par
J. Quensiere
O.R.S.T.O.M.
24, rue Bayard
75008 Paris, France
Résumé |
| Dans le cas d'écosystèmes présentant une instablilité importante, que celle-ci soit naturelle ou induite par un aménagement des ressources en eaux, l'évaluation des ressources ichtyologiques à partir de l'étude des principales espèces capturées ne permet généralement pas de très bonnes prévisions; l'instabilité du milieu induisant fréquemment des changements profonds de la structure des peuplements exploités et corrélativement de la composition spécifique des captures des pêcheries. |
| Pour éviter ce risque de biais il convient d'étudier ces peuplements dans leur ensemble ce qui est désormais rendu possible par un protocole d'échantillonnage adapté et par l'usage des moyens informatique et de statistique multi-dimensionnelle. |
| Une illustration de ce type d'approche est donnée par l'étude synécologique d'un peuplement de juvéniles du bassin tchadien. Cet essai permet de constater que les études multispécifiques, si elles nécessitent des moyens de traitement mathématiques plus complexes, ne sont pas plus longues à mener que les études monospécifiques classiques mais permettent une meilleure compréhension globale de la production ichtyologique ainsi que de la pêche qui l'exploite. |
Abstract |
| In the case of highly unstable ecosystems, whether these be natural or induced by water resources management, assessment of fishery resources by means of a survey of the main species caught does not usually make very reliable forecasts possible, since the instability of the environment often gives rise to serious changes in the structure of the stocks exploited and in the specific composition of the catches. |
| To avoid this risk of bias, the stocks must be studied as a whole. It is now possible to do this by means of an appropriate sampling protocol and by using data processing methods and multidimensional statistics. |
| One example of this type of approach is the synecological study of a stock of juveniles in the Chadian basin. This test shows that while multispecific studies require more complex mathematical processing, they do not take longer than the traditional monospecific studies and allow for a better overall understanding of ichthyological production and of the fishery that exploits it. |
L'aménagement et la mise en valeur d'une région passe obligatoirement par la gestion des ressources en eau. L'utilisation de l'eau est en effet le point de rencontre des principaux secteurs de développement à savoir: l'agriculture, l'élevage, l'industrialisation, l'urbanisation, la production d'énergie, la navigabilité des voies d'eau et bien sûr la pêche. Le problème de l'aménagiste se rapporte donc très généralement à la recherche de la meilleure répartition de l'eau qui permettra le plus fort accroissement global de la production de richesses. Ce choix ne peut et ne doit se faire qu'à partir d'informations fiables concernant d'une part l'importance actuelle de chaque secteur et ses potentialités et d'autre part les contraintes d'aménagement que suppose chacun des secteurs pour un épanouissement optimal de ses potentialités, le coût de ses contraintes ainsi que leur impact prévisible sur les autres secteurs. C'est à ce stade primordial de l'aménagement que se situe le travail du scientifique. Son rôle est de fournir à l'aménagiste des éléments de décision, c'est-à-dire une connaissance et une compréhension les meilleures possibles du secteur pour lequel il est compétent.
En ce qui concerne le domaine halieutique, les connaissances de l'état actuel de la pêche comme des ressources ichtyologiques qu'elle exploite sont souvent assez embryonnaires. La production halieutique globale, elle-même, n'est pas toujours connue bien que la pêche constitue fréquemment une ressource économique et alimentaire importante. De ce fait, l'ichtyologiste sollicité pour l'étude de l'impact d'un aménagement est souvent confronté à un programme de travail considérable puisque, sans parler de l'acquisition de statistiques de pêches, nécessaires mais jamais suffisantes à l'estimation des potentialités d'exploitation d'un milieu, il doit définir les traits essentiels de la biologie et de la démographie des populations présentes, estimer les stocks et comprendre suffisamment l'écologie des espèces pour envisager les conséquences d'un aménagement à partir de la réalité présente.
Plusieurs approches sont possibles pour la réalisation d'un tel programme. En ce qui nous concerne, nous avons choisi d'approfondir les possibilités offertes par la méthode synécologique qui consiste à considérer les peuplements ichtylogiques dans leur ensemble pour en étudier la répartition spatiale, la stabilité temporelle et leurs interactions avec les milieux qu'ils peuplent. Nos orientations actuelles sont de tenter d'accroître la rapidité d'acquisition des résultats utilisables tout en maintenant leur fiabilité.
Au niveau de l'échantillonnage par:
l'amélioration du stockage des informations recueillies.
Au niveau des traitements par:
Pour illustrer l'intérêt de ces orientations de recherche dans le cadre d'une étude préalable à un aménagement, nous présenterons ici les principaux résultats des travaux que nous avons menés sur les dévalaisons de juvéniles dans l'El Beïd, rivière intermittente qui relie la grande plaine d'inondation du Nord-Cameroun au lac Tchad.
Le Tchad est un lac endoréique et peu profond. Ses rives sont le plus souvent plates et indécises, son aspect et sa surface sont donc très sensibles aux variations de niveau d'eau. Le niveau du lac résulte d'un équilibre entre les apports et les pertes par évaporation. L'essentiel des apports (80 pour cent) est fourni par le Chari. En période d'hydraulicité normale, tant que le volume stock est suffisant, le lac se comporte comme un vaste réservoir régulateur et l'on note un amortissement sensible de la variabilité interannuelle des crues du Chari. Par contre le lac restitue fidèlement les tendances climatiques qui s'établissent sur de longues périodes. Ainsi, après une montée du plan d'eau de 1953 à 1963, le lac connaît une baisse continue à partir de 1964. A la suite des crues fortement déficitaires de 1972–73 et 1973–74, il atteint sa surface minimum en 1975.
Ces importantes variations de surface et de volume ne sont pas exceptionnelles et l'on distingue depuis Tilho (1928) un état ‘Tchad normal’ et un état ‘petit Tchad’ correspondant à des superficies respectives de l'ordre de 20 000 km2 et 10 000 km2.
Au cours de la période ‘Tchad normal’, il a été montré par Loubens et par Durand que les géniteurs de nombreuses populations lacustres entreprennent vers la fin de l'étiage du Chari des migrations anadromes de reproduction qui les conduisent en bordure des zones inondables du réseau fluvial en amont de N'Djaména. Les oeufs et/ou les jeunes alevins sont ensuite entraînés par le flot de crue à l'intérieur de ces zones où ils trouvent nourriture et abris en abondance. Le grand Yaéré du Nord-Cameroun occupe parmi ces zones une position privilégiée de par son étendue mais surtout de par sa conformation. En effet, les eaux d'inondations du Yaéré rejoignent, pour une part importante d'entre elles, directement le lac Tchad par l'intermédiaire d'un drain naturel: l'El Beïd et, avec elles, les poissons qu'elles hébergent. Ces derniers évitent ainsi la prédation à laquelle ils seraient soumis dans les fleuves et participent directement au renouvellement des stocks lacustres.
L'affaiblissement considérable des stocks de migrateurs du lac pendant la phase d'assèchement consécutive aux crues exceptionnellement faibles de 1972–73 et 1973–74 conduisait à s'interroger, lors de la reprise des inondations, en 1974–75, sur la perpétuation du rôle de frayère du Yaéré du moins sous la forme qu'il revêtait précédemment.
L'échantillonnage des juvéniles directement dans la plaine d'inondation est difficilement réalisable. Les résultats de plusieurs campagnes de prospection nous ont montré que la faible hauteur d'eau moyenne, la très grande superficie du Yaéré (de l'ordre de 640 000 ha), l'absence de voies de pénétration ainsi qu'une grande difficulté à échantillonner de façon comparable pendant les différentes périodes d'inondation, rendaient cette entreprise hasardeuse avec les moyens d'investigations limités dont nous pouvions disposer. La majeure partie des eaux du Yaéré étant assez rapidement isolée du réseau fluvial après l'inondation de la plaine, les poissons qu'elles accueillent doivent obligatoirement emprunter l'El Beïd pour rejoindre un milieu permanent.
Une première description des dévalaisons de juvéniles par l'El Beïd a été réalisée en 1968–69 pendant la période ‘Tchad normal’ par Durand (1970, 1972). La confrontation des observations effectuées avant et après la phase d'assèchement du lac pouvait permettre de mieux percevoir les conséquences de cet événement hydrologique sur les peuplements; comme les dévalaisons de l'El Beïd apportent une information précieuse sur le recrutement des stocks lacustres, leur surveillance était susceptible de fournir des indices sur le mode d'établissement d'un peuplement de ‘petit Tchad’.
En outre, du fait de la situation particulière du Yaéré et de l'El Beïd dans le système fluvio-lacustre tchadien, il était important de préciser la causalité des dévalaisons, de leur organisation générale ainsi que des variabilités qu'elles peuvent subir outre les effets directs de la sécheresse1. Objectif d'autant plus important que des projets de mise en valeur du bassin du Logone prévoient d'en modifier les caractéristiques hydrologiques en profondeur: création de retenues d'eau, écrêtage et régularisation des crues, création de digues et mise en culture de certaines portions de la plaine, etc. Dans le cadre d'une étude préalable à un aménagement, nous présenterons ici trois aspects des travaux menés sur l'ensemble Logomatia, Yaéré, El Beïd:
les caractéristiques essentielles de l'inondation de la plaine;
l'organisation intra-annuelle des dévalaisons de juvéniles;
les variations interannuelles observées et leur déterminisme probable.
L'hydrologie et la physico-chimie du Yaéré et de l'El Beïd ont été abordées dans le cadre d'études globales soit du bassin du Logone (Bouchardeau, 1968), soit du bassin tchadien tout entier (Toucheboeuf, 1969; Roche, 1973; Gac, 1979). Ces auteurs se sont principalement interessés, dans leurs études du Yaéré, à définir les caractéristiques moyennes et les relations globales avec le reste du réseau hydrographique. L'écologie des peuplements ichtyologiques de la plaine et la compréhension des mouvements migratoires demandaient à prendre davantage en compte la variabilité interannuelle des composantes hydrologiques et physico-chimiques. C'est la raison pour laquelle nous avons été amenés à reconsidérer, à la lumière des travaux précédents, les caractéristiques de l'inondation du Yaéré par l'analyse de mesures effectuées sur l'El Beïd et le Logomatia ainsi que par l'interprétation des documents de télédétection fournis par le satellite Landsat.
Dans le courant du mois d'avril, la remontée du front intertropical marque le début de la saison des pluies. Celle-ci débute par des précipitations de faible importance qui sont rapidement absorbées par les argiles gonflantes qui tapissent la plaine. Le maximum des pluies se situe entre juillet et septembre et provoque une première inondation de la plaine (Figure 2) qui, pour une année de pluviosité moyenne, n'est que très partiellement évacuée par l'El Beïd constituant ainsi une précrue dont les débits maxima se situent vers 1 m3/s.
L'inondation proprement dite résulte des déversements du Logone. Elle débute vers la seconde semaine de juillet par la mise en eau du Logomatia. Les premiers déversements s'effectuent par le nord de la rivière, pour des débits du Logone à Bongor de l'ordre de 700 m3/s. Entre 700 et 1 200 m3/s, les eaux de crue du Logone remplissent la totalité du Logomatia, ainsi que les dépressions et drains artificiels creusés par les pêcheurs. Audessus de 1 200 m3/s, le flot de crue déborde du lit mineur pour inonder la plaine (Figure 3A) mais l'onde ne parvient à l'El Beïd que lorsque les débits atteignent et dépassent 1 500 m3/s; ainsi, en 1972 et en 1973, aucun écoulement ne s'est produit dans l'El Beïd.
On distingue donc deux zones de pénétration des eaux de crue dans le Yaéré. La première correspond à la portion du Logomatia en aval de N'Dgodéni (Figure 1); de là le, front d'inondation progresse selon un axe orienté SE/NO que nous appelons axe nord par opposition à l'axe sud, second axe dépressionnaire parallèle au premier et séparé de lui par une bande de terrain légèrement surélevée. Les eaux d'inondations de l'axe sud proviennent de la partie amont du Logomatia ainsi que du Guerléou et des débordements directs du Logone, entre Guerléou et Logomatia.

