Debido a que el estudio anterior sobre las posibilidades de comercialización de la cachama dio como resultado conclusiones que nos llevan a buscar nuevas alternativas para la exitosa comercialización de la misma, se ha creído conveniente realizar un estudio sobre la aplicación del deshuesado mecánico y el comportamiento de esta especie durante este proceso, el cual, generalmente, se ha experimentado en especies pequeñas, principalmente a los desechos de pesca arrastre del camarón. Por lo tanto, es necesario llevar a cabo una evaluación del proceso de deshuesado mecánico en la cachama.
Para este fin se empleó un lote, cuyas características de talla y peso se observan en la tabla 11. La talla de los ejemplares osciló entre 34 y 43.5 cm, obteniéndose un valor del rango de 9.5, mientras que el peso varió desde 1.1 a 2.4 Kg, teniéndose un valor de rango de 1.3. Se observa por medio de la desviación estándar, una homogeneidad tanto en los valores de talla como en los de peso, siendo esto importante ya que facilitó el acondicionamiento de los ejemplares para el proceso de deshuesado mecánico.
El proceso de deshuesado en esta especie en particular, no resulta tan sencillo como puede ser aquel realizado en especies pequeñas, ya que cada ejemplar necesita ser acondicionado para que pueda pasar por la máquina deshuesadora, debido a que esta especie presenta espinas grandes y fuertes. Una vez que se elimina la cabeza y vísceras, el ejemplar se hace pasar por la sierra mecánica, de manera de dividir el cuerpo axialmente. Posteriormente se hace necesario eliminar el hueso que se encuentra en la región ventral el cual es la unión de las costillas, este procedimiento es realmente importante ya que de lo contrario el pedazo no pasa por la máquina deshuesadora. Luego, si es necesario, se cortará éste axialmente en dos partes. Ya acondicionado cada ejemplar se procede al deshuesado mecánico.
Durante el proceso se observó que al hacer pasar por la máquina deshuesadora la parte correspondiente a la médula espinal, ocurre una secreción considerable de sangre, debido a la presión ejercida durante el proceso sobre la misma. Cada pedazo se hace pasar dos veces por la máquina deshuesadora. El primer paso se realiza con una mínima presión, de manera que no extrae todo el músculo adherido a la piel y los huesos, por esto se hace necesario el segundo paso del corte por la deshuesadora, en el cual se aplica una mayor presión.
| EJEMPLAR | TALLA (cm) | PESO (kg) |
| 1 | 42.5 | 1.60 |
| 2 | 36.6 | 1.15 |
| 3 | 40.0 | 1.55 |
| 4 | 40.0 | 1.70 |
| 5 | 43.5 | 2.00 |
| 6 | 38.0 | 1.25 |
| 7 | 43.0 | 2.40 |
| 8 | 39.0 | 1.80 |
| 9 | 43.5 | 2.35 |
| 10 | 36.5 | 1.55 |
| 11 | 41.0 | 2.00 |
| 12 | 43.0 | 2.20 |
| 13 | 43.0 | 1.75 |
| 14 | 42.5 | 2.00 |
| 15 | 43.0 | 1.90 |
| 16 | 38.0 | 1.40 |
| 17 | 37.5 | 1.45 |
| 18 | 38.0 | 1.50 |
| 19 | 41.0 | 1.75 |
| 20 | 34.0 | 1.10 |
| 21 | 40.0 | 1.50 |
| 22 | 41.0 | 1.74 |
| 23 | 41.0 | 1.70 |
| 24 | 36.5 | 1.35 |
| 25 | 36.0 | 1.20 |
| X | 38.18 | 1.68 |
| S | 14.38 | 14.53 |
| R | 9.5 | 1.3 |
X=Media. S=Desviación estándar. R=Rango.
| Vísceras | 7.28% |
| Cabeza | 23.86% |
| Pulpa | 36.78% |
Así se observa una gran secreción de sangre, también es posible notar que la pigmentación oscura de la piel, pasa a través de los orificios del tambor de la deshuesadora mecánica, produciendo, por lo tanto un cambio en la coloración del músculo molido resultante, observándose una heterogeneidad en el color del mismo. Igualmente, Jáuregui y Baker (1980), establecen que en la carne deshuesada de pescado ocurre un obscurecimiento durante y después del proceso de deshuesado, indicando que el primer cambio de color se presenta grisáceo y es debido a la liberación de pigmentos negros, melaninas, provenientes de la piel del pescado y es independiente de la presión ejercida durante el proceso.
Es realmente importante evaluar el rendimiento obtenido de carne deshuesada, ya que este parámetro también será indicativo de un mejor aprovechamiento de la porción comestible de la especie en estudio.
En la tabla 11 se puede observar que se obtuvo un rendimiento de carne deshuesada de 36, 78% con respecto al peso total. Este rendimiento es considerado un poco bajo. Sin embargo, Miyauchi y Steinberg (1970), indican que el rendimiento de carne deshuesada para diferentes especies, oscila entre un 30 y un 60%, cuya diferencia esta íntimamente relacionada con la anatomía del animal, ya que aquellos que presentan cabezas relativamente grandes y/o gran masa visceral, darán lugar a rendimientos de carne deshuesada relativamente bajos, como es el caso de la cachama, así, se puede observar que esta presenta un porcentaje de cabeza de 23.86 y de vísceras de 7.28, valores que corroboran la conclusión de estos autores.
El valor de rendimiento de 36.78%, indica que un 63.22% de la cachama es considerado desecho cuando este se quiere aprovechar en forma deshuesada, factor que es importante tomar en cuenta si se quiere comercializar la especie en forma de carne deshuesada. Sin embargo el valor de rendimiento obtenido, está dentro del rango encontrado para otras especies: Eucinostomus melanoptereus (española) 39.5%; Rhombolites aurorubens (cunaro) 38.70% y Trachinocephalus myops 33.67% (Rodríguez, 1985). Concluyendo, de esta manera que el rendimiento obtenido es adecuado para tomar el deshuesado mecánico como alternativa de aprovechamiento.
En la tabla 12 se puede observar, primeramente el análisis proximal, notándose que presenta valores bastante cercanos a los reportados por varios autores que han trabajado sobre carne deshuesada y su efecto sobre la composición proximal (Crawford y col., 1972; Webb y col., 1976; Fine y col., 1980; Gil y col., 1985; etc.). Los ejemplares usados para el proceso de deshuesado fueron escogidos de manera que estuvieran dentro de la categoría mediana de la clasificación por peso realizada al comienzo de la experiencia. Tenemos la composición proximal de esta categoría en el músculo intacto, al comparar estos valores podemos observar una similitud de los mismos a excepción de un aumento en el porcentaje de grasa, encontrándose valores de 1.3 en pescado intacto y 2.03 en pescado deshuesado. Es importante tomar en cuenta, que aunque no es el mismo lote, este aumento nos da una idea de lo que sucede con la grasa durante el proceso de deshuesado. Los pescados, en general, contienen una mayor cantidad de grasa en la zona entre la piel y el músculo. Durante el proceso de deshuesado, la máquina ejerce una fuerza de corte de cerca de la superficie de la piel, lo que resulta suficiente para remover el tejido graso unido a esta. Por otra parte, la médula ósea tiene un alto contenido de grasa que incrementa el nivel de lípidos en el tejido separado mecánicamente (Webb y col., 1976).
Igualmente, Gil y col. (1985), encuentran resultados similares cuando estudian la composición proximal de las especies cunaro, bagre y caballa en forma entera y deshuesada, observando que los valores de humedad, proteína y ceniza, presentan pequeñas fluctuaciones después del deshuesado, mientras que la grasa presentó un incremento en todo los casos.
Además de conocer la composición proximal de la carne deshuesada de cachama, también es importante tener información de sus características físicas y químicas con el fin de comprobar si esta carne puede ser considerada apta como materia prima para la elaboración de productos de consumo humano.
La carne deshuesada de cachama presentó un pH de 6.6 valor que se considera dentro del rango establecido para pescado fresco recién capturado (Connell, 1978; Kodaira, 1981). Así es indicado que al morir el animal, existen reacciones de hidrólisis gradual, dando lugar, cuando el proceso es completo, a un descenso del pH alrededor de 7 a 6 – 6.8 dependiendo de la especie y del estado del animal (Connell, 1978).
A pesar de que se conoce que el proceso de deshuesado acelera ciertas reacciones químicas, sería lógico esperar que el pH de la carne deshuesada se presente más alto. Sin embargo, el pH encontrado demuestra que el proceso como tal no afecta este pararámetro, posiblemente esto se deba a la capacidad buferizante de las proteínas del pescado.
Por otra parte se determino la rancidez oxidativa por medio de la prueba del ácido tiobarbitúrico (TBA), presentando un valor de D.O. de 0.28. Según lo recomendado por Tarladgis y col. (1960), si se multiplica este valor por el factor 7.8 se obtiene directamente miligramos de malonaldehido por kilogramo de muestra, de esta manera, la muestra analizada presenta 2.184 mg malonaldehido/Kg. Según Sinhuber y Yu (1958), citados por Licciardello y col. (1979), se debe considerar de poca calidad una carne de pescado que posea un número de TBA de 4 mg/Kg o valores superiores. De acuerdo a esto, podríamos considerar la carne deshuesada de cachama de calidad favorable en lo que se refiere al desarrollo de rancidez, considerándola apta para ser almacenada o para la elaboración de productos para el consumo humano.
