La cachama Colossama macropomum, pertenece a la subfamilia Serrasalminae, la cual incluye peces caracoideos ampliamente conocidos en América del Sur, siendo abundante en las cuencas de los ríos Amazonas, Paraná-Paraguay y Orinoco (Machado-Allison, 1982). En la foto 1 se encuentra la descripción taxonómica de la especie utilizada en este estudio. Esta especie tiene un cuerpo alto romboidal y presenta un crecimiento rápido, alcanzando aproximadamente 1 kg. de peso al cabo del primer año, 2.5 en el segundo y de 5 a 7 kg durante el tercer año de vida, momento este en el que alcanza la madurez sexual.
En la especie Colossoma macropomum, existen patrones definidos de coloración en el cuerpo, así en los ejemplares juveniles se presenta en el cuerpo manchas redondeadas u ovaladas, distinguiéndose las aletas pectorales y las pélvicas incoloras en ejemplares pequeños, las aletas pectorales, anal y pélvicas negras en juveniles mayores de 100 mm de largo estándar y muy oscuras o negras en adultos.
Presenta el cuerpo con la región ventral y ventro lateral oscura o negra y la región dorsal cobriza o plomizo uniforme en adultos y juveniles grandes (Machado-Allison, 1982).
Así, se puede observar igualmente en la foto 1 que los ejemplares cultivados presentan una coloración oscura casi negra con la presencia de abundantes escamas, factores que pueden influir tanto en la comercialización como en los procedimientos tecnológicos.
En cuanto a las escamas son típicas cicloideas en juveniles, modificándose en adultos con procesos espinosos en su borde posterior, se observan escamas suplementarias cubriendo las principales. Una de las características que distingue a la especie C. macropomum de las otras pertenecientes al género Colossoma, es la presencia de la aleta adiposa más desarrollada con radios osificados a partir de ejemplares de 65 mm de largo estándar.
Colossoma macropomum, presenta una distribución de los huesos característica de las especies Osteorifains (foto 2), es importante señalar que todas las especies pertenecientes a la sub-familia Serrasalminae: cachama, caribe, palometa y otras, presentan espinas intermusculares en forma de horquilla que ayudan a soportar el tejido natural, por lo que sirven como una maya de soporte (foto 3).
Estas características óseas de la especie aunque son de gran importancia para la anatomía del animal presentan serios inconvenientes durante su procesamiento tecnológico y consumo directo ya que las espinas en forma de horquilla presentan un riesgo para el consumidor, así mismo presenta una columna vertebral con una gran irrigación sanguínea, lo que trae como consecuencia problemas de estabilidad durante el almacenamiento por la presencia de compuestos hemo que son agentes prooxidantes.
Igualmente, la cachama es un animal considerado de cabeza grande (foto 4) ya que presenta una serie opercular bastante desarrollada. (figura 2) trayendo esto como consecuencia la reducción de la parte comestible por presentar las especies con estas características bajos rendimientos de la porción comestible con respecto al peso total. Así mismo, en la foto 4 se observa claramente la gran cavidad visceral que presenta esta especie siendo este factor igualmente limitante para diversos procesos tecnológicos que serán descritos posteriormente.
La caracterización de una especie en particular, resulta de gran interés cuando se comienza una investigación sobre la misma. De esta manera, se conocerán las características importantes que pueden ser claves para la iniciación de otros caminos sobre la misma investigación.
Desde 1976 se han venido realizando estudios concernientes a la cachama, los cuales han sido dirigidos hacia aspectos de gran relevancia como lo es la inducción de su reproducción en cautiverio, alimentación, diferentes factores que implican un aumento de su productividad, etc. habiéndose obtenido, hasta los momentos, excelentes logros en las diferentes investigaciones llevadas a cabo sobre la especie en cuestión. Sin embargo, poco se ha investigado sobre su utilización y el aspecto tecnológico, que es de suma importancia, ya que se podría lograr una comercialización adecuada para una especie autóctona cuya producción puede llegar a ser muy alta en Venezuela.

Fotografía 1. Ejemplar de cachama (Colossoma macropomum)
Orden: Cyprinformes.
Familia: Characidae.
Sub-familia: Serrasalmiae.
Género: Colossoma.
Especies: Colossoma macroporum.
Nombre común: Cachama.

Fotografía 2. Estructura ósea de la cachama (Colossoma macropomum).

Fotografía 3. Espinas intermusculares de cachama (Colossoma macropomum) presentes en el músculo.

Fotografía 4. Cabeza de cachama (Colossoma macropomum).

