prend on considération l'incidence sur l'environnement, il faut aussi tenir compte des conséquences écologiques en dehors de la zone à l'étude, telles que celles que peut avoir le déboisement des forêts sur le régime des cours d'eau, et les modifications du débit et de leur teneur en sédiments, dues à la construction de réservoirs, sur la navigation, la pêche, etc., ainsi que l'influence des eaux de drainage salines sur la qualité de l'eau d'irrigation en aval.
Dans les études qualitatives, l'analyse socio-économique est très générale. Elle couvre, par exemple, l'inventaire ou l'analyse des objectifs du gouvernement en matière de développement, ou les moyens et les données macro-économiques disponibles; des informations d'ordre général sur l'économie agricole ou rurale actuelle, y compris les tendances récentes; l'inventaire des infrastructures techniques et institutionnelles; les données démographiques disponibles et l'évolution probable du taux de croissance de la population; et des informations d'ordre sociologique sur les systèmes de régime foncier, le potentiel de main-d'oeuvre, les niveaux d'instruction, etc. Les obstacles auxquels on se heurte à cette étape comprennent, par exemple, le manque de main-d'oeuvre saisonnier, des modes de tenure désavantageux et l'accès difficile aux marchés et aux services. On évalue les possibilités d'écoulement des denrées et on étudie les avantages comparatifs, du point de vue de ces denrées, de la zone en question par rapport à d'autres régions. Une bonne partie des informations est obtenue à la suite d'entretiens avec des agriculteurs, des commerçants et des fonctionnaires, ou encore provient de publications du gouvernement ou d'organisations internationales ou autres de développement.
Dans les études quantitatives, l'analyse économique joue un rôle important, encore que la nature de l'analyse varie d'après la catégorie d'utilisation des terres envisagée et selon que l'étude est semi-détaillée ou détaillée.
Cette analyse est souvent associée à des études de faisabilité et à la formulation de projets. Dans les projets de mise en valeur des terres, la rentabilité économique des propositions est évaluée de deux façons: sous l'angle des utilisateurs des terres et sous celui de l'ensemble du pays. Dans le premier cas, l'analyse porte sur la rentabilité économique du point de vue des agriculteurs, entreprises, ou services publiques d'exécution, c'est-à-dire qu'elle détermine si les utilisations seront payantes pour les utilisateurs. Dans le deuxième, il s'agit de déterminer si la mise en valeur proposée sera avantageuse pour la société, c'est-à-dire l'ensemble de la population du pays. Pour cela on recourt fréquemment à une analyse coûts/avantages sociaux dans laquelle les coûts et les prix sont ajustés de manière à exprimer la valeur de rareté réelle (coût d'opportunité) des ressources pour la communauté. Des estimations économiques fournissent une grande partie des données nécessaires à la classification quantitative d'aptitude des terres.
Au niveau semi-détaillé il est normalement utile d'effectuer une analyse coûts/avantages approximative, pour obtenir des indications sur les perspectives économiques des utilisations envisagées. Ceci suppose la formulation d'hypothèses explicites sur les principaux aspects de l'utilisation (nombre de jours/homme de main-d'oeuvre nécessaires ou rendements des cultures obtenus, par exemple). Le fait d'exiger ces données accroît le niveau de l'analyse et définit les classifications d'aptitude en termes économiques.
Le cas échéant, on effectue une enquête agricole se limitant à la structure de l'exploitation. Il faut établir les liens qui existent entre les catégories d'utilisation et les systèmes agricoles. Pour qu'on puisse se servir des résultats aux fins de l'évaluation des terres, il faut effectuer un sondage stratifié fondé sur des zones homogènes du point de vue écologique et agricole. On peut ensuite le compléter par des enquêtes agricoles détaillées axées sur les procédés de production.
