En el presente documento se evalúan las probables repercusiones del anteproyecto de modalidades de Harbinson, además de las propuestas de la UE y los Estados Unidos, en las actuales negociaciones agrícolas. Las repercusiones se evalúan para tres grupos de países: países desarrollados, países menos adelantados (MA) y el resto de los países en desarrollo. Para la evaluación se utilizan varios indicadores, sobre todo los efectos directos en el bienestar y el comercio. Muchos de los resultados, simulados con el modelo ATPSM, son típicos y relativamente sencillos de explicar; por ejemplo, una liberalización más amplia del comercio aumenta los precios mundiales de los productos agrícolas y, al tiempo que reduce los excedentes del productor en los países en desarrollo, beneficia al consumidor. Las repercusiones en los dos grupos de países en desarrollo son ambiguas, especialmente en los países MA. La propuesta de los Estados Unidos parece ser la más ventajosa para los tres grupos de países en lo que se refiere al bienestar total, dominada por los excedentes del consumidor. Sin embargo, la clasificación de las modalidades varía según el indicador de impacto, pues otras modalidades parecen ser más ventajosas para otros indicadores. El resultado principal del estudio, es decir que el bienestar social es elevado debido al excedente del consumidor y no a los beneficios del productor, plantea algunas cuestiones importantes acerca de la elección del indicador de impacto apropiado y de las ventajas relativas que supone, especialmente para las economías agrarias de bajos ingresos, como la de los países MA, que primero deben desarrollar su sector agrícola. Para estos países, el desarrollo agrícola es una necesidad actual que requiere aumentos sostenidos de los excedentes del productor. Una clasificación diferente de las modalidades surge cuando se adopta como principal indicador de impacto los aumentos del productor. En este documento se presenta un conjunto de resultados y se examina sus ventajas relativas, con la esperanza de que sean de utilidad a los negociadores comerciales y los responsables de la formulación de políticas en sus negociaciones encaminadas a determinar la forma final de las modalidades.
El primer semestre de 2003 fue un período decisivo para las actuales negociaciones sobre el comercio agropecuario de la OMC. Se había fijado la fecha de finales de marzo como último plazo para la terminación de las modalidades de los compromisos, que determinarán la forma y los detalles finales del nuevo acuerdo sobre la agricultura. El Sr. Stuart Harbinson, Presidente del Consejo General de la OMC, dio a conocer el anteproyecto de modalidades de negociación en febrero de 2003, y en marzo de ese mismo año publicó una versión revisada. Como a finales de marzo no se había llegado a un acuerdo sobre las modalidades, se fijó como nueva fecha límite el mes de septiembre de 2003, cuando los ministros se reunirían en Cancún. Sin embargo, por varios motivos, tampoco se llegó a un acuerdo. Algunos negociadores se lamentaron de que la liberalización del comercio agrícola era demasiado ambiciosa, mientras que otros afirmaron que no lo era en la medida suficiente. Por tanto, parece que las modalidades para nuevos compromisos redactadas y revisadas por el Presidente Harbinson siguen siendo la base para las nuevas negociaciones.
En vista de ello, entre todos los participantes en las negociaciones, directos o indirectos, hay un gran interés por las probables repercusiones de las modalidades, por ejemplo sobre cuestiones tales como quién saldrá perdiendo y en qué proporción, y quién ganará y en que proporción. Un motivo de especial preocupación son las repercusiones de los resultados negociados en los países en desarrollo, en especial en los países MA, dado que esta ronda de negociaciones se denomina también ronda de desarrollo. La participación de los países en desarrollo en la ronda actual de negociaciones sobre el comercio agrícola debe basarse en el entendimiento analítico y empírico de los efectos de las propuestas actuales.