FIG: 2. Detalle diagramático del hueso opercular de Colossamay Piaractus mostrando diferencias morfológicas.
A: Piaractus B: Colossoma
Fuente: Machado-Allison (1982).
En la tabla 3 se encuentran representados los valores promedios de talla, peso, y altura de los ejemplares estudiados para cada categoría, así como también el rango, la desviación estándar. Es posible notar, en general, que existe mayor homogeneidad en los valores de pesos para las tres categorías, información suministrada por los bajos valores en la desviación estándar. Por otra parte se observa una cierta homogeneidad en los valores de talla, y altura para tres categorías lo que nos indica que este parámetro puede variar en ejemplares de un mismo peso. Sin embargo, existe una relación entre parámetros talla, peso y altura a medida que aumenta el tamaño del animal pudiendo relacionarse con el tiempo de cultivo.
La tabla 4 presenta los valores porcentuales promedios(con respecto al peso total) de cabeza, vísceras, piel y huesos y porción comestible de los ejemplares pequeños, medianos y grandes.
En general, se observa que existe poca variación en los resultados de cada una de las partes estudiadas en los tres tamaños. El análisis de varianza realizado con un nivel de confianza de 95%, indica que no existe diferencia significativa en cuanto al porcentaje de la cabeza, vísceras, piel y huesos y porción comestible para las tres categorías estudiadas.
Como los ejemplares de cachama en estudio, son producto de cultivos intensivos, de allí que los resultados obtenidos sean importantes, ya que se podría planificar la captura de los animales en un momento determinado, es decir, hasta que alcancen un tamaño adecuado y no continuar el crecimiento para evitar gastos innecesarios en alimentos, horas de trabajo y así se podría aumentar la producción, debido a la reducción en el tiempo de captura.
Esto básicamente se plantea por los resultados obtenidos con relación al rendimiento de la porción comestible, en el cual, se observa que no existe diferencias significativas para los tres tamaños. Este rendimiento se considera bastante aceptable, comparado por ejemplo por el encontrado por Thurston y col. (1959), donde el rendimiento para especies cuyo tamaño oscila entre 915 – 3,795 g, estaba dentro del rango de 23.6 a 35.3%. Sin embargo, el parámetro rendimiento en filetes o parte comestible, está muy relacionado con la anatomía del pescado. Se ha encontrado que pescados con grandes cabezas y con gran masa visceral relativa al músculo, producen bajos rendimientos.
| CARACTERISTICAS/CATEGORIA | TALLA | PESO | ALTURA | ||||||
| RANGO | X | S | RANGO | X | S | RANGO | X | S | |
| Pequeño | 36.5–40.0 | 38.44 | 1.00 | 1.35–1,55 | 1.47 | 0.19 | 16–17 | 16.38 | 0.42 |
| Mediano | 41.0–46.0 | 43.50 | 1.73 | 1.70–2.55 | 2.05 | 0.28 | 19–22 | 20.55 | 1.30 |
| Grande | 50.0–53.0 | 51.60 | 1.04 | 3.20–3,75 | 3.44 | 0.24 | 23–24 | 23.66 | 0.47 |
X= media
S= desviación estándar
La cachama es considerado un pescado de cabeza grande, presentando la serie opercular bastante desarrollada, lo que implica que al hacer el corte en forma recta, se incluya una porción de la parte comestible (foto 4), por esta razón se observan tan altos valores en el porcentaje de cabeza con respecto al peso total. A pesar de esto, se encontró que el rendimiento de la porción comestible fue bastante satisfactorio.
| DETERMINACION /CATEGORIA | CABEZA (%) | VISCERAS (%) | PIEL + HUESOS (%) | PORCION COMESTIBLE (%) |
| Pequeño | 23.71 | 10.78 | 25.10 | 37.23 |
| Mediano | 23.97 | 10.09 | 25.35 | 37.54 |
| Grande | 23.39 | 10.95 | 25.50 | 38.96 |
Generalmente el peso del filete representa cerca de una tercera parte del peso total, sin embargo, observamos que la porción comestible en la cachama representa, en todos los casos, un poco más de este valor. Esto puede ser debido a que esta especie desarrolla una gran musculatura, justamente por su condición migratoria, que aunque los ejemplares en estudio viven en tanques, esta característica es transmitida genéticamente. Por otra parte, esta especie presenta una estructura ósea bastante fuerte, lo que hace pensar que esto sea una consecuencia de la gran musculatura con el fin de poderle servir como base y soporte de la misma.
Los resultados de la tabla 4, nos indican que no es necesario que los ejemplares alcancen grandes tamaños en las lagunas piscícolas para obtener mayor cantidad de carne, por el contrario podrían surgir otros problemas, tanto económicos como tecnológicos, cuando se tienen ejemplares cultivados de gran tamaño. A medida que se continué el desarrollo de la discusión, se irán planteando los diferentes problemas presentados.
El conocimento de la composición proximal de una determinada especie de pescado, resulta un factor de gran importancia cuando se quiere realizar una caracterización de la misma.
Se ha encontrado que la composición química de los pescados varía bastante de especie a especie, aunque también es común encontrar variaciones entre pescados de la misma especie, lo cual se cree que es debido a factores tales como la estación del año en que es capturado, área geográfica, edad, sexo y otras causas no identificadas (Stansby, 1954).
La tabla 5 agrupa los resultados obtenidos de la composición físico-química del músculo de la cachama en los tres tamaños estudiados.
La composición proximal de la especie para los tres tamaños, varia principalmente con el contenido de humedad y en el contenido de grasa, debido a que estos componentes varían inveramente uno con el otro.
Los valores de humedad: 81.39%; 79.39% y 73.71% para pequeño, mediano y grande respectivamente, están dentro de los valores normales que se han encontrado para pescados de agua dulce, por otros autores (Thurston y col., 1959; Pawar y Magar, 1966; Kinsella y col., 1977; González, 1980; Torrealba, 1980; Premoli, 1986; Afolabi y col., 1984 y otros).
La proteína de las muestras de cachama presentaron valores de 17.42%; 17.80% y 18.11% para pequeño, mediano y grande, respectivamente, estos valores están bastante cercanos al rango en el contenido de proteínas que exponen Thurston y col. (1959), en su trabajo sobre la composición química de algunas especies de agua dulce. Estos autores explican que en general, el rango en el porcentaje de proteínas para pescados de agua dulce, esta entre 16 y 19% con una media de 17%, pero sin embargo existen excepciones encontrando valores hasta de 22.8%., así como también valores bastante bajos de este parámetro.
| CATEGORIA/DETERMINACION | PEQUEÑO | MEDIANO | GRANDE |
| Humedad (%) | 81.300 | 79.390 | 73.710 |
| Proteína (%) | 17.420 | 17.800 | 18.110 |
| Grasa (%) | 0.480 | 1.310 | 7.060 |
| Cenizas (%) | 1.030 | 1.250 | 1.200 |
| pH | 6.400 | 6.400 | 6.500 |
| TBA (D.O.) | 0.045 | 0.036 | 0.036 |
| NBV (mg/100g) | 7.700 | 6.300 | 5.600 |
Igualmente Kinsella y col. (1977), al realizar un estudio sobre la composición proximal de algunas especies de agua dulce, indican que el porcentaje de proteína encontrado esta dentro de un rango estrecho, desde 17 a 21.3%, pero que el valor más frecuente encontrado es de 19%.
Los valores de ceniza concuerdan con diferentes trabajos consultados en la bibliografía. Kinsella y col. (1977), encuentran que los valores de ceniza varían desde 1.0 a 1.3 en todas las especies de agua dulce estudiadas. Por otra parte, al analizar 21 especies de agua dulce, Thurston y col. (1959), encuentran que los valores de ceniza varín desde 0.9 hasta 1.3.
La grasa, sin embargo, merece una atención particular, ya que se observa claramente la gran variación existente en las tres categorías estudiadas. Se evidencia que a medida que la cantidad de grasa aumenta, el contenido de humedad disminuye, en general el contenido de grasa y humedad varían inversamente uno con el otro, encontrándose que los pescados considerados grasos contienen una humedad relativamente baja. Así, se ha encontrado que especies de agua dulce como el coporo contienen un bajo porcentaje de humedad (74%) y un 6.78% de grasa (González, 1980); la trucha de lago, también de agua dulce, contiene una humedad de 70.8% y un contenido de grasa de 9.3% (Thurston y col., 1959).
La variación en el contenido de grasa, tanto de una especie a otra, como la existente en ejemplares de la misma especie, generalmente es explicada por diferentes causas: época de captura, edad, sexo, área geográfica, (Stansby, 1954) y alimentación (Ramachandran y Gopakumar, 1981).
En nuestro caso en particular, los ejemplares usados son criados en estanques y su reproducción es inducida. De allí, que la razón primordial del aumento de grasa, es debido a la alimentación que se les suministra. Para los ejemplares usados en este primer estudio, la alimentación fue básicamente a base de “cachamarina”. Este es un alimento especial para cachama, que hasta los momentos todavía esta en estudio. En un evento anual realizado en San Carlos (1983), sobre pescados de agua dulce, se trato del problema de la acumulación de grasa en las cachamas cultivadas y su vínculo con el alimento que se les suministra. Actualmente se esta llevando a cabo, en diferentes instituciones del país, estudios sobre alimentos para cachama.
Por otra parte, se observa que los ejemplares grandes son los que presentan un alto contenido de grasa, lo que hace pensar que en determinado momento los animales ya no utilizan el alimento para la formación del músculo y metabolismo, sino que lo almacena en forma de grasa.
Como se ha explicado anteriormente, la especie estudiada es de costumbre migratoria, cuya característica es transmitida genéticamente, sin embargo los ejemplares utilizados son criados en cautiverio, por lo que su movimiento es sumamente restringido, lo cual podría ser un factor determinante en la acumulación de la grasa, debido a que gastan muy poca energía durante el período que permanecen en las lagunas antes de ser capturados, pudiendo ser conveniente la adecuación de las lagunas en este sentido, es decir, probar el cultivo de cachamas en lagunas con mayor movimiento del agua, lo cual sería un motivo de estudio para personas vinculadas a este tipo de trabajo de ingeniería hidráulica.
Durante la realización de este trabajo, se pudo constatar, que los ejemplares mayores de 3.0 Kg, presentaban acumulaciones considerables de grasa en la cavidad visceral y se notaba claramente la grasa inserta en los músculos, es decir, grasa intermuscular. Igualmente, Castell, (1971), realizó un estudio en el cual encontró que pescados tales como arenque, caballa y atún, presentaban sus depósitos de grasa esparcidos en el músculo, mientras que en los pescados magros, tales como bacalao y “haddock”, la mayoría de los lípidos son almacenados en el hígado.
La acumulación de grasa en la cachama podría ser un factor problema en el aprovechamiento tecnológico de esta especie, principalmente durante el almacenamiento por congelación, ya que esto traería problemas de rancidez, cambios de coloración de la carne, olores objetables, etc.
Ackman (1980), indica que la importancia del mecanismo de la deterioración del pescado congelado es determinado principalmente por el tipo y disposición de los lípidos en este. Las especies grasas están más sujetas a la oxidación y por lo tanto los mecanismos de descomposición, comienzan aún a bajas temperaturas de almacenamiento.
Los cambios objetables que ocurren durante el almacenamiento, debido a la presencia de grasas, son factores que limitan la comercialización.
Los valores obtenidos de pH, TBA y NBV, nos indican el estado de frescura en que se encontraban los ejemplares usados en este estudio. Así por ejemplo, Connell (1978), indica que los valores de pH cercanos a 6.5 ó menores, implican que el pescado se encuentra en estado fresco. Igualmente Premoli (1986), encuentra valores de pH de 6.4 para pescado con un alto grado de frescura.
