Page précédente Table des matières Page suivante


ANNEXE 12

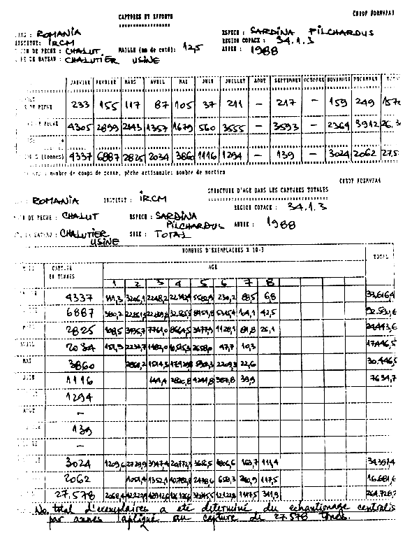
Structures de taille et d'age des captures,
clés âge-longueur et statistique de pêche
de la flotte roumaine 1985 – 1988


Page précédente Début de page Page suivante