El documento tiene dos objetivos principales. Primero, ofrece evaluaciones cuantitativas de las probables repercusiones de las modalidades de negociación, en particular del anteproyecto de Harbinson de marzo de 2003, pero también de las propuestas de la Unión Europea (UE) y los Estados Unidos como escenarios alternativos. Se estima que las propuestas de la UE y los Estados Unidos constituyen reformas modestas pero más profundas del proyecto de propuesta de Harbinson. El segundo objetivo es evaluar el modo en que las modalidades repercuten en las economías, en especial de los países en desarrollo y los países MA. Esta evaluación debería indicar, aunque indirectamente, si en las modalidades se han tenido en cuenta las preocupaciones de estos países o en qué medida se les ha tenido en cuenta. Se espera que estas evaluaciones proporcionen a todas las partes interesadas una base idónea para el establecimiento de prioridades en las negociaciones.
Además, el documento es una contribución a los nuevos trabajos que tratan de la evaluación de las repercusiones de las propuestas y modalidades para las negociaciones en el marco de la Ronda de Doha de la OMC, centrada en los tres pilares fundamentales del Acuerdo sobre la Agricultura, a saber, ayuda interna, competencia de las exportaciones y acceso a los mercados. Las últimas evaluaciones del proceso de reforma de la OMC basadas en modelos son Freeman et al (2000), Diaos et al (2001), FAO (2002), FAPRI (2002), OCDE (2002), Vanzetti y Sharma (2002) y Vanzetti y Peters (2003).
El documento se compone de seis secciones. Después de la introducción, en la sección 2 se ofrece un panorama general de las preocupaciones comerciales de los países en desarrollo y los países MA en el período posterior al Acuerdo sobre la Agricultura de la Ronda Uruguay. En la sección 3 se presenta el modelo ATPSM, incluidas las fuentes de los datos y los parámetros, así como la cobertura de los países y productos. A continuación, en la sección 4, se resumen las modalidades de negociación y se presentan los tres escenarios simulados. En la sección 5 se dan a conocer los resultados de las simulaciones, mientras que en la sección 6 se formulan algunas observaciones finales.
La Ronda Uruguay fue un hito en el acercamiento del comercio agropecuario a las disciplinas del GATT. Se consolidaron todos los aranceles, se elaboraron normas para reglamentar las políticas sobre el comercio agrícola y se impusieron límites cuantitativos a varias subvenciones. No obstante estos logros, muchos sostienen también que las disciplinas han tenido repercusiones comerciales mínimas, aunque es casi imposible comprobarlo a posteriori (OCDE 2001; Diaz-Bonilla et al., 2001). Un motivo importante de ello es que los límites cuantitativos establecidos fueron demasiado elevados para consolidarse en las políticas efectivas. Este fue el caso de las subvenciones internas y de las exportaciones, mientras que los arancelas aplicados a muchos productos fundamentales se consolidaron en niveles elevados. Por estos motivos, la actual ronda de negociaciones es muy importante para introducir reformas comerciales auténticas que beneficien a los países de bajo costo que no conceden subvenciones.
Aunque los países en desarrollo no constituyen un grupo homogéneo, tienen algunas características comunes. Por ejemplo, ofrecen pocas subvenciones con efectos de distorsión del comercio, por lo que pueden beneficiarse de las reducciones de las distorsiones del comercio. Además, son productores naturales de productos agropecuarios a bajo costo. No sorprende que hayan participado intensamente en esta ronda de negociaciones y que, en conjunto, hayan solicitado tajantes reducciones de las subvenciones internas y de las exportaciones con efectos de distorsión del comercio o incluso su eliminación, así como la mejora de las condiciones de acceso a los mercados.
