SCS/82/CFE/CP-7
by
1. INTRODUCTION
Soils that develop extreme acidity upon drainage and drying have been reported for several fresh and brackishwater mangrove tidal swamp areas. With the rapid expansion of brackishwater aquaculture in the past few years, the problem associated with these soils which principally consist of potential and actual acid sulfate soils has become acute and more realized.
Potential and actual acid sulfate soils cover about 5 million ha of low lying coastal plains in East, South and Southeast Asia (Table 1). These soils, though to a certain extent could be highly productive, mostly lie idle or are cultivated with poor results.
Table 1
Distribution of acid sulfate soils
in East, South and Southeast Asia
| Region/Country | Area (000 ha) | Source |
|---|---|---|
| Bangladesh | 700 | Bloomfield and Coulter, 1973 and FAO/UNESCO, 1974 |
| Burma | 180 | FAO/UNESCO, 1974 |
| China | 67 | Kung and Chou, 1964 |
| India | 390 | Yadav, 1976 and FAO UNESCO, 1974 |
| Indonesia* | 2 000 | Driessen and Soepraptohardjo. 1974 |
| Kampuchea | 200 | FAO/UNESCO, 1974 |
| Japan | 21 | Murakami, 1969 |
| Malaysia | 160 7 | Andriesse, et al., 1973 and Gopinathan, 1981 van Breemen, et al., 1977 |
| Philippines* | 10 120 500 | Ponnamperuma and Brinkman, 1980 Tang, 1976 and Singh, 1980 Brinkman and Singh, 1982b |
| South Korea | 3 | Park and Park, 1969 |
| Thailand | 670 | Vander Kevie and Yenmanas. 1972 and Dent and Montcharoen, 1966 |
| Vietnam | 1 000 | Tram and Lieu, 1975 |
| Total | 6 028 |
*Not adequately surveyed, but the survey is continuing.
A high acidic condition which is detrimental to both the fish food organisms and fish often develops in the fishponds built on this kind of soil. Elements, particularly iron and aluminum are released into the water in toxic quantities which render the phosphorus unavailable, and thus cause severe phosphorous deficiency for algal growth. Under such conditions, generally there is a poor response to phosphorus fertilization (Watts, 1967 and Singh, 1982a).
In the first ten years or even more after the construction of fishponds on acid sulfate soils, these adverse effects remain pronounced where low production is an unavoidable consequence due to poor growth of natural food organisms. decreased vigor and poor growth of the fish or shrimps. Sudden fish kills during rain after long dry periods is a common phenomenon due to the leaching of extremely acidic water from surrounding dikes into the ponds. Furthermore, chronic and sublethal effects of the adverse conditions that inhibit the growth and development of pond biota probably are more detrimental in the long run (Singh, 1982a).
Singh (1980) concluded that the low average production (600 kg/ha/year) of milkfish in the Philippines is attributable at least in part to the inhibitory influence of acid sulfate soils which according to Tang (1976) represent at least 60 percent of the total area of brackishwater ponds in the country.
Observations in several parts of Indonesia (Poernomo, 1982) particularly the brackishwater ponds in Sumatra (Aceh, North Sumatra, Riau, South Sumatra and Lampung provinces), Sulawesi and Kalimantan, indicate the same situation of poor pond productivity due to the adverse effects of acidic soils.
In the efforts to maximize land utilization of acid sulfate soils in the marginal coastal brackish tidal swamps, fish and shrimp culture is preferred over rice cultivation because of the easily manageable problem of salinity for fishes, and the tidal fluctuation which offers an ideal situation for water control. Many fish food organisms and the fish or shrimps species grown in this environment are known to be well adapted and could easily tolerate the fluctuations of salinity where rice and other terrestial crops can hardly survive. These soils are well supplied with plant nutrients and their topographic and hydrologic setting is often suitable for brackishwater fishponds (Singh, 1980).
1 Contribution to the FAO UNDP-SCSP Consultation Seminar on Coastal Fishpond Engineering, Surabaya, Indonesia, 4–12 August 1982.
2 Senior Scientist, Research Institute for Inland Fisheries, Bogor, Indonesia: currently graduate scholar University of the Philippines in the Visayas,
Hoilo, Philippines.
3 Soil Scientist and Assistant Professor of Aquaculture, University of the Philippines in the Visayas, Hoilo, Philippines.
