Previous Page Table of Contents Next Page


Chapter 2. Food-based approaches to meeting vitamin and mineral needs


Dietary diversification when consuming cereal and tuber-based diets (rice, corn, wheat, potato, and cassava)
How to accomplish dietary diversity in practice
Practices which will enhance the success of food-based approaches
Delineating the role of supplementation and food fortification for nutrients which cannot be supplied by regular foods
Recommendations for the future
Future research
References

Dietary patterns have varied over time depending on the agricultural practices and the climatic, ecologic, cultural, and socio-economic factors, which determine available foods. At present, virtually all dietary patterns adequately satisfy or even exceed the nutritional needs of population groups. This is true except where socio-economic conditions limit the capacity to produce and purchase food or aberrant cultural practices restrict the choice of foods. It is thought that if people have access to a sufficient quantity and variety of foods, they will meet their nutritional needs. The current practice of evaluating nutritive value of diets should include not only energy and protein adequacy but also the micronutrient density of the diet.

A healthy diet can be attained in more than one way because of the variety of foods, which can be combined. It is thus difficult to define the ranges of intake for a specific food, which should be included in a given combination to comply with nutritional adequacy. In practice, the set of food combinations which is compatible with nutritional adequacy is restricted by the level of food production sustainable in a given ecologic and population setting. In addition, there are economic constraints, which limit food supply at household level. The development of food-based dietary guidelines (FBDGs) by the FAO and WHO (1) recognises this and focuses on the combination of foods that can meet nutrient requirements rather than on how each specific nutrient is provided in adequate amounts.

The first step in the process of setting dietary guidelines is defining the significant diet-related public health problems in a community. Once these are defined, the adequacy of the diet is evaluated by comparing the information available on dietary intake with recommended nutrient intakes (RNIs). Nutrient intake goals under this situation are specific for a given ecologic setting, and their purpose is to promote overall health, control specific nutritional diseases (whether they are induced by an excess or deficiency of nutrient intake), and reduce the risk of diet-related multi-factorial diseases. Dietary guidelines represent the practical way to reach the nutritional goals for a given population. They take into account the customary dietary pattern and indicate what aspects should be modified. They consider the ecologic setting, socio-economic and cultural factors, and biologic and physical environment in which the population lives.

The alternative approach to defining nutritional adequacy of diets is based on the biochemical and physiologic basis of human nutritional requirements in health and disease. The quantitative definition of nutrient needs and its expression as RNIs have been important instruments of food and nutrition policy in many countries and have focused the attention of international bodies. This nutrient-based approach has served many purposes but has not always fostered the establishment of nutritional and dietary priorities consistent with the broad public health priorities at the national and international levels. It has permitted a more precise definition of requirements for essential nutrients when establishing RNIs but unfortunately has often been narrowly focused, concentrating on the precise nutrient requirement amount and not on solving the nutritional problems of the world. In contrast to RNIs, FBDGs are based on the fact that people eat food, not nutrients. As illustrated in this chapter, the notion of nutrient density is helpful for defining FBDGs and evaluating the adequacy of diets. In addition, they serve to educate the public through the mass media and provide a practical guide to selecting foods by defining dietary adequacy (1).

Advice for a healthy diet should provide both a quantitative and qualitative description of the diet for it to be understood by individuals, who should be given information on both size and number of servings per day. The quantitative aspects include the estimation of the amount of nutrients in foods and their bio-availability in the form they are actually consumed. Unfortunately, available food composition data for most foods currently consumed in the world are incomplete, outdated, or insufficient for evaluating true bio-availability. The qualitative aspects relate to the biologic utilisation of nutrients in the food as consumed by humans and explore the potential for interaction among nutrients. Such an interaction may enhance or inhibit the bio-availability of a nutrient from a given food source.

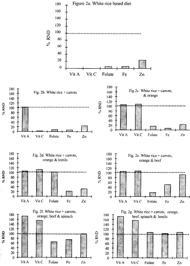
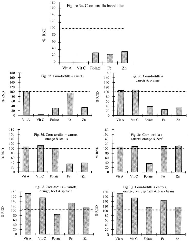
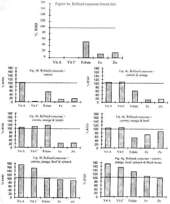
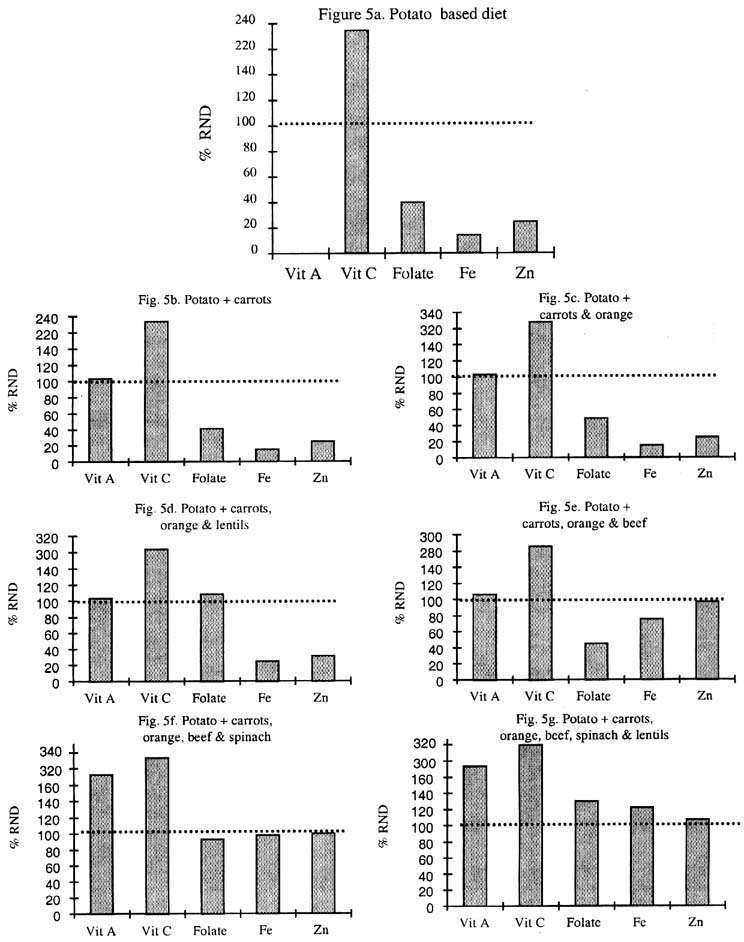
Including foods in the diet, which have high micronutrient density - such as pulses or legumes, vegetables (including green leafy vegetables), and fruits - is the preferred way of ensuring optimal nutrition including micronutrient adequacy for most population groups. Most population groups afflicted by micronutrient deficiency largely subsist on refined cereal grain or tuber-based diets, which provide energy and protein (with improper amino acid balance) but are insufficient in critical micronutrients. Figures 2-5 and Tables 1-4 included at the end of this chapter illustrate how addition of a variety of foods to the basic four diets (white rice- Figure 2, corn tortilla- Figure 3, refined couscous- Figure 4, and potato- Figure 5) can increase the nutrient density of a cereal or tuber-based diet. There is a need for broadening the food base and diversification of diets. Much can be gained from adding reasonable amounts of these foods, which will add micronutrient density to the staple diet (Table 1, 2, 3 and 4).