Figure 1 Carte de situation du Yaéré et de l'El Beïd
![]() | routes sur digues |
![]() | repérage de la couverture satellite |
![]() | zone inondée |

Figure 2 Première inondation de la plaine par les pluies
L'entrée de l'axe nord étant plus basse que celle de l'axe sud, l'importance relative de ces deux bras diffère en début de crue selon l'importance des déversements. Pour les années de très faible crue comme 1972, seul le bras nord s'inonde de façon notable alors que pour les crues fortes on observe une prédominance du bras sud.
Lors de la décrue du Logone une quantité relativement fixe des eaux d'inondation du Yaéré retourne au Logomatia. Une partie des eaux de l'axe nord retourne également au Logone par des brèches du bourrelet de berge entre Ivié et Logone-Birni. Le reste des eaux de l'axe nord, ainsi que la majorité de celles de l'axe sud, progressent vers le nord du Yaéré.
Au niveau de l'El Beïd, la vidange du Yaéré s'amorce par l'arrivée dans les drains supérieurs des deux bras d'inondation qui se sont rejoints. Le maximum de la crue est atteint à Tildé vers la fin novembre (Figure 3C), alors que l'onde de crue à déjà largement inondé le lit de la rivière. En janvier, des zones inondées subsistent à l'extrémité des bras de l'El Beïd (Figure 3D). Elles sont progressivement drainées, puis l'écoulement s'interrompt vers la fin du mois de février. Les données hydrologiques recueillies entre 1974 et 1978 et les documents Landsat permettent de constater que plus la crue du Logone est forte, plus l'étale de hautes eaux est prolongé sur le Logomatia, et plus la surface inondée est grande (Figure 4). Les eaux quittent les axes dépressionnaires pour s'étendre dans les plaines latérales, principalement en amont de Hinalé pour l'axe sud et en aval de Logone-Gana pour l'axe nord. Au niveau de l'El Beïd, la décrue est d'autant plus lente que la surface inondée est grande. Ces remarques confrontées aux variations interannuelles des paramètres physico-chimiques observés et aux études de Roche (1973) permettent de constater que les eaux s'écoulant par l'El Beîd sont tout d'abord des eaux provenant ‘directement’ du Logone par le réseau de drains des axes dépressionnaires. Ces eaux sont ensuite progressivement relayées par les eaux d'inondation des plaines latérales aux axes dépressionnaires. Les proportions respectives de ces deux masses d'eau caractérisant deux types de milieux distincts pourront donc varier selon l'importance de la crue du Logone.
| A | B |
![]() | ![]() |
| C | D |
![]() | ![]() |
Figure 3 Stades successifs de l'inondation du Yaéré par les débordements du Logone
En conclusion, l'évolution saisonnière du Yaéré, bien que présentant une certaine répétitivité interannuelle, est susceptible de variations à la fois qualitatives et quantitatives qui dépendent de l'importance des crues du Logone.

