The principal effect of dam design of interest to reservoir fisheries is the fixing of the crest elevation, which in turn determines the approximate mean water level and surface area of the reservoir. It can be shown (Table 5) that any marked increase in crest elevation can be expected to result in a significant increase in potential fish catch from a reservoir. It can therefore rather simply be stated that from a fishery perspective the greatest possible dam crest elevation is desirable.
Dam crest elevation in an ichthyologically saturated and fully exploited reservoir also determines the species composition of the fish catch and therefore the technological characteristics and economics of the fishery. Basically two principal types of exploitable fish stocks exist in African lacustrine bodies: 1) a shallow water, near shore, littoral complex of large species (tablefish) such as tilapias, Labeo, characoids, catfishes and Nile perch, and 2) an offshore, pelagic complex of one or only a few species of sardines or small cyprinids (indigenous or introduced) with a few attendant larger predatory species. Shallow reservoirs will usually only possess a littoral ichthyofauna which can be exploited from canoes with gillnets and hooks, and by beach seining. Larger deeper reservoirs will possess (or could possess) both littoral and pelagic ichthyofaunas. The latter require larger fishing vessels as well as more sophisticated gear (lights to attract the fish and purse seines or lift nets to catch the concentrated schools) - in effect more economic investment. The return however can be substantial. Kariba reservoir has a littoral tablefish potential production of some 3 000 tons per annum but a pelagic sardine potential of 15 000 tons or more (see also section 5.2.6 - Physical concentration effect).
Table 5. Surface area, mean depth, morpho-edaphic index, predicted yield and total catch for Cahora Bassa reservoir at various water levels. From Bernacsek and Lopez (in press) and see Fig. 30
| Water level (m a.s.l.) | Surface area (km2) | Mean depth (m) | MEI1 | Yield (kg/ha/yr) | Total catch (tons/yr) |
| 295.00 | 838 | 4.77 | 24.53 | 90.13 | 7 553 |
| 310.00 | 1 597 | 13.62 | 8.59 | 57.92 | 9 250 |
| 311.00 | 1 656 | 14.28 | 8.19 | 56.77 | 9 401 |
| 312.00 | 1 716 | 14.71 | 7.95 | 56.06 | 9 602 |
| 313.00 | 1 777 | 15.12 | 7.74 | 55.43 | 9 850 |
| 314.00 | 1 839 | 15.50 | 7.55 | 54.85 | 10 087 |
| 315.00 | 1 902 | 16.04 | 7.29 | 54.05 | 10 280 |
| 316.00 | 1 966 | 16.60 | 7.05 | 53.29 | 10 477 |
| 317.00 | 2 031 | 16.86 | 6.94 | 52.94 | 10 752 |
| 318.00 | 2 098 | 17.28 | 6.77 | 52.39 | 10 991 |
| 319.00 | 2 165 | 17.55 | 6.67 | 52.06 | 11 271 |
| 320.00 | 2 233 | 17.91 | 6.53 | 51.60 | 11 522 |
| 321.00 | 2 303 | 18.81 | 6.22 | 50.55 | 11 642 |
| 322.00 | 2 373 | 18.86 | 6.20 | 50.48 | 11 979 |
| 323.00 | 2 445 | 19.27 | 6.07 | 50.03 | 12 232 |
| 324.00 | 2 517 | 19.67 | 5.95 | 49.61 | 12 487 |
| 325.00 | 2 591 | 20.26 | 5.77 | 48.97 | 12 688 |
| 326.00 | 2 665 | 20.92 | 5.59 | 48.32 | 12 877 |
| 327.00 | 2 741 | 21.52 | 5.44 | 47.77 | 13 094 |
| 328.00 | 2 818 | 21.82 | 5.36 | 47.48 | 13 380 |
| 329.00 | 2 895 | 22.19 | 5.27 | 47.14 | 13 647 |
| 330.00 | 2 974 | 22.53 | 5.19 | 46.84 | 13 930 |
| 330.50 | 2 014 | 22.56 | 5.19 | 46.84 | 14 118 |
1 Conductivity is assumed to remain constant at 117 microhmos per cm.
Due to natural variations in the affluent flow into a reservoir and variations in user water demand, coupled with the need in many cases to accommodate flood water, it is virtually impossible to operate a dam so as to produce a year round constant water level in the reservoir. Fluctuations in reservoir water level are unavoidable, and indeed from a fishery perspective are desirable (see below). Since the timing and magnitudes of inflows and outflows of the reservoir are known approximately, water level fluctuations would appear to be somewhat predictable and therefore manageable.
Traditionally, the dam operator's main management guide is the design rule curve which is derived from affluent volume discharge curves set to a particular flood probability (i.e. 50%, 95%, etc.). Design rule curves for Roseires, Kariba and Cahora Bassa are shown in Fig. 7. Some curves such as Roseires set upper and lower limits (there water level cannot rise above 480 m a.s.l. to prevent crest overtopping, or drop below 467 m a.s.l. due to hydroelectric requirements), while others such as Kariba and Cahora Bassa in practice need only an upper limit curve because of their large storage volume.
It is significant that design rule curves do not stipulate that the water must reach a particular level at a particular time, but only that it cannot exceed (or must remain above) a particular level at a particular time. This gives the dam operator considerable leeway. The design rule curve is thus more of a safety oriented curve which provides protection from natural variability in inflow and user dependent variations in outflow rather than an exact ‘target’ curve designed to achieve some particular use oriented effect in the reservoir itself. This form of reservoir water level management can result in very variable water level behaviour from year to year. Compare the historical curves from Kariba (Fig. 8) for 1976 (a year with relatively good water level behaviour) with those for 1966, 1972 and 1974. From the engineer's perspective this is of no consequence as long as the water level remains within the limit(s) stipulated by the design rule curve, and the downstream water user's requirements are met. However, fish production in a reservoir can be significantly affected by water level fluctuations, especially erratic ones, as will be discussed below.
Fig. 9A shows the annual water level fluctuations for an hypothetical reservoir superimposed on each other. Except for the drawdown in one particular year, all annual curves are contained neatly by the design rule curve. The range of variation is however rather wide and individual annual curve shapes differ substantially from each other. The mean fluctuation curve differs markedly from the design rule curve as expected, but the former must, in effect, approximate the true ‘working’ curve of the reservoir.
A rational approach to reservoir water level management would be to optimize the working curve for specific purposes such as fisheries (Fig. 9B). The optimized working curve would be contained within the limits set by the design rule curve but would act as a target rather than a safety limit curve. Accordingly, the dam operator would attempt to achieve a particular water level at a particular time interval during the annual hydrological cycle. The curves in Fig. 9A demonstrate that water level fluctuations do tend to cluster perceptibly around a mean curve even in the absence of intentional directed management. It should theoretically therefore be possible to improve the accuracy of water level manipulation once specific target points have been set in time and space.