With careful planning, Indonesia, with its 3.6 million ha of mangrove tidal swamps (Soegiarto, 1980), the biggest in Southeast Asia, definitely offers a great possibility for the expansion of the brackishwater fishpond industry without endangering the balance of ecosystem. This is particularly important in connection with the ever increasing pressure of the population, where man has to maximize the utilization of even unproductive and marginal areas of mangrove tidal swamps to produce more food.
If properly reclaimed and managed, fishponds built on the acidic soils of these marginal areas can contribute to more food production and this untapped natural resource could be utilized to the fullest extent (Singh, 1980).
Potentials for the development of a brackishwater aquaculture industry in the tidal swamp areas in Sumatra, Sulawesi, Kalimantan, West Irian and East Nusatenggara are good. These areas offer ideal sites for the relocation of fishermen from overcrowded coastal areas in Java, and other transmigration zones. A survey for the identification and assessment of the area is, therefore, urgently needed. Furthermore, a simple rapid and low cost reclamation method for fishponds built on acid sulfate soils would be of great economic importance for Indonesia and other countries with extensive mangrove tidal swamps along the coastal zones.
The reclamation methods presented in this paper are based on the results of experiments and technology verification studies conducted on the unreclaimed ponds at Brackishwater Aquaculture Center (BAC), University of the Philippines of the Visayas, at Leganes, Iloilo and at farmers ponds in the islands of Panay and Negros, Philippines.
The occurrence, extent, identification and problems of acid sulfate soils to aquaculture mainly for brackishwater coastal tidal swamps are also briefly reviewed. Throughout the paper, we refer to brackishwater fishponds built on acid sulfate soils in tidal mangrove swamps, except when we explicitly describe other types of land use or fishponds separately.
2. EXTENT AND DISTRIBUTION OF POTENTIAL AND ACTUAL ACID SULFATE SOILS
Of the estimated 500 million ha of fine textured soils developed in marine and fluviatile sediments about 11.4 million ha are highly pyritic, which will acidify upon aeration, or have already done so. Two-thirds of the total of about 6 million ha in Southeast and East Asia is found in Indonesia, Thailand and Vietnam. In addition, about a million ha of shallow peat land underlain by potentially acid sediments are also in Indonesia which are not included in Table 1. The extent of these soils seems to be larger than what has been reported, and the data from a number of countries are highly tentative.
3. FORMATION OF ACID SULFATE SOILS
The genesis of acid sulfate soils is mainly the formation of pyrite, a mineral which is fixed and accumulated by reduction of abundant sulfate from seawater. Pyrite formation involves bacterial reduction of sulfate to sulfide, partical oxidation of sulfide to elemental sulfur, and interaction between ferrous or ferrie iron with sulfide and elemental sulfur (Rickard 1973. Goldhaber and Kaplan, 1974, and Van Breemen, 1976). Thus, sufficient supply of sulfate, iron, high content of metabolizable organic matter, sulfate reducing bacteria (Desulfovibrio desulfuricans and Desulfomaculatum) and on anaerobic environment alternated with limited aeration are basic factors required for the formation of acid sulfate soils (Van der Kevie. 1973 and Coulter, 1973).
Though iron could be limiting in the soils with peaty or sandy sediments, the clayey sediments of most tidal swamps contain sufficient fine-grained iron oxide for the formation of 2–6 percent pyrite (Van Breemen and Pons, 1978). The dense mangrove vegetation in the tropical tidal swamps supplies abundant organic matter. Thus, in mangrove swamps the essential ingredients required for pyrite formation are always present in abundance (Singh, 1980)
In mangrove swamp sediments, conditions for pyrite formation are most favourable in the profile of the predominantly reduced zone with limited, periodic aeration due to tidal fluctuation (i.e., the zone between mean high water and mean low water level). Less pyrite is accumulated in the permanently reduced zone below the level of the lowest ground water level and in the upper strate of the sediments in the better drained parts of the marshes which are aerobic most of the time.
The effect of tidal flushing is strong in the area criss-crossed or strongly dissected by tidal creeks, as are commonly found near river mouths and in areas surrounding lagoons. Such land is commonly characterized by sediments with extremely high contents (2–6 percent) of pyrite. Such swamps are normally covered with dense stands of Rhizophora or Nypa fruticans.
Potential acidity develops gradually due to removal from the system by tidal action a part of the alkalinity in the form of bicarbonates (HCO3) formed during sulfate reduction. The slightly acidic conditions due to the removal of HCO3 favour pyrite formation kinetically.
