A number of instances in forestry research can be found wherein substantial statistical applications have been made other than the regular design, sampling or analytical techniques. These special methods are integrally related to the concepts in the particular subject fields and will require an understanding of both statistics and the concerned disciplines to fully appreciate their implications. Some of these topics are briefly covered in what follows. It may be noted that quite many developments have taken place in each of the topics mentioned below and what is reported here forms only a basic set in this respect. The reader is prompted to make further reading wherever required so as to get a better understanding of the variations possible with respect to data structure or in the form of analysis in such cases.
6.1 Genetics and plant breeding
6.1.1. Estimation of heritability and genetic gain
The observed variation in a group of individuals is partly composed of genetic or heritable variation and partly of non-heritable variation. The fraction of total variation which is heritable is termed the coefficient of heritability in the broad sense. The genotypic variation itself can be sub-divided into additive and nonadditive genetic variance. The ratio of additive genetic variance to the total phenotypic variance is called the coefficient of heritability in the narrow sense and is designated by h2. Thus,
![]()
Conceptually, genetic gain or genetic improvement per generation is the increase in productivity following a change in the gene frequency induced mostly by selection.
Heritability and genetic gain can be estimated in either of two ways. The most direct estimates are derived from the relation between parents and offspring, obtained by measuring the parents, growing the offspring, and measuring the offspring. The other way is to establish a half-sib or full-sib progeny test, conduct an analysis of variance and compute heritability as a function of the variances. Understanding the theoretical part in this context requires a thorough knowledge of statistics. Formulae given below in this section are intended only as handy references. Also, there is no attempt made to cover the numerous possible variations that might result from irregularities in design. Half-sib progeny test is used for illustration as it is easier to establish and so more common in forestry.
Both heritability and gain estimates apply strictly only to the experiments from which they are obtained. They may be and frequently are very different when obtained from slightly different experiments. Therefore when quoting them, it is desirable to include pertinent details of experimental design and calculation procedures. Also, it is good practice to state the statistical reliability of each heritability estimate and therefore formulae for calculating the reliability of heritability estimates are also included in this section. Additional references are Falconer (1960), Jain (1982) and Namkoong et al. (1966).
For illustration of the techniques involved, consider the data given in Table 6.1. The data were obtained from a replicated progeny trial in bamboo conducted at Vellanikkara and Nilambur in Kerala consisting of 6 families, replicated 3 times at each of the 2 sites, using plots of 6 trees each. The data shown in Table 6.1 formed part of a larger set.
Table 6.1. Data on height obtained from a replicated progeny trial in bamboo conducted at 2 sites in Kerala.
|
Height (cm) after two years of planting |
|||||||||||||
|
Site I - Vellanikkara |
Site II - Nilambur |
||||||||||||
|
Family |
Family |
||||||||||||
|
Block |
Tree |
1 |
2 |
3 |
4 |
5 |
6 |
1 |
2 |
3 |
4 |
5 |
6 |
|
1 |
1 |
142 |
104 |
152 |
111 |
23 |
153 |
24 |
18 |
18 |
31 |
95 |
57 |
|
2 |
95 |
77 |
98 |
29 |
48 |
51 |
58 |
50 |
24 |
26 |
42 |
94 |
|
|
3 |
138 |
129 |
85 |
64 |
88 |
181 |
32 |
82 |
38 |
30 |
43 |
77 |
|
|
4 |
53 |
126 |
118 |
52 |
27 |
212 |
27 |
23 |
65 |
86 |
76 |
39 |
|
|
5 |
95 |
68 |
25 |
19 |
26 |
161 |
60 |
56 |
46 |
20 |
41 |
82 |
|
|
6 |
128 |
48 |
51 |
25 |
26 |
210 |
75 |
61 |
104 |
28 |
49 |
29 |
|
|
2 |
1 |
185 |
129 |
78 |
28 |
35 |
140 |
87 |
26 |
78 |
25 |
29 |
54 |
|
2 |
117 |
131 |
161 |
26 |
21 |
79 |
102 |
103 |
57 |
37 |
72 |
56 |
|
|
3 |
135 |
135 |
121 |
25 |
14 |
158 |
74 |
55 |
60 |
52 |
83 |
29 |
|
|
4 |
155 |
88 |
124 |
76 |
34 |
93 |
102 |
43 |
26 |
139 |
40 |
67 |
|
|
5 |
152 |
75 |
118 |
43 |
49 |
151 |
20 |
100 |
59 |
49 |
24 |
42 |
|
|
6 |
111 |
41 |
61 |
86 |
31 |
171 |
80 |
98 |
70 |
97 |
54 |
47 |
|
|
3 |
1 |
134 |
53 |
145 |
53 |
72 |
109 |
54 |
58 |
87 |
17 |
25 |
38 |
|
2 |
35 |
82 |
86 |
32 |
113 |
50 |
92 |
47 |
93 |
23 |
30 |
38 |
|
|
3 |
128 |
71 |
141 |
24 |
37 |
64 |
89 |
33 |
70 |
29 |
26 |
36 |
|
|
4 |
89 |
43 |
156 |
182 |
19 |
82 |
144 |
108 |
47 |
30 |
36 |
72 |
|
|
5 |
99 |
71 |
121 |
22 |
24 |
77 |
100 |
70 |
26 |
87 |
24 |
106 |
|
|
6 |
29 |
26 |
55 |
52 |
20 |
123 |
92 |
46 |
40 |
31 |
37 |
61 |
|
The stepwise procedure for estimating heritability and genetic gain from a half-sib progeny trial is given below.
