Página precedente Indice Página siguiente


6. Algunas consecuencias de política y sugerencias para la investigación en el futuro

Este artículo se centra en las técnicas de series temporales para contrastar la transmisión de precios en varios mercados al contado y de cultivos alimentarios de los países en desarrollo. Su objetivo era examinar la aplicación de las técnicas de series temporales a las pruebas de integración de mercados y contribuir a las investigaciones sobre este tema poniendo de relieve algunas cuestiones importantes. Nuestro trabajo aplicado también puso de manifiesto las repercusiones de las políticas agrícolas en el debilitamiento de los lazos entre los mercados nacional e internacional, mediante el examen de los productos básicos que son objeto de diferentes niveles de intervención.

Subrayamos que aunque es posible contrastar formalmente a largo plazo la integración de mercados - en el sentido de Enke, Samuelson, Takayama y Judge - y la transmisión de precios completa, el grado en que las señales de precios se transmiten de un mercado a otro es un concepto ambiguo. Para evaluar esta magnitud, descompusimos el concepto de transmisión de precios en componentes teóricos: evolución conjunta y compleción, dinámica y velocidad del ajuste y respuesta simétrica. La definición anterior de transmisión de precios abarca el caso de la integración de mercados; la dinámica propia de las relaciones de mercado, que surgen debido a la inercia o las discontinuidades del comercio; y las no linealidades que pueden presentarse como consecuencia de distorsiones en el arbitraje. Más importante aún, esta definición, a través de sus componentes, supone hipótesis susceptibles de contrastarse basándose en un modelo de corrección de errores y cointegración. El marco de pruebas se aplicó a varios mercados al contado y de productos alimentarios de los países en desarrollo. En general, dado que el parámetro de cointegración no refleja bien la “elasticidad de la transmisión de precios”, propusimos que la evaluación del grado de la integración de mercados y la transmisión de precios se basara en un modelo de corrección de errores con ajustes simétricos y asimétricos.

Las políticas agrícolas pueden o no obstaculizar la integración de mercados, según la naturaleza de los instrumentos de política utilizados. Por ejemplo, se constató que el mercado de café rwandés no estaba integrado en el mercado de café internacional, pues estaba sujeto a precios fijados por el gobierno en un nivel predeterminado. Por otro lado, se comprobó que las políticas de precios mínimos aplicadas en el mercado de trigo egipcio no obstaculizaban la integración de mercado, pero daban lugar a un ajuste relativamente lento y asimétrico a las variaciones del precio internacional. En general, para los mercados que están supeditados a políticas, se estimó que la velocidad del ajuste, evidenciada por los coeficientes de corrección de errores, era relativamente baja. Aunque varios autores subrayan el hecho de que las políticas obstaculizan el grado de transmisión de precios (véase, por ejemplo, Mundlak y Larson, 1992; Quiroz y Soto, 1996; Baffes y Ajwad, 2001; Abdulai, 2000; Sharma, 2002), cabe observar que también hay otros factores, como los elevados costos de transacción y otras distorsiones, que pueden ser la causa de la lentitud del ajuste.

Las no linealidades y el ajuste asimétrico siguen siendo una cuestión importante que ha de examinarse cuando la investigación tenga por objetivo ofrecer un mecanismo de transmisión de precios que pueda incorporarse en un modelo estructural de equilibrio parcial. Aunque el ajuste asimétrico también puede ser la consecuencia de imperfecciones de mercado, es posible que las políticas de sostenimiento de los precios puedan dar lugar a variaciones positivas y negativas del precio internacional que afecten de diferente manera al mercado interno. Más importante aún, estas políticas pueden suponer un “umbral” o un precio mínimo, por encima del cual se produce la transmisión de señales de precios. Este proceso de ajuste discreto implica que los movimientos hacia un equilibrio a largo plazo no tienen lugar en todos los puntos en el tiempo, sino sólo cuando las divergencias con respecto al equilibrio superan un determinado umbral. Por ejemplo, políticas como los mecanismos de sostenimiento de precios y los contingentes arancelarios pueden dar lugar a este proceso de ajuste. En el primer caso, los gobiernos pueden intervenir en el mercado cuando los precios de mercado descienden por debajo del nivel mínimo, mientras que en el segundo caso, las señales de precios internacionales se transmiten cuando los volúmenes de importación son suficientes dentro o fuera del contingente. Por consiguiente, las investigaciones futuras deben centrarse en un umbral de cointegración de dos regímenes, que puede ser benéfico, dado que facilita información complementaria en la forma del umbral, si el objetivo del análisis es el desarrollo de los mecanismos de transmisión de precios para modelos estructurales.