The recent interest in the role of phyto-chemicals and antioxidants on health and their presence in plant foods lend further support to the recommendation for increasing vegetables and fruit consumed in the diet. The need for dietary diversification is supported by the knowledge of the interrelationships of food components, which may enhance the nutritional value of foods and prevent undesirable imbalances, which may limit the utilisation of some nutrients. For example, fruits rich in ascorbic acid will enhance the absorption of ionic iron.

If energy intake is low (<8.368 MJ/day), for example, in the case of young children, sedentary women, or the elderly, the diet may not provide vitamin and mineral intakes sufficient to meet the RNIs. This situation may be of special relevance to the elderly, who are inactive, have decreased lean body mass, and typically decrease their energy intake. Young children, pregnant women, and lactating women, who have greater micronutrient needs relative to their energy needs, will also require increased micronutrient density.

The household is the basic unit for food consumption under most settings, and if there is sufficient food, individual members of the household can consume a diet with the recommended nutrient densities and meet their specific RNIs. However, appropriate food distribution within the family must be considered to ensure that children and women receive adequate food with high micronutrient density. Household food distribution must be considered when establishing general dietary guidelines and addressing the needs of vulnerable groups in the community. In addition, education detailing the appropriate storage and processing of foods to prevent micronutrient losses at the household level is important.

Dietary diversification when consuming cereal and tuber-based diets (rice, corn, wheat, potato, and cassava)

Dietary diversification is important to improve the intake of critical nutrients. The micronutrients selected discussed here, although limited in number, are of public health relevance or serve as markers for overall micronutrient intake. The chapters on individual nutrients will provide further details on food-related considerations for micronutrient adequacy. The nutrients selected for discussion below include some of the nutrients, which are most difficult to obtain in cereal and tuber-based diets. Nutrient deficiencies of vitamin A, iron, and zinc are widespread.

Vitamin A

The vitamin A content of most staple diets can be significantly improved with the addition of a relatively small portion of plant foods rich in carotenoids, the precursors of vitamin A. For example, a usual portion of cooked carrots (50 g) added to a daily diet, or 21 g of carrots per 4.184 MJ, provides 500 mg retinol equivalents, which is the recommended nutrient density for this vitamin. The biologic activity of pro-vitamin A varies among different plant sources, and fruits and vegetables such as carrots, mango, papaya, and melon contain large amounts of nutritionally active carotenoids, (2, 3). Green leafy vegetables such as ivy gourd have been successfully used in Thailand as a source of vitamin A, and carotenoid-rich red palm oil serves as an easily available and excellent source of vitamin A in other countries. Consequently, a regular portion of these foods included in an individual’s diet may provide 100 percent or more of the daily requirement for retinol equivalents. Vitamin A is also present in animal food sources in a highly bio-available form. Therefore it is important to consider the possibility of meeting vitamin A needs by including animal foods in the diet. For example, providing minor amounts of fish or chicken liver (20-25 g) in the diet provides more than the recommended vitamin A nutrient density for virtually all age and sex groups.

Vitamin C

A real gain in vitamin C intake can be achieved by including citrus fruit or other foods rich in ascorbic acid in the diet. For example, an orange or a small amount of other vitamin C-rich fruit (60 g of edible portion) provides the recommended ascorbic acid density. Adding an orange to a potato-based diet increases the level of vitamin C threefold. Other good vitamin C food sources are guava, amla, kiwi, cranberries, strawberries, papaya, mango, melon, cantaloupe, spinach, Swiss chard, tomato, asparagus, and Brussels sprouts. All these foods, when added to a diet or meal in regular portion sizes, will significantly improve the vitamin C density. Because ascorbic acid is heat labile, minimal cooking (steaming or stir-frying) is recommended to maximise the bio-available nutrient. The significance of consuming vitamin C with meals will be discussed relative to iron absorption (see Chapter 13).