Figure 4 Extension de la surface inondée pour une crue faible et pour une crue moyenne
L'observation des dévalaisons de poissons par l'El Beïd à été faite à Daga à partir des techniques de pêche traditionnelle en usage sur la rivière qui, après comparaison avec diverses autres méthodes d'échantillonnage, se sont avérées mieux adaptées aux types de relevés que nous souhaitions effectuer. La pêche traditionnelle de l'El Beïd s'effectue à l'aide d'un boulou, sorte de filet triangulaire tendu et maintenu, ouvert par deux perches (Figure 5A, Tableau 1). La pêche s'effectue à pied, devant un barrage de branchages dont le rôle est de ralentir le courant et la dévalaison des poissons (Figure 5B). Cette pêche saisonnière s'exerce sur toute la longueur de l'El Beïd et concerne actuellement 134 barrages. Plus rémunératrice pendant la période de Tchad normal, elle regroupait davantage de monde; en 1968–69, Durand a compté près de 200 barrages en activité.
Le protocole d'échantillonnage adopté consiste en une série de pêche de 2 h organisées sur trois jours de façon à couvrir un cycle de 24 h. Les observations ont débuté en 1974, dès la reprise des crues normales, et ont été poursuivies à chaque mise en eau jusqu'en 1979. Nous présenterons essentiellement les résultats acquis entre 1974 et 1978, les données récoltées la dernière année nous étant parvenues assez tard pour des raisons indépendantes de notre volonté. Au cours de ces quatre saisons de pêches, 66 espèces ont été capturées, certaines en très petit nombre. Le boulou exerçant une certaine sélectivité interspécifique, nous n'avons conservé dans les traitements que 32 espèces ou genres parmi les plus abondants.
L'étude des tendances générales du peuplement au cours de ces quatre années à été menée globalement à l'aide de l'analyse factorielle des correspondances (AFC) sur le tableau des abondances spécifiques par cycle de 24 h. L'étude des projections sur les plans factoriels (Figure 6) montre tout d'abord une opposition marquée sur le premier axe entre deux groupes d'espèces, l'un très lié aux hautes eaux, l'autre à la période de décrue et d'étiage. Cette opposition se trouve être la même pour toutes les années d'observation bien que 1974–75, première année après la sécheresse, montre une distance moins grande entre les deux groupes. L'axe 2 défini par l'analyse permet une meilleure séparation entre les différentes périodes de décrue et d'étiage; l'axe 3 au contraire discrimine davantage les différentes périodes de hautes eaux. Les différences interannuelles suggérées par l'analyse correspondent davantage aux dissemblances d'importance des différentes crues qu'à une succession chronologique après la sécheresse. Les prélèvements des années de crue moyenne 1975–76 et 1976–77 se regroupent, tout comme le font les prélèvements des années de crue faible 1974–75 et 1977–78, tant pour les périodes de décrue sur l'axe 2 que pour les périodes de hautes eaux sur l'axe 3.
Les structures mises en évidence par cette première approche des résultats se rattachent donc essentiellement à l'hydrologie de l'El Beïd.
Au niveau intra-annuel, la partition des espèces en deux groupes correspondant à deux périodes hydrologiques distinctes avait déjà été décrite en 1968–69 avant la sécheresse. Il semble donc qu'à ce niveau une organisation générale des dévalaisons existe et se maintienne malgré les bouleversements causés par les crues exceptionnellement faibles de 1972–73 et 1973–74, tout à la fois sur les peuplements ichtyologiques et les conditions mésologiques de l'ensemble fluvio-lacustre.
L'étude de cette structure du peuplement nécessite un approfondissement de l'écologie et des comportements spécifiques. Le protocole d'échantillonnage ayant été conçu de façon à permettre des relevés à intervalle de temps régulier, les observations effectuées sur l'El Beïd constituent des séries chronologiques et de ce fait peuvent être traitées en termes de tendance saisonnière, de variabilité systématique et de fluctuations aléatoires.

Figure 5A Pêche au boulou

Figure 5B Plan d'un barrage de pêche
![]() | Tableau 1 | ||
| Mensurations des boulous Moyenne et écart-types | |||
| m | s | ||
| A | 5.00 | 0.35 | |
| B | 3.10 | 0.45 | |
| C | 1.22 | 0.10 | |
| D | 0.74 | 0.19 | |

Figure 6A Analyse factorielle des correspondances des données codées en 4 classes équiprobables d'abondance. Premier plan factoriel