Step 1.Establish a replicated progeny test consisting of open-pollinated offspring of f families, replicated b (for block) times at each of s sites, using n-tree plots. Measure a trait, such as height, and calculate the analysis of variance, as shown in Table 6.2. Progeny arising from any particular female constitute a family.
Table 6.2. Schematic representation of analysis of variance for a multi-plantation half-sib progeny trial.
|
Source of variation |
Degree of freedom (df) |
Sum of squares (SS) |
Mean square
|
|
Site |
s - 1 |
SSS |
MSS |
|
Block-within-site |
s (b - 1) |
SSB |
MSB |
|
Family |
f - 1 |
SSF |
MSF |
|
Family x Site |
(f - 1)(s - 1) |
SSFS |
MSFS |
|
Family x Block- within-site |
s(f - 1) (b - 1) |
SSFB |
MSFB |
|
Tree-within-plot |
bsf (n - 1) |
SSR |
MSR |
The formulae for computing the different sums of squares in the ANOVA Table are given below, including the formula for computing the correction factor (C.F.). Let yijkl represent the observation corresponding to the lth tree belonging to the kth family of the jth block in the ith site. Let G represent the grand total, Si indicate the ith site total, Fk represent the kth family total, (SB)ij represent the jth block total in the ith site, (SF)ik represent the kth family total in the ith site, (SBF)ijk represent the kth family total in the jth block of the ith site.
C F =
(6.1)
=![]()
=1100531.13
SSTO =
(6.2)
= (142)2+(95)2+…….+(61)2 - 1100531.13
= 408024.87
(6.3)
=
-1100531.13
= 48900.46
(6.4)
=
-1100531.13 - 48900.46
= 9258.13
(6.5)
=
- 1100531.13
= 80533.37
(6.6)
=
- 1100531.13 - 48900.46
- 80533.37
= 35349.37
(6.7)
=
- 1100531.13 - 48900.46 -
9258.13 - 80533.37 - 35349.37
= 45183.87
(6.8)
= 408024.87 - 48900.46 - 9258.13 - 80533.37 -35349.37 - 45183.87
= 188799.67
The mean squares are computed as usual by dividing the sums of squares by the respective degrees of freedom. The above results may be summarised as shown in Table 6.3.
Table 6.3. Analysis of variance table for a multi-plantation half-sib progeny trial using data given in Table 6.1.
|
Source of variation |
Degree of freedom (df) |
Sum of squares (SS) |
Mean square
|
|
Site |
1 |
48900.46 |
48900.46 |
|
Block-within-site |
4 |
9258.13 |
2314.53 |
|
Family |
5 |
80533.37 |
16106.67 |
|
Family x Site |
5 |
35349.37 |
7069.87 |
|
Family x Block- within-site |
20 |
45183.87 |
2259.19 |
|
Tree-within-plot |
180 |
188799.67 |
1048.89 |
In ordinary statistical work, the mean squares are divided by each other in various manners to obtain F values, which are then used to test the significance. The mean squares themselves, however, are complex, most of them containing variability due to several factors. To eliminate this difficulty, mean squares are apportioned into variance components according to the equivalents shown in Table 6.4.
Table 6.4. Variance components of mean squares for a multi-plantation half-sib progeny test.
|
Sources of variation |
Variance components of mean squares |
|
Site |
Ve + n Vfb + n b Vfs + nf Vb + nfb Vs |
|
Block-within-site |
Ve + n Vfb + nf Vb |
|
Family |
Ve + n Vfb + n b Vfs + nbs Vf |
|
Family x Site |
Ve + n Vfb + nb Vfs |
|
Family x Block-within-site |
Ve + n Vfb |
|
Tree-within-plot |
Ve |
In Table 6.4, Ve , Vfb , Vfs , Vf , Vb , and Vs are the variances due to tree-within-plot, family x block-within-site, family x site, family, block-within-site and site, respectively.