Además de evaluar los efectos de las políticas alimentarias y comerciales en la integración de mercados, el umbral de cointegración aplicado a los mercados de productos básicos de los países en desarrollo también puede proporcionar una indicación aproximada de los costos de transferencia. Los costos de transferencias en los mercados de los países en desarrollo pueden dar lugar a un umbral por encima del cual las posibilidades de arbitraje desaparecen, con la consiguiente falta de integración de mercados. Por tanto, un marco de umbral de cointegración puede englobar la posibilidad de costos de transferencia no estacionarios y facilitar información valiosa que puede llevar a recomendaciones de política.

Referencias

Abdulai, A. 2000. Spatial price transmission and asymmetry in the Ghanaian maize market. Journal of Development Studies, 63:327-349.

Alexander, C. y Wyeth, J. 1994. Cointegration and market integration: an application to the Indonesian rice market. Journal of Development Studies, 30:303-328.

Ardeni, P.G. 1989. Does the Law of One Price really hold for commodity prices? American Journal of Agricultural Economics, 71:303-328.

Badiane, O. y Shively, G.E. 1998. Spatial Integration, transport costs and the response of local prices to policy changes in Ghana. Journal of Development Economics, 56:411-431.

Baffes J. y Ajwad, M. 2001. Identifying price linkages: a review of the literature and an application to the world market of cotton. Applied Economics 33:1927 - 1941.

Baffes, J. 1991. Some further evidence on the Law of One Price. American Journal of Agricultural Economics, 4:21-37.

Bailey, D. V. y Brorsen, B.W. 1989. Price asymmetry in spatial fed cattle markets. Western Journal of Agricultural Economics, 14:246-252.

Balcombe, K.G. y Morrison, J. 2002. Commodity price transmission: A critical review of techniques and an application to selected export commodities. Informe a la Organización de las Naciones Unidas para la Agricultura y la Alimentación.

Banco Mundial. 2001. Aid and reform in Africa: lessons from ten case studies. Washington DC.

Barrett, C.B. y Li, J.R. 2002. Distinguishing between equilibrium and integration in spatial price analysis. American Journal of Agricultural Economics, 84:292-307.

Barrett, C.B. 2001. Measuring integration and efficiency in international agricultural markets. Review of Agricultural Economics, 23:19-32.

Blauch, B. 1997. Testing for food market integration revisited. Journal of Development Studies, 33:477-487.

Blinder, A.S. 1982. Inventories and Sticky prices: more on the microfoundations of macroeconomics. American Economic Review, 72:365-400.

Brorsen, B.W., Chavas, J.P., Grant, W.R. y Schnake, L.D. 1985. “Marketing Margins and Price Uncertainty: The Case of the US Wheat Market.” American Journal of Agricultural Economics, 67, 521-528.

Central Agency for Public Mobilization & Statistics of the Arab Republic of Egypt several years. Consumer & Wholesale Price Bulletin.

Davidson, J., Hendry, D., Sbra, F. y Yeo, S. 1978. Econometric modelling of the aggregate time series relationship between consumers’ expenditure and income in the UK. Economic Journal, 88:661-692.

Dercon, S. 1995. On market integration and liberalization: method and application to Ethiopia. Journal of Development Studies, 32:112-143.

Dickey, D. y Fuller, W. 1979. Distribution of the Estimators for autoregressive time series with a unit root. Journal of the American Statistical Association, 74:427-431.

Dornbusch, R. 1987. Exchange rates and prices. American Economic Review, March, 93-106.

Dronne, Y., y Tavèra, C. 1990. Short run dynamics of feed ingredient prices facing the EC: A causal analysis.” Agricultural Economics, 4:51-364.

Enders, W. y Granger, C.W.J. 1998. Unit root tests and asymmetric adjustment with an example using the term structure of interest rates. Journal of Business and Economic Statistics, 16:04-311.

Engle, R.F. y Granger, C.W.J. 1987. Cointegration and error correction: representation, estimation and testing. Econometrica, 55:251-276.