Au niveau détaillé, l'analyse économique est fondée sur les données se rapportant à la disponibilité des ressources et à leur affectation par les producteurs; au rapport input-output; à la structure des ventes; aux prix et aux coûts; et aux besoins et à la disponibilité de crédits. On utilise l'analyse coûts/avantages, ou autres méthodes quantitatives d'analyse économique. Au niveau de l'exploitation, on peut faire appel à des techniques d'optimisation pour faciliter une planification agricole réaliste, techniques telles que l'établissement de budgets, la planification de programmes ou la programmation mathématique, selon le degré de raffinement voulu.
Quel que soit le niveau, l'analyse ne se borne pas à des objectifs axés sur la production, pas plus que sur le rapport du capital investi. Les modifications apportées à l'utilisation des terres influent sur d'autres objectifs nationaux ou locaux, comme l'emploi, la réduction du nombre de paysans sans terres, le développement régional ou la modification de la répartition des revenus parmi les différents secteurs de la communauté. L'examen de ces conséquences constitue une autre ramification de l'analyse. Par exemple, lorsqu'il s'agit de décider s'il faut attribuer des terres de fond de vallée mal drainées au pâturage ou à la riziculture, il se peut que l'on pense obtenir un rendement plus élevé d'investissement avec la première de ces utilisations, mais que la deuxième offrira davantage d'emplois et pourra absorber un plus grand nombre de colons; en pareils cas, lorsque des objectifs différents semblent se contredire, les conséquences de chaque possibilité sont évaluées et présentées sous forme de résultats de l'évaluation.
4.7.1 Vérification sur le terrain
Les résultats du processus de compatibilité sont fusionnés avec ceux de l'évaluation des inputs et des avantages, de l'incidence sur l'environnement et de l'analyse socio-économique pour établir une classification indiquant l'aptitude de chaque unité cartographique à chaque catégorie d'utilisation applicable.