Step 2. Having calculated the mean squares, set each equal to its variance component as shown in Table 6.4. Start at the bottom of the table and obtain each successive variance of interest by a process of subtraction and division. That is, subtract within-plot mean square (Ve) from family x block mean square (Ve + nsVfb) to obtain nsVfb ; then divide by ns to obtain Vfb . Proceed in a similar manner up the table.
Step 3.Having calculated the variances, calculate heritability of the half-sib family averages as follows.
Family heritability
(6.9)

Since the family averages are more reliable than the averages for any single plot or tree, the selection is usually based upon family averages.
Step 4. In case the selection is based on the performance of single trees, then single tree heritability is to be calculated. In a half-sib progeny test, differences among families account for only one-fourth of the additive genetic variance; the remainder is accounted for by variation within the families. For that reason, Vf is multiplied by 4 when calculating single tree heritability. Also, since selection is based upon single trees, all variances are inserted in toto in the denominator. Therefore the formula for single-tree heritability is
Single tree heritability
(6.10)

Suppose that the families are tested in only one test plantation. Testing and calculating procedure are much simplified. Total degrees of freedom are nfb -1; site and family x site mean squares and variances are eliminated from Table 6.2. In this situation, families are measured at one site only. They might grow very differently at other sites. The calculated Vf is in reality a combination of Vf and Vfs. Therefore, heritability calculated on the basis of data from one plantation only, is overestimated.
Recording and analysis of single tree data are the most laborious parts of measurement and calculation procedures, often accounting for 75% of the total effort. Estimates of Vfb, Vfs, and Vf are not changed if data are analysed in terms of plot means rather than individual tree means, but Ve cannot be determined. The term (Ve/nbs) is often so small that it is inconsequential in the estimation of family heritability. However, single tree heritability is slightly overestimated if Ve is omitted. Even more time can be saved by dealing solely with the means of families at different sites, i.e., calculating Vfs and Vf only. Elimination of the Vfb/bs term ordinarily causes a slight overestimate of family heritability. Elimination of the Vfb term may cause a greater overestimate of the single tree heritability.
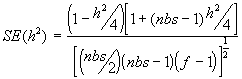
Step 5. Calculate the standard error of single tree heritability estimate as
(6.11)

= ![]()
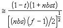
The standard error of family heritability is approximately given by
(6.12)

![]()
where t is the intraclass correlation, which equals one-fourth of the single tree heritability.
The above formulae are correct if Ve = Vfb = Vfs. However, if one of these is much larger than the others, the term nbs should be reduced accordingly. If, for example, Vfs is much larger than Vfb or Ve , s might be substituted for nbs.
The above-calculated family heritability estimate is strictly applicable only if those families with the best overall performance in all plantations are selected. A breeder may select those families which are superior in one plantation only. In that case, family heritability is calculated as above except that Vfs is substituted for Vfs/s in the denominator.
If a breeder wishes to select on the basis of plot means, only family heritability is calculated as shown above, except that Vfs and Vfb are substituted for Vfs /s and Vfb /bs, respectively, in the denominator.
Step 6. To calculate genetic gain from a half-sib progeny test, use the formula for genetic gain from family selection.
Genetic gain = Selection differential x Family heritability (6.13)
where Selection differential = (Mean of selected families - Mean of all families)
To calculate expected gain from mass selection in such a progeny test, use the formula,
Expected mass selection gain = Selection differential x Single tree heritability
(6.14)
where Selection differential = (Mean of selected trees - Mean of all trees)
6.1.2. Genotype-environment interaction
The phenotype of an individual is the resultant effect of its genotype and the environment in which it develops. Furthermore, the effects of genotype and environment may not be independent. A specific difference in environment may have a greater effect on some genotypes than on others, or there may be a change in the ranking of genotypes when measured in diverse environments. This interplay of genetic and non-genetic effects on the phenotype expression is called genotype-environment interaction. The failure of a genotype to give the same response in different environments is a definite indication of genotype-environment interaction.
The environment of an individual is made up of all the things other than the genotype of the individual that affect its development. That is to say, environment is the sum total of all non-genetic factors external to the organism. Comstock and Moll (1963) distinguish two kinds of environments, micro and macro. Micro-environment is the environment of a single organism, as opposed to that of another, growing at the same time and in almost the same place. Specifically, micro-environmental differences are environmental fluctuations which occur even when individuals are apparently treated alike. On the other hand, environments that are potential or realized within a given area and period of time are referred to collectively as a macro-environment. A macro-environment can thus be conceived of as a collection of micro-environments that are potential therein. Different locations, climates and even different management practices are examples of macro-environmental differences. It is to be noted that the effect of micro-environment on an organism as well as its interactions with different genotypes is usually very small. Moreover, owing to the unpredictable and uncontrollable nature of micro-environment, its interactions with genotypes cannot be properly discerned. In other words, it is the macro-environmental deviation and its interaction with genotype that can be isolated and tested for significance.