Igualmente, se determinó Nitrógeno Básico Volátil, que es uno de lo índices más usados para determinar la calidad de frescura de los pescados. En nuestro caso, la carne deshuesada de cachama presentó un valor de 13.30 mg de N/100 g de muestra, valor que se encuentra dentro del límite de pescados comestibles, según lo reporta Stansby (1963).
Connell (1978), indica que 35 – 40 mg de N de Bases Volátiles Totales, se toma como límite, más allá del cual puede considerarse el pescado alterado para la mayoría de los fines. Lo expuesto por este autor nos indica el grado de frescura del pescado usado en este estudio.
| PARAMETRO | VALOR |
| Humedad: Proteínas: Grasa: Ceniza: ph: Acido tiobarbitúrico (TBA): Nitrógeno Básico Volátil (NBV): % de huesos y espinas: Capacidad de moldeabilidad: Firmeza: Microorganismos aerobios mesófilos: Microorganismos psicrófilos: | 79.69% 17.42% 2.03% 1.17% 6.6 0.28(D.O.)→2.184 mg malonaldehido/Kg. 13.30 mg N/100 g muestra. 48 partes/100 g de muestra. Condición 3. Condición 3. 3.8 × 103 UFC/g. 3.0 × 102 UFC/g. |
| LOTE/DETERMINACIONES | LOTE I | LOTE II | LOTE III |
| Peso total (Kg) | 30.07 | 24.30* | 10.05* |
| X (talla) (cm | 44.29 | 38.72 | 42.00 |
| S (talla) | 4.20 | 1.74 | 3.11 |
| X (peso) (kg) | 2.11 | 1.34 | 1.68 |
| S (peso) | 63.00 | 0.03 | 0.71 |
| Rendimiento carne deshuesada (%) | 33.75 | 42.45** | 48.28** |
* Peso total sin vísceras.
** Rendimiento en base al peso total sin vísceras.
Los resultados obtenidos de pH, TBA y NBV, nos indican que la carne deshuesada de cachama presenta características de frescura adecuadas para ser sometidas a un almacenamiento, sin que su descomposición sea acelerada por sus condiciones iniciales. Por otra parte, estos resultados indican que la materia prima se encontraba bastante fresca y que el proceso de deshuesado fue llevado a cabo en condiciones favorables de higiene a bajas temperaturas.
En cuanto a la evaluación microbiológica, la carne deshuesada de cachama presentó los siguientes valores: 3.8 × 103 UFC/g para aeróbios mesófilos y 3.0 × 102 para psicrófilos, los cuales son valores bastante bajos comparados con los resultados obtenidos por otros autores en carne deshuesada de pescado. Novoa (1982), evalúa el efecto del deshuesado sobre el crecimiento de microorganismos en pescado fresco, encontrando un contaje de aeróbios mesófilos a 32°C de 1.2×107 UFC/g después del deshuesado y de 6 × 108 de psicrófilos, recuento bastante alto comparado con la carne deshuesada de cachama. Igualmente, Raccach y Baker (1978), indican que el proceso de deshuesado produce un aumento en el recuento microbiano por una recontaminación del producto con el equipo. Esto comprueba lo expresado anteriormente con respecto a las condiciones en las cuales se realizó el proceso de deshuesado mecánico en la cachama.
Adicionalmente se realizaron algunas determinaciones físicas tales como porcentaje de espinas y huesos, capacidad de moldeabilidad y capacidad de firmeza, las cuales nos van a indicar importantes características de la carne deshuesada de cachama.
El contenido de espinas, escamas, partículas de huesos y piel, son varios de los factores que inciden en forma directa en la calidad de la carne de pescado como una consecuencia directa del proceso de deshuesado mecánico.
En este estudio se encontró un porcentaje de huesos y espinas de 48/100 g, cuyo tamaño oscilaba entre 0.031 hasta 0.25 pulgadas, valor que se podría considerar bastante bajo comparado con el obtenido por Patashnick y col. (1974), los cuales encuentran hasta 127 partículas por libras (430 g), cuya talla oscila entre 0.125 hasta 0.55 pulgadas. Estos autores indican que estas partículas no son detectadas por la evaluación sensorial. De esta manera es posible predecir que este factor no va a proporcionar problemas en cuanto a la aceptación de productos elaborados con esta materia prima.
Por otra parte, la carne deshuesada de cachama presentó características de moldeabilidad, donde se mantiene adherida al molde después de 10 segundos, esto nos puede indicar que esta carne presenta características de adherencia bastante fuertes, lo que podría resolverse ajustando la presión manual de manera que la carne se adhiera a la superficie de apoyo y no molde, lo que facilita su desprendimiento de este (Acosta, 1985).
En cuanto a la firmeza, se obtuvo que la carne deshuesada de cachama, aunque no se deformó a los 10 segundos se observó un desgarramiento de la misma, lo cual es debido a la poca cohesión entre las partículas. Este problema debe minimizarse o eliminarse con la adición de algún agente adhesivo (almidones) tal y como lo recomienda Acosta (1985).
De todo lo visto anteriormente, se concluye que la carne deshuesada de cachama, tiene características favorables en lo que se refiere a rendimiento, características físico-químicas y microbiológicas, que hacen posible tomar esta forma como una alternativa factible para su aprovechamiento tecnológico. Sin embargo, considerar este potencial como una fuente de solución sin un adecuado mantenimiento de la calidad y control de la misma, sería inadecuado su uso en la alimentación. De allí la necesidad de estudiar el comportamiento de esta materia a bajas temperaturas y con variados tratamientos.
En esta fase del estudio se requiere conocer la estabilidad de la carne deshuesada de cachama durante el almacenamiento en refrigeración, estudio que resulta de gran importancia debido a que hasta los momentos se han llevado a cabo muy pocos estudios tecnológicos de esta especie.
En la tabla 13, se puede observar las características de cada lote en lo que se refiere a talla y peso de los ejemplares de cada uno de ellos. De acuerdo a la desviación estándar el lote II presentó una mayor homogeneidad en cuanto a los valores de talla, siendo el más heterogéneo el I, resultando el lote II el más homogéneo en lo que se refiere a su peso, basado en la información suministrada por los valores de la desviación estándar.
Por otra parte, en la tabla 13, se encuentran representados los valores del rendimiento de carne deshuesada para cada uno de los lotes. Los resultados del lote I fueron calculados al peso total con vísceras, mientras que en el lote II y III, los resultados vienen dados por el peso total sin víceras. Se puede notar que los rendimientos de los lotes II y III, presentan un aumento de aproximadamente un 9% con relación al lote I, el cual corresponde a un 7% de las vísceras y se ha calculado el 2% restante, es aquel que se pierde por sangre y otros líquidos que fluyen durante el proceso de eviscerado. Los resultados de 33.75 de rendimiento sobre el peso total con vísceras y 42.45 y 43.28 con relación al peso total sin vísceras, son similares a los reportados por Rodríguez (1985) en estas mismas condiciones.
En la tabla 14, se representa la composición proximal de la carne deshuesada de cachama para los tres lotes estudiados. Según se observa, tanto los valores de humedad, proteína y ceniza, en los tres lotes respectivos, se presentan bastante similares.
La composición proximal de la carne deshuesada de cachama en lo que se refiere a humedad, proteína y ceniza, es comparable con la obtenida, en cachama entera, donde reportó que la humedad presentaba valores de 79.49; 79.77 y 80.98, la proteína cruda de 17.49; 17.13 y 16.52 y ceniza de 1.49; 1.00 y 1.07 para tres lotes diferentes de cachama. Esto es indicativo de que el proceso de deshuesado no altera la composición proximal, al menos en lo que se refiere a humedad, proteína y ceniza (Gil y col. 1985).
Los valores de grasa, presentan ciertas variaciones entre sí, para los lotes I, II y II respectivamente, lo cual es debido a diferencias de peso entre los tres lotes, ya que este está muy relacionado con el porcentaje de grasa.
Es bien conocido que durante el proceso de deshuesado, la máquina ejerce una fuerza de corte cerca de la superficie de la piel, lo cual es suficiente para remover la grasa unida a esta (Webb y col, 1976).
Generalmente, con el proceso de deshuesado ocurre un aumento, de aproximadamente el doble, de la cantidad de grasa (Gill y col. 1985). De acuerdo a esto se podría inferir que el porcentaje de grasa de la cachama usadas en este estudio, estaba cerca del 1% lo cual debe corresponder con el valor de grasa de los ejemplares denominados medianos, clasificación hecha en la primera fase de este estudio.
Cuando se realiza un análisis de varianza con un 95% de confianza, para los tres lotes en función de la composición proximal, los resultados nos indican que no existe diferencia estadísticamente significativa, es decir que los tres lotes presentaron características similares en lo que se refiere a humedad, proteína, cenizas y grasa (tabla 15). Esto nos indica que independientemente de la época de capture, las cachamas presentan iguales características en lo que se refiere a composición proximal. Por otra parte esto da una idea de que las condiciones en que se mantienen estos animales en cautiverio son bastante homogéneas y por lo tanto la muestra tomada para este estudio puede considerarse representativa.
La prueba del TBA ha sido ampliamente usada para evaluar la rancidez oxidativa, especialmente en productos pesqueros. Este ensayo se basa en la reacción entre el malonaldehido, producto de la rancidez oxidativa, y dos moléculas de TBA, para dar un complejo de color rojo que se puede medir a 538 nm.
