4.1 Introduction
4.2 The effective sonar range
4.3 Estimating school sizes
4.4 Sonar biomass estimates
4.5 Improving the precision of sonar biomass estimates
4.6 Example
In fisheries research, sonar surveys have been widely used for biomass estimates of schooling small pelagic fish. In this chapter we discuss in summary the features and survey systems of large-scale surveys. An assumption in the quantitative use of sonar is that of homogeneity which is sufficient for linear extrapolation of observation. This is reliable when a higher degree of uniformity is present.
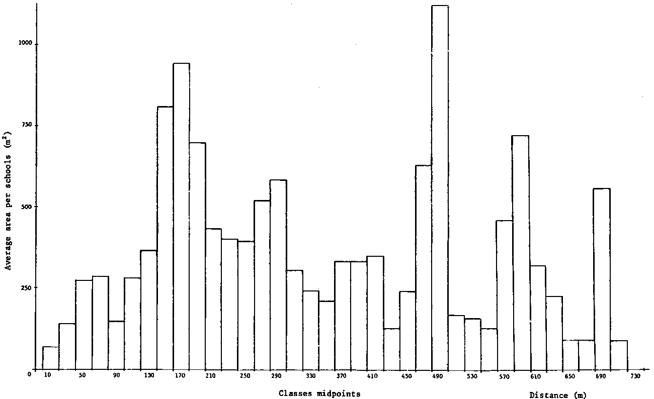
It has been discussed that, the sampling volume of the sonar system is not uniform; due to the conical shape of the transducers beam the sampling volume increases with range. Further, the detection threshold of the system depends, on the one hand, on the size and density of the schools, and on the other, on the distance of the survey schools from the transducer. Big and dense schools will be detected in a higher range than small and light ones. Finally, schools at a close distance from the research vessel are influenced by the noise of the vessel (avoidance effect). These phenomena are reflected in the prepared graphs (Figs. 4.2.1a, b, c) portraying the distance distribution of detected schools within the total sonar range of the research vessel (Morocco, 1979). Specifically, the prepared histograms show the distance distribution of the survey schools in terms of number of schools (sample observations), total area of schools and average area per school.
For estimation purposes, sample data observed only within the effective sonar range are taken into account. The technique used for determining the effective sonar range can be summarized as follows:
1. By using the sample observations we prepare the respective histograms indicating the distance distribution of the survey schools within the total sonar range in terms of number of schools, total area of schools and average area per school (see below Figs. 4.2.1a, b, c).As an example, below in the Figures 4.2.1a, b, c, the effective sonar range is located within the distance domain 100 m to 300 m.2. The effective sonar range on the x-axis of the histograms is determined by defining the mode domain of the histograms with a low range of variations.
4.3.1 Estimated school dimensions from sonar traces
4.3.2 Estimation of mean school weight
4.3.3 Estimated PD tolerance limits3
In sections 4.3.1, 4.3.2 and 4.3.3 below we present the methodologies used for the calculations of the school dimensions from sonar traces, mean weight per school and mean packing density per school. It should be emphasized that any consistent errors in measurements of the above magnitudes will clearly give rise to bias in sonar biomass estimates (see also section 5,5).
When a ship operating a sonar system detects a fish school at a given distance, its horizontal cross-section will be recorded in the produced sonargram (Fig. 4.3.1a).
Figure 4.3.1a

a) Recorded parameters (sonar measurements)
The recorded sonar measurements for the school are (Fig. 4.3.1a):
Dmin: Minimum perpendicular distance of the school from the vessel (m)b) Estimated actual dimensions of schoolDmax: Maximum perpendicular distance of the school from the vessel (m)
B: Breadth of the school (m),
B = Dmax - Dmin.L: Length of school (m)
For the estimation of the actual dimensions from the sonar traces, allowance has to be made for the effect of the beam width. This bias has to be substracted from the trace length to find the true school dimensions:
BC: (adjusted)= B - C1 (1)
where1
and
t = pulse duration (sec.)
= sound velocity in the water (m)
1 If, t = 4 msec and= 1500 m
then
,
(2)
or

where
,
(3)
For beam angle a = 8°,
and
. Substituting in the above
equations (2) and (3) we get,
(2a),
or
(3a)
For estimating the area (As) of the School one can assume that its shape is either circular or elliptical. It should be noted that schools are not all of the same size and shape. Also, it is indicated that as they grow in size they tend to deviate more frequently from the circular shape and become more elliptical, or even rectangular with rounded off ends:
Estimated area:
,
(m2) (4)
where
where: actual breadth or diameter of the school
p = 3.14
(5)
If h(m) is the estimated thickness (height) of the school its estimated volume for the above two school shapes is: short diameter (m)
: long diameter (m)
,
(m3) (6)
,
(m3) (7)
In this Section we discuss some of the methodologies used for the estimation of the mean school weight.