Folate

Folate is now considered significant not only for the prevention of macrocytic anaemia, but also for normal foetal development. Recently, this vitamin was implicated in the maintenance of cardiovascular health and cognitive function in the elderly. Staple diets consisting largely of cereal grains and tubers are very low in folate but can be improved by the addition of legumes or green leafy vegetables. For example, a regular portion of cooked lentils (95 g) added to a rice-based diet can provide an amount of folate sufficient to meet the desirable nutrient density for this vitamin. Other legumes such as beans and peas are also good sources of this vitamin, but larger portions are needed for folate sufficiency (100 g beans and 170 g peas). Cluster bean and colacasia leaves are excellent folate sources used in the Indian diet. Another good source of folate is chicken liver; only one portion (20-25 g) is sufficient to meet the desirable nutrient density for folate and vitamin A simultaneously. The best sources of folate are organ meats, green leafy vegetables, and sprouts. However, 50 percent or more of food folate is destroyed during cooking. Prolonged heating in large volumes of water should be avoided, and it is advisable to consume the water used in the cooking of vegetables.

Iron and zinc

Minerals such as iron and zinc are low in cereal and tuber-based diets, but the addition of legumes can slightly improve the iron content of those diets. However, the bio-availability of this non-heme iron source is low. Therefore, it is not possible to meet the recommended levels of iron and zinc in the staple-based diets through a food-based approach unless some meat, poultry, or fish is included. For example adding a small portion (50 g) of meat, poultry, or fish will increase the total iron content as well as the amount of bio-available iron. For zinc the presence of a small portion (50 g) of meat, poultry, or fish will secure dietary sufficiency of most staple diets.

The consumption of ascorbic acid along with the food rich in iron will enhance absorption. There is a critical balance between enhancers and inhibitors of iron absorption. Nutritional status can be improved significantly by educating households on food preparation practices, which minimise the consumption of inhibitors of iron absorption; for example, the fermentation of phytate-containing grains before the baking of breads to enhance iron absorption.

How to accomplish dietary diversity in practice

It is essential to work on strategies, which promote and facilitate dietary diversification to achieve complementarity of cereal or tuber-based diets with foods rich in micronutrients in populations with limited economics or limited access to food. A recent FAO and International Life Sciences Institute (4) publication proposed strategies to promote dietary diversification within the implementation of food-based approaches. These strategies, which follow, have been adapted or modified based on the discussions held in this consultation:

1. Community or home vegetable and fruit gardens. These projects should lead to increased production and consumption of micronutrient-rich foods (legumes, green leafy vegetables, and fruits) at the household level. The success of such projects requires a good knowledge and understanding of local conditions as well as the involvement of women and the community in general. These are key elements for supporting, achieving, and sustaining beneficial nutritional change at the household level. Land availability and water supply may present common constraints, which require local government intervention or support before they are overcome. The educational effort should be directed towards securing appropriate within-family distribution, which considers the needs of the most vulnerable members of the family, especially infants and young children. Separate FBDGs for vulnerable groups, such as pregnant and lactating women, children, and the elderly, should be developed.

2. Production of fish, poultry, and small animals (rabbits, goats, and guinea pigs). These are excellent sources of highly bio-available essential micronutrients such as vitamin A, iron, and zinc. The production of animal foods at the local level may permit communities to access foods which otherwise are not available because of their high costs. These types of projects also need some support from local governments or non-governmental organizations to overcome cost constraints of programme implementation, including the training of producers.

3. Implementation of large-scale commercial vegetable and fruit production. The objective of this initiative is to provide micronutrient-rich foods at reasonable prices through effective and competitive markets, which lower consumer prices without reducing producer prices. This will serve predominantly the urban and non-food-producing rural areas.

4. Reduction of post-harvest losses of the nutritional value of micronutrient-rich foods, such as fruits and vegetables. Improvement of storage and food-preservation facilities significantly reduces post-harvest losses. At the household level, the promotion of effective cooking methods and practical ways of preserving foods (solar drying of seasonal micronutrient-rich foods such as papaya, grapes, mangoes, peaches, tomatoes, and apricots) may significantly increase the access to bio-available micronutrient-rich foods. At the commercial level, grading, packing, transport, and marketing practices reduce losses, stimulate economic growth, and optimise income generation.

5. Improvement of micronutrient levels in soils and plants, which will improve the composition of plant foods and enhance yields. Current agricultural practices can improve the micronutrient content of foods through correcting soil quality and pH and increasing soil mineral content depleted by erosion and poor soil conservation. Long-term food-based solutions to micronutrient deficiencies will require improvement of agricultural practices, seed quality, and plant breeding (by means of a classical selection process or genetic modification).

The green revolution made important contributions to cereal supplies, and it is time to address the need for improvements in the production of legumes, vegetables, fruits, and other micronutrient-rich foods. FBDGs can serve to reemphasise the need for these crops.

It is well recognised that the strategies proposed to promote dietary diversity need a strong community-level commitment. For example, the increase in price of legumes associated with decreased production and lower demand needs to be corrected. The support of local authorities and government may facilitate the implementation of such projects because these actions require economic resources, which sometimes are beyond the reach of the most needy.

Practices which will enhance the success of food-based approaches

To achieve dietary adequacy of vitamin A, vitamin C, folate, iron, and zinc by using food-based approaches, food preparation and dietary practices must be considered. For example, it is important to recommend that vegetables rich in vitamin C, folate, and other water-soluble or heat-labile vitamins be minimally cooked in small amounts of water. For iron bio-availability it is essential to reduce the intake of inhibitors of iron absorption and to increase the intake of enhancers of absorption in a given meal. Following this strategy, it is recommended to increase the intake of: germinated seeds, fermented cereals, heat-processed cereals, meats, and fruits and vegetables rich in vitamin C and to encourage the consumption of tea, coffee, chocolate, or herbal teas at times other than with meals (see Chapter 13 and Chapter 16). Consumption of flesh foods improves zinc absorption whereas it is inhibited by consumption of diets high in phytate, such as diets based on unrefined cereal. Zinc availability can be estimated according to the phytate-to-zinc (molar) ratio of the meal (5).