Cette vérification s'impose pour s'assurer que les classes d'aptitude établies au moyen des méthodes susmentionnées concordent avec les connaissances et l'expérience que l'on a. Elle est tout particulièrement importante lorsqu'on a utilisé une table de conversion pour le processus de compatibilité, vu que l'application rigide de ces tables donne parfois des résultats incohérents. En principe, elle doit être confiée à une équipe comprenant un spécialiste des sciences naturelles et une ou plusieurs personnes versées dans les catégories d'utilisation des terres en question (agriculteur, agronome, forestier, ingénieur, etc.).
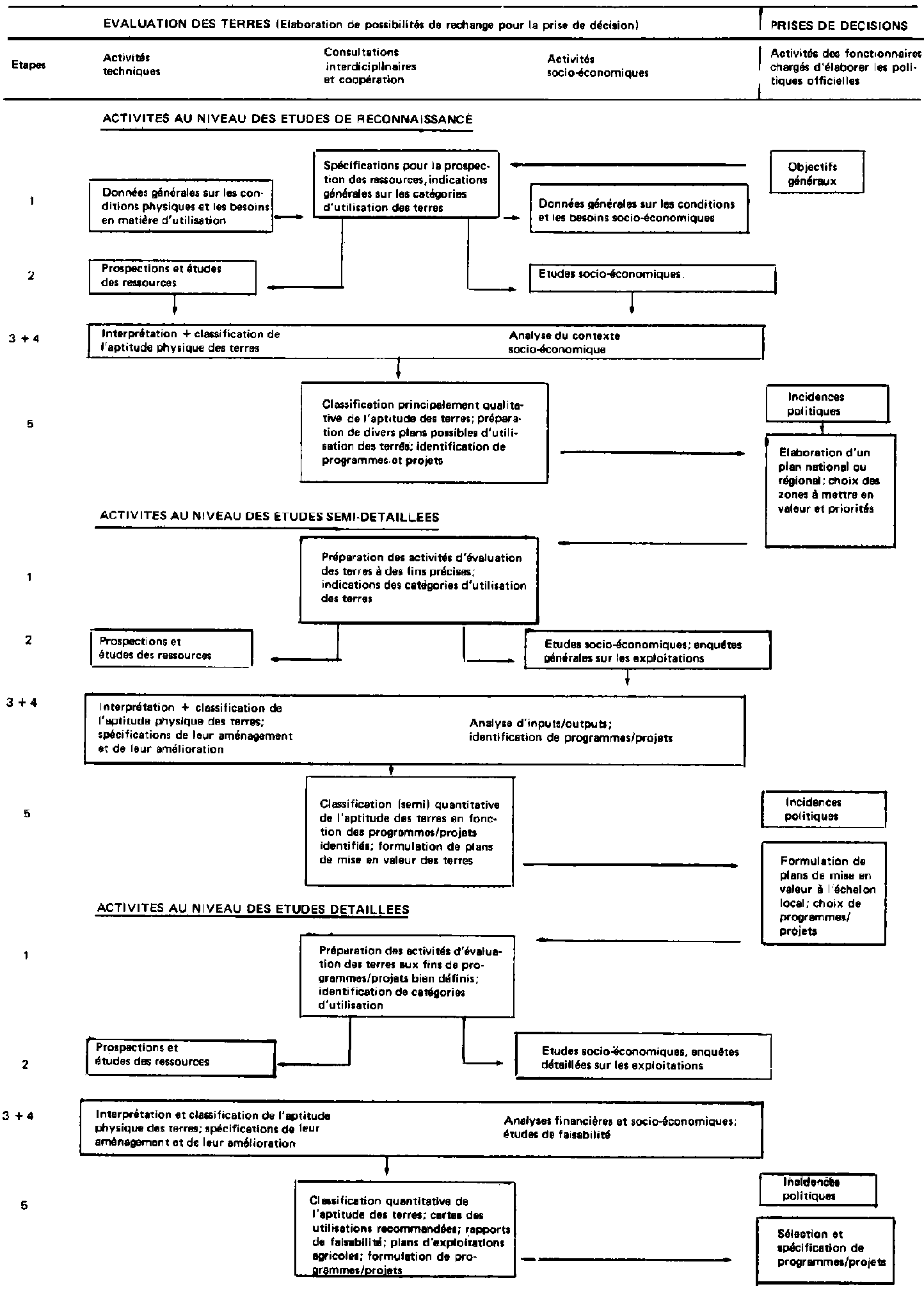
Les figures 4 et 5 (tirées de Beek, 1975) montrent que les procédures d'évaluation des terres s'inscrivent dans une planification de l'utilisation des terres à trois niveaux, selon qu'on opte pour la méthode parallèle ou la méthode à deux phases. Ces schémas sont forcément complexes, puisque la planification de l'utilisation des terres l'est elle-même, et la séquence précise des interactions varie donc selon les circonstances. Les prises de décision ou les activités des responsables des politiques sont distinctes des activités se rapportant à l'évaluation qui ont pour objet de fournir les informations nécessaires pour ces prises de décision. L'évaluation est fondée sur des activités techniques (prospection des ressources et interprétation), sur des analyses socio-économiques et sur les interactions qui existent entre les deux. Bien que ces deux méthodes soient indiquées séparément, il se peut qu'on emploie celle à deux phases à un ou plusieurs niveaux d'étude (y compris, en général, celui de la reconnaissance) et la méthode parallèle à d'autres niveaux.
Les résultats de l'évaluation des terres sont présentés sous forme de rapport et de cartes indiquant les types d'informations susmentionnés. Ils devraient toujours inclure des données sur plus d'une catégorie d'utilisation.
Les cartes d'aptitude des terres, assorties de légendes explicatives (tableaux, par exemple), constituent, en principe, le moyen le plus efficace de communiquer des résultats à l'utilisateur sous forme succincte. Elles doivent toujours s'accompagner d'un texte expliquant les méthodes employées, donnant la description des catégories d'utilisation, énonçant les spécifications de leur aménagement et de leur amélioration et leurs conséquences socio-économiques, ainsi que les données et hypothèses sur lesquelles l'évaluation se fonde.