Fig. 7. Design rule curves for three African multipurpose reservoirs. From Hammerton (1976), SWECO/SWED Power (1982) and Bernacsek and Lopes (in preparation)

Fig. 8. Water level fluctuation in Kariba reservoir from 1964 to 1979. From Kenmuir (1980). The design rule curve was raised in 1974.

Fig. 9. Various water level curves for a hypothetical reservoir
Historical variations in water level fluctuation superimposed for a ten-year period. Heavy dashed lines A and B indicate the upper and lower limits of the range of variation respectively. The heavy solid line (X) indicates the mean level for the ten-year period.
Optimized fishery curve (again with upper and lower range and mean) contained within same design rule curve as in (A).
Parameters of interest for setting a well behaved target working curve are:
absolute range of variation of level (R = difference between highest point of curve A and lowest point of curve B during a year). This sets the drawdown magnitude.
timing and duration of inflows and outflows. This defines the duration of drawdown as well as the drawdown rate (m/month) for a given drawdown magnitude.
mean range of variation of level (r = mean difference between A and B over a one year period). Keeping r small tightens the range of variation and keeps the mean curve smooth and unimodally peaked.
A review of the design rule curve shapes for African dams would also be desirable. Fig. 10 shows the historical fluctuation of water level at Cahora Bassa with the design rule curve superimposed. In most years drawdown falls outside of the design rule curve. Clearly a reshaping of the Cahora Bassa curve would be possible.
It should be recognized when scrutinizing historical data of fluctuations in water level for a particular reservoir that some of the observed variations may be the result of extenuating factors which will only become apparent if a comprehensive investigation of the dam's history is carried out. These can include:
dam design and initial design rule curve based on inadequate historical hydrological data. This is a common problem in Africa. Thus flood prediction capability is poor and the dam hydrologist and operator must go through a ‘learning’ phase which can last many years, and result in several reshapings of design rule curves and recalculation of the magnitude of the design flood (one-in-ten-thousand-year probability) (Allison, 1969). A very serious problem which can arise out of an inadequate historical hydrological data base is that a dam project has been ‘overdesigned’, i.e. there is insufficient affluent flow available to service all primary user needs (see for example the arguments of Sagua (1970) and Sagua and Fregene (1979) concerning the hydrological budget of Kainji).
dam discharge restricted due to construction of another dam downstream.
major change in water demand from users, either increased demand due to, for example, increased hydroelectric generation capacity or irrigated hectarage, or decreased demand due, for example, to impairment of hydroelectricity production due to substation or transmission line failure.
intentional necessary impounding and/or drawdown to test dam and powerplant equipment, to control nuisance aquatic plant infestation or to install new equipment.
To determine drawdown magnitude and rate and surface area fluctuation of reservoirs the following approach was used (illustrated in Fig. 11):
A ‘hydrological’ year was defined as extending from the minimum water level preceding the maximum water level in a particular calendar year to the minimum level succeeding it. The latter minimum was labelled the ‘drawdown minimum’ and although often occurring inside the succeeding calendar year it was dated as belonging to the same year as the maximum level. The drawdown minimum defines the end of a particular hydrological year (and in effect the beginning of the next hydrological year). A hydrological year is not necessarily of 365 days duration and usually extends into the following calendar year.
Drawdown magnitude (in metres) is the difference between the maximum and drawdown minimum water level of a hydrological year.
Drawdown duration (in months) is the length of time expired during drawdown.
Drawdown rate (in metres per month) is the drawdown magnitude divided by the draw-down duration.

Fig. 10. Historical water level fluctuation and design rule curve for Cahora Bassa reservoir (from Bernacsek and Lopes, in preparation)

Fig. 11. Methods used for determining drawdown magnitude and duration. See text for explanation.
Determination of drawdown magnitude and rate was problematical using the types of information generally available in the fisheries and limnological literature. Only rarely are historical monthly or weekly water level data published (see Coche (1968) for early Kariba data, and Bernacsek and Lopes (in preparation) for Cahora Bassa data) from which drawdown parameters can readily be determined. Tables listing only the absolute maximum and minimum levels (with or without dates) for separate calendar years are of limited value and potentially misleading. In the example in Fig. 10, drawdown for 1974 would not be determinable from such information. Similarily, for Kariba (Fig. 8) for the calendar years 1964 to 1979 such a table would not allow calculation of drawdown parameters for the hydrological years 1964, 1970, 1973, 1975 and 1977. 1
Reservoir surface areas were determined from detailed level-versus-area tables when available, or from graphs constructed by the author if only limited level-versus-area data were available. Maximum and minimum surface areas of a particular hydrological year correspond to the maximum and drawdown minimum levels.
Mean water level and surface area fluctuations are presented in Table 6 for 13 African reservoirs. Drawdown magnitudes cover a wide range, from about 1.00 m to 13 m (average of 5.08 m) and drawdown rates range from 0.35 to 2.89 m/month (average of 1.01 m/month). Drawdown exposes from 4.3% up to 46.9% of reservoir bottom.
Neither drawdown magnitude nor drawdown rate are closely related to surface area magnitude (Figs. 12 and 13, respectively). There is an approximate direct relationship between drawdown magnitude and drawdown rate as expected (Fig. 14) - larger drawdowns requiring more rapid emptying. Drawdown magnitude is probably a composite function of several factors, particularily important being annual affluent volume flow, reservoir live storage volume, and reservoir volumetric shape.
Drawdown magnitude and rate are the two main parameters arising from dam operation which are known to affect reservoir fish production. The objective of the remaining sections of this chapter is to determine the limits of these parameters which promote optimal fish production.
Table 6. Comparison of water level and surface area fluctuations of 13 African reservoirs
| Reservoir (Country) | Mean annual drawdown magnitude (m) | Mean drawdown rate (m/month) | Mean maximum surface area (km2) | Mean minimum surface area (km2) | Drawdown zone (km2) (% of maximum area) | |
| Mwadingusha (Zaire) | about 1.00 | NA | 446 | NA | NA | |
| McIlwaine (Zimbabwe) | about 2 | NA | 26.30 | NA | NA | |
| Kariba (Zimbabwe/Zambia) | 2.55 | 0.35 | 5 590 | 5 350 | 240 | (4.3%) |
| Kossou (Ivory Coast) 1 | 2.82 | 0.40 | 1 635 | 1 410 | 225 | (13.8%) |
| Mtera (Tanzania) | about 3 | NA | 610 | 460 | 150 | (24.6%) |
| Volta (Ghana)2 | 3.24 | 0.39 | 7 698 | 6 718 | 980 | (12.7%) |
| Nyumba Ya Mungu (Tanzania) | up to 3.5 | 0.41 | 180 | 110 | 70 | (38.9%) |
| Ayamé (Ivory Coast) | 4.2 | 0.84 | 160 | 85 | 75 | (46.9%) |
| Nasser/Nubia (Egypt/Sudan)3 | 5.75 | 0.83 | 6 850 | 5 570 | 1 280 | (18.7%) |
| Mantasoa (Madagascar) | 7.00 | NA | 18.00 | 11.50 | 6.50 | (36.1%) |
| Kainji (Nigeria) | 7.9 | 1.58 | 1 120 | 705 | 415 | (37.1%) |
| Cahora Bassa (Mozambique) | 10.11 | 1.39 | 2 668 | 1 963 | 705 | (26.4%) |
| Roseires (Sudan) | 13 | 2.89 | 290 | NA | NA | |
NA: Data not available
1 Kossou has as yet not reached its upper storage level of 203.00 m a.s.l. It reached 194 m a.s.l. in 1981 (Nugent, pers.comm.). Surface areas given are those expected at 203.00 and 200.18 m a.s.l.
2 Since 1975, there has been a decreasing trend in water level for Volta due to poor rainfall and increased power demand (Vanderpuye, 1983).
3 Nasser/Nubia is still filling (177.4 m a.s.l. reached in 1981). Surface areas given are those expected at 183.00 m a.s.l. (= upper storage level) and 177.25 m a.s.l.