En al figura 23 se puede observar los resultados obtenidos de la prueba TBA expresados como la densidad óptica (D.O.) para los tres lotes estudiados. Puede notarse que el lote I ya en el tiempo O presenta valores altos en el TBA, observándose un aumento para luego mantenerse constante en un valor de 1 de D.O.. Si multiplicamos estos valores por el factor 7.8 para convertirlos en mg de malonaldehido/kg, encontramos que para el tiempo O la carne deshuesada de cachama presenta valores de 5.15. Como se dijo anteriormente, se considera de poca calidad con carne que posea valores de números de TBA de 4 mg/Kg o valores superiores.
La carne deshuesada de pescado en más susceptible a la rancidez oxidativa que la carne en forma de filetes, debido a que luego del proceso de deshuesado mecánico, el músculo de pescado se transforma en partículas más pequeñas, con lo cual aumenta la superficie efectiva en contacto con el oxígeno del medio y si la carne presenta mayor cantidad de grasa, los procesos de rancidez oxidativa se ven altamente acelerados, aún con bajas concentraciones de oxígeno en el medio (Morris y Dawson, 1979).
Este lote posee aproximadamente un 2% de grasa y tal como expone Morris y Dawson (1979), es importante tomar las medidas necesarias para que los procesos de rancidez oxidativa no se vean acelerados, principalmente en carne deshuesada y con esta cantidad de grasa.
En el lote II se puede observar que los valores de D.O. van desde 0.06 en el día O hasta 0.28 en el día 21, valores que corresponden a 0.47 y 2.18 mg malonaldehido/Kg de pescado, notándose claramente la tendencia a aumentar en el tiempo, con algunas fluctuaciones a lo largo del período de almacenamiento. Sin embargo, en el último día de almacenamiento de la carne deshuesada en este lote puede considerarse de buena calidad en cuanto al desarrollo de rancidez oxidativa, según lo reportado por Sinhuber y Yu (1958), citados por Licciardello y col. (1979).
| LOTES/DETERMINACION | LOTE I | LOTE II | LOTE III |
| Humedad | 79.69 | 79.49 | 79.23 |
| Proteína | 17.42 | 16.82 | 16.65 |
| Grasa | 2.03 | 1.62 | 3.42 |
| Ceniza | 0.88 | 1.12 | 1.07 |
A pesar de que el contenido de grasa del lote II 81.62%) fue algo menor que el lote I (2.03), este valor no implica un mejor comportamiento en cuanto al desarrollo de rancidez. En este lote se tomaron las precauciones para evitar en lo posible el desarrollo tan rápido de la rancidez oxidativa. Así por ejemplo, el proceso en sí se llevo a cabo con una materia prima con excelente estado de frescura. Por otra parte, el proceso de deshuesado se realizó lo más rápido posible y a bajas temperaturas, por lo que las reacciones de rancidez oxidativa no comenzaron durante el proceso de deshuesado mecánico, sino ya durante el almacenamiento en refrigeración.
| FUENTE DE VARIACION | GL. | F. CALC. | F. TAB. |
| Lotes | 2 | ||
| Error | 13 | 1.16 | 3.80 |
| Total | 15 |
El lote III fue el que presentó mayor cantidad de grasa (3.42%), sin embargo presentó un desarrollo de rancidez intermedia, como se observa claramente en la figura 23. Este lote presentó valores de 0.5 al inicio del almacenamiento y de 0.66 al final, aumento que no se puede considerar de gran significancia, sin embargo, valores de 0.66 de D.O. equivale a 5.15 mg de malonaldehido/Kg de muestra, lo que hemos considerado, hasta ahora, una carne de poca calidad en lo que se refiere a rancidez oxidativa.
Por lo tanto, es importante para que la carne deshuesada mantenga valores estables y bajos durante el almacenamiento en refrigeración, tomar en cuenta dos factores importantes que son la cantidad de grasa en la materia prima y la rapidez con que se lleva a cabo el proceso, de modo de no mantener la carne deshuesada mucho tiempo en contacto con el oxígeno.
Los resultados obtenidos en los valores de TBA para los tres lotes, no nos proporcionan un patrón definido del comportamiento de la cachama deshuesada con respecto al desarrollo de rancidez durante el almacenamiento en refrigeración. Este puede ser debido, a parte de lo expuesto anteriormente, a una diferencia en las poblaciones utilizadas para cada lote.
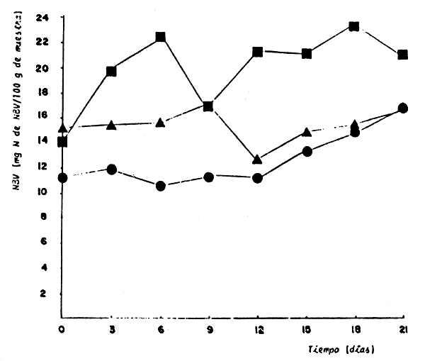
El nitrógeno básico volátil ha sido una determinación usada como un índice de frescura en productos pesqueros. La aplicación de esta determinación resulta bastante amplia, principalmente en las especies de agua dulce, ya que no tienen trietilamina (Connell, 1978). Los resultados obtenidos de esta determinación se encuentran representados en la figura 24.
Se puede observar que para el tiempo O los valores de NBV fueron de 11.2; 14.0 y 15.05 N/100 g para los lotes I, II y III respectivamente. Según lo expuesto por Stansby (1963), la carne deshuesada del lote I puede ser considerada fresca, ya que este autor indica esto si el contenido d NBV es de 12 o menos. Por otra parte, la carne deshuesada de cachama de los lotes II y III, están dentro del rango descrito por el autor para pescado comestible con ligera descomposición.

Fig. No23.- Valores de TBA expresados como D.O. en cachama deshuesada almacenada durante 21 días a 0°C.
Lote I:
Lote II: ▲
Lote III:

Fig. No24. - Valores de NBV en carne de cachama deshuesada almacenada a 0°C por 21 días (tres lotes).
Lote I:
Lote II: ▲
Lote III:
En general, los valores de NBV para el lote I presentan un aumento progresivo a partir de los 15 días de almacenamiento como se observa en la figura 24.
El lote II presenta fluctuaciones a lo largo del período de almacenamiento presentando los mayores valores de NBV de los tres lotes estudiados, teniendo al final del período de almacenamiento valores de 21 mg N/100 g.
Igualmente, el lote III presenta fluctuaciones, pero sin embargo con relación al valor inicial de 15.05 mg N/100 g, no se observó un aumento brusco al final del período de almacenamiento, donde se obtuvo un valor de 16.80 mg N/100 g.
Según Balkrishnan Nair y col (1971), las bases nitrogenadas volátiles totales, incrementan lentamente durante el almacenamiento por refrigeración en pescados de agua dulce, e indican, además que estas no son adecuadas como índices de deterioro durante los estados tempranos de almacenamiento, conociéndose que este parámetro permanece casi constante durante los primeros 12 días y aún al final del período de almacenamiento se encuentra dentro del límite (30 mg N/100 g), lo que realmente sucede en las muestras de cachama deshuesada para los tres lotes.
A pesar de que algunas referencias indican que valores bajos de NBV, tales como los encontrados en esta experiencia, no implican que el pescado este deteriorado. En este estudio se observó que al final del período de almacenamiento, la carne deshuesada de cachama presentó características organolépticas inapropiadas para ser consumidas, tales como olor pútrido y una coloración verduzca, así como también una acumulación de líquido exudado en el material de empaque.
Por esta razón este índice no resulta apropiado para evaluar la frescura de la carne deshuesada de cachama en refrigeración. Sin embargo, es de gran importancia tomar en cuenta que la velocidad con que estas sustancias aumentan, depende de la especie. De esta manera si se va a estimar el grado de alteración de una muestra de una especie determinada, debe conocerse previamente la velocidad de aumento de la formación de la sustancia de la especie estudiada. (Connell, 1978).
El pH del músculo también se ha considerado como un indicador de la frescura del pescado. Después de 24 horas de muerto, el músculo de pescado alcanza valores cercanos a 6.5 ó más bajos. Por pocos días el pH se mantiene en la vecindad de este valor, donde el pescado se mantiene fresco (Connell, 1978).
Igualmente para pH se realizaron medidas cada tres días a lo largo del período de almacenamiento de refrigeración de la carne deshuesada de cachama para lo tres lotes estudiados.
En la tabla 16 se puede observar estos valores. En general, para los tres lotes se observa una tendencia a mantenerse constante a lo largo del almacenamiento, notándose que el lote I presentó los valores más altos, sin embargo, se mantuvo en un rango de 6.7 a 6.8, lo cual no se puede considerar un aumento representativo. Por otra parte, los lotes II y III presentan valores de pH bastantes cercanos encontrando un valor inicial de 6.4 manteniendo un valor de 6.6 y 6.5 los lotes I y II respectivamente al término del almacenamiento.
Igualmente, Kodaira (1981), tampoco encontró fluctuaciones que se pudieran considerar notables en el pH de la carne deshuesada de curvinata almacenada de - 10°C por 5 meses. En un estudio realizado por Lahiry y col. (1963, se expone que el pH de las especies de agua dulce, generalmente no presentan cambios apreciables en los primeros 12 días, pero luego el aumento se hace significativo, e indican que el aumento de pH es debido a la producción de amonio y de aminas. Por esta razón era de esperar que el pH aumentara, ya que las bases volátiles, como se vio anteriormente, presentaron un aumento, principalmente en el lote II. Sin embargo, esta acumulación de metabolitos básicos, resultantes de la actividad autolítica y posiblemente bacteriana, podría considerarse insuficiente para producir un aumento de pH. El insignificate aumento de pH, a pesar del aumento encontrado, en las bases volátiles, demuestra una vez más la capacidad amortiguadora que presentan las proteínas del músculo de pescado.