This advice is particularly important for people who consume cereal and tuber-based diets. These foods constitute the main staples for most populations of the world, populations that are also most at risk for micronutrient deficiencies. Other alternatives - fortification and supplementation - have been proposed as stopgap measures when food-based approaches are not feasible or are still in progress. There is a definite role for fortification in meeting iron, folate, iodine, and zinc needs. Fortification and supplementation should be seen as complementary to food-based strategies and not as a replacement. Combined, all these strategies can go a long way toward stabilising the micronutrient status of populations at risk. Food-based approaches usually take longer to implement but once established are truly sustainable.

Delineating the role of supplementation and food fortification for nutrients which cannot be supplied by regular foods

Under ideal conditions of food access and availability, food diversity should satisfy micronutrient and energy needs of the general population. Unfortunately, for many people in the world, the access to a variety of micronutrient-rich foods is not possible. As demonstrated in our analysis of cereal and tuber-based diets (see appendixes), micronutrient-rich foods including small amount of flesh foods and a variety of plant foods (vegetables and fruits) are needed daily. This may not be realistic at present for many communities living under conditions of poverty. Food fortification and food supplementation are important alternatives that complement food-based approaches to satisfy the nutritional needs of people in developing and developed countries.

Fortification

Fortification refers to the addition of nutrients to a commonly eaten food (the vehicle). It is possible for a single nutrient or group of micronutrients (the fortificant) to be added to the vehicle, which has been identified through a process in which all stakeholders have participated. This strategy is accepted as sustainable under most conditions and often is cost effective on a large scale when successfully implemented. Iron fortification of wheat flour and iodine fortification of salt is examples of fortification strategies with excellent results (6).

There are at least three essential conditions that must be met in any fortification programme(6, 7): the fortificant should be effective, bio-available, acceptable, and affordable; the selected food vehicle should be easily accessible and a specified amount of it should be regularly consumed in the local diet; and detailed production instructions and monitoring procedures should be in place and enforced by law.

Iron fortification

Food fortification with iron is recommended when dietary iron is insufficient or the dietary iron is of poor bio-availability, which is the reality for most people in the developing world and for vulnerable population groups in the developed world. Moreover, the prevalence of iron deficiency and anaemia in vegetarians and in populations of the developing world which rely on cereal or tuber foods is significantly higher than in omnivore populations.

Iron is present in foods in two forms, as heme iron, which is derived from flesh foods (meats, poultry, and fish), and as non-heme iron, which is the inorganic form present in plant foods such as legumes, grains, nuts, and vegetables (8, 9). Heme iron is highly (20-30 percent) absorbed and its bio-availability is relatively unaffected by dietary factors. Non-heme iron has a lower rate of absorption (2-10 percent), depending on the balance between iron absorption inhibitors (phytates, polyphenols, calcium, and phosphate) and iron absorption enhancers (ascorbic and citric acids, cysteine-containing peptides, ethanol, and fermentation products) present in the diet (8, 9). Because staple foods around the world provide predominantly non-heme iron sources of low bio-availability, the traditionally eaten staple foods represent an excellent vehicle for iron fortification. Examples of foods, which have been fortified, are wheat flour, corn (maize) flour, rice, salt, sugar, cookies, curry powder, fish sauce, and soy sauce (8). Nevertheless the beneficial effects of consumption of iron absorption enhancers have been extensively proven and should always be promoted (i.e., consumption of vitamin C-rich food together with the non-heme iron source).

Iodine fortification

Iodine is sparsely distributed in the Earth’s surface and foods grown in soils with little or no iodine lack an adequate amount of this micronutrient. This situation had made iodine deficiency disorders exceedingly common in most of the world and highly prevalent in many countries before the introduction of salt iodisation (10). Only foods of marine origin are naturally rich sources of iodine. Salt is a common food used by most people worldwide, and the establishment of an well-implemented permanent salt-iodisation programme has been proven to eradicate iodine deficiency disorders (see Chapter 12). Universal salt iodisation is the best way to virtually eliminate iodine deficiency disorders by the year 2000 (4).

However, salt iodisation is not simply a matter of legislating mandatory iodisation of salt. It is important to determine the best fortification technique, co-ordinate the implementation at all salt production sites, establish effective monitoring and quality control programmes, and measure iodine fortification level periodically. The difficulties in implementing salt iodisation programmes arise primarily when the salt industry is widely dispersed among many small producers. The level of iodine fortification usually lies between 25 and 50 mg/kg salt. The actual amount should be specified according to the level of salt intake and magnitude of deficit at the country level, because iodine must be added within safe and effective ranges. Additionally, it is very important to implement a monitoring plan to control the amount of iodine in the salt at the consumer’s table, (10, 11). United Nations agencies responsible for assisting governments in establishing iodisation programmes should provide technical support for programme implementation, monitoring, and evaluation to ensure sustainability.

Zinc fortification

The body depends on a regular zinc supply provided by the daily diet because stores are quite limited. Food diversity analysis demonstrates that it is virtually impossible to achieve zinc adequacy in the absence of a flesh food source. Among flesh foods, beef is the best source of zinc and is followed by poultry and then fish. Zinc fortification programmes are being studied, especially for populations, which consume predominately plant foods. Fortification of cereal staple foods is a potentially attractive intervention, which could benefit the whole population as well as target the vulnerable population groups of children and pregnant women. Such addition of zinc to the diet would perhaps decrease the prevalence of stunting in many developing countries with low-zinc diets, because linear growth is affected by zinc supply.