One method of detecting genotype-environment interaction is by analysing data from a multi-location trial as done in Table 6.2 and testing the significance of the Family x Site interaction term. The computed F value is compared against table value of F for(f-1)(s-1) and s(f-1)(b-1) degrees of freedom (See Table 6.5).
If the interaction is nonsignificant or does not involve appreciable differences in rank among the best families or clones, they may be ignored, in which case selections should be based upon a genotype’s average performance at all test sites. If the interactions are large and can be interpreted sufficiently to permit forecasts of where particular genotypes will excel or grow poorly, they cannot be ignored. To determine this, group the data from several plantations according to the plantations’ site characteristics (i.e., northern versus southern, dry versus moist, infertile versus fertile). Determine the amount of interaction within and between such groups. If a large portion of the interaction can be explained by the grouping, make separate selections for the sites typical of each plantation group. Then the correct statistical procedure is to make a separate analysis of variance and develop heritability estimate for each plantation group within which the interactions are too small or too uninterpretable to be of practical importance.
Table 6.5. Analysis of variance for a multi-plantation half-sib progeny test.
|
Sources of variation |
Degrees of freedom |
Sum of squares |
Mean square |
Computed F |
Tabular F 5 % |
|
Site |
1 |
48900.46 |
48900.46 |
||
|
Block-within-site |
4 |
9258.13 |
2314.53 |
||
|
Family |
5 |
80533.37 |
16106.67 |
||
|
Family x Site |
5 |
35349.37 |
7069.87 |
|
2.71 |
|
Family x Block- within-site |
20 |
45183.87 |
2259.19 |
||
|
Tree-within-plot |
180 |
188799.67 |
1048.89 |
* Significant at 5% level.
An alternative approach in this regard uses the regression technique in partitioning the genotype-environmental interaction component of variability into its linear and non-linear portions for assessing the stability of genotypes over a range of environments (Freeman and Perkins, 1971). Further discussion of this method is however not attempted here for want of space.
6.1.3. Seed orchard designs
A seed orchard is a plantation of genetically superior trees, isolated to reduce pollination from genetically inferior outside sources, and intensively managed to produce frequent, abundant, easily harvested seed crops. It is established by setting out clones (as grafts or cuttings) or seedling progeny of trees selected for desired characteristics. This section is concerned with certain specific planting designs used for raising seed orchards with emphasis on statistical aspects. Several other aspects of seed orchard planning related to type of planting material-clones or seedlings, number of clones or families, initial planting distances and related information can be found in books on tree breeding such as Wright, (1976) and Faulkner (1975).
In the case of clonal seed orchards, plants belonging to the same clone are called ramets. However, in this section, the term ‘clone’ or ‘ramet’, as applied in clonal seed orchards, are used for descriptive purposes. Similar designs can be used for seedling seed orchards, in which case the word ‘progeny’ should be substituted for ‘clone’ and ‘family-plot’ for ramet. Family plots can consist of a single tree or groups composed of several trees.
Completely randomized design (CRD) in which complete randomisation of all the available ramets of all clones between all the available planting positions on the site is the simplest of all designs to plan on paper. It can, however, pose practical management difficulties associated with planting, or, on-site grafting, and the relocation of individual ramets at a later stage and particularly when the orchard is large and contains many clones. If systematic thinning is to be practised by removing every second tree or every second row, the design can be further refined by making separate randomizations for the ramets which are to remain and for those to be removed in thinning. Quite frequently, certain restrictions are imposed on randomization, for example, that no two ramets of the same clone may be planted in adjacent positions within rows or columns, or where they will occur in adjacent diagonal positions; or, that at least two different ramets must separate ramets of the same clone. These restrictions are usually arranged by manipulating the positions of the ramets on the plan, thus making the design no longer truly random, however, such deviations from randomness are seldom great. This strategy is adopted mainly to avoid the chances of inbreeding.
As an illustration, graphical layout of a completely randomized design for 10 clones with around 10 replications, planted with one-ring isolation is shown below.
|
4 |
7 |
4 |
8 |
5 |
10 |
7 |
6 |
4 |
7 |
|
8 |
3 |
9 |
1 |
2 |
1 |
3 |
5 |
3 |
5 |
|
6 |
1 |
5 |
3 |
10 |
5 |
10 |
9 |
7 |
10 |
|
8 |
4 |
2 |
1 |
9 |
7 |
6 |
3 |
5 |
8 |
|
5 |
7 |
3 |
6 |
2 |
3 |
5 |
2 |
10 |
2 |
|
1 |
10 |
4 |
7 |
10 |
6 |
8 |
4 |
1 |
5 |
|
9 |
7 |
6 |
3 |
5 |
2 |
7 |
3 |
6 |
2 |
|
1 |
5 |
2 |
10 |
1 |
3 |
10 |
5 |
4 |
9 |
|
8 |
10 |
4 |
7 |
5 |
7 |
8 |
2 |
1 |
6 |
|
7 |
2 |
8 |
6 |
1 |
4 |
6 |
7 |
10 |
4 |
Figure 6.1. Layout of a CRD for 10 clones with around 10 replications, with one-ring isolation around ramets of each clone.
