Discharge Regulation
It should be clearly appreciated that impounded river channels are as much artificial man-made, and hence man-controlled, freshwater ecosystems as are their companion reservoirs upstream. Although of course less apparent and striking physically than reservoirs (especially since they occupy the same space as the natural river ecosystem they replace), impounded rivers nevertheless require sound specific management if the maximum fishery potential is to be realized.
The most extreme effect possible on downstream aquatic environments can occur soon after dam closure. In order to initially fill Mtera reservoir, the flow of the Great Ruaha River was stopped for one month, resulting in fish kills downstream (Petr, 1981). Flow downstream from Cahora Bassa during initial filling was cut from the normal dry season flow of 2 000–3 000 m3/sec to 60 m3 per day, against the advice of consulting ecologists who recommended no less than 400–500 m3/sec (Davies, 1975, 1975a). This resulted in widespread stranding of reproductively active fish on the lower Zambezi flood-plain.
Initial testing of dam and hydroelectric equipment also can result in erratic and even drastic fluctuations in discharge (Lelek and El-Zarka, 1971; Bernacsek and Lopes, in preparation).
As noted above in section 3, the general effects of most multipurpose dam/reservoirs are to decrease peak flood discharge and to increase dry season discharge of a river. These effects are apparent when comparing inflow and outflow curves for Kariba (Fig. 30). Regulation tends to also delay the timing of the period of high downstream flow. The outflow curve for Kariba in Fig. 33 generally shows a ‘clean’ behaviour (i.e. curve shape approximates that of the unregulated river upstream). Discharges from large dams can however sometimes be highly erratic. For example, Bernacsek and Lopes (in press; in preparation) show that Cahora Bassa often delivers two and even three floods per annum to the lower Zambezi River channel. Kalitsi (1973) notes that downstream discharges from Volta can also be erratic due to poor flood prediction capability (which is common in Africa due to limited statistical rainfall/river discharge data time series). Lateral affluents can sometimes deliver flash floods to a reservoir necessitating rapid spilling to accommodate this unexpected inflow into the reservoir (du Toit, 1982). The only way to ‘prepare’ for such floods is by lowering the reservoir water level in advance based on the statistical probability of the occurrence of such floods. Abrupt changes in downstream water user requirements such as resulting from loss of electrical transmission capability (see Bernacsek and Lopes, in preparation, for example of Cahora Bassa) can also severely disturb discharge patterns. Some erratic fluctuations are caused by engineering works which can only be carried out during the dry season (Allison, 1965). Dam operators however generally prefer to spill water gradually to keep tailrace elevation as low as possible. Rapid spilling raises the tailrace level, thus reducing turbine head and electricity production - an especially important consideration if it occurs during months of greatest electricity demand (Allison, 1969). Erratic downstream discharges are therefore not an inherent, intended or desirable pattern of dam discharge but represent a temporary corrective measure caused by an imbalance in a dam's normal functions.

Fig. 33. Inflow and outflow from Kariba reservoir/dam to show the effect of impoundment on hydrology of Zambezi River (period: October 1976 to September 1979). From du Toit (1982).
Dessication of floodplains
Of the greatest significance to downstream river ecology is the flood control function of large dams. This results in downstream discharge being prevented from reaching the critical magnitude necessary for water to overspill the riverbanks and flood adjacent land. Most medium and large rivers possess floodplains at some point along their lengths, usually just before discharging into the sea, but also over any adjacent flat plains further inland. The annual flooding of the floodplain results in a massive increase in fish production far in excess (about 1 000 percent) of what an equivalent river without a floodplain could produce. This is due to increased survival rate of larval fish and increased forage on the expansive area of the floodplain. The failure of a floodplain to become inundated means an almost automatic decline in the ichthyoproductivity of a river.