De la misma manera, los valores de TBA, indican un incipiente grado de deterioro en lo que se refiere a la rancidez oxidativa, ya que se considera deteriorado un pescado cuando presenta valores de TBA de 4 mg/Kg (Sinhuber y Yu, 1958), lo cual resulta de multiplicar el valor de D.O. por el factor de 7.8, encontrándose en nuestro caso que ninguna de las categorías sobrepasaba 0.5 mg/Kg. Igualmente los valores de NBV revelan las características de frescura de las muestras. Los valores obtenidos han sido reportados bajos según el criterio de algunos autores (Connell, 1978).
Estos resultados, nos indican que estas muestras pueden ser sometidas a diferentes procesos tecnológicos y a un almacenamiento, el cual de acuerdo a su calidad inicial, puede ser prolongado.
Debido a la variabilidad presentada en el contenido de grasa en los ejemplares de cachama de las tres categorías estudiadas, se hace necesario la determinación del contenido de los ácidos grasos constituyentes y su cuantificación.
Los ácidos grasos más importantes encontrados en el músculo de cachama para las tres categorías estudiadas, se encuentran reportados en la tabla 6.
En general el ácido palmítico (16:0), resultó ser el ácido graso saturado predominante. Este resultado es común encontrarlo en los diferentes trabajos donde se cuantifican los ácidos grasos tanto de pescados marinos como de agua dulce (Kinsella y col., 1977; Gil. 1983; Rodríguez, 1983). Por otra parte, Ackman (1966), también encuentra una alta proporción de este ácido graso, indicando que el 16:0 es el principal metabolito en el pescado y que su nivel no está influenciado por la dieta.
| ACIDO GRASO (%) | PEQUEÑO | MEDIANO | GRANDE |
| 16:0 | 27.85 | 30.11 | 30.11 |
| 16:1 | 1.25 | 2.78 | 0.61 |
| 18:0 | 7.78 | 7.34 | 4.44 |
| 18:1 | 31.30 | 36.49 | 39.18 |
| 18:2 | 19.69 | 18.46 | 19.46 |
| 20:4,W6 | 6.40 | 3.47 | 3.50 |
| 20:5,W3 | 2.12 | ---- | 1.02 |
| 20:6,W3 | 3.59 | 1.33 | 1.58 |
| % Saturados | 35.63 | 37.45 | 34.64 |
| % Monoinsatuados | 32.55 | 39.27 | 39.79 |
| % Polinsaturados | 31.80 | 23.26 | 25.56 |
De los ácidos grasos monosaturados, el más importante fue el oléico (18:1). Se puede observar que a medida que aumenta el tamaño del animal, también aumenta el contenido de ácido oléico. Kinsella y col. (1977), indican que el contenido de ácidos grasos varía entre la misma entre la misma especie de acuerdo a la talla. Los autores reportan un aumento significativo en la concentración de los ácidos 16:1 y 18:1 en las especies de mayor tamaño.
Otro ácido que varia con el tamaño es el araquidónico (20:4, w6). Igualmente Kinsella y col. (1977), reportaron que los ácidos grasos 20:4 y 22:4 presentan mayores proporciones que en especies de mayor talla o ejemplares de la misma especie con tallas menores, tal y como ocurre en nuestro caso (Tabla 6).
Es importante hacer notar la alta proporción de ácido linoléico (18:2) en las muestras de cachama, lo cual no es común encontrarlo en pescado, posiblemente, este fenómeno está íntimamente relacionado con la alimentación suministrada a esta especie en cautiverio.
En relación a este punto, Ramachandra y Gopakumar (1981),trabajaron con diferentes dietas para observar su efecto en cuanto a la deposición de grasas y composición de ácidos grasos en tilapia, incluyendo que la dieta esta muy relacionada con la composición de ácidos grasos y deposición de grasa en el cuerpo del animal.
Los resultados obtenidos en relación al porcentaje total de ácidos grasos saturados, monoinsaturados y polinsaturados, reviste un gran interés,ya que al comparar estos resultados con los obtenidos por otros autores, tanto en pescados de agua dulce como en marinos, (Kinsella y col., 1977; Shewflt, 1981; Gil y col., 1985), encontramos, en todos los casos que la proporción de monoinsaturados es menor que los polinsaturados, resultados contrarios a los encontrados en cachamas para cada categoría.
Al investigar este aspecto, encontramos que esto se debe principalmente a la alta proporción del ácido oléico (18:1), fenómeno que ocurre generalmente en la carne de cerdo y ovino,tal y como lo reporta Forrest y col., 1975.
Con el fin de profundizar este punto, se realizó el perfil de ácidos grasos del alimento suministrado a las cachamas estudiadas (alimento para vacas).
En la tabla 7, se puede observar estos resultados los cuales corroboran lo dicho anteriormente sobre la influencia de la alimentación en la composición de los ácidos grasos. Puede notarse que la proporción del ácido oléico (18:1) del alimento es bastante similar a la encontrada para las cachamas de las tres categorías. Por otra parte, la alta proporción que presenta el alimento del ácido linoléico (18:2), influye directamente en la proporción de este ácido graso en las cachamas cultivadas (Tabla 6).
Con el fin de afianzar estos resultados, se realizó el perfil de ácidos grasos de una cachama de ría, cuyos resultados están reportados en la tabla 8.
Se puede observar que la proporción de ácidos grasos es bastante diferente a las encontradas en las cachamas cultivadas, con excepción del ácido palmítico (16:0), ya que, como se dijo anteriormente, este es un metabolito que no está influenciado por la dieta. Se puede observar menores proporciones de los ácidos grasos 18:1 y 18:2 con relación a las cachamas cultivadas, lo cual corrobora, una vez más, la influencia que ejerce la limentación suministrada.
Por otra parte se observa un aumento considerable en los ácidos grasos polinsaturados 20:4, 20:5 y 22:6 con respecto a las cachamas en cautiverio.
Estos resultados nos dan una idea de que la alimentación de los animales en cautiverio es de gran importancia, ya que puede variar la composición de ácidos grasos naturales en los pescados, el cual es consumido, en muchos casos, para evitar problemas de colesterol y triglicéridos, lo cual se consigue por el consumo de alimentos con alta proporción de ácidos grasos polinsaturados y baja de saturados, como lo es el pescado.
Se puede observar una mayor proporción del ácido 22:6 en la cachama de río, lo cual es un fenómeno importante, ya que los ácidos grasos w3 específicamente el 22:6, esta muy relacionado con la prevención de las esclerosis múltiple (Kinsella y col., 1977). Por otra parte, se observa en la tabla 8 una mayor proporción de ácidos grasos polisaturados con relación a los monoinsaturados, hecho que no ocurre en las cachamas cultivadas.
| ACIDO GRASO | PROPORCION (%) |
| 16:0 | 16.140 |
| 16:1 | ------ |
| 18:0 | ------ |
| 18:1 | 31.140 |
| 18:2 | 49.770 |
| 18:3 | 2.760 |
| 20:4,w6 | 0.009 |
| 20:5,w3 | 0.010 |
| 20:6,w3 | 0.017 |
| % Saturados | 16.140 |
| %Momoinsaturados | 31.140 |
| %Polinsaturados | 52.720 |
| ACIDOS GRASOS | PROPORCION (%) |
| 16:0 | 31.38 |
| 16:1 | 2.62 |
| 18:0 | 11.25 |
| 18:1 | 17.27 |
| 18:2 | 3.50 |
| 20:4,w6 | 18.45 |
| 20:5,w3 | 4.37 |
| 20:6,w3 | 11.08 |
| % Saturados | 42.63 |
| % Monoinsaturados | 19.89 |
| % Polinsaturados | 37.46 |
Sería conveniente la preparación de un alimento que contenga una proporción de ácidos grasos similar a la encontrada en la cachama de río, para así evitar inconvenientes en cuanto a la gran variedad de ácidos grasos en las cachamas cultivadas con respecto a las naturales y mantener las propiedades propias del pescado que son debidas a los ácidos grasos constituyentes del mismo.
De lo discutido hasta los momentos, sería posible concluir que los ejemplares denominados medianos (1.5 – 3.0 kg), podrían considerarse los ideales para ser utilizados comercialmente. Primeramente por que han sido los de mayor demanda en la empresa que los cultiva,y se ha podido observar que el rendimiento de la porción comestible es bastante satisfactoria. Por otra parte, presenta la composición proximal deseada de un producto para consumo humano. Según Thurston y col. (1959), un espécimen con un alto contenido de proteína (mayor de 17%) y bajo contenido de grasa (menor de 5%), cumple con este requisito.
A objeto de evaluar la estabilidad y calidad de la cachama en condiciones de refrigeración, se utilizaron tres lotes de cachama recién capturadas en épocas del año diferentes y se almacenaron a una temperatura de 0°C y 6°C. y dichos ejemplares fueron analizados físico-química, microbiológica y sensorialmente con una frecuencia de cada tres días hasta la aparición de signos de descomposición, tal como se indica a continuación:
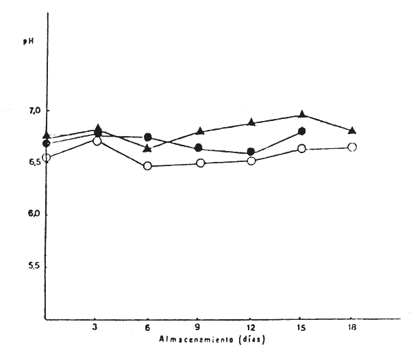
Como se puede ver en la figura 3 los valores de pH en las muestras almacenadas a 0°C presentan ligeras fluctuaciones y se mantuvieron en un rango entre 6.40–6.97; un comportamiento similar se observa en la figura 4, para aquellas muestras almacenadas a 6°C donde los valores oscilan entre 6.47 – 6.97.
La gran mayoría de los trabajos que se refieren sobre pescado de agua dulce, señalan rangos de pH muy parecidos a los obtenidos en cachama. Lahiry y col. (1963) reportaron a un rango de pH para Mallago attu de 6.4 – 7.1 y para Barbus dubois de 6.5 – 6.8; Balakrishnan Nair y col. (1971), señalaron que “migral” (Cirrhina mrigala) un rango de 6.3 – 6.5 y en un trabajo reciente en “piramutaba” (Brachyplatystoma vaillanti) el rango fue de 6.4 – 65.6 (Lima dos Santos, 1981).
Fluctuaciones en los valores de pH durante el período de almacenamiento en refrigeración fueron también señaladas en muchas especies de pescado de agua dulce (Balakrishnan Nair, 1971; González, 1980; Lima dos Santos, 1981). Los valores de pH en cachama fueron 6.69; 6.75 y 6.54 para los lotes I, II, y III respectivamente. Estos valores por su parte se encuentran acordes con los reportados en la bibliografía para otras variedades de pescados.
Las pocas variaciones existentes en los valores de pH en los tres lotes examinados pueden ser debidas a ciertas diferencias en el contenido de glicógeno presente en los pescados. En vista de que los esfuerzos a que fueron sometidos los pescados en el momento de la captura no fueron iguales en todos los lotes, la cantidad de glicógeno en el momento de sacrificio pudo variar en los diferentes grupos. Tarr (1954), señala que los valores iniciales de pH en el período post-rigor son dependientes del contenido de glicógeno se transforma en ácido láctico cuya concentración determina el pH del pescado (Connell, 1980).
No obstante a las variaciones existentes entre los lotes al promediar los valores de pH se pudo observar un comportamiento similar a las dos temperaturas de refrigeración utilizadas (figura 5). No se registró una excesiva acumulación de metabolitos básicos, productos resultantes de la actividad autolítica y bacteriana, como se verá más adelante, lo que permite explicar por qué no se produjo un incremento en el valor de pH durante el deterioro del pescado.
Es posible que los valores de pH tengan una considerable influencia sobre los tipos de organismos que se desarrollen y en consecuencia del curso entero de cambios bioquímicos que tomen lugar en el pescado (Tarr, 1954).
La determinación de las bases volátiles totales es de aplicación algo más amplia y puede utilizarse en pescados que no contengan trimetilamina (TMA), como es el caso de aquellos que habitan en agua dulce (Farber, 1965; Connell, 1980). En vista de que estos pescados no contienen óxido de trimetilamina, las bases volátiles totales formadas consisten casi enteramente de amoníaco (Pearson, 1962). En las figuras 6 y 7 se presentan los valores de nitrógeno básico total (NBT), obtenidos en cachama durante su almacenamiento a 0°C y a 6°C. Los bajos valores de las bases volátiles totales al inicio de la experiencia indicaron que los lotes de pescados utilizados presentaban un estado de frescura satisfactorio. Estos valores iniciales fueron 13.36; 13.65 y 12.97 mg N/100 g para los lotes I, II, y III respectivamente, siendo muy similares a los que se han obtenido en otras variedades de pescados.
González (1984), trabajando con bombache (Larimus breviceps), mojarra (Eugerres awalae) y guaripete (Synodus foetens) reportó valores iniciales de 14.06; 12.39 y 12.73 mg N/100 g respectivamente y el contenido de nitrógeno básico total señalado por Madriz (1984), en otras especies de pescados, fue de 10.7 mg N/100 g para la tonquicha (Cynoscion jamaicensis), 7.7 mg N/100 g para la especie cunaro (Pristipomoides macrophtalmus) y por último 7.80 mg N/100 g para la especie picua (Shyraena picudilla).