As an extension of the above concepts, randomised complete block design (RCBD) or incomplete block designs like lattice designs discussed in Chapter 4 of this manual can be utilized in this connection for the benefits they offer in controlling the error component. However, the randomization within blocks is usually modified in order to satisfy restrictions on the proximity of ramets of the same clone. These designs are better suited for comparative clonal studies. Their main disadvantages are that RCBD shall not work well with large number of clones; lattice designs and other incomplete block designs are available only for certain fixed combinations of clone numbers and number of ramets per clone and they are unsuitable for systematic thinnings which would spoil the design.
La Bastide (1967) developed a computer programme which provides a design if feasible, for a set numbers of clones, ramets per clone, and ratio of rows to columns. There are two constraints; first, that there is a double ring of different clones to isolate each ramet of same clone (which are planted in staggered rows); second, that any combination of two adjacent clones should occur in any specific direction once only (See Figure 6.2). The design is called permutated neighbourhood design.

Figure 6.2. A fragment of a permutated neighbourhood design for 30 clones, with the restrictions on randomness employed by La Bastide (1967) in his computer design, viz., (i) 2 rings of different clones isolate each ramet, and, (ii) any combination of two adjacent clones must not occur more than once in any specific direction.
Ideally, the design should be constructed for number of replications equal to one less than the number of clones, which would ensure that every clone has every other clone as neighbour once in each of the six possible directions. Thirty clones would therefore, require 29 ramets per clone or a total of 870 grafts although it may not be feasible to construct such large designs always. Even so, the small blocks which have been developed are, at the moment, the best designs available for ensuring, at least in theory, the maximum permutation of neighbourhood combinations and the minimum production of full-sibs in the orchard progeny. Chakravarty and Bagchi (1994) and Vanclay (1991) describe efficient computer programmes for construction of permutated neighbourhood seed orchard designs.
Seed orchards are usually established on the assumption that each clone and ramet, or, family-plot or seedling tree, in the orchard will: flower during the same period; will have the same cycle of periodic heavy flower production; be completely inter-fertile with all its neighbours and yield identical number of viable seed per plant; have the same degree of resistance to self-incompatibility; and will have a similar rate of growth and crown shape as all other plants. It is common experience that this is never the case and it is not likely to ever be so. The successful breeder will be the one who diligently observes and assiduously collects all essential information on clonal behaviour, compatibilities and combining-abilities, and translates this information into practical terms by employing it in the next and subsequent generations of seed orchards. Such designs will make maximum use of the available data.
6.2.1. Volume and biomass equations
In several areas of forestry research such as in silviculture, ecology or wood science, it becomes necessary to determine the volume or biomass of trees. Many times, it is the volume or biomass of a specified part of the tree that is required. Since the measurement of volume or biomass is destructive, one may resort to pre-established volume or biomass prediction equations to obtain an estimate of these characteristics. These equations are found to vary from species to species and for a given species, from stand to stand. Although the predictions may not be accurate in the case of individual trees, such equations are found to work well when applied repeatedly on several trees and the results aggregated, such as in the computation of stand volume. Whenever, an appropriate equation is not available, a prediction equation will have to be established newly. This will involve determination of actual volume or biomass of a sample set of trees and relating them to nondestructive measures like diameter at breast-height and height of trees through regression analysis.
(i) Measurement of tree volume and biomass
Determination of volume of any specified part of the tree such as stem or branch is usually achieved by cutting the tree part into logs and making measurements on the logs. For research purposes, it is usual to make the logs 3m in length except the top end log which may be up to 4.5m. But if the end section is more than 1.5m in length, it is left as a separate log. The diameter or girth of the logs is measured at the middle portion of the log, at either ends of the log or at the bottom, middle and tip potions of the logs depending on the resources available. The length of individual logs is also measured. The measurements may be made over bark or under bark after peeling the bark as required. The volume of individual logs may be calculated by using one of the formulae given in the following table depending on the measurements available.
|
Volume of the log |
Remarks |
|
|
Smalian’s formula |
|
|
Huber’s formula |
|
|
Newton’s formula |
where b is the girth of the log at the basal portion
m is the girth at the middle of the log
t is the girth at the thin end of the log
l is the length of the log or height of the log
For illustrating the computation of volume of a tree using the above formulae, consider the data on bottom, middle, tip girth and length of different logs from a tree (Table 6.6).