Dessication of downstream floodplains after impoundment has been documented for several African dams. Investigations of the middle Niger River downstream from Kainji dam indicated that the floodplain lake Ndakolowu (also called Lake Tatabu) is reduced in area because it no longer receives sufficient overspill from the Niger River (Chude, 1979; Ita and Mohammed, 1980). The lower floodplain of the Volta River no longer floods due to Akosombo dam (Moxon, 1969; Pople and Rogoyska, 1969). Flooding of the upper part of the Nile delta (= floodplain) has been terminated completely by the Aswan High Dam. Now only two small peaks in river flow are released for crop irrigation in the summer (May/June) and winter (November) (Entz, 1976). Kariba dam reduced flood magnitude of the Zambezi River by an average of 24 percent in eight out of ten years (1970–80 period) (SWECO/SWED Power 1981). This reduces flooding on the downstream Mana Pools floodplain (Begg, 1973). Cahora Bassa dam prevents flooding of the lower Zambezi floodplain, resulting in drying of flood-plain lakes (Anon., 1975; Tello, pers. comm., 1981).
Riverbank erosion
An important geomorphological downstream effect is to erode steep sandy riverbanks and eventually create gently sloping grassy shores which are more resistant to erosion. Sudden closing of floodgates cuts river flow abruptly. If there is a significant amount of water on the floodplain it can seep laterally back into the river bed as groundwater and cause bank collapse. The absence of sediment from water discharged from dams may make it ‘hungry’ for sediment, resulting in increased scouring and erosion of river beds and banks downstream (Guy, 1981). Regulation of discharge to a lower and near constant flow rate however reduces or abolishes scouring of the river bed (Lawson et al., 1969).
Water quality
Large dams also markedly alter downstream water quality. Turbine intakes usually draw water from the hypolimnion or metalimnion water layer of the reservoir. Thus, turbinated discharge water is cool, low in O2 or entirely depleted (in which case it will contain toxic H2S) but richer in dissolved solids (Begg, 1973; Henderson, 1973; Coche, 1974; Adeniji, 1979; Balba, 1979; El Moghraby, 1979; Obeng-Asamoa, 1979; Sagua, 1979; du Toit, 1982; Marshall, in press). Water transparency will be high in most cases since sediment will have settled out in the upstream part of the reservoir. Floodgates (sluice gates) can vary in position but usually also draw water from the hypolimnion, sometimes from a lower level than turbine intakes. Overflow flood spillways and flap (spill) gates discharge warm, oxygenated and plankton rich epilimnion water.
The most critical aspect of discharge water quality is deoxygenation. Fish mortality occurs annually in the tailrace of Roseires dam during March-April in part due to O2 depletion (El Moghraby, 1979). During an extended dry season, H2S may appear in the Volta River downstream from Akosombo dam resulting in fish kills (Obeng-Asamoa, 1979). Turbinated discharge from Kainji dam has as little as 0.2 mg/l O2 (Fig. 34) and fish were found to migrate downstream to avoid the stress of low O2 (Henderson, 1973; Adeniji, 1979).
Reoxygentation of discharge water may come about in several ways:

Fig. 34. Variation in dissolved oxygen of Niza River just below Kainji dam (from Sagua, 1979).
Discharges through floodgates or overflow spillways can create a tremendous turbulence as the water jet strikes the stilling pool below the dam and mixes with turbinated discharge water. This is often sufficient to effect reoxygenation. Unfortunately not all dams have such discharge structures. For those that do, the reoxygenation benefit will of course only be realized when the discharge structures are in actual use, and this can vary tremendously. Increasing the hydroelectric capacity of a dam's power-station (a fairly common practice) results in more turbinated and less floodgate and spillway flow, thus further reducing the reoxygenation benefit. Turbinated flow accounted for 94.1 percent of total Kainji discharge in 1977, but only 26 percent in 1970 (Sagua and Fregene, 1979). Allison (1969) predicted that flood spilling at Kariba would be necessary only every three to five years once the north shore power-station becomes operational.