In contrast, in the absence of tidal creeks or in the areas with rapid coastal accretion in the deltaic region, the pyrite content of the coastal muds tends to be much lower (0.2–1 percent), and these are not potentially acidic (Van Breemen and Ponds, 1978 and Moorman and Van Breemen, 1978). The commonly low pyrite contents in the more recent coastal sediments may be due in part to the lack of time for pyrite accumulation, for which formation of 1 percent presumably takes from 50–100 years.
Pons (1969) and Rickard (1973) proposed the following reaction for pyrite formation, where sulfur reducing bacteria are greatly involved.
| 2CH2O + SO42 | H2S + 2HCO3 | |
| Fe (OH)2 + H2S | FeS + 2H2O | |
| FeS + S | FeS2 (pyrite) |
4. PRODUCTION OF ACIDITY
The development of mangrove swamps into fishponds with thorough drainage leads to exposure and oxidation of pyrite, which results in highly acidic conditions and thus severely limits the suitability of such an environment for aquaculture.
Oxidation of pyrites is known to be chemical and micro-biological in nature as shown in the following reactions (Starkey, 1966; Murakami, 1958; Bloomfield and Coulter, 1973; Van Breemen, 1973 and Dent and Raiswel, 1982).
Ferrous iron (Fe2+) is released during atmospheric oxidation of pyrites under moist conditions at an optimum moisture content of 30–40 percent.
At low pH, Fe2+ is oxidized to Fe3+ by oxidizing bacteria, Thiobacillus ferroxidans or Ferrobacillus ferroxidans.
Ferric iron (Fe3+) can remain in the solution in appreciable amounts only at pH values between 3.0–3.5 and is a more effective oxidant for pyrite and elemental sulfur than free oxygen.
FeS2 + 14 Fe3 + 8H2O → 15Fe2+ + 2SO42- + 16H+
At higher pH, almost all Fe3+ is hydrolyzed and precipitated as ferric hydroxide.
Fe3+ + 3H2O → Fe(OH)3 + 3H+
Elemental sulfur is also oxidized to sulfuric acid by Thiobacillus thioxidans.
2S + 302 + 2H2O → 2H2SO4
Basic ferric sulfate, the most common of which is “jarosite” is also produced during pyrite oxidation.
The deterimental effect of pyrite oxidation is mainly because of the extreme acidic condition created by the excessive amount of sulfuric acid produced in the oxidation process.
The final pH of the soil after drainage and drying, however, depends on the amount of pyrite oxidized and the acid neutralizing component of the soil, viz, exchangeable bases, easily weatherable silicate minerals and carbonates. Thus, total sediments with a low amounts of bases or acid neutralizing components will contain a considerable amount of unneutralized sulfuric acid upon exposure and develop into strongly acid sulfate soils. The maximum acidity is produced during pyrite weathering when all the iron is oxidized and hydrolized into solid ferric oxide (Van Breemen, 1973).
Carbonates are practically absent in most coastal sediments in the humid tropics. Most rivers transport acidic water and non-calcerous sediments because their catchment areas include old and strongly weathered soils (Pons and Van Breemen, 1982). Moreover, coastal seawater in the tropics is often diluted with acid river water, so any carbonate present runs the risk to be dissolved (Brinkman and Pons, 1968).
Most volcanic catchment areas provide sediments rich in weatherable silicate minerals, e.g. in tidal flats of the volcanic island of Java. The presence of such minerals provide high amount of acid neutralizing agent and prevents the development of potential acidity in the coastal tidal flat areas of Java island.
By contrast, in Kalimantan and most tidal swamps in Sumatra island such a situation is generally not existing (Driessen, 1974). Sulfidic (potentially acid) materials in sulfaquents, fluvaquents, hydraquents and tropaquents are ubiquitous at depths below 50–100 cm in the tidal swamps in Sumatra and South Kalimantan (Van der Elaart, 1982).
5. PROPERTIES
An (Actual) acid sulfate soil is a drained soil with one or more horizons consisting of (actual) acid sulfate materials, i.e, material containing soluble acid aluminum and ferric sulfates in concentrations toxic to most common dry land crops, having pale yellow mottles of jarosite and a dry or oxidized soil pH always below 4 in water.
A waterlogged soil in its reduced state with sulfides and a pH value even near neutral, but which has the potential to develop into (actual) acid sulfate soil with extreme acidity upon drainage and oxidation, is called potential acid sulfate soil. Potential acid sulfate soils generally have one or more reduced horizons, with pyrite contents considerably in excess of any neutralizing amounts of calcium carbonate present.