La comunidad internacional también siente el desafío. La comunidad no sólo ha expresado su preocupación por la distribución de los beneficios del comercio agrícola, sino que además ha hecho enérgicas declaraciones solicitando medidas que garanticen que, en la nueva ronda, los países en desarrollo obtengan beneficios considerables del comercio, especialmente del comercio agropecuario. Hay motivos imperiosos para que los países en desarrollo desarrollen su agricultura. La historia del desarrollo demuestra que muy pocos de los actuales países desarrollados alcanzaron este estado sin haber desarrollado su sector agrícola. El desarrollo de este sector también es indispensable para reducir la pobreza y la inseguridad alimentaria y, por tanto, para lograr los objetivos del milenio. Ello exigirá no sólo la eliminación de los desequilibrios y desigualdades presentes actualmente en las normas comerciales, sino también la adopción de algunas disposiciones proactivas efectivas a favor de estos países. La actual Ronda de Doha se llama ronda de desarrollo, y es importante velar por que lo sea realmente.
Mejorar las condiciones de acceso a los mercados es el objetivo primordial de todos los países en desarrollo. El perfil arancelario posterior a la Ronda Uruguay de muchos países desarrollados se caracteriza sobre todo por la aplicación de aranceles relativamente elevados a los productos alimentarios de zonas templadas, y de tipos arancelarios más bajos a los productos tropicales. En la Ronda Uruguay, los aranceles aplicados a los productos de zonas templadas se redujeron sólo moderadamente en comparación con los de los productos tropicales.[61] Además, los países en desarrollo producen, y muchos también exportan, productos de zonas templadas. Se trata también de productos cuyos mercados siguen creciendo. Por otro lado, los aranceles consolidados son elevados en muchos mercados de los países en desarrollo, lo que afectará negativamente a otros países en desarrollo en la medida en que el comercio entre estos países sea intenso y creciente. Muchos países en desarrollo dependen de una limitada variedad de productos primarios, por lo que es muy importante para ellos diversificar su producción con miras a fomentar las exportaciones de productos elaborados. Esto requiere, entre otros, una tajante reducción de las progresividades arancelarias, fenómeno en virtud del cual los aranceles aplicados a los productos elaborados se elevan en la medida que aumenta el grado de elaboración. La Ronda Uruguay no redujo considerablemente los aranceles (Lindland, 1977; OCDE, 1977). Además, existen muchas cuestiones relacionadas con los contingentes arancelarios, incluido el acceso a contingentes y las normas de administración. Finalmente, pero no por ello menos importante, los aranceles han de simplificarse puesto que las reformas de la Ronda Uruguay dejaron muchos aranceles complejos, especialmente en varios países desarrollados.
A pesar de estos intereses en común, cabe hacer notar que en algunas esferas los países en desarrollo no tienen intereses similares. En la OMC, a algunos grupos de países se les distinguió formalmente de los demás (por ejemplo, países en desarrollo importadores netos de alimentos), mientras que en otros casos las alianzas fomentaron la formación de intereses comunes (por ejemplo, el Grupo Cairns, los Amigos de la multifuncionalidad, los Pequeños Estados Insulares en Desarrollo, entre otros). A los países en desarrollo importadores netos de alimentos, por ejemplo, les preocupa la posibilidad de que la liberalización del comercio tenga efectos negativos en las condiciones de acceso a los alimentos en los mercados mundiales en condiciones razonables. Varios otros países están preocupados por el deterioro de las condiciones de acceso a los mercados y la pérdida de ingresos de exportación, porque los aranceles NMF (nación más favorecida) son limitados en los países otorgantes de preferencias. La pérdida de ingresos en concepto de aranceles, como consecuencia de las reducciones arancelarias, también es una preocupación compartida por muchos.