‘Natural’ reoxygenation occurs mainly by diffusion from the atmosphere and by photosynthesis by phytokplankton and submerged macrophytes, whose growth is favoured by the increased transparency of the water (Hammerton, 1976; Obeng-Asamoa, 1979). These processes are however more gradual and the latter can be slowed considerably by the presence of toxic H2S.
Some rivers possess water falls or cataracts downstream from the dam where water turbulence is responsible for reoxygenation. The Awuru waterfall, situated 10 km downstream from Kainji dam, significantly increases the O2 level of the Niger River, in one instance from 0.2 to 7.7 mg/l (Adeniji, 1979). Dissolved O2 at the Akosombo dam tailrace ranges between 3.0 and 4.8 mg/l, but in the past was restored to about 7.0 mg/l by the time the Volta River had passed the downstream Senchi and Kpong Rapids, and this included neutralizing the high BOD loads from industrial textile mill waste and Akosombo town municipal sewage (Petr, 1974; Obeng-Asamoa, 1979). Unfortunately waterfalls and cateracts on regulated rivers are also prime sites for low-head hydroelectric power-stations/dams, and development usually results in inundation of the waterfall or cataract. This has already occurred to the Kpong and Senchi Rapids on the Volta River when the Kpong dam was closed in May 1981. The Awuru waterfall downstream from Kainji is similarily threatened by the proposed Jebba Lake hydroelectric development (Adeniji, 1979).
Processes are available for artificially improving the O2 content of water discharged from dams - principally aeration of the hypolimnion or the tailrace (see Burns and Powling, 1981). To the author's knowledge, none of these processes is presently installed at any African dam. In view of the magnitudes of mechanical, hydraulic and electrical power developed at multipurpose dams it seems likely that artificial reoxygenation would not be expensive to carry out. Because of the drawbacks noted for the three processes of reoxygenation discussed above none can be relied on to rapidly restore O2 to biologically non-stressful levels and to ensure 100 percent protection against H2S throughout the year. There would appear to be no alternative to the use of artificial reoxygenation processes. It is strongly recommended that such processes be considered for installation at existing dams and for incorporation into the design of dams to be built in the future.
The combination of reduced variability of flow (lower flood peak and increased dry season flow) leading to a higher mean water level and increased transparency transforms impounded rivers from the ‘flood’ ‘sandbank’ type into what may be recognized somewhat contradictorily as ‘mobile lacustrine’ ecosystems. The term ‘reservoir’ river is also used (Welcomme, 1979) and it can be loosely thought of as an abnormally elongate, shallow lake with a severe unidirectional current. For reasons presented below the biological productivity of impounded river channels is intermediate between unimpounded rivers possessing a floodplain and unimpounded rivers lacking a floodplain.
Intensive study of macrophyte population dynamics in impounded river channels in Africa has as yet not been carried out (as suggested by the present author's literature search). A few incidental observations however suffice to give an overview of the general effects of impoundment.
Prior to construction of Akosombo dam, the lower Volta River had little submerged rooted macrophyte growth. This was due to three principal factors:
instability of river bed due to scouring by floods;
low light penetration due to high sediment load of river;
large annual fluctuation in river water level.
Operation of Akosombo dam reduced bed scouring, increased water transparency and evened out river flow. This has resulted in a large increase in aquatic macrophyte growth downstream (Obeng-Asamoa, 1979; Petr, 1974, in press).
Latif (in press) notes that impoundment of the Nile by the Aswan High Dam has resulted in increased macrophyte (and phytoplankton) production downstream.
Cessation of significant flooding on downstream floodplains can stimulate nuisance floating macrophyte growth. Attwell (1970) and Begg (1973) found heavy infestations of Salvinia and Pistia over standing water (ox bow lakes and depressions) on the Mana Pools floodplain below Kariba dam caused by the absence of the flushing effect of flood discharge. A similar problem with Eichhornia infestation is developing on the Nile Delta (Hefny, 1982).