Within the limits of the diagnostic criteria, acid sulfate soils vary widely in physical and chemical properties (Kawaguchi and Kyuma, 1969 a, b; Tanaka and Toshida, 1970; and Van Breemen, 1976). In surface soils, the bulk density varies from less than 1 g/cm3 in highly organic sulfaquents and sulfaquepts, tp 1.4 g/cm3 in sulfic tropaquepts. Organic carbon varies from 1.5 to 18 percent. The texture is generally clayey and rarely loamy or sandy. Though the content of clay and organic matter is high, the (unbuffered) cation exchange capacity is normally rather low (10–25 meq/100g). The pH varies from 3.5 to 6.5 in sulfaquents, 3–4 in sulfaquepts and 4–5 in sulfic tropaquepts (Van Breemen and Pons, 1978). The suggested minimum amounts of total sulfur vary from 0.75 percent (US. Dep. of Agric. and Soil Survey Staff, 1975) to 0.4 percent (Allbrook 1973) and as low as 0.1 percent (Bloomfield 1973).
6. FIELD IDENTIFICATION
Actual acid sulfate soils, as such, are not common; far more abundant are potential acid sulfate soils, for which the recognition in undrained or waterlogged area is generally difficult. For accurate identification, a basic understanding of the soil formation and acidification processes of these soils is necessary.
The amount of pyrite and the acid neutralizing components. e.g., calcium carbonate coming from mineral deposits and metal cations from the exchange complex which play an important role in the acidification process during oxidation in the air have to be thoroughly considered.
Understanding the role of sulfur oxidizing bacteria involved in the oxidation process of pyrite is also important in connection with the handling of soil samples. Acidification of pyrite-containing soil samples which dry rapidly upon exposure to air may be slow because of low bacterial activity in dry soils. Keeping the soil moist during air oxidation is, therefore, helpful in proper identification of potential acid sulfate soils.
Brinkman (1972), after reviewing the work of many workers described the use of combined criteria, e.g., sedimentary relationships and sulfur sources, landform, vegetation and soil characteristics as a basic approach for the recognition and prediction of potential and actual acid sulfate soils.
Most authors generally point out the need of having both field test and laboratory determinations for a greater degree of confidence in identification and prediction of acid sulfate materials. Though, in certain cases, within the boundaries of a given sedimentary, climatic and vegetation environments, fairly accurate and simple criteria can be used with confidence after their relationships to acid sulfate occurrence have been established.
Some criteria and/or findings which could be of important value in the prediction of acid sulfate soils are described below:
Potential and actual acid sulfate soils in the tropics occur mainly in the tidal mangrove swamps and in the marshy back swamps of the seaward side of river deltas (Moorman, 1966). They occur largely in extensive, easily delineated back swamp areas of marine and estuarine plains, bounded by low (Late Pleistocene) terraces on the landward side and separated from younger non-acid sulfate marine clays by a clear erosional coastline in most places (Brinkman and Pons, 1968). They are also found in the back swamp areas with slight depressions (Albrook, 1972; Van Wijk, 1951; and Driessen and Ismangun, 1972), or in the areas surrounding lagoons criss-crossed and strongly dissected by tidal creeks (Van Breemen and Pons, 1978). Tidal brackishwater vegetation especially with dense rooting systems are usually related to the accumulation of pyrite through sulfate reduction and sulfide accumulation in the root mass produced (this root mass in the soil might be a better indicator than the vegetation, incidentally). Association of Rhizophora, Nypa and Melaleuca stands found in the tidal brackishwater swamps is usually a strong indication of potential acid sulfate soils, whereas those with Avicennia are less acidic (Hart, 1959; Thornton and Giglioli, 1965; Tomlinson, 1957; and Albrook, 1972).
Specific and directly observable soil characteristics are also important criteria in identifying potential acid sulfate soils and specifically the actual acid sulfate soils as a result of oxidation of sulfidic materials.
Potential acid sulfate soils usually have characteristics of high organic matter content, grey subsoil colours with dark grey to black specks or mottles with partially decomposed remains (Albrook, 1973; Pons and Vander Kevie, 1969; and Wallenburg, 1973); or are characterized by fibrous material throughout soft clays consisting of the partly decomposed roots of former Rhizophora vegetation (Thornton and Giglioli, 1965). They contain partly decomposed remnants of reed in soft clays (Van Bemmelen, 1886 and Edelman, 1946) and in some cases have hydrophobic peaty or organic surface horizons (Edelman, 1946; Van Wallenburg, 1973; and Van Wijk, 1951).