Durante el proceso de deshuesado se producen una maceración de tejido produciendose un incremento en la tasa de las reacciones químicas, liberando material rico en nutrientes, tales como aminoácidos, vitaminas, bases nitrogenadas y otros, haciendo la carne deshuesada un medio rico para el crecimiento bacteriano, aún más que el pescado fresco (Raccach y Baker, 1978).
En el presente estudio se evaluó la calidad microbiológica en lo que se refiere a aeróbios mesófilos y psicrófilos de la carne deshuesada de cachama bajo condiciones de refrigeración a 0°C en tres lotes diferente.
Los resultados obtenidos de aeróbios mesófilos en 21 días de almacenamiento, se encuentran representados en la figura 25. Se observa que para el tiempo 0 se obtuvo un recuento de 4×104; 1.8×104 y 5.0×103 para los lotes I, II y III respectivamente, valores que se podían considerar bajos para carne deshuesada. Estos resultados determinan la frescura de la materia prima, ya que según Liston y Matches (1976), los pescados frescos recién capturados típicamente presentan una población bacteriana entre 102 y 103 org./g. Igualmente se evidencia que hubo un control higiénico adecuado en el proceso de deshuesado.
Cabe destacar, que los resultados iniciales de los tres lotes se encuentran dentro de los estandares establecidos por la ICMSF (1974) de aceptabilidad microbiológica, ya que lo propuesto por estas comisiones es que se considera inaceptable microbiológicamente aquellos pescados que contengan un recuento mayor de 106 UCF/g.
Al comparar estos valores iniciales obtenidos en este estudio para los tres lotes con los reportados en cachama entera (1.5×103), se puede observar que existe un aumento de diez veces, lo cual es perfectamente lógico según lo reportado por Raccach y Baker (1978), quienes investigaron las propiedades microbiológicas de la carne de pescado deshuesada mecánicamente de especies de río y de mar tradicionales y sub-utilizadas llegando a concluir que el deshuesado mecánico incrementó el recuento bacteriano diez veces.
| DIAS | pH | ||
|---|---|---|---|
| LOTE I | LOTE II | LOTE III | |
| 0 | 6.8 | 6.4 | 6.4 |
| 3 | 6.7 | 6.4 | 6.4 |
| 6 | 6.7 | 6.4 | 6.5 |
| 9 | 6.6 | 6.5 | 6.5 |
| 12 | 6.6 | 6.5 | 6.5 |
| 15 | 6.6 | 6.5 | 6.6 |
| 18 | 6.7 | 6.5 | 6.6 |
| 21 | 6.7 | 6.5 | 6.6 |
| FUENTE DE VARIACION | GL. | F. CALC. | F. TAB. |
| Lotes | 2 | ||
| TBA | 21 | 121.89 | |
| NBV | 21 | 584.50 | |
| pH | 21 | 20.80 | 3.47 |
| Mesófilos | 21 | 0.16 | |
| Psicrótrofos | 21 | 0.26 | |
| Error | 23 |
Nota: El análisis de varinza para cada uno de los parámetros fue realizado independientemente.
Por otra parte Novoa (1982), encuentra un recuento de aeróbios mesófilos en el músculo de pescado antes del deshuesado de 1.3×106 después del deshuesado de 1.2×107 UFC/g.
Ahora bien, como se observa en la figura 25, para los tres lotes, ya a los 12 días, la carne deshuesada de cachama se puede considerar inaceptable microbiológicamente, según lo indica ICMSF (1974) llegando a valores de 7.5×108; 1.3 ×108 y 1.2×108 para el lote I, II y III respectivamente, al final del almacenamiento.
La figura 25 muestra un aumento progresivo y casi constante, notándose claramente el aumento de casi cien veces a los 12 días de almacenamiento.
Con respecto a los microorganismos psicrófilos, se conoce que estos alteran la carne refrigerada y acortan su tiempo de vida media. su aislamiento y determinación es una importante tarea del control microbiológico.
Se puede observar en la figura 26 que al inicio de la experiencia se obtuvo un contaje de 4.1 × 103; 2.7 × 104 y 5.4 × 104 para los lotes I, II y III respectivamente, llegando al final del almacenamiento, cuando el deterioro era evidente, a contaje de 108 UFC/g para los tres lotes.
Resultados similares fueron reportados por Gonzáles (1984) al realizar evaluaciones microbiológicas en pescado fresco a temperaturas de refrigeración, encontrando que los valores iniciales de psicrófilos estuvieron comprendidos entre 103-105 UFC/g y al final del almacenamiento oscilron entre 107 y 109 UFC/g.
Al observar la figura 26, podemos notar, igualmente para los aeróbios mesófilos, que el aumento de microorganismos psicrófilos es progresivo y constante en el tiempo, y que de la misma manera en el día 12, se considera la carne deshuesada de cachama inaceptable microbiológicamente (ICMSF, 1974).
La similaridad de los resultados de aeróbios mesófilos y psicrófilos han sido reportados por varios autores, principalmente en los estudios de pescados de aguas tropicales. Novoa (1982); Ramírez (1985), donde señalan que la mayoría de las especies de pescado provenientes de aguas cálidas, se caracterizan por presentar poblaciones bacterianas compuestas por microorganismos mesófilos, algunos de los cuales son capaces de crecer y multiplicarse a las temperaturas de refrigeración comúnmente utilizadas. Por esta razón, varios autores han denominado a estos microorganismos “psicrotrofos”. (Connell, 1978; Noskawa, 1972).
Los resultados microbiológicos obtenidos en la carne deshuesada de cachama mantenida en refrigeración, nos indican que este almacenamiento sólo puede prolongarse por 9 días a 0°C, donde todavía se puede considerar aceptable microbiológicamente. Por otra parte, debido al comportamiento similar de los aeróbios psicrófilos, se podría controlar su calidad realizando un seguimiento de los microorganismos mesófilos, cuya determinación se realiza en más corto tiempo.

Fig. No25.- Cambio en el log. de aerobios mesófilos en carne deshuesada de cachama refrigerada a 0°C por 21 días.
Lote I:
Lote II: ▲
Lote III:

Fig. No26.- Cambio en el log. del número de psicrófilos en carne de cachama deshuesada almacenada a 0°C por 21 días.
Lote I:
Lote II: ▲
Lote III:
Al final de este estudio se realizó un análisis de varianza con un 95%de confianza, con el fin de evaluar la semejanza de los lotes en cuanto a los parámetros estudiados (TBA, NBV, pH, aeróbios mesófilos y psicrotrofos). Los resultados de estos análisis se encuentran reportados en la tabla 17. Se puede observar que tanto para el TBA, NBV y pH el F calculado fue mayor que el F tabulado, es decir, que existen diferencias significativas en el comportamiento de estos parámetros en los tres lotes, esto nos indica que no se presenta un patrón definido en el comportamiento de estos parámetros para los tres lotes estudiados. Sin embargo se puede observar que para aeróbios mesófilos y psicrótrofos el F calculado es menor que el F tabulado, lo que nos indica que el comportamiento microbiológico de la carne deshuesada de cachama no se encontró diferencia significativa en los tres lotes estudiados.
Como se explicó anteriormente, las diferencias observadas en los parámetros químicos pueden ser debidas a factores que no se toman en cuenta en el análisis de varianza, como por ejemplo el porcentaje de grasa, manipulación, como se ha llevado a cabo el proceso de deshuesado, etc.
Así el análisis de varianza indica que las diferencias existentes entre las medidas de los lotes no son debidas a errores de muestreo, sino a una diferencia real entre las poblaciones.
Los resultados obtenidos en esta fase del estudio, indican que los índices físico-químicos TBA, pH, NBV, no nos proporcionan información adecuada para evaluar el deterioro en el almacenamiento a temperaturas de refrigeración, sin embargo, los resultados indican que el almacenamiento sólo puede ser prolongado por 9 días, después de los cuales se considera la carne deshuesada de cachama deteriorada microbiológicamente.
En esta fase del estudio se quiere conocer el comportamiento de la carne deshuesada de cachama, en congelación y obtener el efecto de diferentes tratamientos, que por diversas razones pueden mejorar su calidad.
Uno de los tratamientos fue la adición de tripolifosfato de sodio, un agente crioprotector, debido a que el músculo de pescado en congelación sufre alteraciones en sus proteínas provocando serios problemas en lo que se refiere a su textura y pérdida de nutrientes, como se expone en la revisión bibliográfica. Este agente provee ciertas ventajas debido a que reduce el líquido exudado, incrementando la capacidad de retención de agua en el músculo del pescado (Bolin y Connick, 1976; Miyauchi, 1972; Figueroa y col., 1980).
Por otra parte, la carne deshuesada de cachama, presentó poca cohesión entre las partículas, lo cual comprobó al realizar la prueba de firmeza explicada anteriormente. Por esta razón, otro de los tratamientos fue la adición de un agente adhesivo como el almidón de maíz con el cual se mejora esta característica, además de imprimir un mejor color a la carne deshuesada de cachama.
Por último, la carne deshuesada de cachama fue sometida a un lavado, el cual es un tratamiento mejorador de la calidad, debido a que este elimina sustancias solubles en agua tales como compuestos hemo, grasa, proteínas, etc, mejorando algunas características, como se indicará posteriormente.