From the studies cited above (and also Borhan, 1981) it is clear that populations of some invertebrates such as gastropods and chironomids are substantially higher if sub-merged macrophytes are present in the river channel. Periphyton may be non-existent without macrophytes (although if water depth and velocity is low enough, algae may grow directly on the surface of the bottom sediment, as for example, in the Rio Elephantes below Massingir reservoir during the dry period). By providing food and shelter submerged macrophytes can also be expected to be beneficial to fish production and can apparently control the species composition of the ichthyomass (see below). It would seem to be reasonable to propose the hypothesis that the extent of macrophyte growth can directly and indirectly affect the ichthyo-productivity of an impounded river channel. A through field investigation of this relationship is badly needed for the overall understanding of the ecosystem dynamics of impounded rivers and for management of their fisheries.
Existing fisheries in impounded river channels
Impoundment of a flood river has a multiplicity of effects on fish production and fisheries. However, by far the most significant is a large reduction in yield from flood-plains if the latter no longer become inundated. This has been documented for the Niger River below Kainji dam (Lelek and El-Zarka, 1971; Otobo, 1978; Chude, 1979; Sagua, 1979), the Volta River below Akosombo dam (Moxon, 1969; Acres International Limited et al., 1975; Obeng-Asamoa, 1979) and the Zambezi River below Cahora Bassa dam (Anon., 1975; Davies, 1975, 1975a; Tello, pers. comm., 1981). It may be stated at the onset that unless an intensive aquaculture project is implemented on a portion of the dessicated floodplain the loss in floodplain capture fishery yield is unlikely to be substantially recuperated in any other manner downstream from the dam.
Despite the somewhat low magnitude of potential yields of impounded river channels compared to unimpounded rivers possessing floodplains, the former nonetheless do offer development opportunities for fisheries. Their special limnological conditions create attractive ecological niches for some economically important fish species, and total potential yields should at least be higher than for unimpounded rivers lacking a flood-plain. It is of interest here to examine some of the factors affecting impounded river fish stocks and fisheries, and to assess the possibilities for enhancing fish yields.
The fishery of the Nile River below Aswan High Dam is the best studied of any impounded river channel in Africa (Borhan, 1981). The fishery went through an early growth phase and then stabilized at a mean annual catch of 8 410 tons (range = 7 500–9 000 tons) between 1970 and 1979 (Fig. 35). A threefold increase in fishing effort over the same period did not result in an increase (or decrease) in catch (although the decline in CPUE indicates that the stocks are responding to fishing pressure), suggesting that the fishery is operating at about maximum yield and furthermore that this yield is sustainable over a fairly wide range of fishing effort. The total surface area of the Nile below Aswan is 1 160 km2. The MSY is thus 72.5 kg/ha/year. Prior to impoundment by the Aswan High Dam tilapia constituted 35 percent of the catch but this rose to 75 percent afterwards. Borhan suggests that the predominance of tilapia is due to a decrease in current velocity resulting from impoundment. This created a favourable tilapia habitat which is undoubtedly enhanced by the simultaneous increased macrophyte growth (see section 6.1.2). At the same time the loss of floodplain spawning habitat undoubtedly strongly depresses recruitment of migratory taxa such as mormyrids, cyprinids, characoids, catfish and Nile perch. Thus the number of fish species recorded from the lower Nile has decreased since impoundment - from 71 to 31 according to Latif (in press). Ishak (1981) states there were 72 species in 1940 but now only 25 survive. Borhan (1981) recorded only 22 species.

Fig. 35. Relationships of catch and CPUE to fishing effort for Nile River below Aswan High Dam (based on data from Borhan, 1981). Lines fitted by eye.