Enke, S. 1951. Equilibrium among spatially separated markets: solution by electrical analogue. Econometrica, 19:40-47.

Fackler, P.L. y Goodwin, B.K. 2002. Spatial Price Analysis. En Ediciones B.L. Gardner y G.C. Rausser. Manual de economía agrícola. Amsterdam: Elsevier Science.

FAO 1999. Comparative advantage and competitiveness of crops, crop rotations and livestock products in Egypt. Volumen 1, Subdirección de asistencia en materia de políticas, de la Oficina Regional de la FAO para el Cercano Oriente, Cairo.

Froot, K. y Klemperer, P. 1989. Exchange Rate pass through when market share matters. American Economic Review, 79:637-654.

Gardner B.L. y Brooks, K.M. 1994. Food prices and market integration in Russia: 1992-93. American Journal of Agricultural Economics, 76:641-646.

Gardner, B.L. 1975. The Farm-Retail Price Spread in a Competitive Food Industry. American Journal of Agricultural Economics, 59:399-409.

Goletti, F. y Babu, S. 1994. Market liberalization and market integration of maize markets in Malawi. Agricultural Economics, 11:311-324.

Granger, C. W.J. 1981. Some properties of time series data and their use in econometric model specification. Journal of Econometrics, 16:121-130.

Granger, C.W.J. y Lee, T.-H. 1989. Investigation of Production, sales and inventory relationships using multicointegration and non-symmetric error correction models. Journal of Applied Econometrics, 4: S145-S159.

Granger, C.W.J. 1969. “Investigating Causal Relationships by Econometric Models and Cross Spectral Methods.” Econometrica, 37:424-438.

Granger, C.W.J. 1988. Some recent developments in the concept of causality.” Journal of Econometrics, 39:199-211.

Griffith, G. y Piggot, N. 1994. Asymmetry in the beef, lamb and pork farm-retail transmission in Australia. Agricultural Economics, 10:07-316.

Hamilton, J.D. 1994. Time Series Analysis. Princeton: Princeton University Press.

Harriss, B. 1979. “There is method in my madness: or it is vice-versa? Measuring agricultural market performance.” Food Research Institute Studies, 16:97-218.

Heien, D. 1980. Mark-up pricing in a dynamic model of the food industry. American Journal of Agricultural Economics, 62:10-18.

International Coffee Organization. 2002. Procedures for the collection, transmission, calculation and publication of group and composite prices, E 3776/01 Rev. 1, Londres, Inglaterra.

International Monetary Fund. Fondo Monetario Internacional - varios años. International Financial Statistics.

Johansen S. 1991. Estimation and hypothesis testing of cointegration vectors in Gaussian vector autoregressive models.” Econometrica,59:551-1580.

Johansen S. 1995. “Likelihood-based inference in cointegrated vector-autoregressions. In Advanced Texts in Econometrics, Oxford: Oxford University Press.

Johansen, S. 1988. Statistical analysis of cointegration vectors. Journal of Economic Dynamics and Control, 12:31-254.

Kinnucan, H.W. y Forker, O.D. 1987. Asymmetry in Farm-Retail Price Transmission for Major Dairy Products. American Journal of Agricultural Economics, 69:285-292.

Kovenock, D. y Widdows,K. 1998. Price Leadership and Asymmetric Price Rigidity. European Journal of Political Economy, 14:167-187.

Krugman, P. 1986. Pricing to market when exchange rate changes. NBER Documento de trabajo No. 1926.

Maccini, L.J. 1978. The Impact of demand and price expectations on the behaviour of prices. American Economic Review, 68:134-145.

Maddala, G.S y Kim, I. 1998. Unit roots, cointegration and structural change. Cambridge University Press.

McNew, K. y Fackler, P.L. 1997. Testing market equilibrium: is cointegration informative?” Journal of Agricultural and Resource Economics, 22:191-207.

McNew, K. 1996. Spatial market integration: definition, theory and evidence. Agricultural and Resource Economic Review, 25:1-11.

Ministry of Agriculture and Land Reclamation of the Arab Republic of Egypt - Ministerio de Agricultura y Bonificación de Tierras de la República Árabe de Egipto. Varios años. Agricultural Statistic Bulletin.

Mundlak, Y. y Larson, D.F. 1992. “On the transmission of world agricultural prices.” World Bank Economic Review, 6:399-422.