Table 6.6. Bottom girth, middle girth, tip girth and length of logs of a teak tree.
|
Girth (cm) |
Volume of log (cm)3 |
||||||
|
Log number |
Bottom (b) |
Middle (m) |
Tip (t) |
Length (l) |
Smalian’s formula |
Huber’s formula |
Newton’s formula |
|
1 |
129.00 |
99.00 |
89.00 |
570.00 |
556831.70 |
444386.25 |
481868.07 |
|
2 |
89.00 |
90.10 |
91.00 |
630.00 |
405970.57 |
406823.00 |
406538.86 |
|
3 |
64.00 |
60.00 |
54.90 |
68.00 |
19229.35 |
19472.73 |
19391.60 |
|
4 |
76.00 |
85.00 |
84.60 |
102.00 |
52467.48 |
58621.02 |
56569.84 |
|
5 |
84.90 |
80.10 |
76.20 |
111.00 |
57455.84 |
56650.45 |
56918.91 |
|
Total |
1091954.94 |
985953.45 |
1021287.28 |
||||
The volumes of individual logs are added to get a value for the volume of the tree or its part considered. In order to get the volume in m3, the volume in (cm)3 is to be divided by 1000,000.
Though volume is generally used in timber trade, weight is also used in the case of products like firewood or pulpwood. Weight is the standard measure in the case of many minor forest produce as well. For research purposes, biomass is getting increasingly more in use. Though use of weight as a measure appears to be easier than the use of volume, the measurement of weight is beset with problems like varying moisture content and bark, which render its use inconsistent. Hence biomass is usually expressed in terms of dry weight of component parts of trees such as stem, branches and leaves. Biomass of individual trees are determined destructively by felling the trees and separating the component parts like main stem, branches, twigs and leaves. The component parts are to be well defined as for instance, material below 10 cm girth over bark coming from main stem is included in the branch wood. The separated portions should be weighed immediately after felling. If oven-dry weights are needed, samples should be taken at this stage. At least three samples of about 1 kg should be taken from stem, branches and twigs from each tree. They should be weighed and then taken to the laboratory for oven-drying. The total dry weight of each component of the tree is then estimated by applying the ratio of fresh weight to dry weight observed in the sample to the corresponding total fresh weight of the component parts. For example,
(6.15)
where FW = Fresh weight
DW = Dry weight
For illustration, consider the data in Table 6.7.
Table 6.7. Fresh weight and dry weight of sample discs from the bole of a tree
|
Disc |
Fresh weight (kg) |
Dry weight (kg) |
|
1 |
2.0 |
0.90 |
|
2 |
1.5 |
0.64 |
|
3 |
2.5 |
1.37 |
|
Total |
6.0 |
2.91 |
![]()
Total DW of bole of the tree ![]()
= 460.8 kg
(ii) Estimation of allometric equations
The data collected from sample trees on their volume or biomass along with the dbh and height of sample trees are utilized to develop prediction equations through regression techniques. For biomass equations, sometimes diameter measured at a point lower than breast-height is used as regressor variable. Volume or biomass is taken as dependent variable and functions of dbh and height form the independent variables in the regression. Some of the standard forms of volume or biomass prediction equations in use are given below.
y = a + b D + c D2 (6.16)
ln y = a + b D (6.17)
ln y = a + b ln D (6.18)
y0.5 = a + b D (6.19)
y = a + b D2H (6.20)
ln y = a + b D2H (6.21)
y0.5 = a + b D2H (6.22)
ln y = a + b ln D + c ln H (6.23)
y0.5 = a + b D + c H (6.24)
y0.5 = a + b D2 + c H + d D2H (6.25)
In all the above equations, y represents tree volume or biomass, D is the tree diameter measured at breast-height or at a lower point but measured uniformly on all the sample trees, H is the tree height, and a, b, c are regression coefficients, ln indicates natural logarithm.
Usually, several forms of equations are fitted to the data and the best fitting equation is selected based on measures like adjusted coefficient of determination or Furnival index. When the models to be compared do not have the same form of the dependent variable, Furnival index is invariably used.
(6.26)
where R2 is the coefficient of determination obtained as the ratio of regression sum of squares to the total sum of squares (see Section 3.7)
n is the number of observations on the dependent variable
p is the number of parameters in the model
Furnival index is computed as follows. The value of the square root of error mean square is obtained for each model under consideration through analysis of variance. The geometric mean of the derivative of the dependent variable with respect to y is obtained for each model from the observations. Geometric mean of a set of n observations is defined by the nth root of the product of the observations. The Furnival index for each model is then obtained by multiplying the corresponding values of the square root of mean square error with the inverse of the geometric mean. For instance, the derivative of ln y is (1/y) and the Furnival index in that case would be
Furnival index =
(6.27)
The derivative of y0.5 is (1/2)(y - 0.5) and corresponding changes will have to be made in Equation (6.27) when the dependent variable is y0.5.