Fig. No 3.- Valores de pH en cachama durante el almacenamiento a 0°C en tres lotes diferentes.
Lote I : •
Lote II : ▲
Lote III : O

Fig.No 4.- Valores de pH en cachama durante el almacenamiento a 6°C en tres lotes diferentes.
Lote I : •
Lote II : ▲
Lote III : O
En el caso particular de los pescados almacenados a 0°C, (figura 6), los valores de nitrógeno básico total en los lotes presentaron variaciones a través del período de almacenamiento. Una fuente de variabilidad de estos pescados colocados en hielo, parece serla lixiviación de las bases volátiles que ocurre a partir de las diferentes partes del cuerpo. Según Balakrishnan Nair y col. (1974) estas bases volátiles son solubles en agua y pueden ser parcialmente removidas de la carne por el hielo que está siendo derretido.
Un ligero incremento en el nitrógeno básico total al final del período del almacenamiento fue obtenido enlas muestras almacenadas a 6°C, (figura 7), igualmente se observó un ligero incremento de las bases volátiles y los valores del almacenamiento fueron un poco más elevados que aquellos obtenidos a 0°C.
González (1984), realizando estudios en varias especies de pescados, señaló en el caso de las muestras refrigeradas a 6 y 12°C, un aumento sumamente rápido de los valores de nitrógeno básico volátil en comparación con aquellas colocadas en hielo, donde se observó un lento y progresivo incremento el cual nunca alcanzó los niveles logrados en las otras temperaturas señalada. Existe una relación entre la temperatura de almacenamiento y la producción de nitrógeno básico total, de forma tal que a mayor en las otras temperaturas señaladas. Existe una relación entre la temperatura de temperatura más rápidamente tienen lugar las reacciones deteriorativas que conducen a la formación del nitrógeno básico total (Madriz, 1984).
Más claramente se pudo observar en la figura 8 a través de los valores promedio de nitrógeno básico total de los tres lotes estudiados cual fue la tendencia que se obtuvo en estos valores en el transcurso del almacenamiento.
Durante el deterioro de las muestras el valor de 35–40 mg N/100 g señalado por Connell (1980) como el límite más allá del cual los pescados refrigerados pueden considerarse como demasiados alterados para la mayoría de los fines, no fue alcanzado, aún cuando los pescados no fueron aptos para el consumo humano. En este sentido, la velocidad con que estas substancias aumentan, depende de la especie y de la temperatura de almacenamiento utilizadas; así se va a estimar el grado de alteración de una muestra de una especie determinada, deberá conocerse previamente la velocidad de formación de esta substancia en dicha especie (Connell, 1980).
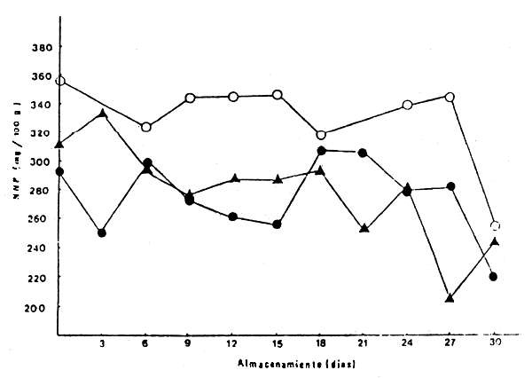
En las figuras 9, 10 y 11 se puede observar la tendencia que los valores de nitrógeno no protéico (NNP) en las muestras de cachama almacenadas a 0°C y a 6°C a través del período de prueba. Como se puede ver en las muestras que constituyen los tres lotes almacenados en hielo, los valores de nitrógeno no protéico presentaron fluctuaciones y disminuyeron a partir de los 18 días, como lo demuestra claramente el promedio de los valores de NNP de los tres lotes, hasta el final del almacenamiento.