En la tabla 18 se puede observar los valores obtenidos de la composición proximal de los bloques de cachama deshuesada control y con diferentes tratamientos. El bloque con TPF presenta valores similares al bloque control en cuanto a humedad (80.08), proteína (16.91) y grasa (1.26), sin embargo, la calidad de ceniza (1.26) se ve aumentada en este bloque justamente por la adición de la sal de TPF. Igualmente, Rodríguez (1985) reportó que no hubo diferencias entre el control y el bloque con TPF y sal en lo que se refiere a los mismos componentes, pero sí en cuanto a los valores de ceniza.
| % | CONTROL | TPF | A.A | LAVADA |
| Humedad | 79.69 | 80.08 | 75.07 | 84.30 |
| Proteínas | 17.42 | 16.91 | 14.38 | 13.67 |
| Grasa | 2.03 | 1.64 | 1.90 | 0.95 |
| Ceniza | 0.88 | 1.26 | 1.26 | 0.65 |
| Carbohidratos | 7.39 |
TPF: Adición de 0.5% de tripolifosfato de sodio.
A.A: Adición de almidón de maíz como agente adhesivo (7.5%).
El bloque con agente adhesivo (almidón de maíz), presentó una disminución en el porcentaje de humedad (75.07) y proteínas (14.38), esto es debido a un efecto de sustitución al añadir cualquier tipo de ingredientes que posea otra composición proximal, además en este caso existe un componente nuevo que son los carbohidratos, cuyo valor se obtiene por diferencia (7.4%). Resultados similares son reportados por Rodríguez (1985), quien obtiene un valor de 7.5% de carbohidratos en el bloque que contienen almidón de maíz.

Fig. No27.- Valores de TBA de cachama deshuesada con diferentes tratamientos almacenada a -30°C por 4 meses.
O : Control.
: T.P.F.
□ : A.A.
∆ : Lavada.

Fig. No28.- Valores de NBV en carne de cachama deshuesada con diferentes tratamientos almacenada a-30°C por 4 meses.
O : Control.
: T.P.F.
□ : A.A.
∆ : Lavada.
El bloque de carne deshuesada lavado, presentó una humedad alta (84.30%), hecho que generalmente ocurre cuando la carne se somete a este tratamiento, debido seguramente a que el prensado manual no fue lo suficientemente efectivo o que no se obtiene un grado óptimo de eliminación de agua cuando se usa otro método para ello.
Miyauchi y col. (1975), reportan que los bloques lavados de carne deshuesada de roca negro y los “Allaska pollock” (Myauchi y col. 1977), presentaron un aumento de 4% en la humedad con respecto a los bloques no lavados. Igualmente Rodríguez (1985), reporta resultados similares, encontrando un aumento en la humedad de un 3% con respecto al bloque control.
Por otra parte, se observa en el bloque lavado una disminución en los otros componentes (Proteína: 13.67%; grasa: 0.95% y ceniza: 0.65%), esto se debe a que un aumento de humedad implica una disminución relativa de los otros componentes, además el lavado elimina algunas proteínas solubles en agua, grasa y otros componentes, contribuyendo esto a la disminución observada.
Los resultados obtenidos en esta experiencia están reportados en la figura 27. El análisis de varianza, con un 95% de confianza (Tabla 19), indica que no existe diferencias significativas en relación a los cambios de TBA durante el tiempo de almacenamiento, manteniéndose aproximadamente constante. Sin embargo, la muestra control presenta una disminución considerable en el mes 2, de almacenamiento, lo cual no es reportado en el análisis de varianza ya que las medias obtenidas son bastante similares. La disminución en los valores de TBA ha sido reportado por diversos autores. Botta y Richards (1973), en una experiencia realizada con “Habilut” y salmón, señalan que el malonaldehido podría reaccionar con el grupo amino de la miosina, disminuyendo así, su cantidad efectiva que pueda reaccionar con el ácido tiobarbitúrico y por lo tanto la absorbencia será menor.
Igualmente, Castell (1971), expone que la disposición de la proteína en aminoácidos, también es un factor que, posiblemente contribuye a la disminución del TBA. Según Know y col. (1965), estos aminoácidos reaccionan con el malonaldehido y otros aldehidos. Por otra parte, Rodríguez (1985) reporta resultados similares, observando una disminución en los valores de TBA en el tiempo al trabajar con bloques de carne deshuesada congelados.
El análisis de varianza también nos indica que los tratamientos aplicados a la carne deshuesada de cachama, influyeron en el desarrollo de rancidez oxidativa, es decir, existe una diferencia estadísticamente significativa entre los tratamientos.
La muestra lavada presentó valores más bajos en D.O., lo que refleja una poca producción de malonaldehido producto de la rancidez. Este hecho puede explicarse debido a que el proceso de lavado se elimina grasa y hemoproteínas, las cuales son prooxidantes, por esta razón, Miyauchi (1972), indica que el lavado podría ser una alternativa para el uso de antioxidantes. Por otra parte, al remover lípidos y lipoproteínas se puede reducir la predisposición a la rancidez oxidativa.
El bloque con agente adhesivo presentó los mayores valores de rancidez oxidativa. Este fenómeno puede deberse, primero a que este bloque presento un porcentaje de grasa (1.90) que se puede considerar alto, lo cual lleva implícito un desarrollo de rancidez mayor. Por otra parte, al observar la composición del ingrediente usado, se evidencia la presencia de hierro como mineral constitutivo de la misma. Es conocido que algunos metales pesados son considerados prooxidantes importantes. Olcott (1962), indica que las trazas de metales aceleran el proceso de oxidación, incrementando la tasa de formación de radicales libres, de esta manera se acorta el período de inducción.
| FUENTE DE VARIACION | GL. | F. CALC. | F. TAB. |
| Tratamiento | 3 | 5.5 | 3.49 |
| Tiempo | 4 | 0.5 | 3.26 |
| Error | 12 | ||
| Total | 19 |
Igualmente Castell (1971), ha demostrado que la oxidación de los lípidos es inducida por la adición de ciertas cantidades de iones metálicos pesados. En general, Cu++, fe++ y V++ se señalan como los catalizadores más activos.
La tabla 20 presenta los resultados obtenidos de este parámetro expresado como mg de malonaldehido/kg de muestra obtenidos multiplicando los valores de D.O. por el factor 7.8.
En general, se observa que los valores iniciales para las muestras control (5.97); TPF (5.07) y A.A. (4.91), son mayores de 4 mg Malonaldehido/Kg, lo cual es considerado un producto de baja calidad en lo que se refiere a rancidez oxidativa, según lo reportado por Sinhuber y Yu (1958) citados por Licciardello y col. (1979). Los altos valores iniciales son debidos a que las muestras presentaron valores relativamente altos de grasa: 2.03; 1.64 y 1.90 para las muestras de control, TPF y A.A. respectivamente. Igualmente es importante tomar en cuenta que durante el proceso de deshuesado mecánico se produce una secreción considerable de sangre, aumentando la cantidad efectiva de compuestos hemo. Como se dijo anteriormente, estos compuestos son prooxidantes. Se conoce que todos los compuestos hemos naturales catalizan la oxidación de lípidos insaturados (Tappell, 1965).
Igualmente, se conoce que las reacciones de iniciación y propagación rápidas durante la oxidación de los lípidos, son catalizadas por compuestos hemo, así, el período de inducción es más corto cuando el proceso de oxidación es espontáneo (Tappell, 1962).
Al final del almacenamiento las muestras control, TPF y lavada, presentaron valores por debajo de 4 mg lo cual implica una disminución de la rancidez, llegando a niveles admisibles en lo que se refiere a este parámetro. Sin embargo, sería necesario realizar paralelamente pruebas sensoriales de rancidez con el fin de comprobar si esta disminución aparente es detectada por los panelistas.
| MESES/TRATAMIENTOS | TBA (mg MALONALDEHIDO/Kg) | ||||
| 0 | 1 | 2 | 3 | 4 | |
| Control | 5.07 | 5.62 | 2.18 | 2.42 | 2.26 |
| TPF | 5.07 | 4.52 | 4.06 | 4.06 | 3.59 |
| A.A. | 4.91 | 5.46 | 5.46 | 5.07 | 4.83 |
| Lavada | 0.86 | 1.01 | 1.17 | ---- | 1.25 |
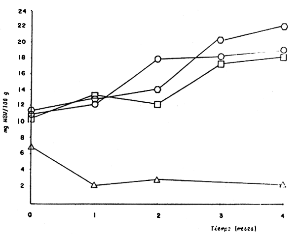
Los resultados obtenidos de esta determinación para los bloques de carne deshuesada de cachama almacenados a -30°C, se encuentran representados en la figura 28. El análisis de varianza realizado con un 95% de confianza (tabla 21), indica que los cambios observados en el tiempo para los 4 bloques son estadísticamente significativos. Los bloques control, TPF y A.A., presentaron aumentos en las bases volátiles desde 11.21 a 19.40, mientras que en el bloque lavado se observó una disminución a partir del primer mes, manteniéndose luego constante durante los siguientes meses de almacenamiento.
Deben tomarse precauciones cuando se comparan valores de NBV, ya que los resultados van a depender del método que se haya empleado para su determinación (Connell, 1978).
En general, según los valores obtenidos, se considera que estos bloques llegaron al final del almacenamiento con un grado de deterioro incipiente, no sobrepasando los 35 a 40 mg N/100 g muestra, límite más allá del cual los pescados se consideran demasiado alterados para la mayoría de los fines (Connell, 1978). Igualmente el análisis de varianza indica una diferencia significativa en cunato al comportamiento de las muestras.