For example, consider the data on dry weight and diameter at breast-height of 15 acacia trees, given in Table 6.8.
Table 6.8. Dry weight and dbh of 15 acacia trees.
|
Tree no |
Dry weight in tonne (y) |
Dbh in metre (D) |
|
1 |
0.48 |
0.38 |
|
2 |
0.79 |
0.47 |
|
3 |
0.71 |
0.44 |
|
4 |
1.86 |
0.62 |
|
5 |
1.19 |
0.54 |
|
6 |
0.51 |
0.38 |
|
7 |
1.04 |
0.50 |
|
8 |
0.62 |
0.43 |
|
9 |
0.83 |
0.48 |
|
10 |
1.19 |
0.48 |
|
11 |
1.03 |
0.52 |
|
12 |
0.61 |
0.40 |
|
13 |
0.68 |
0.44 |
|
14 |
0.20 |
0.26 |
|
15 |
0.66 |
0.44 |
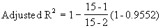
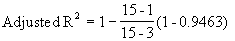
Using the above data, two regression models, y = a + b D + c D2 and ln y = a + b D were fitted using multiple regression analysis described in Montgomery and Peck (1982). Adjusted R2 and Furnival index were calculated for both the models. The results are given in Tables 6.9 to Tables 6.12.
Table 6.9. Estimates of regression coefficients along with the standard error for the regression model, y = a + b D + c D2.
|
Regression coefficient |
Estimated regression coefficient |
Standard error of estimated coefficient |
|
a |
0.5952 |
0.4810 |
|
b |
-3.9307 |
2.0724 |
|
c |
9.5316 |
2.4356 |
Table 6.10. ANOVA table for the regression analysis using the model, y = a + b D + c D2.
|
Source |
df |
SS |
MS |
Computed F |
|
Regression |
2 |
2.0683 |
1.0341 |
105.6610 |
|
Residual |
12 |
0.1174 |
0.0098 |
R2 =
=
= 0.9463
![]()
= 0.9373
Here the derivative of y is 1. Hence,
Furnival index =
=
= = 0.0989.
Table 6.11.Estimates of regression coefficients along with the standard error for the regression model ln y = a + b D.
|
Regression coefficient |
Estimated regression coefficient |
Standard error of estimated coefficient |
|
a |
-3.0383 |
0.1670 |
|
b |
6.0555 |
0.3639 |
Table 6.12. ANOVA table for the regression analysis using the model, ln y = a + b D
|
Source |
df |
SS |
MS |
Computed F |
|
Regression |
1 |
3.5071 |
3.5071 |
276.9150 |
|
Residual |
13 |
0.1646 |
0.0127 |
R2 =
=
= 0.9552
= 0.9517
Here derivative of y is 1/y. Hence, Furnival index calculated by Equation (6.27) is
Furnival index =
= 0.0834
Here, the geometric mean of (1/y) will be the geometric mean of the reciprocals of the fifteen y values in Table 6.8.
In the example considered, the model ln y = a + b D has a lower Furnival index and so is to be preferred over the other model y = a + b D + c D2. Incidentally, the former model also has a larger adjusted R2.
6.2.2. Growth and yield models for forest stands
Growth and yield prediction is an important aspect in forestry. ‘Growth’ refers to irreversible changes in the system during short phases of time. ‘Yield’ is growth integrated over a specified time interval and this gives the status of the system at specified time points. Prediction of growth or yield is important because many management decisions depend on it. For instance, consider the question, is it more profitable to grow acacia or teak in a place? The answer to this question depends, apart from the price, on the expected yield of the species concerned in that site. How frequently should a teak plantation be thinned ? The answer naturally depends on the growth rate expected of the plantation concerned. What would be the fate of teak if grown mixed with certain other species ? Such questions can be answered through the use of appropriate growth models.
For most of the modelling purposes, stand is considered as a unit of management. ‘Stand’ is taken as a group of trees associated with a site. Models try to capture the stand behaviour through algebraic equations. Some of the common measures of stand attributes are described here first before discussing the different stand models.
(i) Measurement of stand features
The most common measurements made on trees apart from a simple count are diameter at breast height or girth at breast-height and total height. Reference is made to standard text books on mensuration for the definition of these terms (Chaturvedi and Khanna, 1982). Here, a few stand attributes that are derivable from these basic measurements and some additional stand features are briefly mentioned.
Mean diameter : It is the diameter corresponding to the mean basal area of a group of trees or a stand, basal area of a tree being taken as the cross sectional area at the breast-height of the tree.
Stand basal area : The sum of the cross sectional area at breast-height of trees in the stand usually expressed m2 on a unit area basis.