Pagan, A. 1989. 20 Years after: econometrics, 1966-1986. En B. Cornet y H Tulkens, eds. Contributions to operations research and econometrics. The MIT Press, Cambridge, MA.

Palaskas, T. y Harriss, B. 1993. Testing market integration: new approaches with case material from the West Bengal food economy.” Journal of Development Studies, 30:1-57.

Pesaran, M.H. y Shin Y. 1995. An Autoregressive Distributed Lag Modelling approach to cointegration analysis. Documento de trabajo No. 9514 del Departamento de Economía Aplicada, de la Universidad de Cambridge.

Pesaran, M.H., Shin, Y. y Smith, R.J. 1996. Testing for the existence of a long run relationship. Documento de trabajo No. 9622 del Departamento de Economía Aplicada, de la Universidad de Cambridge.

Phillips, P.C.B. y Perron, P. 1988. Testing for a unit root in time series regression. Biometrica, 75:335-346.

Phillips, P.C.B. 1987. Time Series Regression with a Unit Root. Econometrica, 55:277-301.

Prakash, A. 1998. The transmission of signals in a decentralised commodity marketing system: the case of the UK pork market. Tesis de Filosofía no publicada de la Universidad de Londres.

Prakash, A., Oliver, E. y Balcombe, K. 2001. Does building roads really create traffic: some new evidence. Applied Economics, 33:1579-1585.

Quintos, C.E. 1995. Sustainability of the deficit process with structural shifts. Journal of Business and Economic Statistics, 13:409-417.

Quiroz, J. A. y R. Soto 1996. International Price signals in agricultural markets: do governments care? Trabajo mimeografiado/GERENS e ILADES/Universidad de Georgetown

Ravallion, M. 1986. Testing market integration, American Journal of Agricultural Economics, 68(2):292-307.

Samuelson, P.A. 1952. Spatial price equilibrium and linear programming. American Economic Review, 42:560-580.

Scherer, F.M. y Ross, D. 1990. Industrial market structure and economic performance. Boston: Houghton Mifflin.

Schroeter, J.R., y Azzam, A. 1991. Marketing Margins, Market Power, and Price Uncertainty. American Journal of Agricultural Economics, 73:990-999.

Sexton, R., Kling, C. y Carman, H. 1991. Market integration, efficiency of arbitrage and imperfect competition: methodology and application to US celery. American Journal of Agricultural Economics, 73:568-580.

Sharma, R. 2002. The transmission of world price signals: concepts, issues and some evidence from Asian cereal markets. Documento presentado al Foro Mundial sobre la Agricultura, CCNM/GF/AGR(2002)10 de la OCDE.

Stock, J.H. y Watson, M.W. 1988. Testing for Common Trends. Journal of the American Statistical Association, 83:1097-1107.

Takayama, T. y Judge, G.G. 1971. Spatial and temporal price allocation models. Amsterdam: Norte de Holanda.

Toda, H.Y. y Phillips, P.C.B. 1993. Vector autoregression and causality: a theoretical overview and simulation study. Econometric Reviews, 13:259-285.

Tyers, R. y Anderson, K. 1992. Disarray in world food markets: a quantitative assessment, Cambridge University Press.von Cramon-Taubadel, S. 1999. Estimating Asymmetric price response with the error correction representation: an application to the German pork market. European Review of Agricultural Economics, 25:1-18.

Wohlgenant, M.K. 1999. Product heterogeneity and the relationship between retail and farm prices. European Review of Agricultural Economics, 26:219-227.

Zanias, G. 1993. Testing for integration in European Community agricultural product markets. Journal of Agricultural Economics, 44:418-427.

Anexo - Pruebas de cointegración

Engle y Granger (1987)

Examínese la siguiente ecuación única:

p1t = bp2t + ut

(a.1)

Si ut no es estacionario p1t - bp2t, no es una relación cointegradora. Engle y Granger sugieren que se estime lo anterior por medio del método de los mínimos cuadrados normales y aplicando a los residuos estimados pruebas de la raíz unitaria, tales como la prueba ADF y la Zt o Zr de Phillips-Perron, con objeto de contrastar la nulidad de la no cointegración.

El método de Engle y Granger es un método de ecuación única para contrastar la cointegración, en el que la relación de cointegración tiene que “normalizarse” con respecto a una de las dos variables. Para estudiar los problemas relacionados con el método de Engle y Granger, véase Maddala y Kim (1998), Sección 5.3.