Fig. 12. Relationship between drawdown magnitude and surface area for 13 African reservoirs.

Fig. 13. Relationship between drawdown rate and surface area for 9 African reservoirs.

Fig. 14. Scatter diagram of drawdown rate versus drawdown for 9 African reservoirs. Straight lines indicate the relationship between these two parameters for drawdown durations of 4 to 10 months.
Important dynamic processes take place at the shoreline (water-land-air interface) of lacustrine bodies. Most apparent are geomorphological processes (substrate erosion, sediment deposition, beach formation, partial size sorting - Denny et al., 1978; Halstead, 1973, 1975) which are usually dependent on wave magnitude and force. Because of drawdown, shorelines of reservoirs are constantly being displaced vertically and laterally within mean upper and lower limits of elevation. Geomorphological reorganization of the shoreline environment can therefore cover large areas of reservoir substrate, which are alternately inundated and dessicated. Littoral fish production is highest in shallow water of a few metres depth. Especially productive are the shallow areas of gently sloping shelves (Coke, 1968; Marshall, in press). A large proportion of the biologically most productive bottom substrates of African reservoirs therefore are substrates which have been modified by (and continue to be under the influence of) wave action at the shoreline.
A dominating feature of the substrate of all reservoirs outside of desert localities is the presence of drowned trees. Death of trees is rapid after first filling of the reservoir due to killing of root tissue by reduction in oxygen content of soil substrate (Addo-Ashong, 1969). Scouring of soil away from the root system of dead trees in the drawdown zone by waves can cause the trees to fall over (McLachlan, 1981). The trunks of trees further down the slope (whose roots are permanently submerged and therefore not affected by substrate erosion) tend to break off at the minimum water level as the portion of the trunk exposed to alternate wetting and drying tends to rot fastest (Reizer, 1966; McLachlan, 1970). These processes are illustrated in somewhat idealized form in Fig. 15. The rate of ‘natural’ bushclearing can in some cases be high - 23 percent of trees destroyed during a two-year study period at one site in Kariba (McLachlan, 1970). Natural bushclearing however proceeds slowest on gentle slopes with hardwood trees. Thus after 25 years some parts of the drawdown zone of Kariba still contain stumps and standing dead trees (Marshall, pers. comm., 1983).
The presence of trees in the littoral zone is beneficial to fish production because it provides both shelter for juveniles and non-piscivorous species from predation (and makes overfishing using normal gear virtually impossible) and also a large surface area for the growth of aufwuchs organisms which are an important source of food for many fish species. The detrimental effects however are rather striking:
Anchoring of large mats of floating nuisance macrophytes over the littoral zone which substantially lower biological productivity by inhibiting photosynthesis by shading and lowering oxygen levels under the mat (thus effectively neutralizing the beneficial effects noted above) (Scudder, 1972; Coche, 1974). It is also virtually impossible to fish in a mat.
Interference with fishing in the littoral zone by preventing the use of some moving gear such as beach seines at almost all times of the year, and gillnets during the low water period. Even pelagic fishing with purse seines or midwater trawls can be difficult during low water.
Present a major hazard to navigation.
On balance, detrimental effects outweigh the beneficial effects (which in any case can also be provided by submerged macrophytes once they become established in the reservoir). It is therefore recommended that during the first few years of reservoir life water levels be managed to maximize the substrate area exposed to ‘natural’ bushclearing. This would mean in practice drawing down the water level to several metres below the planned normal minimum operating level.
Three types of higher plant groups develop in most reservoirs (see Fig. 16): (1) drawdown zone vegetation ranging from terrestrial grasses and sedges to semi-aquatic plants capable of withstanding limited dessication; (2) submerged macrophytes - true ‘water weeds’; and (3) floating macrophytes, which normally are considered a nuisance. Each group has important effects on fish production and will be discussed separately below.

Fig. 15. Schematic example of ‘natural’ bushclearing in a reservoir caused by water level drawdown