Principalmente el lavado influyó en los valores de NBV, observando que este índice disminuye notablemente como se observa en la figura 28. Indudablemente, durante el proceso de lavado se eliminaron compuestos considerados precursores de las bases volátiles, como por ejemplo algunas enzimas. El proceso de lavado elimina proteínas solubles en agua, pudiendo estar entre ellas enzimas y también, compuestos volátiles, lo cual implica una menor cantidad d estos en comparación con los demás bloques.
Igualmente, Licciardello (1979), indica que el proceso de lavado de la carne puede producir una disminución bastante drástica en los niveles de NBV.
| FUENTE DE VARIACION | GL. | F. CALC. | F. TAB. |
| Tratamiento | 3 | 25.38 | 3.49 |
| Tiempo | 4 | 9.17 | 3.26 |
| Error | 12 | ||
| Total | 19 |
Por otra parte, Rodríguez (1985), reporta resultados similares en el bloque de carne lavada. Giamo (1982), reporta que solo un lavado con una porción de agua: pescado de 4:1, para que se pierda alrededor del 50% de nitrógeno no protéico en la carne deshuesada de broza.
Se ha mencionado constantemente que el aumento en las bases volátiles esta estrechamente relacionado con el crecimiento bacteriano. Babbit y col. (1972), indica que en términos generales, la producción de las bases volátiles en el músculo de pescado ha sido asociada a la acción de las enzimas, existiendo una estrecha relación entre el número de bacterias presentes y la cantidad de estos compuestos.
En este estudio se quiso conocer si esta relación se cumple, para este fin se realizaron los cálculos de los coeficientes de relación entre el NBV y los aeróbios mesófilos y los psicrófilos, lo cual se reporta en la tabla 22. Se puede observar que existe una correlación positiva, variando su significancia según la muestra. Principalmente en lo que se refiere a los aerobios mesófilos, donde se determino que la muestra con TPF presentó una correlación positiva altamente significativa mientras que las muestras control y A.A. presentaron correlaciones positivas pero poco significativas. Sin embargo, de acuerdo a los resultados de los coeficientes de correlación obtenidos, es probable que el desarrollo de NBV este estrechamente relacionado con el desarrolo de los microorganismo psicrófilos, lo cual corrobora lo expuesto por los autores antes mencionados.
Por otra parte, se conoce que aunque las temperaturas disminuyen la actividad bioquímica de las bacterias se mantiene, aunque a menor velocidad metabólica (Noskowa, 1972).
La naturaleza del proceso de deshuesado, ofrece una oportunidad para incrementar el contenido microbiólogico, a menos que las prácticas de manufactura sean en condiciones de higiene estrictas. Pero sin embargo, el aumento en el área de superficie creado por el rompimiento de la integridad celular provee condiciones favorables para el crecimiento microbiano, lo cual podría minimizarse manteniendo el menor tiempo posible esta materia prima a altas temperaturas, por lo que es importante someter esta carne deshuesada a una rápida congelación (Licciardello y Hill, 1978).
La congelación es una de las formas que ha sido más usada, no sólo para disminuir la actividad enzimática propia del tejido, sino para evitar la proliferación bacteriana (Nickelson y col., 1980).
Los resultados de las pruebas microbiológicas en lo que se refiere a aeróbios mesófilos, para los 4 bloques, se encuentran representados en la figura 29. Se puede observar un comportamiento similar, notándose en la muestra control una disminución en el número de microorganismos mesófilos a partir del tercer mes de almacenamiento, siendo esta reducción de 1.3 unidades logarítmicas. Así mismo, Novoa (1982), encontró una disminución en los aeróbios totales de una unidad logarítmica al trabajar con curvinata. Sin embargo, las muestras TPF y A.A. presentaron una población aproximadamente constante a través del período de almacenamiento. Lamentablemente no se tienen datos en la muestra lavada en los 2 últimos meses, debido a ciertos inconvenientes que se presentaron con la misma.
En la tabla 23 se observan los resultados del análisis de varianza, indicando este que no hubo diferencias significativas del recuento de aeróbios mesófilos a lo largo del tiempo de almacenamiento, esto nos indica que la congelación no afectó el crecimiento bacteriano.
Igualmente Raccach y Baker (1968), no reportan diferencias significativas entre los recuentos microbianos a lo largo del tiempo d almacenamiento a -25°C. Por otra parte, Nickelson II y col. (1980), no encuentran diferencias notables en el recuento de aeróbios a lo largo d 6 meses de almacenamiento a -20°C en varias especies no tradicionales del golfo de México, por el contrario, los autores reportan aumentos en el contaje de aeróbios hasta de 1.31 unidades logarítmicas en la especie “Black drum” mientras en tilapia encuentran una disminución de 0.28, lo que considera incipiente.
| NBV | AEROBIOS MESOFILOS | PSICROFILOS |
| Control | 0.32 | 0.71 |
| TPF | 0.85 | 0.70 |
| A.A. | 0.54 | 0.62 |
| FUENTE DE VARIACION | GL. | F. CAL. | F. TAB. |
| Tratamientos | 2 | 0.12 | 4.46 |
| Tiempo | 4 | 1.23 | 3.84 |
| Error | 8 | ||
| Total | 14 |
El análisis de varianza también indica que no hubo diferencias significativas entre los tratamientos, es decir, que estos tratamientos no afectaron el crecimiento microbiano. Aunque los resultados de la muestra lavada no se incluyeron en el análisis de varianza, se podría inferir, de acuerdo a los datos obtenidos, que este tratamiento tampoco influyó en reducción de la carga microbiana, por este hecho se recomendaría la aplicación de mayor número de lavados.
Con respecto a esto, Rodríguez 1985), reporta conclusiones similares en carne deshuesada producto de una mezcla de especies sub-utilizadas. Los resultados del contaje de microorganismos psicrófilos en los bloques de carne deshuesada de cachama, se pueden observar en la figura 30.
Para todos los bloques se observa un aumento de los psicrófilos en el tiempo, tal y como lo indica el análisis de varianza (tabla 24) donde se evidencia que existe diferencia significativa en el crecimiento de psicrófilos en el tiempo de almacenamiento. Para el bloque control se observó un aumento de 1.01 unidades logarítmicas, para TPF 1.6; para A.A. 1.48 y para el bloque lavado desde el mes O hasta el 2 aumento de 1.14 UL.
Muchos son los autores que han reportado una disminución de los microorganismos psicrófilos en el almacenamiento por congelación de bloques de carne deshuesada de pescado (Rodríguez, 1985; Novoa, 1982; Licciardello y Hill, 1978). Sin embargo, también se ha reportado que aún a temperaturas de congelación de -18°C y 21 °C puede haber supervivencia de microorganismos (Licciardello y Hill, 1978).

Fig. No 29.- Cambio en el log, de aerobios mesófilos en carne de cachama deshuesada con diferentes tratamientos almacenada a -30°C por 4 meses.
O : Control.
: T.P.F.
□ : A.A.
▲ : Lavada.

Fig. No 30. - Cambio en el log. de microorganismos psicrófilos en carne de cachama deshuesada con diferentes tratamientos almacenada a -30°C por 4 meses.
O : Control.
: T.P.F.
□ : A.A.
▲ : Lavada.
Por otra parte, Raccach y Baker (1978), reportan que en carne deshuesada de “White sucker”, la población psicrófila se mantuvo constante a una temperatura de - 25°C por tres meses de almacenamiento, siendo la población inicial de 106 microorganismos/g.
El hecho del aumento de los microorganismos psicrófilos en este estudio, pudo haberse debido a que la población inicial de las muestras era bastante baja, alrededor de 103 UFC/g, en comparación con la reportada en los estudios antes mencionados, y posiblemente el crecimiento microbiano estaba en su fase logarítmica, el cual no fue del todo inhibido por la baja temperatura del almacenamiento, ya que como se dijo anteriormente, algunos microorganismos psicrófilos pueden sobrevivir a estas temperaturas.
El análisis de varianza, también nos indica que los diferentes tratamientos no tuvieron influencia alguna sobre el crecimiento de estos microorganismos. Igualmente en este análisis no se tomó en cuenta la muestra lavada debido a la falta de dos determinaciones (mes 3 y 4), pero sin embargo, observando la figura 30, esta muestra presenta, aparentemente, características similares a los otros bloques, lo que implica la poca efectividad de este tratamiento en la inhibición del crecimiento microbiano.
En general, a pesar del aumento de los microorganismos en el tiempo de almacenamiento, la calidad microbiológica de las muestras se considera aceptable según los límites establecidos por la ICMSF (1974), ya que ninguna de las muestras sobrepasó los 106 microorganismos/g.
El pH del pescado recién muerto es de aproximadamente 6.5, luego se registra una disminución de éste, que va a depender de la especie. Luego se produce un aumento que puede ser superior al pH neutro. El descenso del pH se debe a una acumulación de ácido láctico, que es el producto final de la glicólisis aeróbica y el aumento posterior a los compuestos básicos como son: amoníaco y aminas producidos por vía autolítica y/o microbiana (Okada, 1979, citado por Kodaira, 1981).
Los resultados de la determinación de pH para los bloques de carne de cachama deshuesada, se reportan en la tabla 25. Los valores de pH para los 4 bloques están en el rango de 6.7 a 6.9, notándose que el valor inicial más alto lo presentó la muestra con TPF, hecho que es perfectamente lógico, ya que como se explicó anteriormente, una de las funciones de este compuesto es aumentar el pH (Bolin y Connick, 1976).