1. Using commercial catch data: Estimates of the weight of the survey schools can be obtained through small-scale catch assessment surveys (purse seine fishery). As an example, a catch assessment survey was conducted covering the purse seine fishery based at two landing centres in the south of Karnataka, i.e., Malpe and Mangalore (India, 1979). In these areas more than 80 purse seiners were operating.
The survey system of the conducted survey was as follows
(i) A survey period of 30 consecutive days was initiated.The visual estimates of the school sizes were made by the skippers of the fishing boats. Further, for the schools caught, in cases in which the entire school was not captured, the skipper provided information on the portion of the school caught.
(ii) Within each survey day, a pre-selected random sample of landings was obtained.
(iii) For each selected landing/day the following items of information were collected:a) Total number of observed schools and school sizes (kg), eye-estimates.
b) Actual number of schools caught and observed school sizes (kg), eye-estimates.
c) Actual catches in weight per school caught.
d) Species composition of the catch.
Provided that the obtained information can be considered as a representative sample of the target population, the sample data can be used to provide an estimate of the population mean school weight. In practice, separate estimates of the mean school weight are calculated for the individual areas (= strata) representing different levels of sizes of the surveyed schools.
2. Volume × packing density product: In this method, an estimate of the average weight per school is given by the product of the following two magnitudes
(8)
where
For the estimation of the mean school volume the procedure used can be described as follows:: estimated mean school weight (kg)
: estimated mean school volume (m3)
PD: packing density coefficient (kg/m3, see section 4.3.3)
a) By using the sonar records (effective range) an estimate is calculated of the actual mean diameter per school (, m).
b) Survey echo records (concurrent echo-integrator survey) provide an estimate of the average school thickness (height) per school (
, m).
c) An estimate of the average volume per school (m3) is given by (assuming circular shaped schools),
,
(p = 3.14)The volumetric packing density coefficient per school can be estimated either by assessing both the formation coefficent of schools and average weight per fish (see section 4.3.3), or by employing available PD values from related surveys.
Example: In an acoustic survey programme the following component values were used for the calculation of the average weight per school of small pelagic fish (Sardina pilcharchus, 1979).
The estimated mean values are,= 22.99 m
= 9.60 m
PD = 1.29 kg/m3
or
3. Midttuns method: In this method an estimate of the mean weight per school is calculated by using the echo records (echo-integrator surveys). Specifically, by using the sample observations (echograms and integrator readings) estimates are first calculated of the total weight of the individual schools,2m tons
(9)
where
In the previous formulae, the estimators of the component magnitudes on the right side of the equation are,(kg): weight per school
(kg)/m2): estimated area density
(m2): estimated area of school
2 The mean school weight is given by
where, n total number of sample schools.
Estimated area density (kg/m2):
(10)
where
P: total number of pings (= number of transmissions, echo-sounder) per n.mi (= ESDU)Estimated school area (m2):p: number of pings received from a sample school
: estimated integrator deflection of the school (mm)
: estimated calibration coefficient (tons/n.mi2/mm ref. 1 n.mi)
: estimated calibration coefficient in kg/m2
: estimated distance between pings in m, =
(11)
Example: For an individual school the following component values were obtained (echo-integrator survey, Sardina pilchardus, Morocco, 1979)
p: 15 pings, (P = 750 pings per n.mi)Calculated estimates: 117 mm
: 2 tons/n.mi2/nm (after calibration)
or
, (circular shape of school)
Note: The estimated thickness of school(m. tons
= height) was 6 m
(echo records). An estimte of the total volume of school (m3)
is
4.3.3.1 Methodologies used for estimating packing density coefficient (PD)
3 See Bazigos, G.P. and L, Rijavec, The effect of incomplete survey programmes on the accuracy of fish biomass estimates with special reference to Southwest India. Rome, FAO, FIRM-IND/75/038, Report (4)(in preparation)With regard to the packing density of schools, there are a number of ways in which the mean value of the magnitude can be expressed
(i) volumetric unit = kg of fish/m3The above units (i) and (iii) are inter-related in the sense that the arithmetical value of the volumetric unit equals the arithmetical value of the formation unit times the average weight per fish.