Fig. 16. Schematic illustration of three main types of vegetation which develop in most reservoirs
Drawdown zone vegetation
During low water virtually all African reservoirs including those in desert localities such as Nasser/Nubia are surrounded by a green belt of vegetation delimiting the drawdown zone. The community can consist of numerous species often horizontally zoned due to differences in tolerance to dessication or inundation (Mitchell, 1969; Hall et al., 1971; Petr, 1975; El Hadidi, 1976; Entz, 1979; Gliwicz, in preparation). The annual flooding of this vegetation during impounding has several effects which are broadly similar to those occurring on tropical floodplains. They have been studied in detail at Kariba by A.J. McLachlan (1969, 1969a, 1970a), S.M. McLachlan (1970, 1971), Begg (1973) and Kenmuir (1975) and also at Kainji by Bidwell (1976). The main features are as follows:
The more terrestrial species such as grasses and sedges die and decompose resulting in a large release of nutrients (K, Ca, Mg, PO4, NO3) into the water. In one study area conductivity increased from 80 to 200 microhmos/cm. Livestock and game animals grazing on grass in the drawdown zone deposit considerable quantities of dung, which releases nutrients to a far greater extent than grass itself when inundated. Temporary decreases in pH and O2 occur as a result of the high BOD. Such chemical changes do not accompany water rise in rocky littoral areas.
Biomass of benthic invertebrates increases greatly, from 500 to 10 000 mg/m2 in one study area. Species diversity increases and chironomids replace oligochaetes as the dominant taxon (see also Fig. 19).
Shallow water is invaded by fish either to feed or to breed (i.e. tilapia). Gradually sloping drawdown areas can become in effect tilapia nurseries. The expansion in reservoir surface area can be considerable (see Table 6) and this probably acts to reduce juvenile mortality by predation and increase stock recruitment.
The annual inundation of a vegetated drawdown zone would appear generally to enhance fish production. The resulting large periodic input of nutrients directly into the littoral zone would not occur if the reservoir water level remained relatively stable year round, and some water level fluctuation is therefore desirable.
Submerged macrophytes
It can be stated at the onset that a good growth of submerged macrophytes is essential to realizing high fish production from the littoral zone of a reservoir (Marshall, in press). Not only do some fish feed directly on the plants themselves (i.e. Distichodus and Tilapia sp.), but others graze on the abundant aufwuchs which can develop on leaves and stems. The presence of submerged macrophytes increases substantially the abundance and species diversity of benthic invertebrates which in turn supports increased production of omnivorous and insectivorous fish species (McLachlan, 1969, 1969a, 1970a; Mitchell, 1969). Macrophytes provide shelter from predation for juveniles of most commercial littoral species and thus increase recruitment and overall stock production. Macrophyte growth can even increase the total productive area of the littoral zone of a reservoir by attenuating wave force on exposed shorelines (and thus also reduce substrate erosion) (Odei, 1979).
Of importance is the fact that most submerged macrophyte growth is limited to a few metres (2 to 6 m) water depth, being limited by pressure and photoextinction. The problem faced by submerged macrophytes growing below the normal minimum water level is being submerged during impounding to a depth surpassing their tolerance limits for pressure and light. For example, a plant growing at about 4 m depth (at minimum water level) in Ayamé reservoir would be submerged to over 8 m depth at high water. Mean annual drawdown (in effect, mean annual fluctuation in water level) can therefore have a critical controlling effect on submerged macrophytes in reservoirs. Neither Roseires (drawdown = 13 m) nor Cahora Bassa (drawdown = 10 m) have been colonized by submerged macrophytes (El Moghraby, 1979; Gliwicz, in preparation). Kainji (drawdown = 7.9 m) has only one important submerged hydrophyte species (Eichinochloa pyrimidalis) which seems to survive only because it is drought resistant (Bidwell, 1976; Chachu, 1979). Mantasoa (drawdown = 7.0 m) has little submerged vegetation and also a poor benthic fauna (Moreau, in press). Reservoirs with drawdowns smaller than Mantasoa have more or less well established, diverse submerged macrophyte stands.
In Kariba, Bowmaker (1973) noted that recession of macrophyte stands occurs during years of large water level fluctuation, and extension during years of small fluctuation. Fluctuation amplitudes of 3.5 to 5.5 m have a temporary retarding effect on established stands, while fluctuations of less than 2 m allow rapid initial colonization after first filling of a reservoir. He concluded that fluctuations of up to 3.5 m would not affect established stands.
A very small drawdown can allow a massive proliferation of submerged macrophytes to the extent that littoral fish production can be reduced. For example, in Mwadingusha (drawdown = about 1.0 m) proliferation of plants (up to 90 percent of area covered) substantially reduced the area available to tilapia for nesting, thus affecting recruitment (Goorts et al., 1961; Ruwet, 1961). Fishing activities were also interfered with.
The effect of drawdown magnitude on submerged macrophytes is summarized in Fig. 17. Effectively, drawdowns of greater than 3.5 m adversely affect macrophytes, while drawdowns of about 1.0 m or less allow too great a proliferation. The optimal bandwidth of drawdown vis-à-vis optimizing fish production and fish catches from the littoral zone is fairly narrow (about 2.0 to 3.5 m).

Fig. 17. Schematic illustration of effect of drawdown on submerged macrophyte communities in African reservoirs
Floating macrophytes
In complete contrast to drawdown zone vegetation and submerged macrophytes, floating macrophytes are considered pests with virtually no beneficial effects to any reservoir user. Once established (usually during the reservoir's initial trophic upsurge caused by the release of nutrients from newly flooded land), they may cover extensive areas and persist for years. For example, Salvinia molesta has covered up to 22 percent of the surface area of Kariba (over 1 000 km2 - Bowmaker, 1973), and the entire surface of Ayamé has been covered by Pistia stratoites (Mulligan, 1972). Eichhornia crassipes has covered more than 30 percent of the surface area of McIlwaine (Jarvis et al., 1982). Floating macrophyte infestations lower fish production, interfere with fishing activities, hamper navigation and are detrimental to hydroelectric facilities (turbine and cooling water intakes can become clogged, and H2S and plant exudates produced under a mat can corrode metallic turbine parts).
It is clearly in the interest of all reservoir users to strictly control floating macrophyte growth (since it seems impossible to toally prevent their entry into the reservoir). Cahora Bassa provides a useful example of how this may be achieved without expensive and potentially hazardous spraying programmes. Prior to impoundment it was predicted that 25 percent to 40 percent of the surface area might become covered by floating plants. Actual dense infestations however never covered more than 0.5 percent (Bernacsek and Lopes, in preparation), and tended to be highly restricted (as was also the case at Volta and Kossou). Field study indicated that winds/wave action drove macrophyte mats against the shore where they became stranded and killed by dessication during the large drawdowns of that reservoir (Bond and Roberts, 1978).
It may be suggested that large drawdowns during the first few years of reservoir life may be a most effective method for controlling floating macrophyte infestation. Once nutrient levels in the water have decreased (following the flushing out of chemicals derived from soil leaching and decomposition of drowned terrestrial vegetation), floating macrophytes may find it more difficult to become established even in the event of smaller drawdowns. Competition for nutrients with an efficient nannoplankton-zooplankton-pelagic fish trophic pathway may then exert an additional controlling influence on floating macrophyte populations (as is suggested for Salvinia on Kariba below).
The experience at McIlwaine (drawdown = about 2 m) however indicates that there is a lower limit to drawdown magnitude below which little floating macrophyte control is achieved. Widespread infestation of Eichhornia crassipes was brought under control after dam closure in the 1950's by heavy aerial spraying and manual removal (Jarvis et al., 1982). The control programme was suspended in the early 1960's and within three years the Eichhornia population exploded to cover over 30 percent of the reservoir surface area. The actual rate of increase may have been strongly influenced by sewage eutrophication but nevertheless it is clear that the small drawdown of McIlwaine was insufficient to control an outbreak1.
The history of Salvinia infestation of Kariba (Fig. 18) provides further insight into the effects of drawdown magnitude. During the filling phase from late 1958 to early 1963 there were no annual drawdowns and the Salvinia population explosion reached 22 percent area coverage. A large 7.20 m drawdown in 1963 killed over half of the Salvinia (the effects extending into the following calendar year), but recovery took place over the next few years in spite of drawdowns up to 3.69 m in magnitude. The overall decline of Salvinia from 1967 onward appears to be unrelated to drawdown magnitude (in fact the small draw-downs of most years after 1970 should theoretically have favoured Salvinia growth) and may have been due to nutrient stress from competition with Limnothrissa, submerged macrophytes and mussels and biological control by the grasshopper Paulinia (Marshall and Junor, 1981).