Mean height : It is the height corresponding to the mean diameter of a group of trees as read from a height-diameter curve applicable to the stand.
Top height : Top height is defined as the height corresponding to the mean diameter of 250 biggest diameters per hectare as read from height diameter curve.
Site index : Projected top height of a stand to a base age which is usually taken as the age at which culmination of height growth occurs.
Stand volume : The aggregated volume of trees in the stand usually expressed in m3 on a unit area basis.
According to the degree of resolution of the input variables, stand models can be classified as (i ) whole stand models (ii) diameter class models and (iii) individual tree models. Though a distinction is made as models for even-aged and uneven-aged stands, most of the models are applicable for both the cases. Generally, trees in a plantation are mostly of the same age and same species whereas trees in natural forests are of different age levels and of different species. The term even-aged is applied to crops consisting of trees of approximately the same age but differences up to 25% of the rotation age may be allowed in case where a crop is not harvested for 100 years or more. On the other hand, the term uneven-aged is applied to crops in which the individual stems vary widely in age, the range of difference being usually more than 20 years and in the case of long rotation crops, more than 25% of the rotation.
Whole stand models predict the different stand parameters directly from the concerned regressor variables. The usual parameters of interest are commercial volume/ha, crop diameter and crop height. The regressor variables are mostly age, stand density and site index. Since age and site index determine the top height, sometimes only the top height is considered in lieu of age and site index. The whole stand models can be further grouped according to whether or not stand density is used as an independent variable in these models. Traditional normal yield tables do not use density since the word ‘normal’ implies Nature’s maximum density. Empirical yield tables assume Nature’s average density. Variable-density models split by whether current or future volume is directly estimated by the growth functions or whether stand volume is aggregated from mathematically generated diameter classes. A second distinction is whether the model predicts growth directly or uses a two-stage process which first predicts future stand density and then uses this information to estimate future stand volume and subsequently growth by subtraction.
Diameter class models trace the changes in volume or other characteristics in each diameter class by calculating growth of the average tree in each class, and multiply this average by the inventoried number of stems in each class. The volumes are the aggregated over all classes to obtain stand characteristics.
Individual tree models are the most complex and individually model each tree on a sample tree list. Most individual tree models calculate a crown competition index for each tree and use it in determining whether the tree lives or dies and, if it lives, its growth in terms of diameter, height and crown size. A distinction between model types is based on how the crown competition index is calculated. If the calculation is based on the measured or mapped distance from each subject tree to all trees with in its competition zone, then it is called distance-dependent. If the crown competition index is based only on the subject tree characteristics and the aggregate stand characteristics, then it is a distance-independent model.
A few models found suitable for even-aged and uneven-aged stands are described separately in the following.
Models for even-aged stands
Sullivan and Clutter (1972) gave three basic equations which form a compatible set in the sense that the yield model can be obtained by summation of the predicted growth through appropriate growth periods. More precisely, the algebraic form of the yield model can be derived by mathematical integration of the growth model. The general form of the equations is
Current yield = V1 = f (S, A1, B1) (6.28)
Future yield = V2 = f (S, A2, B2) (6.29)
Projected basal area = B2 = f (A1, A2, S, B1) (6.30)
where S = Site index
V1 = Current stand volume
V2 = Projected stand volume
B1 = Current stand basal area
B2 = Projected stand basal area
A1 = Current stand age
A2 = Projected stand age
Substituting Equation (6.30) for B2 in Equation (6.29), we get an equation for future yield in terms of current stand variables and projected age,
V2=f(A1,A2, S, B1) (6.31)
A specific example is
(6.32)
The parameters of Equation (6.32) can be estimated directly through multiple linear regression analysis (Montgomery and Peck,1982) with remeasured data from permanent sample plots, keeping V2 as the dependent variable and A1, A2, S and B1 as independent variables.
Letting A2 = A1, in Equation (6.32),
(6.33)
which is useful for predicting current volume.
To illustrate an application of the modelling approach, consider the equations reported by Brender and Clutter (1970) which was fitted to 119 remeasured piedmont loblolly pine stands near Macon, Georgia. The volume (cubic foot/acre) projection equation is
(6.34)
Letting A2 = A1, this same equation predicts the current volume as,
(6.35)
To illustrate an application of the Brender-Clutter model, assume a stand growing on a site of site index of 80 feet, currently 25 years old with a basal area of 70 ft2/acre. The owner wants an estimate of current volume and the volume expected after 10 more years of growth. Current volume is estimated using Equation (6.35),
![]()
= 1.52918 + 0.23 - 0.24634 + 1.71801
= 3.23085
V = 10 3.23085 =1,701 ft3.
Volume after 10 years would be, as per Equation (6.34),
![]()
= 1.52918 +0.23 - 0.24634 + 0.65461 -1.22714
= 3.39459
V2 = 2,480 ft3