The detection of actual acid sulfate soils presents no difficulty. Well developed acid sulfate soils are characterized by pale yellow mottles of jarosite horizon overlying pyritic subsoil. In the upper part of the jarosite horizon of older acid sulfate soils, jarosite tends to hydrolyse into red brown ferric hydroxide Fe(OH)3, and at the same time especially along the pores and root-channels the ferric hydroxide is easily dehydrated, leaving orange-yellow and bright red residues of goethite and hematite. Dark brown ochre of ferric-hydroxide sheath and bright red-orange ochre of ferric oxide formed by iron and sulfur oxidizing bacteria usually found along the ditches and drain canals of reclaimed ponds are common indicators of pyritic soils. Usually the whole pond bottom turns red after drainage, due to oxidation of ferrous iron which diffuses upward from the reduced soil at lower strata.
Surface efflorescence of water-soluble aluminum sulfate such as sodium alum (Na Al (SO4)2.12H2O), tamarugite (Na Al (SO4)2.6H2O) and pickeringite (Mg Al2 (SO4)4. 22H2O) formed under strongly evaporative conditions when pyrite oxidizes at shallow depth are also commonly found in the ponds newly constructed on potential acid sulfate soils.
Black stained and odorous mud due to ferrous and hydrogen sulfides at reduced zone, that turns brown rapidly upon exposure, is also an indication of the soil that may contain pyrite, though the later mentioned property may be often unreliable because it could also be related to some reduced but non-sulfidic soils.
The occurrence of mounds of mud lobster (Thalassina anomala), for example, those frequently found in brackish-water tidal swamps in east Aceh and North Sumatra provinces, indicate the occurrence of acid sulfate soils. The lobsters build large mounds out of potentially acidic subsoil material, which strongly acidifies upon exposure and oxidation.
Fish kills and bitter taste have been attributed to river water draining sulfidic materials from potential acid sulfate areas (Dunn. 1965).
Acid sulfate in the pond soil can be recognized by the very low pH values measured in the pond water when it is flooded for the first time after a drying period, by the reddish iron oxides that may form on the pond bottom shortly after flooding and by the poor growth or absence of algae (Brinkman and Singh, 1982).
Acid sulfate in the dikes can be recognized by the poor or spotty growth or absence of vegetation on them even several years after construction, by the scattered pieces of organic matter, decayed wood encrusted with whitish and pale yellow salts, and by the very acid water seeping out of the dike during heavy rain. The sharp sour-bitter taste (like alum or tawas) of pale yellow coloured wet salts generally near the base of the dike is also a clear indication of acid sulfate soils (Brinkman and Singh, 1982). A potential acid sulfate soil may have high pH, even near neutral, but when oxidized by drying or concentrated hydrogen peroxide the pH should drop by about two or three units, generally below 4 (Singh, 1980).
7. SURVEY METHOD AND EVALUATION OF DATA
A complicating feature for soil mapping is the very strong macro and micro variation in distribution of sulfidic material. Micro variations arise from the nature of pyrite formation related to the uneven distribution of organic matter, while macro variations arise from the relationship between physio-graphic features and pyrite formation (Bloomfield and Coulter, 1973). Westerveld and Van Holst (1973) suggested that delineation of concrete acid sulfate soil phenomena requires maps on scale 1:25 000 or 1:10 000 in the more homogenous situations and up to scale 1:5 000 for more heterogenous soil bodies. Corresponding densities of field observations range from 1 boring per 1–2 ha up to 25–40 boring per ha.
Boring depth of 1–2 m at 25 cm depth intervals is required to know the nature and extent of potentially acid and non-acid soil layers in order to be able to formulate the most effective improvement measure.
Because of difficulty of access in most of the humid tropics tidal swamps, random sampling is usually impossible, so that some form of grid sampling is necessary, and possibly the best solution (Bloomfield and Coulter, 1973).
All soil characteristics and properties directly observable as described earlier are noted, and description made according to standard guidelines for soil profile description (FAO, 1965).
To obtain an accurate and meaningful value of the pyrite content, oxidation of the samples should be prevented or minimized. This can be done by immediately placing the fresh reduced soil samples in plastic bags, where as much as possible the air is removed by pressing on the bag and it is then closed by heat sealing. This bag containing the soil sample is again placed in a second bag which is treated the same way.
The red lead pole test after Wiedemann (1973), Powlson (1976) and Coode and Partners (1979) cited by Brinkman (1972), can be made during the preliminary stages of the field work. Stakes coated with red-lead paint are implanted into the soil profile. Hydrogen sulfide generated in the horizon of active sulfate reduction turns the red-lead marking to black within 1 week, leaving on the stakes a permanent record of the upper limit of present sulfide accumulation. The upper limit corresponds closely to the upper boundary of the unripe horizon identified in the field. Below the mark level, the soils are strongly sulfidic.