Fig. No 5.- Valores promedio de pH de los tres lotes de cachama, durante el almacenamiento a 0°C y a 6°C.
0°C : O
6°C : ▲

Fig. No 6.- Valores de Nitrógeno Básico Total (NBT) en cachama durante el almacenamiento a 0°C, en tres lotes diferentes.
Lote I : •
Lote II : ▲
Lote III : O

Fig. No 7.- Valores de Nitrógeno Básico Total (NBT) en cachama durante el almacenamiento a 6°C, en tres lotes diferentes.
Lote I : •
Lote II : ▲
Lote III : O

Fig. No 8.- Valores promedio de Nitrógeno Básico Total (NBT) de los tres lotes de cachama, durante el almacenamiento a 0°C y a 6°C.
0°C : O
6°C : ▲

Fig. No 9.- Valores de nitrógeno no protéico (NNP) en cachama durante el almacenamiento a 0°C en tres lotes diferentes.
Lote I : •
Lote II : ▲
Lote III : O

Fig. No 10.- Valores de nitrógeno no proteico (NNP) en cachama durante el almacenamiento a 6°C, en tres lotes diferentes.
Lote I : •
Lote II : ▲
Lote III : O
Las determinaciones de nitrógeno no protéico efectuadas en muestras de curvinata (Plagioscion squamosissimus) almacenadas en hielo mostraron una disminución desde 270 mg/100 g a 114.9 mg/100 g al final del período de almacenamiento. La disminución observada en estos valores fue atribuida a la utilización bacterial y al lavado de ciertos componentes durante el almacenamiento (Ovallos, 1980). También Castellanos (1980), trabajando con la misma especie pero esta vez almacenada sin cabeza observó el mismo comportamiento. En este caso particular los valores disminuyeron desde 232.54 mg/100 g a 97.25 mg/100 g al finalizar el período de almacenamiento. Al respecto Torrealba (1980) señaló en el bagre rayao (Pseudoplatystoma fasciatum) una disminución de los valores de nitrógeno no protéico desde 245 mg/100 g hasta 146 mg/100 g a los 10 días en el almacenamiento y en coporo (prochilodus mariae) almacenado en las mismas condiciones los valores de NNP disminuyendo desde 335 mg/100 g a 225 mg/100 g cuando este fue considerado deteriorado por la evaluación sensorial. En este último estudió la disminución de los valores de nitrógeno no protéico fue atribuido principalmente a la utilización bacteriana (González, 1980).
Lahiry y col. (1963), señalaron una disminución en el contenido de nitrógeno amino libre en algunas especies de agua dulce durante el almacenamiento en hielo, siendo esto en gran parte debido al efecto del lavado de estas sustancias al ponerse en contacto con el hielo derretido.
A diferencia de las muestras de cachama almacenadas en hielo, aquellas que fueron refrigeradas a 6°C no presentaron una disminución en cuanto al contenido de NNP se caracterizaron por presentar un menor rango de fluctuación.
Indicándonos esto el importante efecto que presenta el hielo en la lixiviación de los compuestos que forman parte de la fracción de nitrógeno no protéico durante el almacenamiento de las muestras.
Como se puede ver en las figuras 12, 13 y 14 tanto en las muestras almacenadas a 0°C como en aquellas que fueron refrigeradas a 6°C, los valores obtenidos de la prueba del ácido barbitúrico (TBA) se mantuvieron bajos (0.05 – 0.45 mg malonaldehido/Kg) y presentaron ciertas fluctuaciones a través del período de almacenamiento. La estabilidad presentada por las grasas fue bastante adecuada y la rancidez no resultó ser un problema que afectó la calida de estos pescados eviscerados; siendo en gran parte esto debido al bajo contenido de grasa (0.56 – 0.61%) que se encuentra en la especie.

Fig. No11.- Valores promedio de nitrógeno no proteico (NNP) de los tres lotes de cachama, durante el almacenamiento a 0°C y a 6°C.
0°C : O
6°C : ▲

Fig. No12.- Valores de la prueba del ácido tiobarbitúrico (TBA) en cachama durante el almacenamiento a 0°C, en tres lotes diferentes.
Lote I : •
Lote II : ▲
Lote III : O
Para “threadfin bream” (Nemipterus japonicus) con un contenido de grasas de 0.7% muy similar al obtenido en cachama, los valores de TBA en las muestras almacenadas a 0°C y a 5°C, se mantuvieron también bajos con ciertas variaciones en el transcurso del almacenamiento (Curran y col., 1981); y en el caso particular de “rougehead grenadier” (Macrourus berglax) con 0.47% de grasa los valores de TBA alcanzaron 1.13 mg malonaldehido/Kg a través de los 18 días de almacenamiento en hielo. Las variaciones señaladas en los valores de TBA en esta especie no fueron detectadas en los análisis sensoriales realizados conjuntamente; en vista de esto ninguno de los jueces revelaron diferencias en cuanto a rancidez de las muestras a través del período de prueba (Botta y Shaw, 1975).
Las reducidas variaciones que se presentaron en los valores de TBA en los diferentes lotes estudiados y en el transcurso del almacenamiento pueden ser debidas a la metodología aplicada y a ciertas divergencias existentes entre los individuos que conforman los lotes. Botta y Shaw (1975), indicaron que los valores de TBA determinados por extracción en “rougehhead grenadier” (Macrourus berglax) almacenado en hielo fueron menos variables que los valores de TBA determinados por destilación.
Estudios realizados en “Prochilodus scrofa”, durante el almacenamiento de hielo de pescados enteros y eviscerados, indicaron un incremento perceptible de los valores de TBA para los pescados eviscerados; señalando que la rancidez oxidativa asume mayor importancia después de aplicar este tratamiento (Maia y col., 1983). No obstante a esto, los cambios presentados fueron tan pequeños y comparables con los obtenidos en cachama, que no permitieron justificar la utilización de estos valores como índices de calidad. Durante el almacenamiento en refrigeración de la cachama, al igual que también en las especies de pescados mencionados, el valor de TBA fue siempre < 2.0 demostrando que la oxidación de las grasas es un factor que afecta muy poco la calidad de los pescados refrigerados, los cuales son mantenidos por cortos períodos de tiempo bajo estas condiciones.
La carne desmenuzada de “sucker” (Catostomus sp) especie de agua dulce, se ha visto que puede ser almacenada en congelación al menos 6 meses, sin que exista una seria oxidación de los lípidos (Dawson y col., 1978).
De igual manera la carne desmenuzada de cachama (especie magra), podría ser almacenada bajo estas condiciones sin que posiblemente se presenten serios problemas en cuanto a oxidación se refiere. Si esto fuera así, un almacenamiento potencial de la carne previo a la formulación de los productos sería bastante provechoso.