Folic acid fortification

The recommended nutrient density by the developers of the FAO/WHO (1) FBDGs for folic acid is 200 mg/4.184 MJ. Although this reference value is higher than other standards of reference, the increase in folic acid consumption by women of childbearing age is very important: it may improve birth weight and reduce the prevalence of neural tube defects by 50 percent. Elevated plasma homo-cysteine levels are considered to be an independent risk factor for heart disease; a higher intake of folic acid may also benefit the rest of the population because it may lower homo-cysteine levels in adults (see Chapter 4). In addition, folate may improve the mental condition of the elderly population (12, 13).

Although the desirable folic acid density may be achieved through dietary diversity, it requires the daily presence of organ meats, green leafy vegetables, pulses, legumes, or nuts in the diet (14). Most population groups may not easily reach the appropriate level of folic acid consumption; therefore, folic acid fortification has been recommended. The United States initiated mandatory folic acid fortification of cereal-grain products in January 1998. The fortification level approved in the United States is 140 mg/100 g product, which will increase the average woman’s intake by only 100 mg/day. This amount is considered safe (a dose, which will not mask pernicious anaemia, which results from vitamin B12 deficiency,) but it may be ineffective in lowering the occurrence of neural tube defects (15).

Supplementation

Supplementation refers to periodic administration of pharmacologic preparations of nutrients as capsules or tablets or by injection when substantial or immediate benefits are necessary for the group at risk. As established at the International Conference on Nutrition (16), nutritional supplementation should be restricted to vulnerable groups, which cannot meet their nutrient needs through food (women of childbearing age, infants and young children, elderly people, low socio-economic groups, displaced people, refugees, and populations experiencing other emergency situations). For example, iron supplementation is recognised as the only option to control or prevent iron deficiency anaemia in pregnant women. Supplementation with folic acid should be considered for women of childbearing age who have had a child with neural tube defect to prevent recurrence.

Food-based dietary guidelines

Food-based dietary guidelines (FBDGs) are an instrument of and expression of food and nutrition policy and should be based directly on diet and disease relationships of particular relevance to the individual country. Their primary purpose is to educate healthcare professionals and consumers about health promotion and disease prevention. In this way priorities in establishing dietary guidelines can address the relevant public health concerns whether they are related to dietary insufficiency or excess. In this context, meeting the nutritional needs of the population takes its place as one of the components of food and nutrition policy goals along with the priorities included in the FBDGs for improved health and nutrition for a given population.

The world nutrition and health situation demonstrates that the major causes of death and disability have been traditionally related to undernutrition in developing countries and to the imbalance between energy intake and expenditure (which lead to obesity and other chronic diseases - diabetes, cardiovascular disease, hypertension, and stroke) in industrialized countries. The tragedy is that many suffer from too little food while others have diseases resulting from too much food, but both would benefit from a more balanced distribution of food and other resources. Although the nature of the health and nutrition problems in these two contrasting groups is very different, the dietary guidelines required to improve both situations are not. Most countries presently have the combined burden of malnutrition from deficit and increasing prevalence of obesity and other chronic diseases from over consumption. The approaches to address the problems, nevertheless, should be country and population specific.

Although two-thirds of the world’s population depends on cereal or tuber-based diets, the other one-third consumes significant amounts of animal food products. The latter group places an undue demand on land, water, and other resources required for intensive food production, which makes the typical Western diet not only undesirable from the standpoint of health but also environmentally unsustainable. If we balance energy intake with the expenditure required for basal metabolism, physical activity, growth, and repair, we will find that the dietary quality required for health is essentially the same across population groups.

Efforts in nutrition education and health promotion should include a strong encouragement for active lifestyles. Improving energy balance for rural populations in developing countries may mean increasing energy intake to normalise low body mass index (BMI, weight/height2, calculated as kg/m2), ensuring adequate energy stores and energy for appropriate social interactions. In sedentary urban populations, improving energy balance will mean increasing physical activity to decrease energy stores (body fat mass) and thus normalise BMI. Thus, the apparent conflicting goals - eradicating undernutrition while preventing overnutrition - are resolved by promoting sufficient energy for a normal BMI. Moreover, if we accept that FBDGs should be ecologically sustainable, the types and amounts of foods included in a balanced diet are not very different for promoting adequate nutrition in the undernourished and preventing overnutrition in the affluent.

This is well exemplified by the similarities in the FBDGs across countries, whether represented by pyramids, rainbows, dishes, pots, etc. It is obvious that consumption of excess energy will induce an increase in energy stores, which may lead to obesity and related health complications. Populations should consume nutritionally adequate and varied diets, based primarily on foods of plant origin with small amounts of added flesh foods. Households should select predominantly plant-based diets rich in a variety of vegetables and fruits, pulses or legumes, and minimally processed starchy staple foods. The evidence that such diets will prevent or delay a significant proportion of non-communicable chronic diseases is consistent. A predominantly plant-based diet has a low energy density, which may protect against obesity. This should not exclude small amounts of animal foods, which may make an important nutritional contribution to plant-food-based diets, as illustrated in the examples presented earlier. Inadequate diets occur when food is scarce or when food traditions change rapidly, as is seen in societies undergoing demographic transitions or rapid urbanisation. Traditional diets, when adequate and varied, are likely to be generally healthful and more protective against chronic non-communicable diseases than the typical Western diet, consumed predominantly in industrialized societies (17).

Reorienting food production, agricultural research, and commercialisation policies needs to take into consideration FBDGs, which increase the demand for a variety of micronutrient-rich foods and thus stimulate production to meet the consumption needs. Prevailing agricultural policies encourage research on and production and importation of foods, which do not necessarily meet the requirements of FBDG implementation. For example, great emphasis is placed on cereals, horticultural crops for export, legumes for export, non-food cash crops, and large livestock. Necessary policy reorientation is required to ensure increased availability of micronutrient-rich foods within the local food system. Norway has successfully implemented agricultural and food production policies based on a National Nutrition Plan of Action, providing economic incentives for the producer and consumer in support of healthful diets. The results speak for themselves, as Norway has experienced a sustained improvement in life expectancy and a reduction in deaths from cardiovascular disease and other chronic non-communicable conditions.