The field characteristics described above are only qualitative indications which are often not well expressed, particularly in potential cat-clays. Therefore, a number of complementary tests are required to determine the physical and chemical properties more quantitatively in order to be able to assess the degree of acidity and to design a proper improvement measure accordingly. The following are important parameters that need to be determined:
7.1 Determination of bulk density and pore volume
This is important among other things, in establishing the N-value or standard factor of physical ripening. This could be done either by sampling the soil by using a core sampler of known volume or by using a thin plastic bag to measure the volume of soil by pouring water into the plastic bag placed in the cavity or hole as a result of soil sampling.
7.2 Determination of sulfide using sodium-azide method
The foam produced in the test tube by N2-gas due to catalytic action of any sulfide present in the soil sample measured after 2 minutes is an indication of the sulfides. The amount of sulfides present in estimated by using the relationship given in Table 2 (Edelman, 1971).
Table 2
The relationship of height of
foam formed and the levels of sulfides present*
| Height of foam formed | Level of sulfides (1%) |
|---|---|
| 2 cm | 1.4 |
| 0.3 cm high at margin and covering whole surface of liquid | 0.8 |
| 0.3 cm high at margin, not covering center of liquid surface | 0.4 |
| No foam formation | 0.0 |
Nekers and Walker (1952), developed a simple method of field test for all active sulfides in soil material and HCl and lead acetate paper. Based on the colour development on the lead acetate impregnated test paper, they calculated specific values of total sulfur present. The details of this are given in Table 3.
Table 3
The relationship of nature and degree of
colour formation and the amount of total sulfur present*
| Colour formation | Degree | Total S (%) |
|---|---|---|
| Slight tan | very weak | 0.06 |
| Tan | weak | 0.09–0.13 |
| Brown with tan edge | moderate | 0.2 |
| Black with silvery cast | very strong | 2.0 |
*Adapted from Neckers and Walker (1952).
7.3 Semi-quantitative analysis for sulfates and sulfides by means of the Poelman (1972) field test
In the presence of sulfates and sulfides, oxidation with H2O2 and addition of BaCl2 to the soil extract give rise to the formation of colloidal BaSO4. The turbidity is compared visually with a standard series.
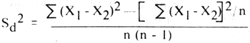
7.4 Determination of soil pH
Determination of the pH of immediately sampled reduced soils in the field and pH of soil material following oxidation are done either by air drying or by treatment with 30 percent H2O2. A sharp drop in pH indicates the formation of relatively high amounts of H2SO4. Van Beers (1962) suggested a tentative limit of a soil pH of 2.5 after oxidation by H2O2 for the dangerous potential acid sulfate soils, but Singh (1980) reported a drop in pH by 2 to 3 units in the range of 2.5–3.0 from that of 6.0 after oxidizing with hydrogen peroxide for 15 minutes.
Table 4 shows a set of tentative pH limits that could be suggested for identification of acid sulfate soils on the basis of different oxidation tests conducted by Brinkman and Pons (1973).
Table 4
Tentative pH values obtained
after oxidation of potential acid sulfate soil*
| Degree of oxidation | Tentative limit (pH water) |
|---|---|
| Incomplete oxidation by rapid drying 1 day (uncertain and indicative only) | 4.0 |
| Rapid complete oxidation by H2O2 | 2.5 |
| Slow oxidation under moist conditions, a few weeks to six months | 3.0–3.5 |
| Slow oxidation of soils in the field after drain age (including leaching effect where present), one to several years. | 4.0 |
*Adapted from Brinkman and Pons, 1973.
Rasmussen (1961) found that (rapid) oven drying of soil samples in the presence of CaCO3, H2SO4 and Fe2 (SO4)3, or without additions, cause only small losses of pyrite, which would make it possible to analyze a dried sample with little loss of accuracy. However, Van Breemen in Brinkman and Pons (1973) recommends rapid freeze drying and prefers this to oven drying.
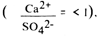
7.5 Quantitative relationship of calcium and sulfate
The quantitative relationship between total Ca2+ and total
SO42- is also used as a parameter for the degree of acidification
to be expected after oxidation of soil samples taken under
reduced conditions. If there is an excess of 50 meq Ca2+ 100g
soil, compared to the total amount of meq SO42- the pH level is
not likely to drop below 5.0 and no acidification is to be
expected. In a soil material under reduced condition at an
equivalent ratio of Ca2+ and SO42- of less than one
acidification will take place after oxidation.