Figure 6B Analyse factorielle des données codées. Deuxième plan factoriel
L'extraction des tendances saisonnières de chaque espèce est obtenue par la méthode des moyennes mobiles itératives. Les distributions d'abondance ainsi lissées - que nous appelons: profils saisonniers - présentent une certaine répétitivité interannuelle de leur forme. On distingue globalement deux types de profils saisonniers (Figure 7). Le premier correspond à des courbes unimodales au mode nettement marqué. En dehors de ce mode, les espèces de ce type sont rares, voire absentes, des relevés. Le second type de profil regroupe les espèces essentiellement abondantes en cours ou en fin de décrue. Certaines d'entre elles sont également abondantes en tout début de crue. Ces espèces sont rarement absentes des relevés.
Une classification hiérarchique permet le regroupement des profils saisonniers en deux ensembles fortement disjoints correspondant à ces deux types de courbes. Chaque ensemble se décompose à son tour en deux sous-ensembles homogènes (Figure 8). Chaque ensemble s'apparente respectivement aux périodes de hautes eaux et de basses eaux. Pour préciser les relations pouvant exister entre les groupements résultants de la classification (Figure 9) et les facteurs environnementaux, nous avons effectué un tableau de contingence croisant les modalités des facteurs environnementaux choisis lors de l'échantillonnage et les abondances des différentes espèces. Une analyse factorielle réalisée sur ce tableau (Figure 10) fait apparaître une forte contribution des descripteurs hydrologiques aux premiers axes. Les espèces du premier ensemble, celles dont les courbes sont unimodales, apparaissent fortement corrélées avec les fortes hauteurs d'eau pour leurs abondances maximales ainsi qu'avec les faibles hauteurs d'eau pour leurs absences. Parmi les espèces du second groupe, trois d'entre elles sont fortement corrélées aux fortes hauteurs d'eau pour leurs absences ainsi qu'aux faibles hauteurs d'eau pour leurs abondances maximales. Les espèces du second ensemble paraissent beaucoup moins liées aux facteurs hydrologiques. Nous reviendrons sur le déterminisme de leurs dévalaisons dans l'étude des variations interannuelles.
Outre la tendance saisonnière, deux types de variabilité systématique peuvent être mis en évidence correspondant respectivement à un rythme lunaire et à un rythme nycthéméral.
Le rythme d'activité lunaire peut être mis en évidence sur les résidus du lissage précédent, c'est-à-dire sur les différences entre courbes observées et courbe lissées. Ce rythme lunaire, déjà décrit dans d'autres études biologiques (Daget, 1952, delta central du Niger; Blache et Goosen, 1954, Cambodge), est significativement marqué pour une dizaine d'espèces comme Brienomyrus niger, Pollimyrus isidori, Alestes dentex, Alestes nurse, Labeo senegalensis, etc. Pour certaines de ces espèces il apparaît directement sur la distribution de fréquence observée (Figure 11).
Le rythme d'activité nycthéméral peut être mis en évidence en regroupant les captures de chacune des douze périodes horaires constituant un cycle d'observations. Pour chaque espèce, la distribution ainsi calculée a ensuite été transformée en distribution de pourcentages des captures totales de l'espèce; on obtient alors un ensemble de profils relatant pour chaque espèce la répartition moyenne des captures au cours du nycthémère pour les quatre années d'observations. L'étude de ces profils a été menée globalement par une AFC. Le premier plan restitue la quasi totalité de l'information analysée (88, 36 pour cent). Les espèces s'y regroupent en fonction de leur période d'activité dans le nycthémère. Certaines sont diurnes, d'autres nocturnes. On observe en outre un groupe d'espèces crépusculaires ainsi qu'un autre groupe d'espèces crépusculaires et nocturnes surtout actives dans la première partie de la nuit (Figure 12).


Figure 7 Profils saisonniers types (voir explication dans le texte)
![]() | courbe de crue |
![]() | données observées |
![]() | données lissées |

Figure 8 Classification hiérarchique ascendante des espèces en fonction de leurs profils saisonniers

Figure 9 Profils spécifiques saisonniers regroupés selon les résultats de la classification hiérarchique

Figure 10 Analyse factorielle des corrrespondances du tableau de contingence croisant les modalités hydrologiques et physico-chimiques observées avec les modalités d'abondance des espèces: premier plan factoriel
| PIS | - | abondance maximale de l'espèce |
| pis | - | rareté ou absence de l'espèce |
| ∇ | - | hauteur d'eau O - débits |
| 5 | - | forte valeur; 3 - valeur moyenne; 1 - faible valeur |


Figure 11 Concordance entre le rythme lunaire et les fluctuations de fréquence observées - Pollimyrus isidori, Alestes nurse; Courbe de crue de l'El Beïd

Figure 12 Partition des espèces en fonction de leur rythme moyen d'activité nycthéméral par une analyse factorielle illustrée par quatre cycles types
Discussion des structures intra-annuelles
Le principe de la pêche au boulou consiste à attendre que les poissons viennent se placer d'eux-mêmes dans l'engin sans chercher à les attirer par un appât, un leure ou une lumière. La variabilité des captures fournit donc pour une espèce donnée une bonne information sur ses rythmes d'activité. On a vu que trois rythmes fondamentaux peuvent être mis en évidence:
le rythme saisonnier qui présente pour les espèces du premier groupe toutes les caractéristiques d'une migration active: regroupement des passages des poissons d'une même espèce dans le temps et stabilité de ces passages au niveau interannuel. Ces espèces arrivent à Daga en même temps que la crue. Elles se déplacent donc dans le Yaéré à la même vitesse que le flot de débordement; ce qui signifie qu'elles suivent le réseau des drains ou du moins s'en écartent peu. Or ces espèces sont caractéristiques des peuplements de grand lac et affectionnent les eaux claires et relativement bien oxygénées;
le rythme lunaire et sa mise en évidence posent fréquemment des problèmes méthodologiques comme l'évoquent Blaxter et Halliday (1963) à propos des pêches de Clupeidae. En ce qui nous concerne les rythmes lunaires qui ressortent des traitements des données récoltées sur l'El Beïd, ils sont probablement vrais, d'une part parce que l'échantillonnage est régulier et répétitif, parce que les pêcheurs ne voient pas les poissons qu'ils capturent même en plein jour et enfin parce que les réponses des espèces aux phases lunaires sont très variées; ainsi, parmi les espèces nocturnes, B. niger est plus abondant lors de la nouvelle lune tout comme les Clarias, alors que P. isidori et Petrocephalus spp. sont plus abondants pendant le dernier quartier et B. batensoda pendant la pleine lune. De même pour les espèces diurnes A. dentex et L. senegalensis sont plus abondants pendant la pleine lune mais S. niloticus est mieux capturé pendant la nouvelle lune;
le rythme nycthéméral des poissons a été plus fréquemment observé que le rythme lunaire probablement parce que plus facile à mettre en évidence. On le trouve décrit dans la littérature par Blache et Goosen (1954), Lowe McDonnel (1964), Muller (1978), etc. D'après Muller (1978), toutes les parties d'un écosystème sont structurées aussi bien par la dimension temporelle que par la dimension spatiale. La rythmicité nycthémérale des poissons serait alors caractéristique des relations biologiques qu'il entretient avec son environnement. Pour tester cette hypothèse nous avons comparé les rythmes d'activité observés sur l'El Beïd aux rythmes d'activité alimentaire décrits par Lausanne (1969) chez les mêmes espèces dans l'archipel sud-est du lac Tchad. On trouve une bonne correspondance entre les deux bien qu'il ne s'agisse pas des mêmes milieux.
Lorsque l'on considère non pas le rythme nycthéméral moyen d'une espèce mais le rythme que l'on observe jour après jour sur les données horaires on constate certaines altérations saisonnières; ainsi H. bebe présente globalement le schéma d'activité nocturne des Mormyridae mais on observe des variations nettes selon les phases hydrologiques (Figure 13). Les quelques captures effectuées en tout début de crue, dans le lit mineur de l'El Beïd, ne montrent pas de rythme marqué. Lors de la crue, la migration se produit et l'on observe le rythme précédemment décrit mais dès l'amorce de la décrue, ce schéma disparaît à nouveau et ce très brutalement puisque le changement s'observe d'un jour à l'autre. Tout se passe alors comme si les poissons cherchaient à fuir coûte que coûte l'El Beïd dont ils ressentent l'arrivée de la décrue. Ce qui renforce l'idée d'un comportement migratoire volontaire des espèces du premier groupe.
Comme nous l'avons vu dans la présentation hydrologique de Yaéré les crues du Logone selon leur importance sont cause d'une inondation plus ou moins prolongée et couvrant une surface plus ou moins vaste. D'un point de vue comportemental ces variations sont sans influence sur les rythmes nycthéméraux, lunaires et même saisonniers pour les espèces du premier groupe. Par contre, ils ont des effets sur les rythmes saisonniers des espèces du second groupe. Les années de crue moyenne (1975–76 et 1976–77), les maximums observés sont tardifs et correspondent à la phase de décrue (Figure 9).