(ii) area unit = kg of fish/m2
(iii) formation unit = no, of fish/m3 - The arithmetical value of the formation unit depends on the formation pattern of fish expressed by the average distance between the individual fish in the school; the distance usually expressed in fish length units.
Weichs (1973) has suggested on hydrodynamic grounds that fish should not usually school at a greater density than one fish length apart, here called formation coefficient k = 1.
For our study we used two values of the formation coefficient k, i.e., k = 1, maximum density, and k = 3, minimum density, in order to define the tolerance range of packing densities for pelagic fish schools.
Below, we present the estimators we have developed which can be used for the estimation of the upper and lower limits of packing densities of schools and for various lengths and weights of fish.
Notation:
Estimators:: average length per fish (cm)
k: formation coefficient (range, k = 1-3): formation distance between fish in a school (cm)
N: total number of fish per m
Estimated total number of fish per m3
(1)
where
: expected total number of fish in the longitudinal dimension of the plane
|
|
: expected total number of fish in the latitudinal dimension
of the plane |
|
|
|
|
|
: expected total number of fish in the vertical dimension of
the space unit |
Figure 4.3.3a

Substituting g1, g2, g3 in equation (1), we get

or
(2)
By using empirical data (purse seine fishery off Cochin, India, 1977), we constructed a two-way table (Table 4.3.3b) giving the expected tolerance limits of packing densities of the surveyed fish schools. Specifically, the tabulated data provide the upper limit (k = 1) and lower limit (k = 3) of the packing density coefficients of oil sardine and mackerel schools and for various lengths and weight values per fish.
Figures 4.3.3c, d portray the estimated tolerance curves corresponding to the calculated packing density limits (upper, lower) of oil sardine and mackerel schools, respectively.
Table 4.3.3b Estimated tolerance limits of packing densities of schools of oil sardine and mackerel, expressed in formation and volumetric units, 1977 (purse seine data off Cochin, - INDIA)
|
|
|
Month |
Minimum packing density (k = 3) |
Maximum packing density (k= 1) |
||
|
Fish No./m3 |
kg/m3 |
Fish No. |
Kg/m3 |
|||
|
1. Oil sardine |
||||||
|
14.32 |
24 |
April |
9 |
0.227 |
170 |
4.087 |
|
14.85 |
26 |
March |
8 |
0.220 |
153 |
3.970 |
|
15.57 |
31 |
May |
7 |
0.220 |
132 |
4.106 |
|
15.62 |
44 |
September |
7 |
0.321 |
131 |
5.773 |
|
16.04 |
41 |
October |
7 |
0.276 |
121 |
4.968 |
|
16.69 |
41 |
November |
6 |
0.245 |
108 |
4.410 |
|
16.71 |
36 |
February |
6 |
0.214 |
107 |
3.858 |
|
17.09 |
49 |
July |
6 |
0.273 |
100 |
4.908 |
|
17.14 |
43 |
June |
6 |
0.237 |
99 |
4.270 |
|
17.24 |
39 |
December |
5 |
0.211 |
98 |
3.806 |
|
17.68 |
42 |
January |
5 |
0.211 |
90 |
3.780 |
|
16.27 |
37.82 |
Averages |
7 |
0.242 |
119 |
4.359 |
|
2. Mackerel |
||||||
|
16.81 |
59 |
August |
6 |
0.345 |
105 |
6.210 |
|
17.99 |
67 |
September |
5 |
0.320 |
86 |
5.753 |
|
20.02 |
80 |
January |
3 |
0.277 |
62 |
4.985 |
|
20.17 |
81 |
November |
3 |
0.274 |
61 |
4.936 |
|
21.08 |
98 |
March |
3 |
0.291 |
53 |
5.231 |
|
24.86 |
158 |
February |
2 |
0.286 |
33 |
5.142 |
|
20.16 |
90.50 |
Averages |
4 |
0.299 |
67 |
5.376 |
For quantitative estimates of the packing density of the surveyed pelagic schools, a variety of methodologies have been used over time. The methodologies employed can be grouped as follows:
1. Estimated average values of PD were expressed in volumetric units (kg/m3) and were calculated as the ratio of the following two primary magnitudes - the arithmetical values of the primary magnitudes were obtained independently:
|
Estimated PD (kg/m3) |
= estimated average total school size in weight (kg) |
|
|
- skippers eye observations |
|
|
+ average school size in volume (m3) |
|
|
- sonar/echo-integrator data |
,
(1)
2. Measurements were first obtained of the mean arithmetical value of the formation unit of the surveyed schools either on the basis of visual observations or by using existing auxiliary information (known values of the formation coefficient of similar species in other areas of the world). An estimate of the mean value of the volumetric unit of the surveyed schools was calculated by the formula:
(2)
3. For sample schools, estimates were first calculated of their volumes by using observations of the acoustic surveys:
|
Total volume of school (m3) |
= horizontal cross section of school (m3) |
|
|
- sonar data |
|
|
× vertical extension of school (m) |
|
|
- echo-integrator observations |

4. For the estimation of PD of the surveyed schools, the procedure used is based on the arithmetical values of the echo integrator deflection given by the subsurface schools, and the estimated values of calibration constant.