Fig. 18. Fluctuation in extent of Salvinia molesta infestation of Kariba
reservoir. Annual drawdown magnitudes (hydrological year) are
indicated. Drawdown data for 1975 and 1976 were not available
but are in the order of 2.5 to 3.0 m judging from Fig. 8.
and
indicate the dates of introduction of the pelagic
sardine Limnothrissa miodon and the (biological control) grasshopper
Paulinia acuminata. Modified from Marshall and Junor (1981).
In summary, the available evidence suggests that large drawdowns can be of considerable value in controlling floating macrophyte infestation, especially during the first few years of reservoir life. In the long term, when a reduction in drawdown magnitude is desirable, nutrient competition and biological control combined perhaps with an occasional large draw-down are likely to be suitably effective.
Attention has already been drawn above (section 4.2.4, and see also McLachlan, 1969) to the massive increase which can take place in littoral invertebrate (insects) biomass during water level increase due to reservoir impounding. This ‘bonus’ in littoral invertebrate production (= fish food resulting in increased littoral fish production) would not occur if the reservoir had a relatively stable water level. The aquatic larvae of the insect Povilla adusta however show a reversed pattern in abundance on drowned trees (i.e. highest biomass during low water) which provides a seasonal complement to the invertebrate biomass increase in the drawdown zone during high water (Bidwell, 1976). Oligochaetes are also more abundant during low water (Fig. 19).

Fig. 19. Abundance of invertebrates (A) oligochaete and B) chrionomids) in relation to water level fluctuation in the littoral zone of McIlwaine reservoir. Modified from Marshall (1982).
Molluscs are also strongly affected by water level fluctuations. The work of Odei (1979) at Volta showed that snails (including bilharzia vector species) thrived best in shallow, vegetated water. Snail abundance increased rapidly with water level rise, and decreased with drawdown. Bilharzia infested snails were present only in the first 1.0 m of water. Snails in deeper water were not infected. Although there is no direct evidence, snails, because of their limited mobility, presumably have an upper tolerance limit to drawdown magnitude (and drawdown rate) beyond which mass mortality of the infected snail population of a reservoir can be induced by stranding. This suggests that control of the bilharzia hazard in some reservoirs with expansive shallow areas might be achieved by an occasional rapid/large drawdown. Monitoring of infection indices in the human population and the snail populations can indicate when such a measure may be desirable.
In a real sense, bivalves constitute a great and as yet unexploited fishery resource of African reservoirs. Although recorded by invertebrate surveys of several reservoirs their potential fishery importance was not appreciated until Kenmuir (1980a) determined that the total biomass of mussels in Kariba was about 167 000 tons (= 56 000 tons edible flesh), exceeding littoral fish biomass by two or three times. Because of their highly limited mobility and their preference for shallow water, bivalves are exceptionally vulnerable to stranding during drawdown. Dam operation can therefore control bivalve population dynamics and potential fishery yield more completely than for probably any other reservoir fishery resource. It is useful to briefly review some findings on bivalve resources of African reservoirs:
Kainji
Halstead (1971) found no bivalves in the littoral zone in June 1969 during the first drawdown after dam closure in August 1968. But by the following June 1970, bivalves had undergone a population explosion and many were stranded and killed by the second drawdown. They appear to have been the first benthic organisms to establish themselves. Bidwell and Clark (1977) list eight species, three of which are common.
Nasser/Nubia and Roseires
The giant river mussel Etheria elliptica was killed during first impoundment of both reservoirs, but more recently has been resettling itself in the upstream end of Nasser/Nubia (Hammerton, 1976; Entz, 1976).
Nyumba ya Mungu
This reservoir is exceptional in seeming to have no bivalves present (Bailey et al., 1978). It would be of great interest to introduce selected species and monitor their colonization history.
Cahora Bassa
Kapetsky (pers. comm.) noted a dense littering of dead bivalve shells (three species) along the beach near Chicoa in 1982. The extremely large drawdown of 1981 (14.06 m - Bernacsek and Lopes, in press and Fig. 10) probably resulted in massive mortality. However, despite the large mean annual drawdown of Cahora Bassa (10.11 m) during the four years prior, bivalves were successful in establishing themselves. It would be extremely interesting to identify the species occurring in Cahora Bassa as they are likely to have a high tolerance to environmental stress.
McIlwaine
Kenmuir (1980) lists six species of bivalves. Three species were found to migrate from shallow to deeper water during drawdown, but the effectiveness of this evasive behaviour is questionable in view of the large numbers that do get stranded. Probably only small percentages of the populations manage to avoid death in this manner, but this is presumably sufficient to reestablish the populations. Another species digs into the substrate and can tolerate extended dessication. Different species show variable tolerance to high temperatures and low oxygen (particular physiological stresses of drawdown and impounding, respectively). Thus drawdowns of different magnitudes can favour the survival of one or another species and thus induce significant changes in the reservoir's bivalve species composition. A study by Marshall (1982) showed that a 5.1 m drawdown exposed virtually the entire mussel population of McIlwaine.
Kariba
Four species of bivalves are present in the reservoir (Kenmuir, 1980a), and occur between 3 and 12 m depth. Mussel density was similar over bushcleared and uncleared areas (Kenmuir, 1980). French (1980) calculated that a 2.89 m drawdown from June 1979 until February 1980 exposed some 1 250 000 000 mussels from a drawdown area of 250 km2. A very large proportion of one species was not killed by the drawdown, but two other species suffered heavy mortality.
In conclusion, despite the current low commercial importance of reservoir bivalve fisheries (limited to hand collection in Kariba - Marshall, pers. comm., 1983), it seems likely that bivalves will become an economically important reservoir product in the future. Detailed research will be needed to determine optimal drawdown parameter ranges (magnitude, rate and duration) for the more economically desirable species.
The effects of water level fluctuation on reservoir fishery potential are grouped under several headings below.
Physical concentration effect
The simplest possible effect of water level fluctuation on the ichthyomass of a reservoir is a change in population density due to change in reservoir volume and area. This ‘concentration’ (or dilution) effect should theoretically result in higher fish catches during drawdown because the fish become more crowded together and thus easier to catch (and conversely lower catches during impounding). Logically, the greater the drawdown in a particular reservoir the more important is the concentration effect and the greater the increase in low water catch relative to the high water catch. Evidence is available from several reservoirs supporting this concentration effort.
Mwadingusha: The normal drawdown is about 1.0 m, but in 1954–55 water level fluctuations of over 5 m amplitude reduced the surface area by 96.6 percent (and presumably volume by a similarly large percentage) (Goorts et al., 1961; Ruwet, 1961). This increased fish catch (Fig. 20) by a factor of 5.99, from 1 334 tons (mean of 1953 and 1954) to 7 991 tons (1955), and probably represented a virtual total extraction of adult tilapias from the reservoir.