Figure 13 Changements du rythme d'activité nycthéméral de Hyperopisus bebe observés pour différentes phases de crue
Les espèces du second groupe sont plus facilement piégées dans les mares résiduelles du Yaéré où certaines d'entre elles constituent le peuplement résiduel de la plaine. Leur persistance s'explique par une plus grande résistance aux conditions hypoxyques comme l'ont montré leurs comportements dans le lac pendant la phase d'assèchement. Certaines comme Polypterus, Brienomyrus, Clarias, sont dotées d'adaptations respiratoires.
Quelques espèces sont connues pour être des grand migrateurs (migrations longitudinales) (B. batensoda, S. mystus) mais la majorité du second groupe est constituée de non migrateurs (migrations transversales) et vont habituellement se reproduire dans les extensions du lit majeur des fleuves.
Les années de crue faible, on observe un déplacement des modes vers la période des hautes eaux exception faite pour Schilbe mystus et Barbus spp. dont les abondances maximales correspondent toujours aux basses eaux. Alors que les espèces du premier groupe se cantonnent dans le résseau de drains, on a tout lieu de penser que les espèces du second groupe colonisent les plaines latérales moins profondes, plus instables, tant pour les conditions de température que pour les conditions d'oxygénation. Leur dévalaison dans l'El Beïd correspond à la phase de vidange de cette portion du Yaéré. Les années de faible crue, la masse d'eau d'inondation n'est pas suffisante pour inonder les plaines latérales et les espèces du second groupe sont contraintes de dévaler avec les espèces du premier (1977–78).
Les années de faible crue, la durée de l'inondation étant plus faible et surtout l'étendue et la diversité des milieux colonisables moins grande, on peut s'attendre à trouver une production globale moins bonne que les années de forte crue. L'influence de l'intensité de la crue est supposée depuis longtemps. Daget (1959) y fait allusion au sujet de Distichodus dans le delta central du Niger, cette influence est confirmée par Dansoko (1976) pour Hydrocynus brevis dans la même région. Plus récemment, Welcomme (1980) en a montré la généralité par simulation sur ordinateur.
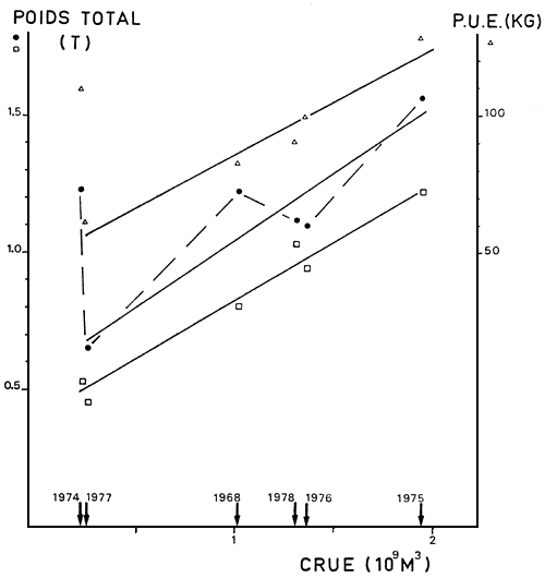
En ce qui concerne l'El Beïd la liaison entre le rendement de la pêche et la crue peut être mise en évidence par la corrélation positive entre l'indice de crue et le rendement annuel maximal. Pour préciser davantage nous avons considéré les captures totales en poids obtenues chaque année entre le 27 novembre et le 10 février. On obtient alors une relation positive dont l'ajustement devient hautement significatif lorsque l'on tient compte des décalages de l'arrivée de la crue (Figure 14). Cependant si l'on se réfère à ce qui vient d'être dit au sujet des migrations, ces comparaisons sont critiquables. En effet les années de fortes crues, le rendement maximal est obtenu au moment des migrations du seul groupe l, alors que les années de faible crue il y a superposition des passages des deux groupes; on en vient à comparer des valeurs qui ne sont pas directement comparables. Du point de vue pondéral les Sarotherodon et les Tilapia, dominent largement le deuxième groupe. En les éliminant des rendements pondérals, la comparaison redevient licite. On constate alors que le point 74 s'intègre parfaitement à la régression.
La composante du recrutement prise en considération pour établir cette dernière relation crue-recrutement correspond essentiellement aux grands migrateurs fluvio-lacustres. La réduction de l'importance de l'inondation a donc pour effet majeur la diminution d'un recrutement adapté à l'exploitation du potentiel lacustre.
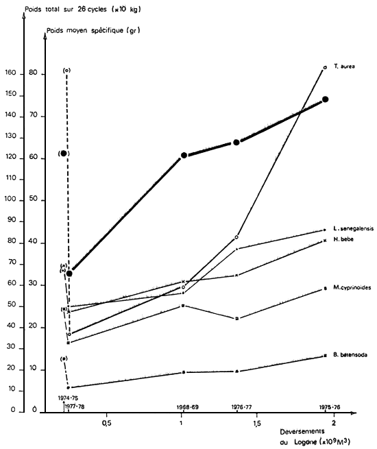
L'étude de l'influence de la crue au niveau spécifique (Figure 15) permet de constater que de nombreux migrateurs présentent un poids moyen en relation avec l'importance des déversements. Pour ces espèces on peut considérer que la première croissance effectuée dans le Yaéré est d'autant meilleure que la crue est forte. L'année 1974 présente cependant une exception. La croissance en poids observée cette année là est équivalente à ce que d'après la relation crue/poids des autres années on pourrait attendre d'une crue deux fois plus forte.
Pour les sédentaires, de telles relations apparaissent beaucoup moins nettement mais on observe que pour les crues fortes le recrutement est meilleur que pour les crues faibles. Nous en prendrons pour exemple Siluranodon auritus (Figure 16) espèce sédentaire dont on retrouve des adultes dans les mares du Yaéré pendant la saison sèche. La taille modale de ces adultes est pour les mâles de 90 mm et de 105 mm pour les femelles, l'espèce présentant un léger dimorphisme sexuel. On note la présence d'une cohorte de jeunes à la crue et pendant les hautes eaux. Le déplacement des modes indique une croissance jusqu'à la mi-décembre puis survient l'arrêt de croissance en longueur de la saison froide. Les années de forte crue, il apparaît une seconde cohorte de juvéniles. De taille inférieure à la précédente, elle persistera dans le Yaéré et donnera les adultes de l'année suivante.