Fig. No 13.- Valores de la prueba del ácido tiobarbitúrico (TBA) en cachama durante el almacenamiento a 6°C, en tres lotes diferentes.
Lote I : •
Lote II : ▲
Lote III : O

Fig. No14.- Valores promedio de la prueba de ácido tiobarbitúrico (TBA) de los tres lotes de cachama, durante el almacenamiento a 0°C y a 6°C.
0°C : O
6°C : ▲
El contaje de mesófilos tiene limitada validez para determinar la seguridad de un producto, sin embargo, tiene valor para muchos alimentos en un gran número de formas, por ejemplo en indicar la temperatura durante el transporte, almacenamiento y procesamiento, en formar una opinión acerca del incipiente deterioro, probable tiempo de almacenamiento, descontrol en la descongelación de alimentos congelados o defectos en el mantenimiento de las temperaturas de refrigeración para alimentos almacenados en frío y en revelar fuentes de contaminación durante la manufactura (ICMSF, 1978).
El contaje de aeróbios mesófilos al inicio de la experiencia fue de 1.4 × 103 UCF/g para el lote I y de 1.5 × 103 UFC/g para los lotes II y III, valores que indicaron el grado de frescura que presentaban las muestras al comienzo del almacenamiento. Por su parte Ramírez en (1985) señalo para lomprosa (Vomer setapinnis) un contaje inicial de aeróbios mesófilos del orden de 104 UFC/g cuando los pescados analizados presentaban un buen estado de frescura. Los pescados frescos recién capturados típicamente presentan una población bacteriana entre 102–103 org/g (Liston y Matches, 1976).
El contaje de microorganismos mesófilos en las muestras de cachama como se indica en las figuras 15, 16 y 17 incrementó a medida que transcurrió el tiempo, alcanzando valores entre 107–108 UFC/g cuando se presentaron los primeros síntomas de deterioro. Moorjani y col. (1958), reportaron en una variedad de especies de pescados de agua dulce, valores iniciales de 104 org/g y al final de 6 días a 4°C los valores alcanzados fueron del orden de 107 org/g cuando las muestras se encontraban deterioradas y no aptas para el consumo humano. Balakrishnan Nair y col. (1971), señalaron en “mrigal”(Cirrhina mrigala) un contaje de 102 org/g y después de 5 semanas de almacenamiento en hielo los valores estuvieron comprendidos en tres 10–107 org/g.
Los contajes en placas a 25°C reportados por Nickelson y col. (1980) en 5 variedades de pescados después de que estos fueron eviscerados y luego de que estos se les eliminara las cabezas oscilaron entre 105–107 org/g y para bacalao, “pollock”, “whiting” los valores obtenidos después de aplicar estos mismos tratamientos fueron 4.7 × 104; 5.2 × 104y 7.7 × 104 APC/g respectivamente (Raccach y Baker, 1978). Por último en el caso particular de “whitefish” (Coregonus clupeaformis), el valor inicial de aeróbios mesófilos fue del orden de 105 bacterias/g y al final de los 16 días a 0°C los valores obtenidos fueron de 106 bacterias/g (Ostovar y col., 1967).
A diferencia de las muestras almacenadas a 0°C aquellas que fueron refrigeradas a 6°C los valores fueron más altos e incrementaron rápidamente en un corto período de tiempo. Esta misma tendencia fue señalada por González (1984) y Penso (1984) en otras variedades de pescados. Los resultados reportados por Curran y col. (1981) ilustran también el mismo efecto a las diferentes temperaturas de almacenamiento sobre la flora bacteriana de “thraedfin bream” (Nemipterus japonicus). Como debería esperarse el incremento en número de bacterias psicrotrófilas y mesófilas en los pescados almacenados en hielo fue mucho menor que el correspondiente incremento en pescados almacenados a 5°C y 10°C. Al efecto del lavado del hielo derretido contribuyó a extender el tiempo de almacenamiento de los pescados colocados en hielo.
En el caso de las muestras refrigeradas a 6°C, el contaje de aeróbios mesófilos del lote I a través del almacenamiento fue superior al presentado por los lotes II y III; una explicación de este comportamiento puede ser la contaminación masiva de los ejemplares que conforman este lote a través del período de almacenamiento, en vista de que los tres lotes presentaron similares características al comienzo de ser refrigerados.
Teniendo en cuenta que los microorganismos psicrófilos alteran la carne refrigerada y acortan su tiempo de conservación, su determinación o aislamiento es la más importante tarea del control microbiológico. Estos microorganismos pueden causar alteraciones en las carnes refrigeradas y en las congeladas cuando el período de almacenamiento es prolongado y las temperaturas son superiores a -10°C. El tiempo transcurrido desde el principio del almacenamiento hasta la putrefacción depende del porcentaje de bacterias aeróbias psicrófilas que crecían en la carne antes de ser refrigerada y de los márgenes de temperaturas manejados de tal conservación.
En cuanto al contaje de psicrófilos totales, también al igual que como el contaje de aeróbios mesófilos, se observa una tendencia de los valores a incrementar a través del período de almacenamiento, pudiéndose ver además que este aumento fue mucho más rápido en las muestras almacenadas a 6°C (figuras 18, 19 y 20).
Penso (1984) señalo en varias especies de pescados recuentos iniciales en cuanto a la flora psicrotrófica de 102, 103 y 104 UFC/g. Esta carga bacteriana tendió a aumentar progresivamente a las diferentes temperaturas de refrigeración utilizadas e incrementó en un mayor número de unidades a medida que la temperatura de almacenamiento se elevó. En otras especies de pescados los valores iniciales de psicrófilos reportados estuvieron comprendidos entre 103–105 UFC/g y al final del almacenamiento oscilaron entre 107–109 UFC/g; observándose en este caso también un incremento mucho más rápido en las muestras almacenadas a temperaturas más elevadas (González, 1984). En lamprosa (Vomer setapinnis) los microorganismos psicrófilos predominaron desde el inicio del almacenamiento alcanzando al final un contaje máximo en el orden de 1010 UFC/g siendo en su mayoría pertenecientes al género Pseudomonas. Es posible que la dominación de las pseudomonas con respecto al resto de los microorganismos sea debida a su crecimiento mayor, como su eficiente utilización de los compuestos presentes en el pescado (Ramírez, 1985).
La enumeración de bacterias psicrotróficas en los alimentos almacenados en refrigeración (0 – 10°C es importante porque la presencia de estos microorganismos particularmente en grandes números indican un alto potencial de deterioro durante el extendido período de almacenamiento (Gilliland, y col., 1976).

Fig. No 15.- Contaje de aerobios mesófilos en cachama durante el almacenamiento a 0°C, en tres lotes diferentes.
Lote I : •
Lote II : ▲
Lote III : O

Fig. No16.- Contaje de aerobios mesófilos en cachama durante el almacenamiento a 6°C, en tres lotes diferentes.
Lote I : •
Lote II : ▲
Lote III : O

Fig. No 17.- Contaje promedio de aerobios mesófilos de los tres lotes de cachama, durante el almacenamiento a 0°C y a 6°C.
0°C : O
6°C : ▲

Fig. No 18.- Contaje de psicrófilos totales en cachama durante el almacenamiento a 0°C, en tres lotes diferentes.
Lote I : •
Lote II : ▲
Lote III : O
Por otra parte los contajes de psicrófilos de los ejemplares pertenecientes al lote I, refrigerados a 6°C fueron más elevados a través del almacenamiento en comparación a aquellos obtenidos para los lotes II y III. Según Gilliland y col. (1976), la presencia de un gran número de bacterias psicotróficas en pescado puede reflejar el crecimiento de la población durante el almacenamiento y/o masiva contaminación en algún punto previo o durante el almacenamiento. Para el caso particular de las muestras de cachama pertenecientes al lote I, una contaminación durante el almacenamiento puede ser una explicación del comportamiento observado.
Independientemente de la temperatura de almacenamiento, los valores promedios del contaje de psicrófilos totales y aeróbios mesófilos fueron prácticamente similares todo el período de prueba. También para “threadfin bream” (Nenipterus japonicus), Curran y col. (1981), reportaron contajes bacterianos similares a 5°C y 27°C en el transcurso del almacenamiento.
Gran parte de las bacterias psicrotróficas capaces de crecer en alimentos refrigerados, forman frecuentemente parte de los géneros Pseudomonas, Achromobacter, Flavobacterium y Alcaligenes (Gilliland y col., 1976). Ramírez (1985) señalo en lamprosa (Vomer setapinnis) que la mayoría de los psicrófilos que se encontraron presentes en esta especie de pescados fueron microorganismos mesófilos que se adaptaron a las temperaturas de refrigeración. Al respecto, Novoa (1982) pudo observar en curvinata (Macrodum ancyclodon) en relación a los psicrotróficos que los resultados obtenidos fueron similares a los alacanzados para aeróbios mesófilos. Cabe destacar que los microorganismos psicrotróficos aislados en este último estudio, correspondieron en su mayoría a cepas mesófilas capaces de vivir a temperaturas de refrigeración, cuya procedencia u origen pudo ser el medio ambiente en donde los peces fueron capturados o también a la contaminación que pudo adicionarse por el uso de redes sucias, un manipuleo excesivo, el hielo usado para el transporte, cajas y recipientes sucios y otros; como lo señalan otros autores.
Respecto a esto Townley y Lanier (1981) señalan que cuando el contaje de psicrotrófos y el contaje de aeróbios en placa dan resultados similares, el menor período de incubación de esta prueba debería ser ventajosa para los microorganismos con propósitos de control de calidad. En vista de que en cachama estos contajes también fueron similares a través del período de almacenamiento, un seguimiento del incremento de los microorganismos con proposito de control de calidad, podría hacerse solamente en base al contaje de aerobios mesófilos debido al más corto período de tiempo que se requiere con esta prueba obtener los resultados.