Recommendations for the future

The Consultation acknowledged the limitations in our knowledge of these important aspects, which affect nutrient utilisation and recommended that the International Food Data System (INFoods) effort led by FAO/UNU be strengthened. Special emphasis should be placed on the micronutrient composition of local diets as affected by ecologic setting; analysis of food components (nutrients or bio-active components), which may affect the bio-availability and utilisation of critical micronutrients; and the analysis of cooked foods and typical food combinations as actually consumed by population groups. In addition the development of FBDGs at the country level should be supported by UN agencies.

Future research

The following research needs were identified to facilitate the implementation of a food-based approach in the prevention of micronutrient deficiencies:

Figure 2. Percentage of recommended nutrient density (RND) for a diet of white rice and the addition of a variety of foods

Note: Data in Tables 1 and 3

Figure 3. Percentage of recommended nutrient density (RND) for a diet of corn-tortilla and the addition of a variety of foods

Note: Data in Tables 1 and 3

Figure 4. Percentage of recommended nutrient density (RND) for a diet of refined couscous and the addition of a variety of foods

Note: Data in Tables 2 and 4

Figure 5. Percentage of recommended nutrient density (RND) for a diet of potatoes and the addition of a variety of foods

Note: Data in Tables 2 and 4

Table 1: White rice and corn-tortilla based diets composition and nutrient density values per 1000 kcals for vitamin A, vitamin C, folate, iron and zinc



WHITE RICE BASED DIET

White rice 598 g Vegetable oil 25 g

White rice 590g Vegetable oil 25 g Carrots 21 g

White rice 570 g Vegetable oil 25 g Carrots 21 g Orange 60 g

White rice 483 g Vegetable oil 25 g Carrots 21 g Orange 60 g Lentils 95g

White rice 477 g Vegetable oil 25 g Carrots 21 g Orange 60 g Beef 55 g

White rice 468 g Vegetable oil 25 g Carrots 21 g Orange 60 g Beef 55 g Spinach raw 50 g

White rice 428 g Vegetable oil 25 g Carrots 21 g Orange 60 g Beef 55 g Spinach raw 50 g Lentils 45 g

% E as Protein

5

6

6

8

11

12

13

% E as CHO

72

72

72

69

61

60

59

% E as Fat

23

22

22

23

28

28

28

Vitamin A (mg)

0

516

528

529

528

864

864

Vitamin C (mg)

0

0.5

32.5

33.9

32.5

46.5

47.0

Folate (mg)

12

15

32

203

35

131

212

Iron (mg)

1.2

1.3

1.3

4.3

2.8

4.1

5.6

Zinc (mg)

2.4

2.5

2.4

3.2

5.8

6.0

6.4

Calcium (mg)

18.0

24.2

47.7

62.8

49.4

98.6

105.8


CORN-TORTILLA BASED DIET


Corn-tortilla 368 g Vegetable oil 20 g

Corn-tortilla 363 g Vegetable oil 20 g Carrots 21 g

Corn-tortilla 351 g Vegetable oil 20 g Carrots 21 g Orange 60 g

Corn-tortilla 314 g Vegetable oil 20 g Carrots 21 g Orange 60 g Lentils 71 g

Corn-tortilla 297 g Vegetable oil 20 g Carrots 21 g Orange 60 g Beef 55 g

Corn-tortilla 292g Vegetable oil 20 g Carrots 21 g Orange 60 g Beef 55 g Spinach raw 50 g

Corn-tortilla 266 g Vegetable oil 20 g Carrots 21 g Orange 60 g Beef 55 g Spinach raw 50 g Black beans 45 g

% E as Protein

8

8

8

10

13

14

15

% E as CHO

67

67

67

66

58

57

57

% E as Fat

25

25

25

24

29

29

28

Vitamin A (mg)

0

516

528

529

528

864

864

Vitamin C (mg)

0

0.5

32.5

33.5

32.5

46.5

46.5

Folate (mg)

59

61

77

200

73

169

232

Iron (mg)

5.2

5.2

5.1

6.9

6.0

7.3

7.9

Zinc (mg)

3.4

3.4

3.3

3.9

6.6

6.8

7.0

Calcium (mg)

647.7

645.4

648.3

596.5

557.8

598.5

565.0


Table 2: Refined Couscous and potato based diets composition and nutrient density values per 1000 kcal for vitamin A, vitamin C, folate, iron and zinc



REFINED COUSCOUS BASED DIET

Ref. Couscous 697 g Vegetable oil 25 g

Ref. Couscous 690 g Vegetable oil 25 g Carrots 21 g

Ref. Couscous 665g Vegetable oil 25 g Carrots 21 g Orange 60 g

Ref. Couscous 590 g Vegetable oil 25 g Carrots 21 g Orange 60 g Lentils70 g

Ref. Couscous 555 g Vegetable oil 25 g Carrots 21 g Orange 60 g Beef 55 g

Ref. Couscous 546g Vegetable oil 25 g Carrots 21 g Orange 60 g Beef 55 g Spinach raw 50 g

Ref. Couscous 493 g Vegetable oil 25 g Carrots 21 g Orange 60 g Beef 55 g Spinach raw 50 g Black beans 45 g

% E as Protein

11

11

10

12

15

16

17

% E as CHO

66

66

66

64

56

55

55

% E as Fat

23

23

24

24

29

29

28

Vitamin A (mg)

0

516

528

529

528

864

864

Vitamin C (mg)