On peut se servir de deux méthodes pour indiquer plusieurs catégories d'utilisation des terres. La première consiste à produire une série de cartes montrant l'aptitude d'une terre à chaque catégorie d'utilisation (fig. 1). Dans ce cas, les unités cartographiques des terres sont indiquées sur la carte au moyen d'ombres ou de couleurs avec un symbole d'aptitude a l'utilisation en question. La deuxième consiste à élaborer une carte unique indiquant les limites des unités cartographiques, ainsi que leur aptitude à chaque utilisation au moyen d'un tableau. Le tableau 3A donne un modèle commode pour établir ce genre de légende sous forme de tableau. Outre les classes d'aptitude, cette dernière peut comporter l'aptitude actuelle ou potentielle des terres, ainsi que les sous-classes et unités d'aptitude.
FIG. 4 METHODE A DEUX PHASES POUR L'EVALUATION DES TERRES
FIG. 5 METHODE PARALLELE D'EVALUATION DES TERRES
Tableau 3A
LEGENDE DES CARTES D'APTITUDE DES TERRES 1
|
|
Catégories d'utilisation des terres |
||||||
|
A |
B |
C |
D |
E |
etc. |
||
|
Unités |
1 |
S1 |
S1 |
S3 |
S1 |
N2 |
|
|
2 |
S2 |
S1 |
S2 |
N1 |
N2 |
|
|
|
cartographiques |
3 |
S4 |
S2 |
S2 |
NR |
S3 |
|
|
4 |
N1 |
N1 |
S3 |
NR |
S2 |
|
|
|
des terres |
5 |
N2 |
N2 |
N2 |
S3 |
S1 |
|
|
etc. |
|
|
|
|
|
|
|
1 Adapté d'après Mahler, 1970Dans certains cas, il convient d'indiquer les classifications d'aptitude, aussi bien actuelle que potentielle, dans une même légende, soit en présentant deux tableaux juxtaposés, soit en divisant chaque compartiment comme le montre le tableau 3B. Le tableau devrait être accompagné d'une description de la nature et de l'ampleur des améliorations majeures des terres.
Tableau 3B LEGENDE DES CARTES D'APTITUDE DES TERRES 1

1 Adapté d'après Mahler, 1970Lorsque les unités cartographiques ne sont pas homogènes, la carte ou sa légende doit, en principe, indiquer les aptitudes de chaque terre à l'intérieur de l'unité cartographique.
On peut souvent se servir des tableaux pour présenter des données plus concises et plus faciles à interpréter que le rapport. C'est ainsi qu'on peut les utiliser pour:
- Récapituler les caractéristiques physiques des unités cartographiques;Le texte devrait être aussi concis que possible et venir à l'appui des cartes et tableaux.- récapituler les caractéristiques des catégories d'utilisation des terres, ainsi que les spécifications de leur aménagement et de leur amélioration;
- présenter la classification d'aptitude proprement dite de la même manière que la légende cartographique, mais avec plus de détails;
- énumérer les données physiques, techniques et socio-économiques utilisées pour chaque classification;
- présenter les informations utilisées au regard de la productivité et de la rentabilité de chaque catégorie d'utilisation.
Outre la présentation des résultats de l'évaluation proprement dite, il est utile de consigner de façon permanente les données de base recueillies à cette fin. Celles-ci comprennent souvent une carte des sols, avec texte explicatif, et des informations sur la géologie, la géomorphologie, le climat, l'hydrologie, la végétation, la démographie, etc., de la zone étudiée. Lorsque les résultats de l'évaluation sont présentés principalement en termes de coûts, revenu et rentabilité, il importe d'enregistrer les paramètres quantitatifs dont sont tirés le revenu et les coûts. Ceci permet de réévaluer et de modifier, s'il y a lieu, les classifications d'aptitude, comme dans le cas d'une modification importante des coûts et des prix relatifs, par exemple.