Fig. No 19.- Contaje de psicrófilos totales en cachama durante el almacenamiento a 6°C, en tres lotes diferentes.
Lote I : •
Lote II : ▲
Lote III : O

Fig. No 20.- Contaje promedio de psicrófilos totales de los tres lotes de cachama, durante el almacenamiento a 0°C y a 6°C.
0°C : O
6°C : ▲
El deterioro del pescado, como otros alimentos usualmente se ha establecido que es llevado a cabo por autólisis, oxidación y por la actividad bacteriana. Todas las evidencias muestran que este último factor es aparentemente el más importante y el responsable de producir notables alteraciones en el sabor, olor y apariencia del pescado; aunque para el caso de pescados grasos la rancidez oxidativa parece adquirir mayor importancia (Reay y Shewan, 1949). Se ha definido que un pescado absolutamente fresco es aquel que se encuentra o está justamente comenzando a salir del “rigor mortis”. La duración de éste no sólo depende de la condición del pescado (la cantidad de esfuerzo a que fue sometido en el momento de la captura y su posible estado nutricional) sino también de la eficiencia con que se ha llevado a cabo el proceso de refrigeración después de que este ha sido capturado (Lahiry y col., 1963).
En las tablas 9 y 10 se pueden observar los cambios secuenciales en las características sensoriales para las muestras de cachama almacenadas a 0°C y a 6°C. Los pescados recién capturados presentaban una piel brillante, textura firme y elástica, coloración rosada en las paredes abdominales y ojos brillantes.
Entre los primeros cambios que se manifestaron en los pescados almacenados en hielo se pueden mencionar la ligera opacidad de los ojos a partir de 6 – 9 días y la ligera decoloración de la piel a demás de la carne de las paredes abdominales entre los 15 – 18 días. Fue a partir de este momento en que comenzaron a presentarse más acentuadamente los signos de deterioro hasta llegar a los 24 – 27 días, donde los pescados no fueron considerados aptos para el consumo humano. La cachama almacenada bajo estas condiciones se consideró comestible hasta los 24 días. En el estado de descomposición avanzado de las muestras la apariencia opaca y sanguinolenta de los ojos, la decoloración y presencia de limo en las paredes abdominales y el olor no característico a pescado fresco fueron los aspectos más resaltantes que estuvieron presentes. Tales cambios también fueron descritos para “piramutaba” (Brachyplatystoma vaillanti) almacenada en condiciones similares.
Por otra parte para el caso de las muestras almacenadas a 6°C los cambios en las características sensoriales se desarrollaron en una forma más rápida y estos pescados fueron considerados aptos para el consumo humano hasta llegar a los 15 días. Al final del período de almacenamiento, el notable hundimiento de los ojos, junto con la pérdida de brillo y sequedad de la piel fueron características importantes que solamente se presentaron en esta forma de almacenamiento.
De acuerdo con las evaluación sensorial las muestras de cachama almacenadas a 0°C presentaron un incipiente deterioro en tres 21 – 24 días, cuando los valores promedios de los tres lotes para bases volátiles totales y nitrógeno no protéico estuvieron entre 14.25 – 14.86 mg N/100 g y 279.70 – 300.86 mg/100 g respectivamente. El pH entre 6.72 – 6.68 y la carga bacteriana entre 2.5 × 107-4.8 x 107 UFC/g para aeróbios mesófilos y 1.1 × 108-6.0 × 108 UCF/g para psicrófilos. En el caso particular de las muestras de cachamas refrigeradas a 6°C el deterioro incipiente de estas cachamas refrigeradas a 6°C se obtuvo entre 12 – 15 días cuando los valores promedios de los tres lotes para bases volátiles totales y nitrógeno no protéico correspondieron a los intervalos 13.80–16.57 mg N/100 g y 327.74–344.65 mg/100 g respectivamente, siendo el rango de pH de 6.69 – 6.80 y la carga bacteriana de 1.5 × 107-1.7 × 108 UFC/g para aeróbios mesófilos y de 3.9 × 107-2.8 × 108 UFC/g para psicrófilos.
| TIEMPO EN DIAS | OJOS | TEXTURA | OLOR | PIEL | PAREDES DE CAVIDAD ABDOMINAL |
| 0–3 | Córnea transparente | Firme y elástica | Típico a pescado fresco | Brillante no decolorada | Rosadas |
| 3–6 | Córnea transparente | Firme y elástica | Típico a pescado fresco | Brillante no decolorada | Rosadas |
| 6–9 | Córnea ligeramente opaca | Firme y elástica | Típico a pescado fresco | Brillante no decolorada | Rosadas |
| 9–12 | Córnea ligeramente opaca | Firme y elástica | Típico a pescado fresco | Brillante no decolorada | Rosadas |
| 12–15 | Córnea ligeramente opaca | Firme y elástica | Típico a pescado fresco | Brillante no decolorada | Ligeramente decoloradas |
| 15–18 | Córnea ligeramente opaca | Firme y elástica | Típico a pescado fresco | Brillante, ligeramente decolorada | Ligeramente decoloradas |
| 18–21 | Córnea opaca | Firme y elástica | Neutro | Opaca, ligeramente decolorada | Ligeramente decoloradas |
| 21–24 | Córnea opaca ligeramente, sanguinolentos | Firme y elástica | Neutro | Opaca, decolorada | Ligeramente decoloradas |
| 24–27 | Córnea opaca, sanguinolentos | Poco firme | No característico a pescado fresco | Opaca, decolorada | Decoloradas |
| 27–30 | Córnea opaca muy sanguinolentos | Poco firme | No característico a pescado fresco | Opaca, y muy decolorada | Decoloradas, limo de color amarillo |
| TIEMPO EN DIAS | OJOS | TEXTURA | OLOR | PIEL | PAREDES DE CAVIDAD ABDOMINAL |
| 0–3 | Normales, Córnea transparente. | Firme y elástica. Firme y elástica. | Típico a pescado fresco. | Brillante y húmeda. | Rosadas. |
| 3–6 | Ligeramente hundidos, córnea transparente. Hundidos, | Firme y elástica. | Típico a pescado fresco. | Brillante y semihúmeda. | Rosadas |
| 6–9 | córnea transparente. Hundidos. | Firme y elástica. | Típico a pescado fresco. | Opaca y seca. | Rosadas. |
| 9–12 | Hundidos. | Firme y elástica. Poco firme. | Típico a pescado fresco. | Opaca y seca. | Rosadas. |
| 12–15 | ligeramente saguinolentos. Hundidos, | Neutro. | Opaca y seca. | Ligeramente decoloradas. | |
| 15–18 | sanguinolentos. | No característico a pescado fresco. | Opaca y seca. | Decoloradas, limo amarillento presente. |
Como se puede ver el tiempo de almacenamiento o la tasa de pérdida de calidad y subsecuente deterioro de un alimento refrigerado es altamente dependiente de la temperatura. Los resultados demostraron que la cachama se deteriora aproximadamente 1.6 veces más rápido a 6°C en comparación como lo hace a 0°C. El tiempo de almacenamiento presentado por la cachama en ambas temperaturas utilizadas fue muy similar al reportado por Curran y col. (1981) para “Thradfin bream” (Nenipterus japonicus) almacenado a 0°C y a 5°C.
El prolongado período de almacenamiento que presenta esta especies en las dos temperaturas de refrigeración utilizadas es de suma importancia desde el momento en que se asume que este es el método más utilizado cuando se comercializa como pescado fresco; este tiempo es sumamente largo como para permitir una amplia distribución de los pescados en condiciones aceptables a lugares distantes donde se encuentran los centros de cultivo.
Una vez que se conoce la composición proximal del músculo de la cachama, se pueden proponer diferentes maneras de utilización de esta fuente natural para alimento humano o pueden proponerse procesamientos adecuados para su utilización sin transformar los constituyentes principales.
Como se dijo anteriormente, la cachama presenta una musculatura bastante desarrollada por lo que podría pensarse que la utilización de este pescado en forma de filetes sería un gran éxito comercial. En vista de esto se realizaron pruebas de fileteado manual, en el cual se extraía la carne, primeramente los huesos y luego la piel (foto 5).
Este proceso no resultó tan sencillo como lo sería en otro tipo de especie, debido a que la cachama presenta una constitución característica de los huesos (foto 2), que hace que el proceso de fileteado resulte bastante problemático.
Por otra parte, se puede observar en la foto 5, que el filete presenta una franja de musculatura roja, que es indicativo de una mayor proporción de compuesto hemo, lo cual es común en especies migratorias que necesitan una gran irrigación sanguínea para efectuar sus movimientos. Este podría ser un factor determinante para el rechazo de la cachama en esta forma.
También es conocido, que la presencia de compuestos hemo, alteran la estabilidad del músculo en el almacenamiento, ya que estos compuestos prooxidantes de gran importancia. Según Tappel (1965), todos los compuestos hemos naturales catalizan la oxidación de los lípidos insaturados, uniéndose con los ácidos grasos libres formando compuestos que son más susceptibles al ataque del oxígeno, produciéndose la rancidez, lo cual también implica un cambio de color en el músculo.
Por otra parte, se encontró que los filetes de cachama presentan unas pequeñas espinas intermusculares en forma de “horquillas” (foto 3), las cuales son comunes en las especies pertenecientes a la sub-familias Serrassalminae: caribe, palometa, cachama, etc. Estas espinas ayudan a soportar el tejido natural, por lo que sirven como una malla de soporte y no se encuentran unidas a la columna vertebral (Taphorn, 1984). A pesar de ser beneficiosas para la anatomía del animal, resultan perjudiciales y peligrosas para el consumidor y puede ser uno de los factores más poderosos para rechazar la cachama en forma de filete.
Como se dio a conocer en un trabajo realizado por Luna y col. (1982) sobre las actividades del venezolano hacia el pescado como alimento, como una de las principales de desvalorización del mismo, son las espinas y el olor, teniendo el parámetro espinas un 45.1% como factor de rechazo.
Por otra parte, el tamaño del filete resultaría también otra causa de rechazo por parte del consumidor. Debido a la gran cavidad visceral que presentan estos animales y a la poca cantidad de musculatura en la región ventral, el filete presenta esa forma característica de triángulo siendo considerado de poco tamaño para pescados de gran tamaño como lo es la cachama.
Por estas varias razones, la comercialización de esta especie en forma de filetes, sería posiblemente inadecuada. Por esta razón es necesario buscar otra alternativa de aprovechamiento comercial, la cachama en forma de ruedas, que es la forma como comúnmente se expende la mayoría de las especies de pescados comerciales. La foto 6, presenta el aspecto general de las ruedas de cachama resultantes de los cortes realizados a lo largo del cuerpo. Se puede observar que las ruedas presentan en su parte central una zona hueca bastante grande, la cual es el producto de la gran cavidad visceral que presenta la especie y la constitución ósea característica. Esta zona se va reduciendo a medida que se avanza hacia la región de la cola, notándose que apartir de la aleta caudal son totalmente cerradas, sin embargo a este nivel las ruedas presentan un tamaño menor, lo cual podría considerarse no comercial.
Debido a que el aprovechamiento de la cachama en ruedas evita el problema que acarrea el proceso de fileteado, se quiso realizar un estudio más detallado sobre esta alternativa. Por lo tanto, se llevaron a cabo mediciones de la parte comestible de las ruedas cortadas entre sitios diferentes del cuerpo para las tres categorías estudiadas. Al observar los resultados, obviamente se evidencia que a medida que aumenta el peso del animal, las medidas de la parte comestible van en aumento, tanto de ancho como de largo. Se puede observar que en la rueda A, es decir, aquella que se obtiene inmediatamente al cortar la cabeza, las medidas de ancho son mayores que las de largo, ya que allí precisamente es donde se encuentran los órganos que ensanchan la cavidad visceral, por lo tanto las medidas se presentan más largas que anchas pero en menor grado. Por otra parte, el ancho de las ruedas denominadas C, disminuye notablemente el largo aumenta (figura 21). Esto es lógico debido a que estos animales presentan un cuerpo alto, además que a este nivel ya la cavidad visceral no existe, por lo tanto toda la rueda será comestible.
Ahora bien, estos resultados darían mayor información teniendo un punto de comparación, por ello se escogió para esto una especie de agua dulce de mayor valor comercial como lo es el bagre, del cual también se escogieron ejemplares que estuvieran dentro de la clasificación hecha con anterioridad para la cachama, es decir, pequeño, mediano y grande.
En la figura 22 se presentan los valores de las medidas de la porción comestible de las ruedas de cachama y bagre. Se puede observar, en general, que para los tres tamaños, las ruedas de bagre presentan medidas mayores de la porción comestible, comparadas con las de cachama, con excepción del largo de la rueda denominada “C”. Este fenómeno está íntimamente relacionado con la anatomía de las dos especies en comparación. El bagre es un animal que presenta un cuerpo netamente 52 tubular, aproximadamente igual de ancho que de largo, es por esto que las ruedas “C” para los tres tamaños, tienen medidas menores de largo que las de cachama. Sin embargo se puede notar que la rueda “C” del bagre grande es comparado con la rueda central (B) de la cachama del mismo tamaño. Esta comparación nos podría dar una idea de la disminución en cuanto al valor comercial de la cachama cuando se presenta en forma de ruedas, ya que el consumidor, además de preferir las ruedas de pescados tradicionales, rechazaría ruedas de pescados que tengan las características antes mencionadas.