0

0.5

32.5

33.5

32.5

46.5

46.5

Folate (mg)

105

107

121

236

109

204

263

Iron (mg)

2.6

2.8

2.7

4.7

3.9

5.3

6.0

Zinc (mg)

1.8

1.9

1.8

2.5

5.3

5.5

5.9

Calcium (mg)

55.7

61.6

83.7

90.8

79.4

128.2

136.2

POTATO BASED DIET


Potato 907 g Vegetable oil 25 g

Potato 895 g Vegetable oil 25 g Carrots 21 g

Potato 865 g Vegetable oil 25 g Carrots 21 g Orange 60 g

Potato 770 g Vegetable oil 25 g Carrots 21 g Orange 60 g Lentils 70 g

Potato 723 g Vegetable oil 25 g Carrots 21 g Orange 60 g Beef 55 g

Potato 710 g Vegetable oil 25 g Carrots 21 g Orange 60 g Beef 55 g Spinach raw 50 g

Potato 649 g Vegetable oil 25 g Carrots 21 g Orange 60 g Beef 55 g Spinach raw 50 g Lentils 45 g

% E as Protein

6

6

6

8

12

12

13

% E as CHO

71

71

71

69

61

60

59

% E as Fat

23

23

23

23

27

28

28

Vitamin A (mg)

0

516

528

529

528

864

864

Vitamin C (mg)

67.2

67.0

96.5

90.5

86.0

99.1

95.2

Folate (mg)

80

82

97

216

89

185

261

Iron (mg)

2.8

2.9

2.9

4.9

4.1

5.4

6.7

Zinc (mg)

2.5

2.5

2.5

3.1

5.8

6.0

6.4

Calcium (mg)

67.2

72.8

94.6

100.7

88.7

137.1

141.0


Table 3: White rice and corn-tortilla based diets composition and percent of nutrient density values for vitamin A, vitamin C, folate, iron and zinc

WHITE RICE BASED DIET


White rice 598 g Vegetable oil 25 g

White rice 590g Vegetable oil 25 g Carrots 21 g

White rice 570 g Vegetable oil 25 g Carrots 21 g Orange 60 g

White rice 483 g Vegetable oil 25 g Carrots 21 g Orange 60 g Lentils 95g

White rice 477 g Vegetable oil 25 g Carrots 21 g Orange 60 g Beef 55 g

White rice 468 g Vegetable oil 25 g Carrots 21 g Orange 60 g Beef 55 g Spinach raw 50 g

White rice 428 g Vegetable oil 25 g Carrots 21 g Orange 60 g Beef 55 g Spinach raw 50 g Lentils 45 g

% E as Protein

5

6

6

8

11

12

13

% E as CHO

72

72

72

69

61

60

59

% E as Fat

23

22

22

23

28

28

28

Vitamin A (mg)

0

103 - 147

106 - 151

106 - 151

106 - 151

173 - 247

173 - 247

Vitamin C (mg)

0

2

108

113

108

155

157

Folate

6 - 8

8 - 10

16 - 21

102 - 135

18 - 23

66 - 87

106 - 141

Iron

6

7

7

22

51

75

102

Zinc

24

25

24

32

97

100

107

Calcium

5 - 7

6 - 10

12 - 19

16 - 25

12 - 20

25 - 39

26 - 42

CORN-TORTILLA BASED DIET


Corn-tortilla 368 g Vegetable oil 20 g

Corn-tortilla 363 g Vegetable oil 20 g Carrots 21 g

Corn-tortilla 351 g Vegetable oil 20 g Carrots 21 g Orange 60 g

Corn-tortilla 314 g Vegetable oil 20 g Carrots 21 g Orange 60 g Lentils 71 g

Corn-tortilla 297 g Vegetable oil 20 g Carrots 21 g Orange 60 g Beef 55 g

Corn-tortilla 292 g Vegetable oil 20 g Carrots 21 g Orange 60 g Beef 55 g Spinach raw 50 g

Corn-tortilla 266 g Vegetable oil 20 g Carrots 21 g Orange 60 g Beef 55 g Spinach raw 50 g Black beans 45 g

% E as Protein

8

8

8

10

13

14

15

% E as CHO

67

67

67

66

58

57

57

% E as Fat

25

25

25

24

29

29

28

Vitamin A (mg)

0

103 - 147

106 - 151

106 - 151

106 - 151

173 - 247

173 - 247

Vitamin C (mg)

0

2

108

112

108

155

155

Folate

30 - 39

31 - 41

39 - 51

100 - 133

37 - 49

85 - 113

116 - 155

Iron

26

26

26

35

109

133

144

Zinc

34

34

33

39

110

113

117

Calcium

162 - 259

161 - 258

162 - 259

149 - 239

139 - 223

150 - 239

141 - 226


Table 4: Refined couscous and potato based diets composition and percent of nutrient density values for vitamin. A, vitamin C, folate, iron and zinc


REFINED COUSCOUS BASED DIET


Ref. Couscous 697 g Vegetable oil 25 g

Ref. Couscous 690 g Vegetable oil 25 g Carrots 21 g

Ref. Couscous 665g Vegetable oil 25 g Carrots 21 g Orange 60 g

Ref. Couscous 590 g Vegetable oil 25 g Carrots 21 g Orange 60 g Lentils70 g

Ref. Couscous 555 g Vegetable oil 25 g Carrots 21 g Orange 60 g Beef 55 g

Ref. Couscous 546 g Vegetable oil 25 g Carrots 21 g Orange 60 g Beef 55 g Spinach raw 50 g

Ref. Couscous 492g Vegetable oil 25 g Carrots 21 g Orange 60 g Beef 55 g Spinach raw 50 g Black beans 45 g