Fig. 20. Water level fluctuation and commercial fish catch of Mwadingusha reservoir. After Goorts et al. (1961) and Ruwet (1961).
Kainji: Studies by FAO/UNDP (1970), Blake (1977) and Ita (1978) between 1969 and 1976 indicated that catch increased approximately during the drawdown phase of each year. In 1976, a 10.0 m drawdown reduced reservoir volume by 64.6 percent but increased fish catch by a factor of 1.49 from 76.2 to 113.7 fish per unit effort. Conversely, a water level increase of 9.17 m in 1969–70 resulted in a volume change of 76.5 percent and in a decrease in fish catch from 45.3 to 15.1 kg/net/set (Fig. 21), a ratio of 3.00 to 1.00. Water level and volume each had a P<0.01 correlation with catch (FAO/UNDP, 1970).
Volta: The normal 3.24 m drawdown from USL at Akosombo dam reduces reservoir volume by 17.7 percent. Fish catches are 1.13 times higher during the drawdown period (wet season) than during the impounding period (dry season) (Coppola and Agadzi, 1977).
Nasser/Nubia: A normal 5.75 m drawdown from USL reduces the volume by 21.1 percent. Fish catches in Egyptian waters (98.2 percent of reservoir total) are lowest during impounding (10.29 percent of annual total) and highest during drawdown (29.78 percent of annual total) (Fig. 22). This represents a catch increase of 2.89 times.

Fig. 21. Fish catch in relation to reservoir water level and volume. Kainji reservoir during a 9.17 m water level fluctuation. Based on data in FAO/UNDP (1970).

Fig. 22. Relationship between water level of Nasser/Nubia reservoir and commercial fish catch. Data for Egypt (1967 to 1983 period) and Sudan (1974 to 1980 period) are plotted separately, based on Latif (in press) and El-Tahir Ali (in press), respectively.
The limited data from these four reservoirs are plotted in Fig. 23 to give a graphical representation of the concentration effect. The abrupt change in slope at about 65 percent volume reduction suggests that at higher percentages concentration may be the only important factor acting to increase low water period catches, but at lower percentages other factors may be influencing catches (since extrapolation of the right portion of the curve predicts a zero effect at about 55 percent volume reduction). Since most of the catch from these reservoirs comes from the littoral zone the effect of volume reduction due to drawdown on the surface area of the littoral zone of reservoirs needs to be elucidated. In Fig. 24 the relationship for Kariba reservoir is shown. The curve has a similar shape to that of Fig. 23. In this case a volume reduction of more than about 75 percent is required before there is a significant loss in littoral zone surface area (which theoretically should result in crowding of the littoral ichthyomass). This critical percentage will undoubtedly differ for other reservoirs, but in most cases is likely to be equally high.
This observation has an important implication for setting of the dam's crest elevation during project planning. It is clear from Fig. 23 that above a certain elevation the surface area of the littoral zone increases only very slowly (i.e. becomes pseudo-stable). Littoral fish yield can therefore also be expected not to increase significantly. Further increases in crest elevation and overall surface area of the reservoir result principally in the creation of a pelagic zone, and with it a pelagic fishery potential whose magnitude may be directly related to the magnitude of increase in crest elevation.
Biological effects
Reservoirs which have a volume reduction of less than 55 percent exhibit more complex patterns of catch fluctuation in relation to water level fluctuation. In the Sudanese part of Nasser/Nubia a second peak in catch occurs during the impounding phase (Fig. 22). El-Tahir Ali (1980) notes that the fishery at this time is mainly for cyprinids, characoids and Nile perch. It is probable that these stocks are migrating upstream to spawn. The catch peak is then more a consequence of the annual inflow of flood water than the result of reservoir water level fluctuation.
Catch peaks during the impounding phase are known from other reservoirs. In Cahora Bassa (Fig. 25) catches of the tilapia Oreochromis mortimeri are high only during the impounding phase, while characoids peak during drawdown. A 10.11 m drawdown from USL reduces the reservoir volume by 42.0 percent1. In Ayamé (Fig. 26) there is also a strong peak in catch during impounding (a major portion of which is tilapia), followed by a second strong peak during drawdown (mainly non-cichlids). The pattern in Kariba (Fig. 27) is rather more variable but even there the highest catches (both commercial and experimental) occur during the drawdown phase, while secondary peaks occur mainly during the low water period. The mean 2.55 m drawdown from USL reduces reservoir volume by 7.0 percent and littoral surface area by only 6.4 percent.
The two general patterns of fish catch fluctuation relative to water level fluctuation distinguished above are illustrated in Fig. 28.
The peak during the impounding phase of type (A) reservoirs is probably due to the movement of fish on to the drawdown zone to feed and breed as it becomes inundated. The reduced amount of bush there due to natural bushclearing (see section 4.2.3) and the increased mobility of the fish result in a higher catchability coefficient. Furthermore, tilapia spawn in shallow water and thus become especially vulnerable to fishing gear. Spawning generally takes place all year round, but there are usually one or two peaks in activity during the year. In Kainji, Johnson (1974) noted that the greatest spawning activity of tilapia took place during impoundment and at high water. In McIlwaine, tilapia breed during low water and early impounding phase (Marshall, 1982a). A rise in water level stimulated breeding activity (i.e. nest building) within 12 hours on newly flooded land. In Mwadingusha, Ruwet (1961) noted tilapia spawning peaks during low water/early impoundment and during high water. In Kariba, Donnelly (1969) noted that tilapia breeding peaks occur during late drawdown and low water. Nasser/Nubia (Egyptian waters) is somewhat peculiar in that tilapia there spawn mainly during the drawdown phase (Latif, in press).
1 The surface area over the littoral (0–15 m) zone is reduced by 15.6 percent.
There exists a body of evidence indicating that drawdowns of too large a magnitude or of too fast a rate can adversely affect the reproductive biology and recruitment of the tilapia stocks of a reservoir. In Mwadingusha, Ruwet (1961) noted that tilapia abandoned their nests during drawdown and suggested that the drawdown rate should not exceed 1 cm/day (0.30 m/month) if this was to be avoided. He also noted that tilapia fry could become trapped in residual pools on gradually sloping areas of the drawdown zone and suffer high mortality from heat, deoxygenation and predation. Ita (1979) states that the large drawdowns at Kainji forced young fish out of the shelter of flooded bush and exposed them to predation. Because of the limited area of gradually sloping littoral zone existing in Kainji which provides suitable breeding grounds, drawdown induced predation definitely affects recruitment. The use of very shallow vegetated water by juvenile tilapia as refugia from predation by tigerfish in Kariba has been demonstrated by Donnelly (1969). Jackson and Davies (1976) note that tilapia population expansion in Cahora Bassa was feeble probably because the large water level fluctuation interfered with their protracted courtship and nesting behaviour. Tilapia abundance has remained low in Cahora Bassa as indicated by the more recent studies of Bernacsek and Lopes (in preparation). Bailey et al. (1978) note that large drawdowns in Nyumba ya Mungu reduce the area of tilapia spawning grounds.