Besides these, Singh (1982b) suggested that the collected soil samples should be brought to the laboratory, prepared and analyzed for various desired parameters. However, they should be analyzed at least for pyrite, total sulfur, sulfur fraction, active iron, exchangeable aluminum, calcium and magnesium, cation exchange capacity, potential acidity and available phosphorus. This will help in designing a proper method of reclamation and formulating the fertilizer requirements and management methods.
After the completion of survey and analysis of the soil samples, all the collected data are reproduced on soil maps. Single value maps, where in the nature and depth of the layers per observation site is shown in mapping units, and cross-section map representing the physiographic and stratigraphic relationships are also reproduced.
8. HAZARDS ARISING IN FISHPONDS ON ACID SULFATE SOILS
Various problems faced by fish farmers in fishponds built on acid sulfate soils have been summarized by Singh (1980) and Brinkman and Singh (1982). The most common phenomena observed in the ponds are poor fertilizer response, dark brown or clear brown water with very poor natural food (algae) production, slow growth of fish, soft shell shrimps and in severe cases, fish kills especially during heavy rains after long dry periods, fish mortalities also in the canals receiving water drained from acidic ponds, and erosion of pond dikes.
These situations are frequently observed in the newly constructed ponds on mangrove or previously mangrove or in nipa swamps (examples, in east Aceh, North Sumatra, Riau, South Sumatra, South and East Kalimantan, and some in South Sulawesi) in Indonesia, and in many fishponds in Panay Island, the Philippines.
In the acidic ponds the growth of the algae is reduced by the low pH of water, high aluminum and low phosphate concentrations (Fig. 1). The high concentration of exchangeable aluminum and iron, render the phosphate unavailable due to the formation of insoluble aluminum and ferric-phosphate compounds and thus cause severe phosphate deficiency for algae growth (Table 5 and 6). Fresh mangrove muds are capable of retaining large amounts of phosphate (Hesse, 1963; Watts, 1969 and Singh, 1982a). These explain why phosphate fertilization in acid sulfate ponds results in extremely poor response.
Silicates, essential nutrients for diatoms and molybdenum, a trace element essential for nitrogen metabolism and cellular functions in algae are also made unavailable by active Al and Fe (Stumm and Morgan, 1970 and Buckman and Brady, 1969). High Al concentrations can directly inhibit cell division (Clarkson, 1969) and disrupt the activities of proteina-ceous enzymes located in the cell wall (Woolhouse, 1970).

Fig. 1 The relationship of aluminum and phosphorus concentration of different pH values (Adopted from Singh, 1980)
Low pH, increase the concentration of exchangeable Al (Fig 1) and Fe which in severe cases are toxic to fishes, and even more so when there is sudden influx of acid. Al and Fe from the dikes during early rainy season, resulting in fish kills The concentrations of Al and Fe beyond tolerable limits to most fishes are reported to be 0.5 and 0.2 ppm, respectively (Nikolsky, 1973). In less severe cases, marginal for the health of the fish, it creates chronic stres due to ionic imbalance in the fish body, resulting in slow growth; the fish thus becomes more susceptible to diseases and parasites. For shrimps grown in acid sulfate ponds, the situation may be even worse; they remain in soft shell condition due to the lack of calcium and other essential elements for the shell formation and the finely suspended ferric oxide and ferric hydroxide clogs their gills.
Another problem is the extremely rapid erosion of the dikes due to the lack of vegetation cover. Grass can hardly survive on the acidic and toxic soils of the dikes. Thus, in addition to the detrimental effects to the pond biota including fish food organisms, there are also the costs of physical maintenance of the dikes and disiltation of pond bottom.
9. REMEDIES FOR THE PONDS BUILT ON ACID SULFATE SOILS
9.1 Overview
Brinkman and Singh (1982) summarized the earlier reclamation methods attempted by researchers and farmers in the northern east coast of Panay Island, Philippines. The methods tested mainly included the following:
(a) The level crest of the newly constructed large and broad dikes are ploughed repeatedly. Rains between ploughings remove some of the free acid that has developed in the oxidized. ploughed layer. Gradually, soil from top layer is brought back and spread into the pond to form a “safe” pond bottom with little or no free acid. It takes 5 to 10 years to eventually obtain a moderately productive pond, but with a persisting risk of reappearance of the hazard, because of the diffusion of acidity penetrating through the thin and so-called safe layer. The source of acidity remains unremoved in the pond bottom.