Figure 14 Relation entre l'importance de la crue et l'importance des rendements potentiels sur l'El Beïd
![]() | : | captures totales entre le 27 novembre et le 10 février de chaque saison de pêche |
![]() | : | captures du seul premier groupe |
![]() | : | prises par unité d'effort maximales observées |

Figure 15 Relation entre l'importance de la crue et le poids moyen individuel de quelques espèces

SILURANODON AURITUS
Figure 16 Evolution des tailles de Siluranodon auritus pour une année de crue forte et pour une année de crue faible
Les fortes crues permettent donc une seconde période de reproduction et probablement un meilleur recrutement bien que cette idée soit difficilement quantifiable pour la période d'étude. Les différences interannuelles de recrutement en fonction de la crue sont en effet ‘polluées’ par les séquelles de la sécheresse, l'abondance des juvéniles d'une année étant fonction des conditions environnementales de l'année mais aussi de l'histoire antérieure des populations. Ainsi, après les crues faibles de 1972–73 et 1973–74, le peuplement résiduel est décimé, le milieu ayant subi un assèchement complet. Les migrateurs latéraux, moins mobiles, sont plus longs à se réinstaller que les migrateurs vrais ce qui peut être illustré par l'évolution des captures de deux petits Mormyridae, P. isidori migrateur et P. bovei non migrateur. Pollimyrus est abondant dès 1975–76 alors que P. bovei ne redevient abondant que l'année suivante. Il en est de même pour B. niger de comportement semblable.
Des phénomènes comparables sont observables pour les migrateurs. Les Schilbe, par exemple, ne se reproduisent que dans le réseau fluvial donc pas de reproduction pendant la sécheresse. En 1974–75, la reproduction est assurée par les survivants de la classe 1971–72 alors âgés de trois ans. Les deux années suivantes, le recrutement est très mauvais du fait du petit nombre de reproducteurs disponibles. Le recrutement ne reprend, assez faiblement d'ailleurs qu'en 1977–78, la crue étant mauvaise. Il atteint 3,1 pour cent des captures l'année suivante. Les effets de la sécheresse sont encore plus nets pour Citharinus citharus dont il est probable que les stocks lacustres ont été fortement touchés. L'évolution des captures de juvéniles montre que la reconstitution de ces stocks est très lente.
En résumé, l'étude de l'évolution interannuelle montre que l'influence de la crue est déterminante tant sur la croissance pondérale des jeunes migrateurs du premier groupe que sur la production globale de la pêche sur l'El Beïd. L'influence de la crue se fait également sentir sur la composition qualitative du recrutement des espèces sédentaires, elle influe probablement sur le nombre de juvéniles bien que les influences de la sécheresse ne permettent pas de faire apparaître cette relation pour la période étudiée.
Au niveau du Yaéré, les séquelles essentielles de la sécheresse sont l'accroissement de la production en 1974–75 du fait de l'accumulation de substances nutritives dans la plaine pendant deux ans ainsi qu'un bouleversement de la composition spécifique des peuplements tant pour les espèces pérennes dont les stocks résidents ont été détruits, que pour les stocks de migrateurs lacustres.
L'exemple que nous venons de présenter n'a pour but que d'illustrer l'intérêt heuristique d'une approche synécologique qui, avec des moyens d'échantillonnage comparables à ceux nécessaires aux études monospécifiques a permis en quatre saisons de pêche de préciser, à différentes échelles de temps (nycthémérale, lunaire, annuelle et pluriannuelle), la structure d'un peuplement exploité, compte tenu des influences de la sécheresse et des crues du Logone.
L'approche synécologique est sans doute la mieux adaptée à l'étude des problèmes halieutiques, que ceux-ci aient pour cadre l'estimation des impacts d'un aménagement de bassin ou la simple mise en valeur d'une pêcherie et ce pour deux raisons essentielles:
une pêcherie continentale n'exploite pratiquement jamais un stock monospécifique mais bien les phases disponibles des différents stocks présents. La gestion rationnelle d'une pêcherie nécessite donc de connaître les caractéristiques du peuplement;
d'expérience, il s'avère dangereux de résumer un peuplement, et a fortiori son évolution, par l'étude de l'espèce ou des quelques espèces les plus capturées, dès lors que l'écosystème qui intègre ce peuplement est naturellement instable (écosystème tchadien) ou destiné à être modifié par l'homme (aménagement de bassin, etc.).
Il est bien évident que de nombreux progrès sont encore nécessaires tant au niveau du choix des engins et des techniques d'échantillonnage qu'au niveau de la conception du plan expérimental et du choix des outils statistiques souvent peu familiers des biologistes. Il faut donc souhaiter que les progrès technologiques et en particulier une meilleure répartition de l'outil informatique permette à un plus grand nombre d'aborder l'étude des pêcheries continentales et des peuplements qu'elles ont pour cible sous cet aspect multispécifique.
Durand, J.R., 1970 Les peuplements ichtyologiques de l'El Beïd, lère note. Présentation du milieu et résultats généraux. Cah.ORSTOM (Sér.Hydrobiol.), 4(1):3–26
Durand, J.R., 1971 Les peuplements ichtyologiques de l'El Beïd, 2ème note. Variations inter et intra-spécifiques. Cah.ORSTOM (Sér.Hydrobiol.), 2:147–59
Jambu, M. et M.O. Lebeaux, 1978 Classification automatique pour l'analyse des données. Tome 1. Méthodes et algorithmes. Tome 2. Logiciels. Paris, Dunod, vol.1:310 p., vol.2:399 p.
Lebart, L. et J.P. Fenelon, 1971 Statistique et informatique appliquées. Paris, Dunod, 426 p.
Welcomme, R.L., 1979 Fisheries ecology of floodplain rivers. London, Longman, 317 p.
by
J.L. Turner
Project Manager
Fishery Expansion Project
Nkhata Bay, Malawi
Abstract |
| Several multispecies fisheries, when many species are caught at the same time, were selected for study to determine their potential yield and to monitor changes in species composition. The potential yield was estimated by applying a surplus production model to the entire catch of all species. The relationship between catch per effort and effort was both highly significant and linear for the fisheries studied. A shift from large to small species occurred in each fishery with the amount of the change dependent on the mesh size of the fishing gear. The yield from exploitation at similar levels of effort remained fairly constant even with extensive changes in species composition. These changes occurred in the early stages of exploitation with apparent little regard to the level of effort. |
Résumé |
| Un certain nombre de pêcheries pratiquant simultanément la pêche de plusieurs espèces différentes ont été sélectionnées en vue d'étudier leur potentiel productif et de surveiller les modifications dans la composition spécifique des stocks. On a calculé le rendement potentiel en appliquant un coefficient de majoration uniforme à l'ensemble des prises pour toutes les espèces. La corrélation entre les prises par effort et l'effort de pêche était à la fois hautement significative et linéaire pour toutes les pêcheries étudiées. On a pu constater pour chaque pêcherie un accroissement relatif de la proportion des petites espèces par rapport aux grandes, ce phénomène étant plus ou moins accentué selon la dimension des mailles des filets employés. Le rendement de l'exploitation pour un effort de pêche comparable reste plus ou moins constant même lorsqu'on enregistre des changements considérables dans la composition spécifique. Ces modifications interviennent aux premiers stades de l'exploitation et ont apparemment peu de rapport avec l'intensité de l'effort de pêche. |
Fisheries in the past have been concerned primarily with a single or a few species of fish. Stock assessment models on fish population dynamics have been built on the analysis of a single species. Present day fisheries are increasingly more concerned with many species of fish. This paper attempts to determine the potential yield and monitor the response of some multispecies fisheries where many species are caught in the same fishery.
Several multispecies fisheries were examined in order to select fisheries which: (1) were relatively free from the stresses of pollution and/or eutrophication; (2) were fished with a minimum of types of gear; (3) maintained good catch and effort records by individual species over a long period, and (4) had a relatively stable environment. Four fisheries were found to have these characteristics: Great Slave Lake, Canada; Red Lakes, Minnesota, USA; Lake Malawi, Malawi; and Lake Victoria, Tanzania. The fishery in Lake Malawi is a bottom trawl fishery; the rest are primarily gillnet fisheries.
One approach in estimating the yield in a multispecies fishery is to treat the entire catch as a single unit and apply a surplus production model such as is done in the Gulf of Thailand (Gulland, 1972) and the African Great Lakes (Turner, 1977, 1977a; Turner and Herman, 1977; Turner, 1978). Gulland's model was used where catch per effort in one year is plotted against the average effort over several years. A two-year period was used for these fisheries.
Total catch and effort data were obtained for Lake Victoria from 1963 to 1973 (Kudhongania, 1972; Tanzania, 1971), Lake Malawi from 1968 to 1975 (Turner, 1977), Great Slave Lake from 1945 to 1964 (Keleher, 1972), and Red Lakes from 1940 to 1969 (Heyerdahl and Smith, 1971). Catch per effort data for individual species were obtained from the same references except for Red Lakes where the data for individual species were available from 1930 to 1953 (Smith and Krefting, 1953).
The change in abundance of individual species was determined by fitting a linear trend line by the method of least squares to the annual catch per effort for each species over the years of the fishery. A ratio of change for each species was obtained by dividing the calculated catch per effort of the last year of data by the first year.
A fish is caught in the mesh of a gear primarily by its maximum body girth, the value of which is generally unavailable. A comparable measure of maximum body girth can be obtained by multiplying the length of the largest specimen of a species caught by the percent of body depth contained in the length which I have termed maximum body depth. A measure of the percent of body depth contained in the length is usually available. Maximum lengths and body depths were obtained from Lake Victoria from Greenwood (1966), for Lake Malawi from D. Eccles (pers. comm.), for Red Lakes from Carlander (1969), and for Great Salve Lake from Scott and Crossman (1973) and Keleher (1972a).
Great Salve Lake is 27 195 km2 in area and located in the Canadian Northwest Territories. Commercial fishing started in the early 1940s. The catch data are recorded for the entire lake. A minimum of 25 species of fish occur in the lake but only five species are recorded in the commercial catch records. Commercial fishing is conducted with gillnets during both a summer season and a winter, or ‘under the ice’ season. Catch data are available for both seasons but measures of fishing effort are only available for the summer fishery. Total effort was estimated by multiplying the summer effort by the ratio of total to summer catch. This ratio is quite constant except for the first four years of the fishery. The legal mesh size for the commercial gillnets have always been 5 ½ in (13.9 cm) stretched mesh. Keleher (1972) provides greater detail on the fishery.
The Red Lakes are found in northern Minnesota with an area of 1 145 km2. They are two oval basins connected by a narrow channel. The Red Lake Band of Chippewa Indians have the exclusive right to the commercial fishery. Eight of the 38 species of fish reported from the lakes are harvested commercially. The fishery uses gillnets with a legal mesh of 3 ½ in (8.9 cm) stretched mesh. Catch data cover the entire lake. Numerous studies are available on the biology of the fish species and the commercial fisheries; the latest being by Heyerdahl and Smith (1971).
Lake Malawi is a rift valley lake in the southern part of Africa covering an area of 30 800 km. The commercial fishery discussed in this paper is a bottom trawl fishery in the extreme southern tip of the lake. Over 160 species of fish are taken in the catch, but only the more common species were included in the analysis. Trawlers in the southern end of the Southeast arm (area A) have fished only with a 25-mm stretched mesh cod end, while trawlers in the central region of the Southeast arm (area B) have used only a 38-mm stretched mesh cod end.
Lake Victoria is 68 800 km2 in size and located in east central Africa. The fishery discussed is primarily a gillnet fishery located around the edge of the lake in Tanzanian waters. A number of species of fish are caught from several families of fish. The mesh size of the gillnets has been decreasing over time with an average stretched mesh of 9.1 cm in 1970 (Tanzania, Annual Report, Fisheries Division, 1971).
The catch per effort of the entire catch of all species in one year was plotted against the average effort for that year and the previous year. The results are highly significant and show a linear relationship for all four fisheries (Figure 1). The early catch data for Great Slave Lake (six data points on the left) shows the greatest variability, probably due to improving techniques for the new fishery, as well as expansion into all areas of the lake.
If catch per unit effort (cpue) and fishing effort (E) are linearly related (cpue = a + bE), then the maximum yield is equal to a2/4b and the optimum level of fishing effort is equal to a/2b (Ricker, 1975). Estimated yield and optimum units of fishing effort for the four fisheries are calculated in Table 1.
Gulland's model was initially applied to the catch and effort data for individual species, some of which fit the model quite well but others do not. Some of the differences appeared related to the size of the particular species. Therefore I plotted the ratio of changes in abundance of the individual species against their maximum body depth to examine the relationship (Figure 2). All are significantly related with an increase in abundance of the smaller species and decrease in abundance of the larger ones.
A comparison was then made of the calculated body depth at which there was theoretically no change in abundance of a species and the stretch mesh of the various fishing gears. As previously mentioned, all the fisheries have used the same mesh size throughout except for Lake Victoria where the average mesh size in 1971 was 9.1 cm with 25 percent of gear with the mesh size less than 5.1 cm. The relationship is significant for all the fisheries with the changes in abundance of individual species being related to the stretched mesh size used in the fishery (Figure 3).
An attempt was made to determine the period of time when the major change in species composition occurred. This was done by calculating the slope of the ratio of changes in abundance of all individual species against their maximum body depth for the first four years, the second to fifth year and so on until all the years were covered. This rate of change was plotted over time (Figure 4). In addition, the level of fishing effort for each fishery was calculated as a percent of maximum effort; the maximum effort being determined by extrapolation of the relationship to the effort axis (Figure 1). The optimum level of effort, if catch per unit effort and fishing effort are linearly related, would be at 50 percent of the maximum effort.
The relationship between species change and amount of effort is highly variable for the fisheries (Figure 4). Species change in Lake Malawi appears to be a delayed effect with major species change following maximum level of effort by three years. The level of effort and species change parallel one another in the Red Lakes whereas in Lake Victoria and Great Slave Lake it is a negative relationship.
Major rates of species change occur rather early in all the fisheries from year 3 to year 7 despite the level of fishing effort (Figure 4). The optimum level of effort was exceeded very early for both Lake Malawi and Red Lakes. However, the optimum level was not reached until year 8 in Lake Victoria and in year 10 in Great Slave Lake.
Unfortunately, catch and effort data by species were available only from the start of fisheries in Lake Malawi and Great Slave Lake. Both of the other lakes were fished for some time before this type of data collection was started.