Fig. 23. ‘Concentration effect’ of reducing reservoir volume due to drawdown on fish catch. See text for data. Kainji * data point actually represents a reversal of the concentration effect (increased volume leading to reduced catch) but is included here as if it were its reciprocal effect. The data point for Nasser/Nubia is for Egyptian waters only.

Fig. 24. Effect of reduction of volume of Kariba reservoir due to drawdown of different magnitudes (indicated in metres next to data points) on the surface area of the littoral zone (0–15 m depth zone) assuming an initial water level of 485 m a.s.l. Calculated from data in Coche (1974).

Fig. 25. Relationship between water level of Cahora Bassa reservoir and experimental catches of three fish species using gillnets of four mesh sizes. From Bernacsek and Lopes (in preparation)

Fig. 26. Relationship between water level of Ayamé reservoir and commercial fish catch. From Kouassi (1979).

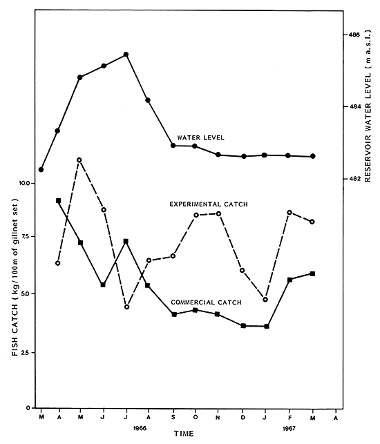
Fig. 27. Relationship between water level of Kariba reservoir and commercial and experimental fish catches from littoral zones. After Coke (1968).

Fig. 28. Generalized patterns of fish catch in relation to water level for two categories of reservoirs: A) normal drawdown reduces water volume by <55%, B) normal drawdown reduces water volume by >55%. Category A) can exhibit category B) type behaviour in the event of an abnormally large drawdown.
Effects of drawdown on the biology of taxa other than cichlids are not well known but undoubtedly occur. For example, FAO/UNDP (1970) suggested that the observed increased growth rate of the partly piscivorous Schilbe mystus during the low water phase in Kainji was due to the concentration of small forage fishes by the large drawdown. The increased catches of tigerfish in Cahora Bassa during the drawdown (Fig. 25) may also be the result of concentration of forage fishes in this case the sardine Limnothrissa miodon (increased feeding activity and movement of tigerfish resulting in greater catchability).
Species composition of reservoir littoral ichthyomass
A corollary to the observed effects of drawdown on the biology of individual fish taxa is the hypothesis that drawdown magnitude could have an overall controlling effect on the species composition of the littoral ichthyomass of reservoirs. To explore this possibility the species composition (grouped into four taxa) was determined for 12 African reservoirs (presented in Table 7 along with their drawdown magnitudes). Scatter diagrams of these data display several interesting features (Fig. 29). Cichlids (a), mostly tilapia, show a wide scatter but there is a suggestion that at drawdown magnitudes greater than about 5.5 m cichlid biomass may begin to be affected directly by drawdown. The dashed line fitted by eye predicts that cichlids would have extreme difficulty in maintaining themselves in reservoirs with drawdown greater than about 15.5 m. For drawdown magnitudes less than 5.5 m cichlid abundance is presumably regulated by other factors (i.e. availability of nesting grounds, food, etc.).
Characoids (b) cluster into two groups: (1) Kossou, Cahora Bassa and Roseires with between 30 percent and 80 percent characoids, and showing a negative correlation with drawdown, and (2) the nine remaining reservoirs, showing no particular correlation with drawdown, but constituting 30 percent or less of the ichthyomass. The reason for pattern (1) is not immediately clear since these three reservoirs are very disimilar ecologically. Cyprinids (c) in all reservoirs show the same pattern as pattern (2) characoids. The absence of a strong effect of drawdown on characoid and cyprinid abundance in most reservoirs is probably due to the fact that they are broadcast spawners with no broodcare. Spawning takes place in shallows during impounding and development is rapid. Some species migrate out of the reservoir up affluent streams to spawn. Characoids and cyprinids would seem to be largely immunized to any deleterious effects of drawdown on their reproduction.
Other species (d) cluster into two distinct groups, each of which shows a gradual but very definite negative relationship to drawdown magnitude. The reasons for these patterns are not clear and may require a fairly detailed ecological analysis.
Reservoir fish yield
It is possible to make a direct assessment of the effect of drawdown magnitude on reservoir fish yield. Fish productivity in lacustrine bodies is determined in the first instance by physical and chemical state variables. A morphoedaphic index1 was developed by Henderson and Welcomme (1974) to predict yields of African lakes and reservoirs based on these two state variables. Bernacsek and Lopes (in preparation) calculated a new MEI equation for eight African reservoirs which is reproduced in Fig. 30. The effect of drawdown magnitude on the yield residuals (actual yield minus MEI predicted yield) for six reservoirs is shown in Fig. 31. Although there are few data points there is a suggestion that drawdowns of 2.5 to 4.0 m are optimal. Smaller drawdowns give a large loss in potential productivity (in the case of Mwadingusha due to uncontrolled submerged macrophyte growth) while larger drawdowns result in a less extreme depression of yield (probably the inundation of a larger drawdown zone provides a floodplain - like spawning habitat for non-cichlids and increases their reproductive success and recruitment).
1 MEI = conductivity divided by mean depth.
Table 7. Drawdown magnitude and fish species composition of littoral zone of 12 African reservoirs
| Reservoir (Country) | Mean annual drawdown magnitude (m) | % Species Composition* | Period | |||
| Cichlids** | Characoids | Cyprinids | Others | |||
| Mwadingusha (Zaire) | about 1.00 | 82.8 | 0 | 0 | 17.2 | 1957,1958 |
| McIlwaine (Zimbabwe) | about 2.00 | 50.0 | 3.8 | 25.5 | 20.7 | 1974,1975,1976 |
| Kariba (Zimbabwe/Zambia) | 2.55 | 54.2 | 20.8 | 7.0 | 18.0 | 1980 |
| Kossou (Ivory Coast) | 2.82 | 0.6 | 76.8 | 6.7 | 15.9 | 1977 |
| Volta (Ghana) | 3.24 | 29.5 | 18.4 | 8.6 | 43.6 | 1972 |
| Nyumbaya Mungu (Tanzania) | up to 3.5 | 98.7 | 0 | 0 | 1.3 | 1977 |
| Ayamé (Ivory Coast) | 4.2 | 34.8 | 25.3 | 0 | 39.9 | 1978 |
| Nasser/Nubia (Egypt/Sudan) | 5.75 | 90.1 | 4.3 | 3.8 | 1.8 | 1981 |
| Mantasoa (Madagascar) | 7.00 | 65.0 | 0 | 28.0 | 7.0 | 1976 |
| Kainji (Nigeria) | 7.9 | 25.5 | 23.7 | 14.8 | 36.0 | 1976 |
| Cahora Bassa (Mozambique) | 10.11 | 10.1 | 55.8 | 9.0 | 25.1 | 1982 |
| Roseires (Sudan) | 13 | 18.9 | 36.5 | 20.9 | 23.6 | 1969,1970 |
** In all cases almost entirely tilapiines.