Elsewhere in Africa little is known about the fisheries of impounded rivers. The strongly regulated and macrophyte-rich Volta River below Akosombo dam had in 1974 a fishery dominated by catfish with tilapia being of only limited importance (Petr, 1974). By 1975–76 tilapia were found to be increasing (Obeng-Asamoa, 1979) and presently Tilapia zillii and another cichlid Hemichromis fasciatus are the two most abundant species in commercial catches (Ankrah, pers. comm., 1982). Downstream from Kariba dam as far as the upper boundary of Cahora Bassa reservoir an expanding river fishery operates from the Zambian side of the Zambezi River producing over 750 t/year (du Toit, 1982).
A rather special fishery operates on the lower Volta River for the river clam Egeria radiatus, yielding 4 000–7 000 t/year (Pople, 1966; Moxon, 1969). It was feared at first that the reduction in seawater penetration into the river channel due to increased dam discharge (Pople and Rogoyska, 1969) would adversely affect clam recruitment in view of their requirement for saline water during breeding. Petr (1974) however found that the clam population was not affected deleteriously by Akosombo dam, but rather the surface area of clam beds was increased when fishermen began transplanting spats far upstream. Harvesting however was made more difficult by the increased and stabilized flow of the Volta (formerly the access to the clam beds was during the reduced dry season flow). In recent years access has become even more difficult due to heavy macrophyte growth, almost wiping out the industry (Ankrah, pers. comm., 1983).
Reproduction
Of critical importance to the enhancement of production of migratory fish species in impounded river channels is the provision of alternative breeding grounds to compensate for those lost from the floodplain since most species would be expected not to be able to adapt to spawning in the river itself. The fact that migratory species are able to survive (even if only in relatively low numbers) in impounded rivers indicates that they may have had some success in finding alternative spawning sites. In the lower Nile some spawning may occur in the numerous irrigation canals of the Nile Valley and the Nile Delta. Middle Zambezi stocks are able to utilize artificial floods (when they are released from Kariba dam) over the Mana Pools floodplain to reproduce (Kenmuir, 1976). Flooding of riverbanks and backwaters also creates spawning sites, albeit limited in area (Begg, 1973). It would appear desirable therefore that artificial flood releases be ecologically correctly timed (Attwell, 1970). Short duration ‘freshet’ type releases however are not recommended since they may result in reproductively active adults being stranded on breeding grounds.
Discharge of fish through dam
Another possible source of recruitment to impounded river stocks is from the reservoir upstream. Dead and dying fish are commonly found in the stilling pool and adjacent downstream channel of dams and mainly these are fish which failed to survive passage through the dam. An unknown percentage of fish however pass through the power-station or possibly also floodgates and spillways in viable condition and presumably populate downstream environments. It is in this way that the very delicate clupeid Limnothrissa miodon entered Cahora Bassa reservoir from Kariba (Bernacsek and Lopes, in preparation), and presumably continually does so. The chances of surviving passage through a dam are probably highest for fish entering the turbines of the power-station. At Cahora Bassa several tons of live fish are usually found in the residual water of the lower power house when a turbine is serviced (Lopes, pers. comm.). Since the fish are alive they must have entered the turbine just shortly before evacuation of the water. The magnitude of fish continuously being discharged could be significant, possibly in the order of 2–3 t/day.
It is clear that the often stated truism that impoundment absolutely isolates the fish stocks above and below a dam is not correct. A detailed evaluation of the importance of dam discharge stocking for downstream fisheries would be timely.
Fish ladders
In the absence of lateral flooding, fish stocks of an impounded river may continue to carry out spawning migrations, generally in response to a sharp increase in river flow or commencement of the annual rainy season(s). The migrations are generally in the upstream direction but are of course frustrated by the presence of the dam. Only anguillids (eels) appear capable of surmounting even some very large dams such as Kariba without the assistance of specially constructed by-pass structures (Balon, 1974; Marshall, 1982a). Experiences with such structures as fish ladders in Africa have been few and unsatisfactory. At Sennar dam a fish ladder was built but was soon destroyed and not replaced. At Gebel Aulia the fish ladder was found to provide apparently poor access and many migrating Nile perch were unable to surmount it (Worthington, 1973). To be effective in a particular situation a fish ladder must fulfil two main criteria:
It must satisfy the complex behavioural factors of the one or more fish species requiring the access, including such factors as the form of the standing wave downstream of the structure (Welcomme, 1979).