Specifically, the methodology employed for the estimation of the arithmetical value of PD expressed in volumetric units is as follows: Reverse the formula for the calculation of the calibration constant when the fish density is a known quantity. The deflection of a school is extrapolated to the standard distance unit of calibration (1 n.mi or 6 min in 10 knots vessel speed). Further, the following formula is used for estimating PD:
(3)
where
The estimated values of PD in kg/m3 for the individual sample schools are then averaged in order to calculate (estimate) the mean value of PD for the surveyed schools. Estimates of PD are calculated separately for the individual area domains representing different levels of densities of the surveyed schools in the area under investigation.= packing density of school (gr/m3)
: average integrator deflection per elementary distance sampling unit (mm, ref. 1 n.mi)
R: integrated layer, equal to the height of the sample school in m
C: acoustic systems conversion constant (= calibration constant in t/n.mi2)
3.43: unit conversion factor (t/n.mi2 into gr/m2)
The above formula (3) is derived from the well-known formula
given by Forbes and Nakken which shows that the echo-integrator output signal
is proportional to the
average fish density within the volume sample by the echo-sounder beam,
i.e.,
. A slightly modified
formula for PD (gr/m3) in comparison with the above (3) is given
by:

where
C: calibration constant in t/n.mi2A critical evaluation of the methodologies presented above indicates that the level of accuracy of the calculated estimates of PD is a function of a number of inter-related factors. In general the following assessments can be made:
M: integrator deflection of a given school
D: distance covered by the vessel in min. during the recording period (in m)
H: height of school in m: true diameter of school (in m)
3.43: conversion factor (converting t/n.mi2 into gr/m2)
a) Estimates of the formation unit of PD (Fish, no./m3) are usually calculated from supplementary information which is either very general (data available from other species in various parts of the world) or subjective (visual observations). The statistical power of the method can be improved if objective information based on close photography of the schools can be used.b) The calculation of the volumetric value of PD is more reliable, provided actual fishing of a good number of schools is accomplished.
c) PD values calculated on the basis of integration deflection are. subject to various sources of errors inherent in the measurement process:
d) Because there are difficulties in practice for obtaining reliable estimates of the vertical dimension of the surveyed schools, a magnitude which is needed for assessing the volume of the schools, another alternative is to estimate PD in area units (kg/m2) instead of in volumetric units (kg/m3).
4.4.1 Introduction
4.4.2 The estimation process
The sampling design of large-scale sonar surveys is based on the method of line sample (= regular line transect sample or random line transect sample). Usually sonar surveys are running concurrently with the echo-integrator surveys. Sampling methods of acoustic, surveys are presented in chapter 5 of this report.
It has been discussed that, in sonar surveys the estimated total biomass is a secondary magnitude and is calculated as a product of a series of individual magnitudes which are calculated (estimated) independently. In practice the following two methods are used for sonar biomass estimates:
Method 1: based on the estimated average weight per school
Method 2: based on the estimated packing density of schools
Method 1: Estimated total biomass
In this method of estimation, the estimator used is given by (see also section 4.6 - Example).
(12)
where
In the above equation (12) the value of: estimated total biomass (m. tons)
A: total survey area (n.mi2)
: average number of schools per n.mi2 (sample observations, based on the effective sonar range)
: average weight per school (m. tons)
is calculated by using the
sample observations of the conducted sonar survey. Specifically, we first
calculate the total number of schools
(
) observed within the
effective sonar range. Secondly, we calculate (estimate) the average number of
schools per n.mi2
where
Finally, in the above equation (12) an estimate of the average weight per school (: average number of schools per n.mi2
n: total number of sample ESDUs (elementary sampling distance unit = 1 n.mi)
l: sonar effective range m, (1852 = length of a n.mi in m).