Se observa que los valores de pH se mantienen casi constantes durante el período de almacenamiento para los 4 bloques estudiados. Igualmente Kodaira (1981), encuentra pocas fluctuaciones de pH en carne deshuesada de curvinata almacenada a - 10°C por 5 meses, principalmente en la muestra con TPF. Rodríguez (1985), reporta que los cambios de pH fueron mínimos para todos los bloques analizados.
De acuerdo con los resultados obtenidos de NBV, debería esperarse un cierto aumento del pH, principalmente en las muestras control, TPF y A.A.. Sin embargo, el mantenimiento del pH durante el almacenamiento se debe, posiblemente a la capacidad amortiguadora de las proteínas del músculo del pescado.
| FUENTE DE VARIACION | GL. | F. CALC. | F. TAB. |
| Tratamiento | 2 | 1.62 | 4.46 |
| Tiempo | 4 | 17.46 | 3.84 |
| Error | 8 | ||
| Total | 14 |
| MESES/TRATAMIENTOS | pH | ||||
| 0 | 1 | 2 | 3 | 4 | |
| Control | 6.7 | 6.7 | 6.7 | 6.6 | 6.7 |
| TPF | 6.9 | 6.9 | 6.8 | 6.8 | 6.8 |
| A.A. | 6.7 | 6.7 | 6.7 | 6.7 | 6.7 |
| Lavada | 6.8 | 6.8 | 6.7 | - | 6.7 |
TPF: Adición de 0.5 % de tripolifosfato.
A.A: Adición de 7.5 % de maíz como agente adhesivo.
En general, se puede observar claramente que las muestras presentaron comportamientos bastante similares, encontrando fluctuaciones desde 6.6 a 6.9 para todas las muestras.
Van der Berg (1981), indica que en el caso de la congelación y durante el almacenamiento congelados, los valores de pH del pescado no sufren variaciones marcadas.
Por estos resultados y el apoyo de los diferentes autores nombrados, el pH como tal no es conveniente utilizar paralelamente otros índices para corroborar resultados.
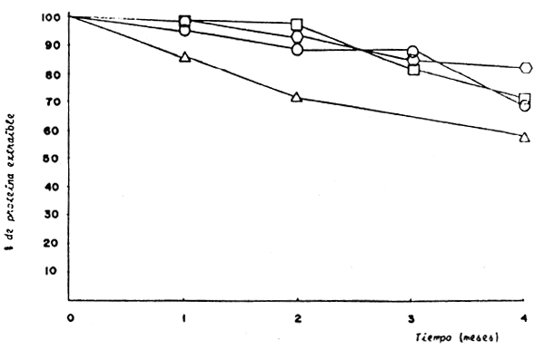
Es bien conocido que el músculo de pescado congelado que ha sido almacenado por cierto tiempo, pierde algunas propiedades funcionales, tales como capacidad de emulsificación, capacidad de retención de agua, capacidad de formar gel, etc. Se ha establecido que al principal causa de estos cambios es la desnaturalización de proteínas, específicamente las miofibrilares (Suzuki, 1981).
Los cambios ocurridos en el porcentaje de proteína extraible para los 4 bloques de carne de cachama deshuesada se encuentran representados en la figura 31.
A pesar de las bajas temperaturas de congelación, la proteína del músculo de la cachama sufrió cierto daño durante el almacenamiento. Se puede observar una disminución progresiva en el tiempo para todas las muestras, siendo esta disminución estadísticamente significativa, tal y como lo indica el análisis de varianza realizado con un 95% de confianza (tabla 26).
Resultados similares han sido reportados por Seagran (1958), citados por Dyer y Dingle (1961), indicando que en “Pacific yellow” almacenado a -30°C la actomiosina extraible disminuyó desde 50–60% hasta un valor de 25% después de 300 días de almacenamiento. Igualmente, Neen (1953) citado por Dyer y Dingle (1961), no sólo encontraron cambios en la proteína de bacalao, cuando fue almacenado a -16°C detectando muy pocos cambios a -65°C y -50°C por nueve meses.
Por otra parte, se nota claramente que los tratamientos influyeron en la disminución del porcentaje de proteína extraible, encontrándose una diferencia significativa entre los tratamientos. El bloque con TPF presentó los mayores valores de proteína extraible en el último mes de almacenamiento, observándose 11% más de proteína extraible con relación a los bloques control y A.A., mientras que el bloque lavado presentó al final del almacenamiento una disminución de 22% de proteína extraible con relación al bloque TPF.
Figueroa y col. (1980), indican que las sales de tripolifosfato proveen la suficiente fuerza iónica para extraer las proteínas del músculo, solubilizandolas y formando una capa que reduce la salida del agua hacia el exterior. Por lo tanto, la adición de TPF fue efectiva en lo que respecta a la protección de la proteína durante la congelación. Sin embargo, esta efectividad puede aumentarse agregando conjuntamente con el TPF, cloruro de sodio, ya que se conoce que la combinación de estas dos sales tiene un efecto sinergístico (Dyer, 1969).
La disminución del porcentaje de proteína extraible en la muestra lavada pudo ser producto del mayor contenido de humedad en el músculo, lo que ocasiona posiblemente la producción de cristales de hielo que producen ciertos daños a las proteínas, desnaturalizandolas, lo que implica una disminución de la solubilidad de las mismas en soluciones salinas.
En general, el daño sufrido por las proteínas en todos los bloques, es causada, posiblemente por la concentración de sales minerales en las células del músculo, la cual comienza a aumentar cuando el agua presente en ellas se convierta en cristales de hielo. El incremento en la concentración de soluto, con el correspondiente cambio de la fuerza iónica y pH, produce la disociación y desnaturalización de las proteínas (Linko y Nikkila, 1961).
Generalmente, cuando el pescado congelado se somete a descongelación, es común encontrar pérdidas de líquidos mayores al 15%, esta pérdida de fluido va acompañada de proteínas solubles y componentes del aroma y sabor, teniendo como resultado un pescado seco, fibrosos, duro y con poco sabor (Bolin y Connick, 1976).
La capacidad de retención de agua es una función inversa de la cantidad de líquido exudado del músculo del pescado al descongelarse.
| FUENTES DE VARIACION | GL. | F. CALC. | F. TAB. |
| Tratamiento | 3 | 4.85 | 3.49 |
| Tiempo | 4 | 13.71 | 3.26 |
| Error | 12 | ||
| Total | 19 |
| FUENTE DE VARIACION | GL. | F. CAL. | F. TAB. |
| Tratamientos | 3 | 41.25 | 3.49 |
| Tiempo | 4 | 12.50 | 3.26 |
| Error | 12 | ||
| Total | 19 |

Fig. No31.- Cambio en el porcentaje de proteína estraible en carne de cachama deshuesada con diferentes tratamientos almacenada a -30°C por 4 meses.
O : Control.
: T.P.F.
□ : A.A.
▲ : Lavada.

Fig. No32.- Valores de líquido exudado en carne de cachama deshuesada con diferentes tratamientos almacenada a -30°C por 4 meses.
O : Control.
: T.P.F.
□ : A.A.
▲ : Lavada.
Los valores de este parámetro para los 4 bloques estudiados se encuentran representados en la figura 32, observándose en todas las muestras un aumento del líquido exudado en el tiempo de almacenamiento. El bloque control aumentó desde 0.18 a 1.29 ml/g, el bloque con la adición de 0.5% de TPF sufrió un aumento desde 0.06 hasta 0.17ml/g; el bloque A.A. desde 0.27 hasta 0.38 y el bloque lavado desde 0.13 hasta 0.36 ml/g en el último mes de almacenamiento.
El análisis de varianza (tabla 27), indica que este aumento fue estadísticamente significativo y que los tratamientos influyeron en él. Se puede observar en la figura 32 que el bloque de carne de cachama deshuesada con 0.5% de TPF presentó la menor cantidad de líquido exudado a lo largo del período de almacenamiento.
Durante muchos años se han utilizado las sales de trifosfatos como agentes crioprotectores. Bolin y Connick (1976), exponen que una de las ventajas del tratamiento del pescado, con TPF es que reduce la cantidad de líquido exudado, de esta manera se mantienen sus cualidades nutricionales como consecuencia de la prevención de la pérdida de humedad, reduciendo la pérdida de proteínas solubles, minerales y proteínas. Igualmente, Miyauchi (1972), hace mención de que los polifosfatos incrementan la capacidad de retención de agua debido a un aumento de pH y a un desarreglo de las proteínas del músculo, produciendo más sitios disponibles para el enlazamiento del agua.
El bloque con 7.5% de agente adhesivo (A.A.) presentó los mayores valores de líquido exudado y por lo tanto la menor capacidad de retención del agua. El almidón es un compuesto altamente higroscópico, y posiblemente, debido a esto, se produce una deshidratación de las proteínas, hecho que podría visualizarse en la cantidad de proteína extraible que presentó este bloque en el último mes de almacenamiento (70.35%).
El bloque lavado, por su parte, también presentó valores altos de líquido exudado, lo cual resulta lógico, debido a que este bloque presenta mayor cantidad de agua exógena no enlazada por la proteínas, la cual proviene del agua del lavado y pude ser extraída con mayor facilidad.