It must have sufficient capacity to handle the number of individuals present in the migrating stock(s).
Fish ladders in use on impounded temperate zone rivers for salmonids are so successful only because their design has been optimized (by many years of study and experience) for one or a small number of target species. Operation of a successful fish ladder on an impounded African river would require, first, selection of those species for which access would like to be provided, and, second, optimizing the design of the fish ladder for only those species. A variety of complications may arise. All species are unlikely to be compatible, and two or more fish ladders may have to be built which may be difficult if space is limited. It may also be desirable to exclude certain species (for example, predators as suggested by Worthington, 1973) from entering the reservoir en masse.
It is however debatable if any real benefit would accrue to downstream fisheries if functional by-pass structures were available for selected species at African dams. The only effect that is predictable with some certainty is a sudden large decrease in the ichthyomass of the downstream river channel as migrating stocks surmount the dam and enter the reservoir. It is not clear that there would in fact be a subsequent en masse return of ichthyomass, either in the form of juveniles, recruits or the original spawners, to the downstream river. Possibly the stocks might simply remain in the reservoir or in the mainstream or lateral affluent (s) above the reservoir. The reservoir would in effect be ‘robbing’ the downstream river of ichthyomass and it does not seem likely that the return through turbine discharge would be sufficient to balance out the loss let alone derive a net benefit. Eels may be a possible exception but even in this case it may be argued that in view of the large loss in overall fishery potential of a flood river due to impoundment, it would be more equitable to confine as much as possible the eel stocks to the downstream channel for exploitation by the river fishery rather than also make them available to the reservoir fishery by installing an eel-optimized fish ladder. Eels in any case are probably more efficiently harvested in the river where they would be more concentrated, and trap or hook gear would not be subject to interference from submerged bush.
Tailrace fisheries
Typically the density of fish immediately below a dam is substantially higher than elsewhere in an impounded river channel. Two factors are responsible for this:
Stocks attempting to migrate upstream to spawn are frustrated by the presence of the dam and become concentrated below it;
Predators congregate to feed on dead or dying fish discharged through the dam. Factor (1) is probably responsible for the initial movement of predators into the area.
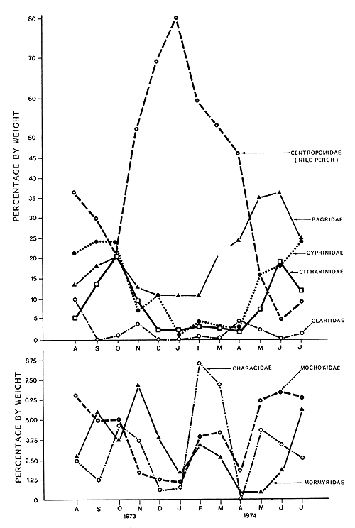
The high density of fish immediately below dams has led to the development of what are known as ‘tailrace fisheries’. The best studied is that below Kainji dam. Sagua (1978) found that predators especially Nile perch and bagrid catfish formed the bulk of the tailrace catch in a 1973–1974 period (Fig. 36). While predators in total had formed only 17 percent of the catch at Faku prior to impoundment. This rose to 73 percent after impoundment thus illustrating the magnetic effect of the tailrace area for predators. Nile perch is the single most important taxon present and exhibits strong seasonal fluctuation in biomass (Fig. 37). This is apparently related to O2 levels in the tailrace which are especially low from March to May (Fig. 34) when the reservoir is thermally stratified and only turbinated water (= coo! deoxygenated hypolimnion water) is discharged downstream. Nile perch appear to be particularly sensitive to reduced oxygen stress and migrate downstream beyond the Awuru waterfall (see section 5.1.1) during this period. Thus, catches reach their lowest point in May (Fig. 38) and fishing activity near the tailrace outlet can stop altogether (Henderson, 1973; Adeniji, 1979). Other taxa may be less sensitive to O2 stress. Sagua (1979) interprets the sharp fluctuation in abundance occurring from time to time of various species (Fig. 37) as indicative of seasonal migration. Peaks represent the migration of a stock into the area from downstream, while troughs occur when the stock has been fished out or emigrates back downstream.