Fig. 29. Relationship between drawdown magnitude and % composition of four fish taxa for 12 African reservoirs. Based on data in Table 7. ‘Others’ refers mainly to siluroids, centropomids and mormyrids.

Fig. 30. Relationship between MEI and fish yield for eight African reservoirs. From Bernacsek and Lopes (in preparation). The MEI for individual reservoirs is given under the reservoir name.
Fishing activity
Drawdown has two main adverse effects on fishing activity itself:
fishing gear such as nets and lines become more readily entangled in drowned trees as water level decreases (Regier, 1966). If no deeper offshore waters are available, fishing activity may stop altogether. At Cahora Bassa gillnets are mounted without footropes so that they can more easily be ripped out of bush if entangled (Bernacsek and Lopes, in preparation). Loss of potential fish yield due to repair time is however great.
In relatively shallow reservoirs (i.e. Mwadingusha, Nyumba ya Mungu, Mtera) even small drawdowns can cause a large horizontal displacement of the shoreline so that fishing villages situated above the USL contour can become isolated from open water by several kilometres (Ruwet, 1961; Denny, 1978). Fishermen may experience great difficulty in reaching open water at a time when high fish catches may be expected (Fig. 28).
Remedies of varying effectiveness exist for both of these problems. For example, during low water fishermen might use baited traps, or clear narrow corridors in the bush within which to hang shallow, short surface nets. Fishing villages may be sited on steep slopes (where shoreline displacement will be minimized) as close as possible to gradual shelving fishing grounds, or access channels for boats can be dug from the village to open water if the distance is not too great.
The main effects of water level fluctuation on reservoir fish production and fisheries are summarized in Fig. 32.

Fig. 31. Relationship between drawdown magnitude and deviation of actual fish yield from theoretical yield predicted by morpho-edaphic index for six African reservoirs. Actual yields (in kg/ha/a) are indicated.
The drawdown zone created by reservoir water level fluctuation has features which make it attractive for agricultural use for both crops and grazing, and local residents around African reservoirs have been quick to develop appropriate practices (Hall et al., 1971; Kalitsi, 1973; Obeng, 1973; Raheja, 1973; Yeboah, 1979; Chaudhry et al., 1980; Vanderpuye, in press). Yields of some crops are higher than in adjacent upland areas (Amaugo, 1979; Chaudhry and Isenmila, 1979, 1979a; Sagua, 1979; Sekou, 1979) due to higher soil moisture and improvement in soil quality due to sedimentation (Siderius, 1974; Cobbina, 1979). Fishermen may alternate between periods of lean fishing and farming the drawdown zone (Obeng, 1973), thus ‘resting’ the fish stocks and achieving a more balanced overall production of foodstuffs. Drawdown crops tend to reach the market when there is no rainfall elsewhere (Goodwin, 1976), thus fetching good prices and also filling in an important seasonal time gap in the year round food supply.

Fig. 32. Summary of effects of water level fluctuation of an African reservoir on fish yield
It is likely that the use of reservoir drawdown zones for agriculture will become very widespread in the future. It is pertinent therefore to enquire what effects such practices may have on reservoir fisheries.
The use of the drawdown zone for pasture (see section 5.2.4) results in the large release of nutrients from decomposing grasses and from dung. The cover of grass tends to prevent erosion of the substrate. These effects are favourable to fish production, but the absence of thorough bushclearing and stump pulling continues to make the use of many fishing gears somewhat difficult. In particular, beach seines, known to be the most effective gear for tilapia (Otobo, 1976) cannot be used except on snag-free substrates.
Crop agriculturists on the other hand generally carry out thorough bush clearing and even stump removal, thus allowing effective uses of all types of fishing gears. Crop agriculture, however, denudes the soil and results in erosion (Amaugo, 1979). The input of nutrients during impounding is also considerably less than for pasturing, being derived mainly from crop refuse and any residual nutrients in the soil if fertilizers are used. The relatively moist and forage-rich environment of the drawdown zone attracts many crop pests (Kalitsi, 1973) and may make the heavy use of pesticides almost obligatory. This will inevitably result in the accumulation to varying degrees of pesticides in littoral fish tissue (Alabaster, 1981).
A major prerequisite for successful crop agriculture is predictability of drawdown timing, magnitude and duration (Sagua, 1979). In particular, too early impounding can result in the drowning of crops before they are ripe for harvesting (see Scudder, 1972, for example of Kariba). This leads to financial loss and eventual discouragement of the farmers. At Kainji, the minimum water level is set each year by prognosis of the incoming flood. In years of poor flow, the minimum level is set higher. This results in a more rapid filling of the reservoir during the rainy season and reduces the time available for crops to ripen sometimes leading to loss of the crops, as happened in 1973 (Siderius, 1974).