Manohar y col. (1971), indican que la cantidad de líquido exudado depende mucho de la especie, principalmente las especies, de agua dulce presentan valores de líquido exudado menores que las especies marinas, debido a esto, los autores cuestionan el tratamiento con TPF en vista de un incremento en el costo de producto final. Rodríguez (1985), trabajando con carne deshuesada de pescados marinos, reporta un aumento de líquido exudado, en el bloque control, desde 0.28 hasta 0.33 ml/g a los 4 meses de almacenamiento, siendo estos valores mayores que los obtenidos en el bloque de carne de cachama deshuesada control (0.28 a 0.29).
Las determinaciones de color en alimentos son de gran importancia, ya que conjuntamente con el sabor y la textura, juega un papel importante en la aceptabilidad de los alimentos.
En el caso específico del pescado, el color es indicativo de ciertos cambios químicos.
En este estudio se realizaron las determinaciones de color por el sistema Hunter o sistema L, a, b, basado en la teoría de los colores opuestos, la cual indica que existe una señal intermedia entre los receptores de luz de la retina y el nervio óptico, que transmite las señales de color al cerebro. Este mecanismo compara las respuestas rojas con las verdes, resultando una dimensión rojo-verde; por otra parte las respuestas azules son comparadas con las amarillas para obtener una dimensión amarilo-azul, siendo asociado a estas dos dimensiones con los símbolos a y b, respectivamente. La tercera dimensión de color es la luminosidad L, que adopta los valores de 0 a 100, siendo 0 negro perfecto y 100 un blanco perfecto (DeMan, 1980).
Los resultados de las tres dimensiones mencionadas (L, a y b) para los bloques de carne de cachama deshuesada a lo largo del período de almacenamiento, se encuentran representados en las figuras 33, 34 y 35.
El parámetro “L” (tabla 39), presenta valores bastante similares en las muestras de control y TPF, manteniendo una constancia durante el período de almacenamiento, por otra parte, se nota claramente la diferencia existente con las muestras lavadas y A.A. (figura 33), presentando esta valores mayores de este parámetro, lo que indica que estas pruebas presentaron un color más claro, debido a los tratamientos usados. Cuando la carne es lavada, se pierden compuestos responsables del color tales como sangre, grasa y pigmentos de la piel. Igualmente, el parámetro “L” para la muestra A. A. presentó valores altos que van desde 53.15 hasta 52.20 en el último mes de almacenamiento, lo que nos indica que este tratamiento mejoró notablemente el color de la muestra, resultando del color blanquecino del almidón.
Los resultados presentados del parámetro “L” para el bloque control (38.05 a 37.67), indican que la carne deshuesada de cachama presenta una coloración oscura cuando se compara, por ejemplo con los valores de este parámetro reportados por Rodríguez (1985) para el bloque control:49.76 a 53.80.
Como se explicó anteriormente, la cachama es una especie migratoria, por lo tanto presenta una cantidad de sangre en su musculatura, lo que origina que durante el proceso de deshuesado ocurra una considerable secreción de sangre. Por otra parte, la especie presenta una coloración bastante oscura en la piel, casi negra, hecho que también influye en la coloración de la carne deshuesada.

Fig. No 33.- Cambio en los valores del parámetro “L” en carne de cachama deshuesada con diferentes tratamientos almacenada a -30°C por 4 meses.
O : Control.
: T.P.F.
□ : A.A.
▲ : Lavada.

Fig. No 34.- Cambio en los valores del parámetro “a” en carne de cachama deshuesada con diferentes tratamientos almacenada a - 30°C por 4 meses.
O : Control.
: T.P.F.
□ : A.A.
▲ : Lavada.
Por su parte el parámetro “a” nos indica la dimensión rojo-verde de las muestras. Lógicamente, como se observa en la figura 34, los mayores valores de este parámetro los presentan las muestras control y TPF, presentando una coloración más roja que la muestra A.A. en la cual se puede observar valores menores de este parámetro, debido a que el almidón añadido disminuyo el color rojizo de la muestra. Por otra parte, el bloque lavado presentó valores bastante bajos en comparación con los otros bloques, lo cual resulta explicable por el hecho de la pérdida de compuestos hemo durante el lavado.

Fig. No 35.- Cambio en los valores del parámetro “b” en carne de cachama deshuesada con diferentes tratamientos almacenada a -30°C por 4 meses.
O : Control.
: T.P.F.
□ : A.A.
▲ : Lavada.
Durante el almacenamiento de estos bloques a -30°C por 4 meses, se observa una disminución en todas las muestras del parámetro “a”, es decir, se pierde el color rojo que detecta este parámetro.
El color rojo brillante de la carne, es debido a la oximioglobina y mioglobina, y puede pasar a rojo pardo oscuro. Este pardecimiento obedece fundamentalmente al contenido de metamioglobina, cuya formación aumenta a lo largo del almacenamiento y es dependiente de la temperatura (Herman, 1977).
Igualmente, Flores (1974), indica que los pigmentos totales, mioglobina y hemoglobina, sufren un decrecimiento a lo largo del período de almacenamiento.
El parámetro “b”, nos indica la dimensión amarillo-azul. Los valores obtenidos están representados en la figura 35, observándose, igualmente valores muy semejantes en los bloques control y TPF, presentando el bloque lavado los menores valores y el bloque con almidón, los más altos, lo que indica que este aditivo imprime tonalidades amarillentas al combinarse con los pigmentos presentes en la carne deshuesada. Resulatados similares son reportados por Rodríguez (1985) y Pacheco (1982), donde los bloques con almidón presentaron los mayores valores del parámetro “b”. Al igual qué en la luminosidad, no se observa disminuciones acentuadas durante el tiempo de almacenamiento.
Los cambios en el tiempo para los diferentes parámetros en cada uno de los bloques, pueden ser visualizados mejor en la tabla 28, donde se representan los valores de L, a, b y E, calculados tomando en cuenta los valores iniciales y finales después de 4 meses de almacenamiento.
| PARAMETRO | L | a | b | E |
| Tratamiento | 0.38 | 4.70 | 0.78 | 4.78 |
| TPF | 0.69 | 2.78 | 1.49 | 3.22 |
| A.A. | 0.93 | -0.18 | 0.62 | 0.62 |
| Lavada | 4.94 | 1.22 | 1.30 | 5.25 |
La mayor variación la presento el parámetro “a” por la oxidación de los pigmentos durante el almacenamiento. Por otra parte se observan valores bajos de L, lo que implica poca variación de la luminosidad durante el almacenamiento, con la excepción de la muestra lavada. Los valores L positivos, implican una pérdida de luminosidad.
Según el valor de E, se puede inferir cual fue la variación más importante en cada una de las muestras durante el período de almacenamiento. Para el bloque control y TPF, la mayor variación ocurrió en el parámetro “a”, es decir, a medida que progresa el tiempo de almacenamiento se va perdiendo el color rojo por la oxidación de los pigmentos hemo. La muestra con almidón permaneció estable en cuanto a los tres parámetros durante el almacenamiento, tal y como lo indica el valor de E. Por el contrario, la muestra lavada presentó la mayor variación en la luminosidad, perdiéndose esta durante el almacenamiento.
De todo lo expuesto anteriormente, se puede concluir, en general, que la carne deshuesada de cachama mantiene una calidad aceptable aún a los 4 meses de almacenamiento a -30°C, principalmente en lo que se refiere al aspecto microbiológico y características organolépticas.
Por otra parte, se pudo observar que la adición de TPF, almidón y el lavado de la carne deshuesada, mejoraron notablemente algunas características tales como textura, color y en algunos casos disminuyo el deterioro (lavado).
Como parte final de este trabajo y en vista de que la cachama en forma deshuesada puede ser una vía factible para la comercialización de la misma, se creyó conveniente la elaboración de algunos platos con esta materia prima, con el fin de comprobar su aceptación.
Para esto se pidió la colaboración de personas ajenas al proyecto, las cuales prepararon platos tales como: “palitos”, “bollos pelones”, “hallaquitas de agua”, “canelones”, “pasticho”, “empanadas”, “empanadas gallegas”, “pimentones rellenos”, “albondigas”, “hamburguesas”, “croquetas”, “berenjenas rellenas” y “salsa para espagueti”. Estos platos fueron probados por personas vinculadas o no al Instituto de Ciencias y Tecnología de Alimentos y la mayoría opinó que esta carne no presentaba sabor a pescado, principalmente en aquellos productos donde se prepara con salsa y cuando se combina con carbohidratos, sin embargo, los productos tales como “palitos”, “croquetas” y “albondigas”, presentan sabor a pescado pero menos intenso que cualquier otro tipo de producto preparado con especies marinas.
Todas las personas encuestadas con respecto a la calidad de los productos, opinaron favorablemente sobre estos e indican la importancia de su venta en los mercados, además ponderan su versalitidad en la realización de productos ya que indican que adquiere el sabor de los ingredientes que se le agrega.
Sin embargo, se podría pensar que el consumo de estos productos en substitución de los elaborados con carnes rojas, podría evitar problemas de salud pública, ya que la ingesta de ácidos grasos saturados es menor. Sin embargo, por lo visto anteriormente las cachamas cultivadas presentan una composición de ácidos grasos semejantes a la carne de res y de ovino, lo que resultaría inconveniente para el consumo de la cachama con el fin de evitar el aumento de colesterol y triglicéridos.
Este problema planteado puede solucionarse variando la alimentación suministrada a las cachamas en cautiverio, de manera que esta fuente alimenticia tenga el potencial, que por ser pescado, representa.