A follow-up study of the same area in 1977 by Sagua (1979) revealed that the Nile perch fishery had almost collapsed in the intervening three years. The fishery was clearly not sustainable, probably due to reproductive failure. On the other hand the bagrid yield was not affected and the presence of numerous juveniles in the area suggests that the species had successfully adapted their reproductive biology to the new environmental conditions of the impounded river.

Fig. 36. Species composition of commercial catches in Kainji dam tailrace fishery (landings at Faku between August 1973 and July 1974). From Sagua (1978). Predatory families are shaded.
Tailrace fisheries and fish stocks at other African dams have not been as extensively studied. In the Volta River below Akosombo dam fishing activity is high in the tailrace zone but declines further downstream (Obeng-Asamoa, 1979). Stunned clupeids discharged from the reservoir are collected with scoop nets from the tailrace of the power-station (Petr, 1974). Nile perch and migrating cyprinids are also caught. Migrating fish congregate in large numbers below Roseires dam every year during March-April, and suffer high mortality due to low O2 and starvation (El Moghraby, 1979). Sardines in viable condition are discharged in large numbers from Kariba dam and are fed on by tigerfish in the tailrace zone (Kenmuir, 1975a).
Impoundment of a flood river markedly alters coastal hydrology. Tidal penetration up a river channel during the dry season can be reduced substantially. For example prior to impoundment tidal influence extended between 30 km and 48 km upstream in the Volta River (Moxon, 1969; Pople and Rogoyska, 1969). Since construction of Akosombo dam, tidal penetration is now only 10 to 15 km from the sea.
Reduction of peak river flow by dams can also result in the loss of an annual charge of freshwater entering coastal lagoons and delta lakes, as has happened at the Keta lagoon of the Volta River estuary (Petr, in press). However, impoundment of the Nile River in association with extensive development of irrigated agriculture has had the opposite effect on the four large coastal lagoons of the Nile Delta. A large portion of the Nile's water is distributed diffusely over the delta by numerous irrigation/drainage channels, most of which discharge into the four coastal lagoons at their downstream end and not back into the two river channels. Thus, Edku lagoon now receives almost double the freshwater input it received prior to construction of Aswan High Dam (Banoub, 1979). Because of the stability and higher volume of freshwater inflow salinity is lower and more stable in Borullus (El-Sedfy and Libosvarsky, 1974) and Manzala lagoons (Shaheen and Yousef, 1980). The general shift in all four lagoons is toward a more stable freshwater lacustrine ecology (Reid et al., in preparation).

Fig. 37. Monthly variations in species composition of tailrace fish stocks of Kainji dam. From Sagua (1978).

Fig. 38. Monthly variation in estimated total catch of Kainji dam tailrace fishery (landings at Faku between August 1973 and July 1974). From Sagua (1978).