Debido a estos factores, estos países tienen muchos intereses en juego en la Ronda de Doha. Esta se denomina ronda de desarrollo, por lo que es importante que en ella se tengan en cuenta plenamente los intereses de los países en desarrollo y que estos puedan beneficiarse de las nuevas reformas. En las modalidades de Harbinson se han precisado las esperanzas. Mientras las modalidades son objeto de debates para llegar a un acuerdo negociado, se plantean algunas preguntas acerca de si este paquete satisface los criterios de desarrollo. No es sencillo responder a estas preguntas, por motivos técnicos y de otra índole. Una de las razones es que el paquete incluye muchos instrumentos de política comercial y a menudo no es una tarea simple cuantificar sus repercusiones debido a que existen importantes interacciones entre ellos. Por este motivo los modelos son indispensables para una evaluación de este tipo. Los resultados de los modelos a menudo son objeto de críticas porque no tienen el grado de precisión deseado, pero han sido muy útiles y no existe otra alternativa.
Elaborado conjuntamente por la UNCTAD y la FAO, el modelo de simulación de la política comercial agrícola (ATPSM) es un modelo comercial general concebido primordialmente para simular políticas comerciales agrícolas, sobre todo en el contexto del Acuerdo sobre la Agricultura de la Ronda Uruguay. Por tanto, su objetivo principal es ayudar a los negociadores comerciales, analistas de políticas y otros interesados en la evaluación de los efectos de varias propuestas de negociación y del Acuerdo mismo una vez negociado. Una ventaja singular de este modelo con respecto a otros semejantes es que prácticamente abarca a todos los países, incluidos los países MA. Puede simular los efectos de un conjunto de instrumentos de política comercial, especialmente:
Reducción de los aranceles fuera del contingente (o NMF), ya sea en un porcentaje determinado o con la fórmula suiza de armonización arancelaria
Reducción de los aranceles aplicados dentro del contingente
Ampliación de los volúmenes de contingentes arancelarios
Reducción de las subvenciones internas
Reducción de las subvenciones de las exportaciones.
3.1 Características del modelo
El ATPSM es un modelo estático-comparativo, sintético y de equilibrio parcial del comercio mundial de productos agrícolas que incluye distintos productos y regiones. Además, tiene en cuenta la distribución de las rentas contingentarias, resuelve el equilibrio de los precios del mercado mundial y sus repercusiones en la producción y las corrientes comerciales internas. Abarca explícitamente a 161 países (160 países y la UE-15, considerada como un país). A los efectos del presente documento, todos los países se agrupan en tres categorías, a saber países MA, el resto de los países en desarrollo y países desarrollados, basándose en los niveles de ingreso per cápita del Banco Mundial. De los 161 países, 42 son países MA, 99 son países en desarrollo y 20 son países desarrollados (Anexo 1). Además, el modelo es bastante amplio en su cobertura de productos: un total de 36 productos básicos (Anexo 2).
Todos los instrumentos de política se definen en términos de equivalente ad valorem. Por tanto, los aranceles específicos se transforman en tipos ad valorem y las subvenciones, tanto internas como de las exportaciones, se expresan de manera semejante en sus respectivos equivalentes ad valorem.
La producción (oferta interna) y la demanda dependen linealmente de los precios internos. Las importaciones equilibran el mercado. Los precios mundiales se vinculan a los precios internos mediante ecuaciones de transmisión de precios. Se supone que las transmisiones de precios son completas. Las especificaciones de la demanda y de la oferta explican los efectos recíprocos. La función de la demanda del país r y el producto i se expresa de la siguiente manera:
(1)
Análogamente, la oferta de un país r y un producto i se expresa como
(2)
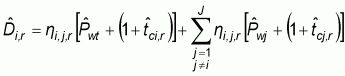
Las funciones de importación y exportación se expresan como

y

Donde: D, S, X y M significan, respectivamente, demanda, oferta, exportaciones e importaciones: ^ expresa un cambio relativo y D cambios absolutos, Pw indica el precio mundial, tc indica el arancel al consumo interno y tp el arancel a la producción interna, e significa la elasticidad de la oferta, h indica la elasticidad de la demanda, g expresa la relación de las exportaciones con respecto a la producción, i y j son índices de productos y r es el índice del país.