Johansen (1988, 1991)

Examínese un vector autorregresivo (VAR) de dos variables p1t y p2t. Un VAR expresa un vector de variables como una suma lineal de un conjunto de rezagos de sí mismo. Un caso simple de VAR entre dos variables es el siguiente:

(a.2)

Una vez más, la cuestión de la cointegración puede abordarse observando el VAR, pero haciendo que contenga un segundo rezago. Un ejemplo de VAR(2) sería

(a.3)

Que tiene la representación de la corrección de errores vectoriales (MCEV):

(a.4)

El rango de la matriz (A1 + A2 - I) es igual al número de los vectores de cointegración. Si el rango de (A1 + A2 - I) es igual a dos, ambas variables pueden aparecer como estacionarias. Si el rango de (A1 + A2 - I) es cero, las series no están cointegradas, mientras que si el rango de (A1 + A2 - I) es uno, las variables están cointegradas.

Por lo tanto, en el caso de dos variables, la cointegración puede contrastarse contrastando las raíces características de (A1 + A2 - I). Si las variables no están cointegradas, las raíces características l1, l2 son iguales a cero. Lo mismo, si el rango de de (A1 + A2 - I) es igual a uno, 0 < l1 < 1 y l2 es igual a cero. Johansen (1988, 1991) dedujo la distribución de dos estadísticos de prueba para la nulidad de la no cointegración conocidos como prueba de la traza y prueba de las raíces características:

(a.5)


(a.6)

El primer estadístico contrasta la hipótesis nula de que el número de los parámetros de cointegración independientes es de dos o menos de dos, mientras que el segundo estadístico contrasta la hipótesis nula de que el número de los parámetros de cointegración es de uno frente a la alternativa de dos parámetros de cointegración.

Representación de la corrección de errores de ecuaciones o sistemas cointegrados

Johansen dedujo una representación de corrección de errores de un sistema de cointegración. Definió dos (n×r) matrices a y b, donde n es el número de variables (en el caso de un ejercicio de transmisión de precios n equivale a 2) y r al rango de (A1 + A2 - I). Las propiedades de estas matrices son las siguientes:

(A1 + A2 - I) = ab‘

(a.7)

La matriz b es la matriz de parámetros de cointegración, mientras que la matriz a representa el ajuste de las variables hacia el equilibrio a largo plazo, si existe. En el caso de dos variables como p1t y p2t, la representación de la corrección de errores o modelo de corrección de errores vectorial (MCEV) es como sigue:

(a.8)

b representa los multiplicadores a largo plazo donde se ha impuesto una restricción de rangos:

(a.9)

En este caso, la falta de relación de cointegración implicaría también la ausencia de causalidad de Granger entre las series, pero sólo si A2 = 0. En términos más generales, la causalidad de Granger no necesita cointegración. Pero la cointegración implica causalidad, al menos en una dirección.

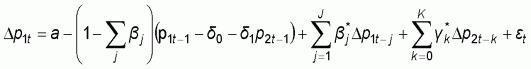
Modelos de rezagos distribuidos autorregresivos (ADL) y cointegración

Un modelo ADL puede escribirse así:

(a.10)

donde pit, i=1,2, son series de precios, a es un intercepto, T es una tendencia temporal, y et es el término de error.

En la estimación de los ADL una cuestión clave es la identificación de la longitud correcta del rezago. Una parametrización deficiente puede inducir a un error de especificación, mientras que una parametrización excesiva limita los grados de libertad y aumenta la varianza prevista. Normalmente, los J y K pertinentes se seleccionan por medio de criterios de información tales como Akaike, Schwartz-Bayes, el Hannan Quinn, y logaritmo de verosimilitudes.

En el equilibrio a largo plazo p1t = p1t-k, "j y p2t = p2t-k, "k y por tanto la respuesta a largo plazo de p1t a un cambio en p2t está dada por:

(a.11)

En consecuencia, la relación de equilibrio a largo plazo puede escribirse como sigue:

p1t = d0 + d1p2t + ut

(a.12)

donde

(a.13)

Como de (a.13) , la representación del MCE de los ADL (a.10) puede escribirse así:

(a.14)

donde es el coeficiente de corrección de errores.


Página precedente Inicìo de página Página siguiente