Fotografía 5. Filete de cachama (Colossoma macropomun).

Fotografía 6. Ruedas de cachama (Colossoma macropomum) cortadas a todo lo largo del cuerpo.
Por lo discutido anteriormente, es posible predecir que la alternativa de aprovechar la cachama en ruedas, es poco probable que sea exitosa para el consumidor urbano. Sin embargo es necesario buscar una salida posible para el aprovechamiento de esta especie que día a día está teniendo gran importancia principalmente por el desarrollo constante de la piscicultura, ciencia por la cual se ha llegado a grandes progresos, siendo parte importante de ellos la cachama. Además de los problemas antes expuestos, existen factores que pudieran ser importantes en la decisión del rechazo de la especie por parte del consumidor, como por ejemplo la apariencia externa del pescado como su coloración oscura casi negra y a la presencia de abundante cantidad de escamas. Este problema se podría minimizar con la aplicación del proceso de deshuesado mecánico, el cual a dado excelentes resultados en países tales como Japón, EEUU, y algunos de Europa, en el aprovechamiento de especies de pescados.

P: Pequeño: (0.7–1.5 kg)
M: Mediano: (1.5–3.0 kg)
G: Grande: (3.0 hasta 5.0 Kg)
Fig. No 21.- Medidas de la porción comestible de las ruedas de cachama de 3 categorías contadas en tres zonas del cuerpo.
a. Pequeño (0.7 a 1.5 kg)

b. Mediano (1.5 a 3.0 Kg)

c. Grande (3.0 hasta 5.0 Kg)

Fig. No 22.- Medidas de la porción comestible de las ruedas de cachama y bagre de 3 categorías, cortadas en diferentes zonas del cuerpo.
Sin embargo, para aprovechar la porción comestible de cachama en esta forma, es necesario tomar en cuenta varios factores que podrían incidir sobre la calidad de la misma, principalmente en lo que se refiere a su almacenamiento a bajas temperaturas.