Por consiguiente, existen cuatro ecuaciones para cada país. La ecuación de exportación supone que la variación de las exportaciones en cada mercado representa un determinado porcentaje de la variación de la producción. Este porcentaje está determinado por la relación entre exportaciones y producción. Por ejemplo, si la mitad de la producción inicial se exporta, también se exporta la mitad de la variación de producción, es decir, la proporción de exportaciones con respecto a la producción se mantiene. Finalmente, las importaciones equilibran el mercado, es decir, la producción sumada a las importaciones iguala el consumo interno más las exportaciones. Los precios internos están determinados como una función de los precios del mercado mundial y de las variables de políticas, por ejemplo medidas de ayuda, aranceles, subvenciones y contingentes. Los parámetros del modelo se toman de varias fuentes, pero principalmente del Modelo Alimentario Mundial de la FAO.
Los efectos en los ingresos comerciales y el bienestar se calculan basándose en las respuestas de los volúmenes (es decir, DX, DM, DS y DP) y las variaciones de precio. El efecto en los ingresos comerciales de un cambio de política se calcula para cada país y producto de la siguiente manera:
DR = (PW + DPW)[(X + DX) - (M + DM)] - PW(X - M)
El bienestar total es la suma de los excedentes del productor, los excedentes del consumidor y los ingresos gubernamentales, es decir DW = DPS + DCS + DNGR. Después de una simulación, la variación del bienestar total se compone de los cambios en estos tres componentes.[62] Las variaciones de los excedentes de producción y de consumo dependen de las variaciones de los precios del mercado interno y las variaciones de los volúmenes de producción y consumo. Aquellas también tienen en cuenta las variaciones de las rentas contingentarias recibidas. Las rentas contingentarias, U, se calculan para cada país y producto de la siguiente manera: el volumen de las importaciones multiplicado por los precios mundiales multiplicado por la diferencia entre los aranceles contingentarios y los aranceles fuera del contingente, es decir
U = QPW(tm2 - tm1)
Donde Q significa el contingente de importación, Pw el precio mundial, tm1 y tm2 el arancel aplicado dentro del contingente y fuera del contingente o el tipo arancelario aplicado. La renta aumenta sólo si el país importador aplica el tipo arancelario fuera del contingente. La tasa de captura, c, es el porcentaje de la renta capturada mediante la exportación de los productos en comparación con el porcentaje, 1-c, que va al país importador. La variación de la renta contingentaria recibida, cDU, se añade al excedente de producción. Para cada país y producto, los excedentes de producción y consumo se definen como:
DPS = DPp[S + 0.5(DSd)] + cDU
DCS = -DPc[D + 0.5(DDd)]
La variación de los ingresos gubernamentales (DNGR) incluye una variación del ingreso arancelario, una variación de los gastos en subvenciones de las exportaciones, una variación de los gastos en ayuda interna y una variación de la renta contingentaria no recibida por los exportadores. Para cada país y producto, DNGR = DTR - DES - DDS + (1-c) DU, donde TR es el ingreso arancelario, ES el gasto en subvenciones de las exportaciones, DS el gasto en ayuda interna y (1-c) DU la variación de la renta contingentaria dejada de percibir.
El modelo genera productos, en términos de cambios de los volúmenes y cambios de los porcentajes con respecto al período de base, para las siguientes variables.
Volúmenes - producción, consumo, importaciones y exportaciones (X, M, S y D)
Valores comerciales - exportaciones, importaciones y balanza comercial neta
Efectos en el bienestar - excedentes de producción, excedentes de consumo, ingresos gubernamentales y bienestar total
Precios - precios del mercado mundial y precios de ventas (consumidor) y agrícolas.