Figure 1 Relationship between effort units and catch per unit effort for total catch of several multispecies fisheries. Effort units are trawler days for Lake Malawi, number of canoes for Lake Victoria, net nights for Great Slave Lake and net lifts for Red Lakes. Catch per effort is metric tons per effort unit for each fishery
Table 1
Estimated optimum units of fishing effort and maximum
yield for various multispecies fisheries
Y = catch per unit effort and
X = effort units
| Lake | Fishery | Equation | Optimum Effort | Optimum Yield (t) |
| Malawi | Trawl Fishery (area A) | Y = 5.5 - .0054 X | 500 trawler days | 1 400 |
| Victora | Gillnet fishery (Tanzanian waters) | Y = 38.7 - .0070 X | 2 800 canoes | 53 000 |
| Great Slave | Gillnet fishery | Y = 0.054 - .208-6 X | 130 800 net nights | 3 600 |
| Red | Gillnet fishery | Y = 0.108 - .501-5 X | 10 900 lifts | 600 |
The change in species composition from large to small is undoubtedly due to selectivity of the particular gear. Most, but certainly not all, of the selectivity is due to the body girth of the fish. Other factors being equal, all species would be caught at the same body girth and since large species reach sexual maturity at a larger size, they are caught at a younger age. The number of fish that reach maturity is less and the breeding stock is reduced so as to effect recruitment with a corresponding decline in the population of that species. Factors other than body girth such as spines, fins and scales also effect the catchability of certain species which may account for some of the variability observed in the species change-body depth relationship.
The yield from exploitation at similar levels of effort remains fairly constant, allowing for some time adjustment, even with a very extensive change in species composition in a large multispecies fishery. The large and long-lived species are too heavily fished but small and short-lived species are underexploited. In general, small species tend to have higher natural mortality and growth rates; both factors which suggest a higher turn-over rate and higher yield. Smaller species may occupy lower trophic levels with corresponding higher yield. However in Africa there are a number of large fish species which occupy lower trophic levels.
The loss of over 20 percent of the species in the heavily trawled area of Lake Malawi did not appear to have affected either the catch per effort or the size of the commercial trawl catch (Turner, 1977). However over 160 species were recorded in this fishery. In some fisheries, the loss of only a few or even one species could result in a reduction of yield if the remaining species fail to utilize all the available food niches.
A decrease in total yield would occur also if the primary production is directed into non-harvestable species unavailable as food or into species too small or elusive to be captured. Regier and Henderson (1973), Regier and Loftus (1972), and Regier (1973) felt that the stresses of excess fishing and/or pollution work to force fish communities toward dominance by smaller, more pelagic and short-lived species.
The quality of fish caught may obviously be more important than the quantity taken. Regier (1973) demonstrated that small species generally have a lower market value per unit biomass than larger species. This is not a major problem in some of the developing countries where the quantity of fish tends to be of major importance.
Catch and effort data have been collected for a number of years for some African fisheries, but unfortunately have not always been used to assess the status of the fish stocks. Part of the problem is due to the lack of knowledge as to how to process the information. Sometimes the information is collected for studies of fish marketing and distribution but ignored for stock assessment purposes.