Impoundment stabilizes river flow into the sea or other marine receiving body. Thus, in theory, the surface area of the estuary zone will remain more constant year round, and river discharge will have a more regular interaction with coastal marine currents, rather than alternate between periods of relative dominance (during flood flow) and relative subservience (during dry season flow). If the total river discharge is reduced however, a more serious shift in coastal marine currents can take place. Because of the large retention of water to fill Nasser/Nubia reservoir and extraction to irrigate the extensive crop hectarage on the Nile Delta, the mean annual discharge of the Nile River into the Mediterranean Sea has been significantly reduced, from 40.95 km3 (1956–1964) to 12.75 km3 (1965–1971) (Entz, 1976; Gerges, 1976; Sharaf El Din, 1977). Surface water salinities are now higher near the Egyptian coast. Circulation patterns have also been radically altered. The ‘Nile Stream’ which prior to impoundment constituted a fast northeasterly moving mass of brackish water has now practically disappeared and has been replaced by a permanent marine current flowing very close along the coast, west to east in the summer, and east to west in the winter. The current regime in the Suez Canal has also been altered and athe reversed southerly current of the summer period may no longer occur regularly (Marcos and Messieh, 1973; Gerges, 1976).
Coastal geomorphological structures which are composed of sediments (i.e. beaches, deltas) are generally subject to sediment transport processes, resulting in either a net accumulation or net erosion of sediments. The most important supplier of sediments to the coastal environment are flood rivers. It can therefore be readily appreciated that any interference with the sediment load carried by flood rivers will strongly favour the coastal erosion process, either intensifying the process in areas where erosion already predominates, or elsewhere reduce the accumulation of sediments (or tip the balance to a net erosion).
Sediment trapping in reservoirs (especially those situated in the lower reach of a river) can chop the sediment supply to the coastal area drastically. Although the effects of impoundment on coastal sediment deposits in Africa have been studied at only a few localities, it is clear that impoundment generally results in an increase in erosion. Shoreline retreat in some parts of the Volta River estuary area increased from an average 4 m/year prior to construction of Akosombo dam to 8–10 m/year afterwards (Ly, 1980). Aswan High Dam has also lead to increased erosion of the Nile Delta (Kassas, 1972; Nielsen, 1973; Summerhayes et al., 1978; Hefny, 1982).
Coastal erosion can be controlled by such structures as groines and offshore break-waters. Recent development of prefabricated modular units which can be set directly on to the unmodified seabed (see for example Benassai et al., 1983) may in future make protection of extensive shoreline areas economically feasible. It is clear that comprehensive shore management policies need to be formulated to ameliorate this very negative effect of large dams.
In a study of Tanzanian estuaries Bernacsek (in press) has shown that the range of ichthyoproductivity of the estuarine environment may be similar to that of shallow, nutrient rich African lakes and reservoirs, but more than twice the mean productivity of inshore marine habitats. This observation therefore predicts that any local effects of impoundment leading to a transition from brackishwater to more freshwater ecology should not necessarily result in a change in biological productivity of the system in question, but a transition in the opposite direction to more marine conditions might result in a loss in productivity. The few available studies of coastal fisheries, when compared to the case history effects of impoundment on coastal hydrology discussed in section 5.2.1 generally support this prediction. The reduction of freshwater feed to Keta lagoon downstream from Volta reservoir has led to the collapse of an oyster (Ostrea edulis) fishery there (Petr, in press), presumably because the oyster could not tolerate the resulting higher salinity.
Furthermore, the general freshening of the Nile Delta coastal lagoons has not resulted in a decrease in fish production 1 other than what can reliably be attributed to overfishing (for example Borullus lagoon has an incredibly high fishing intensity of 91.58 fishermen/km2 - El-Sedfy and Libosvarsky, 1974). There has been a general shift in catch composition in favour of freshwater taxa, particularly tilapia (Shaheen and Yousef, 1980; Reid et al., in preparation).
The most spectacular case of a loss in coastal fish catch following impoundment of a flood river is the collapse of the Egyptian sardine fishery (Fig. 39). The collapse presumably came about mainly due to the loss of nutrient rich Nile River sediment to the estuarine ecosystem which was responsible for plankton blooms upon which the sardines fed (George, 1972; Rzoska, 1976c; Hefny, 1982).