% E as Protein

11

11

10

12

15

16

17

% E as CHO

66

66

66

64

56

55

55

% E as Fat

23

23

24

24

29

29

28

Vitamin A (µg)

0

103 - 147

106 - 151

106 - 151

106 - 151

173 - 247

173 - 247

Vitamin C (mg)

0

2

108

112

108

155

155

Folate

53 - 70

54 - 71

61 - 81

118 - 157

55 - 73

102 - 136

132 - 175

Iron

13

14

14

24

71

96

109

Zinc

18

19

18

25

88

92

98

Calcium

14 - 22

15 - 25

21 - 33

23 - 36

20 - 32

32 - 51

34 - 54

POTATO BASED DIET


Potato 907 g Vegetable oil 25 g

Potato 895 g Vegetable oil 25 g Carrots 21 g

Potato 865 g Vegetable oil 25 g Carrots 21 g Orange 60 g

Potato 770 g Vegetable oil 25 g Carrots 21 g Orange 60 g Lentils 70 g

Potato 725 g Vegetable oil 25 g Carrots 21 g Orange 60 g Beef 55 g

Potato 710 g Vegetable oil 25 g Carrots 21 g Orange 60 g Beef 55 g Spinach raw 50 g

Potato 649 g Vegetable oil 25 g Carrots 21 g Orange 60 g Beef 55 g Spinach raw 50 g Lentils 45 g

% E as Protein

6

6

6

8

12

12

13

% E as CHO

71

71

71

69

61

60

59

% E as Fat

23

23

23

23

27

28

28

Vitamin A (µg)

0

103 - 147

106 - 151

106 - 151

106 - 151

173 - 247

173 - 247

Vitamin C (mg)

224

223

322

302

287

330

317

Folate

40 - 53

41 - 55

49 - 65

108 - 144

45 - 59

93 - 123

131 - 174

Iron

14

15

15

25

75

98

122

Zinc

25

25

25

31

97

100

107

Calcium

17 - 27

18 - 29

24 - 38

25 - 40

22 - 35

34 - 55

35 - 56

References

1. WHO/FAO. 1996. Preparation and Use of Food-Based Dietary Guidelines. Report of a joint FAO/WHO consultation, Nicosia, Cyprus 1996. Nutrition Program, World Health Organization, Geneva. WHO/NUT/96.6.

2. FAO/WHO. 1988. Requirements of Vitamin A, Iron, Folate and Vitamin B12, Report of a joint FAO/WHO Expert Consultation. (Food and Nutrition Series, No. 23), FAO, Rome.

3. Olson, J.A. 1994. Needs and Sources of Carotenoids and Vitamin A, Nutr. Revs., 52(2II) S67-S73.

4. FAO/ILSI. 1997. Preventing Micronutrient Malnutrition: A Guide to Food-Based Approaches, ILSI Press, Washington DC.

5. WHO. Trace Elements in Human Nutrition. 1996 a., World Health Organization, Geneva.

6. Lotfi, M., Venkatesh-Mannar, M.G., Merx, R.J.H.M. & P.Naber-van den Heuvel. 1996. Micronutrient Fortification of Foods. Current practices, research, and opportunities. Ottawa. The Micronutrient Initiative (MI), International Development Research Center (IDRC)/ International Agricultural Center (IAC).

7. Viteri, F.E. Prevention of Iron Deficiency. 1998. Chapter 3 In : Howson CP, Kennedy ET, Horwitz A (eds). Prevention of Micronutrient Deficiencies. Tools for Policymakers and Public Health Workers. p.45-102. National Academy Press, Washington, D.C.

8. Hallberg, L., Hulthén, L. & Gramatkovski, E. 1997. Iron absorption from the whole diet in men: how effective is the regulation of iron absorption? Am. J. Clin. Nutr., 66:347-56.

9. Allen, L.H. & Ahluwalia, N. 1997. Improving Iron Status Through Diet. The Application of Knowledge Concerning Dietary Iron Bio-availability in Human Populations. Arlington, John Snow, Inc. Opportunities for Micronutrient Interventions Project.

10. Stanbury, J.B. 1998. Prevention of Iodine Deficiency. Chapter 5 In: Howson CP, Kennedy ET, Horwitz A (eds). Prevention of Micronutrient Deficiencies. Tools for Policymakers and Public Health Workers. p.167-202. Washington, D.C., National Academy Press.

11. Unicef, ICCDD, PAMM, MNI, WHO. 1995. Monitoring Universal Salt Iodisation Programmes. Sullivan, K.M., Houston, R., Gorstein, J., and J. Cervinskas, eds. Geneva.

12. Tucker, K.L., Mahnken, B., Wilson, P.W.F., Jacques, P. & J. Selhub. 1996. Folic Acid Fortification of the Food Supply. Potential Benefits and Risk for the Elderly Population. JAMA. 2776:1879-85.

13. Oakley, G.P., Adams, M.J. & Dickinson, Ch.M. 1996. More Folic Acid for Everyone, Now. Z J. Nutr., 126:751S-755S.

14. Bower, C. 1995. Folate and Neural Tube Defects. Nutr. Revs., 53 (9)II: S33-S38.

15. Daly, S., Mills, J.L., Molloy, A.M., Conley, M. Lee, Y.J., Kirke, P.N., Weir, D.G. & J.M. Scott. 1997. Minimum effective dose of folic acid for food fortification to prevent neural-tube defects. Lancet, 350:1666-69.

16. FAO/WHO. 1992. International Conference on Nutrition. World Declaration and Plan of Action for Nutrition. FAO, Rome.

17. WHO. 1990. Diet, nutrition, and the prevention of chronic diseases. Report of a WHO Study Group. Geneva, World Health Organization, (WHO Technical Report Series, No. 797).1.


Previous Page Top of Page Next Page