Figure 2 Changes in species abundance over time as related to maximum body depth. Points represent individual species. L = last year of calculated catch per effort and F = first year. Correlation coefficient in lower left corner

Figure 3 Estimated body depth where no change in abundance of a species occurs and the stretch mesh of the various fishing gears

Figure 4 Rate of change in abundance of individual species as related to their maximum body depth and annual percentage of maximum effort over time for the various multispecies fisheries. The straight dotted line represents a zero rate of species change
Another common problem arises when the fishery biologist lacks confidence in the data collected and immediately sends out to sample the size of the fish stock himself. This approach is difficult for several reasons: (1) it is a very expensive way to collect information in terms of boats, gear and manpower; (2) the sample size is extremely small compared to the sample collected by the entire fishery; (3) you need a time series of data over a number of years and, (4) many times a biologist does not start the study until after a problem has occurred, generally due to excessive fishing.
Carlander, K.D., 1969 Handbook of freshwater fishery biology. Ames, Iowa State Press, 751 p.
Greenwood, P.H., 1966 The fishes of Uganda. Kampala, The Uganda Society, 131 p.
Gulland, J.A., 1969 Manual of methods for fish stock assessment. Part 1. Fish population analysis. FAO Man.Fish.Sci., (4):1–154
Gulland, J.A., 1972 Some notes on the demersal resources of Southeast Asia. Proc.IPFC, 13(3): 51–60
Heyerdahl, E.G. and L.L. Smith, 1971 Annual catch of yellow perch from Red Lakes, Minnesota, in relation to growth rate and fishing effort. Tech.Bull.Minn.Univ.Agric.Exp.Stn., (285):51 p.
Keleher, J.J., 1972 Great Slave Lake: effects of exploitation on the salmonid community. J.Fish.Res.Board Can., 29(6):741–53
Keleher, J.J., 1972a Supplementary information regarding exploitation of Great Slave Lake salmonid community. Tech.Rep.Fish.Res.Board Can., (298)
Kudhongania, W.A., 1972 Past trends and recent research on the fisheries of Lake Victoria in relation to possible further developments. Afr.J.Trop.Hydrobiol.Fish., 2:93–106
Regier, H.A., 1973 Sequence of exploitation of stocks in multispecies fisheries in the Laurentian Great Lakes. J.Fish.Res.Board Can., 30(12)Pt.2:1972–9
Regier, H.A. and H.F. Henderson, 1973 Towards an ecological model of fish communities and fisheries. Trans.Am.Fish.Soc., 102:56–72
Regier, H.A. and K.H. Loftus, 1972 Effects of fisheries exploitation on salmonid communities in oligotrophic lakes. J.Fish.Res.Board Can., 29(6):959–68
Ricker, W.E., 1975 Computation and interpretation of biological statistics of fish populations. Bull.Fish.Res.Board Can., (119):382 p.
Scott, W.B., and E.J. Crossman, 1973 Freshwater fishes of Canada. Bull.Fish.Res.Board Can., (184):966 p.
Smith, L.L. and L.W. Krefting, 1953 Fluctuations in production and abundance of commercial species in the Red Lakes, Minnesota, with special reference to changes in the walleye population. Trans.Am.Fish.Soc., 83:131–60
Tanzania, 1971 Ministry of Natural Resources and Tourism, Fisheries Division, Annual report, 1971. Dar-es-Salaam, Ministry of Natural Resources and Tourism
Turner, J.L., 1977 Some effects of demersal trawling at the southern end of Lake Malawi (Lake Nyasa) from 1968 to 1974. J.Fish Biol., 10:261–71
Turner, J.L., 1977a Changes in the size structure of chichlid populations of Lake Malawi resulting from bottom trawling. J.Fish.Res.Board Can., 34(2):232–8
Turner, J.L., 1978 Status of various multispecies fisheries of lakes Victoria, Tanganyika and Malawi based on catch and effort data. CIFA Tech.Pap., (5):4–15
Turner, J.L. and C. Herman, 1977 Status of the pelagic fishery of Lake Tanganyika (Burundi) based on catch and effort data. A report prepared for the Burundi Fishery Research on Lake Tanganyika Project. Rome, FAO, FI:DP/BDI/73/020/14:7 p.