3.2 Fuentes de datos
El modelo se basa en datos procedentes de varias fuentes. Los volúmenes de producción, consumo, exportaciones e importaciones (en toneladas) provienen de FAOSTAT (Cuentas de suministros y utilización y datos de dominio comercial). Todos los precios se expresan en dólares EE.UU y provienen de varias fuentes. El período de base para el modelo es el comprendido ente los años 1998 y 2000 para la producción, las importaciones y las exportaciones, entre otros; mientras que los aranceles y otros parámetros de política se basan en el año final de aplicación del Acuerdo sobre la Agricultura de la Ronda Uruguay (2000 para los países desarrollados y 2004 para los países en desarrollo). Los aranceles dentro del contingente, los aranceles fuera del contingente y los contingentes totales provienen de la base de datos AMAD[63] y fueron añadidos a los niveles de productos del ATPSM. La base de datos COMTRADE[64] de la UNCTAD es la principal fuente para las corrientes comerciales bilaterales, mientras que los aranceles aplicados se han tomado de la base de datos TRAINS (Sistema de Análisis e Información Comerciales).[65]
3.3 Limitaciones del modelo
Se da por supuesto que todos los productos son comerciables, es decir que los precios internos no tienen un comportamiento independiente. No hay otras políticas internas, aparte de las subvenciones del compartimento ámbar. Se supone que todos los productos agropecuarios son homogéneos, por lo que existe una substitución perfecta entre los bienes producidos en diferentes países, un supuesto que no siempre puede mantenerse.
Análogamente, el modelo no tiene en cuenta la posibilidad de que los países ejerzan poder de mercado, aunque es notoriamente conocido que a menudo el comercio internacional de varios productos agropecuarios se concentra en un pequeño número de compañías. Al ser un modelo estático comparativo, no se perciben todas las evoluciones no basadas en el precio de la oferta y la demanda. Finalmente, en el modelo no existe una variable de ingresos.
Un supuesto importante es que los aranceles aplicados dentro del contingente no son significativos, incluso cuando no se llenan los contingentes. Ello quiere decir que el arancel fuera del contingente o el tipo aplicado más alto, cualquiera que sea el que esté en vigor en una situación particular, son los principales factores determinantes de los precios internos. Este supuesto tiende a exagerar los beneficios de la liberalización, dado que pueden haber casos en que los tipos aplicados dentro del contingente son los elementos determinantes de los precios internos. El ATPSM no tiene en cuenta el acceso preferencial y las desviaciones del comercio. La asignación de los contingentes bilaterales se efectúa mediante un procedimiento complejo basado en la parte proporcional de las importaciones y exportaciones de cada país. Las rentas contingentarias se distribuyen en proporción a las corrientes comerciales.
|
[59] ATPSM: Modelos de
simulación de la política comercial agrícola. [60] Daneswar Poonyth es economista y Ramesh Sharma economista superior del Servicio de Políticas y Proyecciones de Productos Básicos, de la Dirección de Productos Básicos y Comercio de la FAO. Los autores desean agradecer a Alexander Sarris, Director de la Dirección de Productos Básicos y Comercio de la FAO, por su apoyo, y a Hansdeep Khaira, del Servicios de Políticas y Proyecciones de Productos Básicos, por su contribución a este documento. [61] Véase el Cuadro III.2 de la OMC (1999) relativo a los tipos de reducción. Algunos tipos de reducción pueden inducir a error. Por ejemplo, los aranceles a los productos tropicales fueron los que más se redujeron pero a partir de una base muy baja (por ejemplo, 5 - 10 por ciento). El efecto en el comercio será mucho menor que, digamos, una reducción del 26 por ciento a partir de una base muy alta. [62] Un cambio en los ingresos netos del gobierno, DNGR, se mide como el arancel dentro del contingente y el arancel fuera del contingente menos la subvención de las exportaciones y los gastos de ayuda interna y la renta contingentaria dejada de percibir. [63] AMAD: Base de datos de acceso al mercado agrícola, http://www.amad.org/files/index.htm [64] COMTRADE: http://unstats.un.org/unsd/comtrade [65] TRAINS: http://r0.unctad.org/trains/ |