, m.
tons) is obtained through fishing operations or by using data of commercial
catches.Method 2: Estimated total biomass
In this method of estimation the calculated total biomass is obtained as a product of a series of magnitudes which are calculated independently. Specifically, we first calculate (estimate) the average total weight per school within the effective sonar range (m. tons),
(1) (average total weight per school) = (mean volume per school) × (packing density per school)
In the above (1), the mean volume per school is a compound magnitude and is given by
(2) (mean volume per school) = (mean horizontal area per school) × (mean vertical extension per school or thickness per school).
In the above (2), estimates of the mean horizontal area per school are calculated through the conducted sonar surveys. Estimates of the mean vertical extension of schools are calculated independently, e.g., visual observations, results of echo-integrator survey.
Estimates of the third component of the above estimator (1), i.e., packing density per school are calculated independently (see section 4.3).
The overall procedure used for the estimation of the total sonar biomass (m. tons) by using method 2 is portrayed in the block diagram (Fig. 4.4.2a, mechanical processing).
Figure 4.4.2a SONAR ESTIMATES: Block Diagram
In the aforegoing sections we have discussed the facts which affect the accuracy of the calculated sonar biomass estimates. Also we presented the sampling methodology required for the estimation of population totals (for the calculation of the sampling errors of the estimates see chapter 5).
We can, however, suggest a more efficient method for the manipulation of the obtained observations which are based on a given sample size, in order to improve the precision of the calculated estimates.
It was observed that schools are not equal in size and shape. Usually, the obtained sample observations of large-scale sonar surveys reveal a great number of small schools and relatively a small number of big schools. One way for improving the precision of the calculated estimates is to group the sample school traces (effective sonar range) into size categories (post-stratification) and worked out sonar biomass estimates within the established size classes. In order to get full benefit from stratification, these estimates should be calculated on a space/depth domain basis.
In order to speed up the numerical processing of the sample observations of small schools, it is convenient to arrange the categories so that the ratio of volumes from one to the next higher ones remains constant, and for small schools the experience suggests that the vertical height (h) of the school is most often increasing with the size of the school at a relatively constant rate. However, because this information (h) is not available in sonar surveys, the diameter of the school should be taken as the criterion for classification.
For estimating the mean value of a category we calculate the sample mean within the category. The Table below (Table 4.5a) portrays the steps to be employed for the estimation of the sonar total biomass by using size school categories.
For this example we used empirical data (sample observations, daytime) of a conducted sonar survey. One of the objectives of the survey was the calculation of biomass estimates of the survey sardine stocks (Sardina pilchardus),
1. The computer sheet presents a table providing the distance distribution of the schools observed within the total sonar range. The class interval of the distance distribution is 20 m. In the Table the following items of information are given:
a) Total number of schools observed on a class interval basisAlso, a graphical presentation of the tabulated distance distribution of the survey schools is given in the next image.
b) Total area (m2) of schools observed on a class interval basis
c) Average area per school (m2) on a class interval basis
d) Relative and cumulative relative distribution of the above a, b.
2. By using the empirical data prepare the histograms portraying the above distance distributions (a, b, c). Determine the effective sonar range and discuss critically the obtained results.
3. If the total number of ESDUs (Elementary Distance Sampling Unit = 1 n.mi) equals n = 600, estimate the average number of schools per n.mi2.
4. If the average weight per school is
= 3 m. tons and the total
survey area equals A = 17,282 n.mi2, calculate (estimate) the total
biomass of sardines in the survey area.
Table 4.5a Sonar biomass estimates (daytime observations)
|
School categories |
Sample data |
Average no. of schools per n.mi2 |
Total no. of schools |
Average weight per school |
Estimated total biomass |
||
|
Category |
Diameter of schools |
Total no. of schools (effective range)(mi) |
Average no. of schools per ESDU (mi/n) |
||||
|
|
a1-a2 |
|
|
|
|
|
|
|
|
a2-a3 |
|
|
|
|
|
|
|
|
a3-a4 |
|
|
|
|
|
|
|
|
a4-a5 |
|
|
|
|
|
|
|
Total |
m |
|
|
M |
|
B |
|
|
Space/Depth Domain |
C. No. |
|
Area |
A (n.mi2) |
|
No. of ESDUs |
n (total sample size) |
DISTANCE FREQUENCY DISTRIBUTION BASED ON DAYTIME OBSERVATIONS