Table 5
Some chemical properties of surface soil (0–15 cm) from
pond bottom and dikes before and after a three months reclamation period
| Soil analyzed | (%) | pH | Pot. acidity meq H+/100 g | Exch. aluminum | Active iron | Pyritic iron | Active iron | Acetate sol. manganese | |
|---|---|---|---|---|---|---|---|---|---|
| Dry | Wet | ppm | |||||||
| POND BOTTOM SOIL: | |||||||||
| Before reclamation | 4.8 | 3.7 | 5.8 | 25 | 149 | 8 442 | 3 350 | 16 | 6 168 |
| After reclamation | |||||||||
| control* | - | 3.7 | 5.6 | 27 | 85 | 7 913 | 3 140 | 12 | 2 075 |
| reclaimed | - | 4.8 | 6.0 | 9 | 12 | 3 633 | 1 867 | 8 | 633 |
| After fish harvest | |||||||||
| control | - | 3.8 | 6.1 | 24 | 63 | 7 076 | 3 206 | 11 | 2 000 |
| reclaimed | - | 5.7 | 6.8 | 10 | 10 | 2 963 | 1 620 | 0 | 704 |
| DIKE SOIL: | |||||||||
| Before reclamation | 3.9 | 3.0 | 3.6 | 21 | 338 | 9 425 | 2 772 | 15 | 8 900 |
| After reclamation | |||||||||
| control* | - | 3.8 | 3.8 | 12 | 253 | 9 167 | 1 767 | 10 | 2 374 |
| reclaimed | - | 4.2 | 4.1 | 8 | 118 | 5 285 | 1 362 | 6 | 1 083 |
Table 6
Available phosphorus (ppm) in the pond
bottom soil and water during and after reclamation1
| Treatment | During reclamation | After reclamation |
|---|---|---|
| SOIL2 | ||
| control | 0.809 | 0.988 |
| reclaimed | 0.677 | 1.524 |
| WATER3 | ||
| control | 0.013 | 0.147 |
| reclaimed | 0.010 | 0.576 |
| canal | 0.013 | 0.120 |
1 A total of 40 kg N + 40 kg P2O5/ha applied after reclamation in weeklydressings during 3½ months of lablab and fish culture.
2 Mean of 6 samples.
3 Mean of 9 samples.
(b) Heavily liming the crest and dikes slope or, the base of slope joining pond bottom including narrow strip of the pond bottom directly facing the dikes. These seem to minimize the acid hazards from the first but not from subsequent rains.
(c) Liming the whole pond bottom which generally requires very large and prohibitive amounts, and that too does not eliminate the hazard of acid leaching from the dikes and leaves the source of acidity as it is in the pond bottom.
These methods besides costly, are also apparently ineffective since the effect without removing the source of acidity is only temporary (Brinkman and Singh, 1982). Thus, it seems that removal of the pyrite as the source of acidity from at least the top 10-15 cm of pond bottom and also from those relatively big dikes is necessary as step toward permanent reclamation.
The method described in this section is based on the results of experiments conducted in the unreclaimed ponds of the BAC, Leganes. Iloilo (Poernomo, in press), a rapid reclamation scheme prepared and tested by Brinkman and Singh (1982) and earlier experiments conducted by Camacho (1977) at BAC and at different locations in the island of Panay by Singh (1980). This method has been tested and verified in the privately owned ponds in Panay Island having different conditions (Singh 1982, pers, comm, and ongoing work).
The basic concept in all these studies for permanent reclamation is to remove the source of acidity by oxidizing the pyrite from the pond bottom and flushing this out of the 10-15 cm surface soil layer and preventing further diffusion of acids, aluminum salts and large amounts of ferrous salts from coming up from the subsoil to the upper layer and into the pond water during the fish rearing period. At the same time, the acid materials and other toxic elements from the relatively big dikes are also leached and removed.
The procedure involves precise and well planned repeated sequence of intensive drainage, drying the pond bottom to maximally oxidize the pyrites, ploughing or tilling the top 10–15 cm of surface soil to accelerate the oxidation process, flooding and submerging the pond with saline or brackish-water to dissolve the reaction products and flushing or washing out the same from the ponds.
Depending on the prevailing conditions like weather, amount and distribution of pyrites, texture, soil structure, moisture in the soil, and presence of the other compounds like calcium carbonate, the entire reclamation work may be completed in about 3-4 months.
The above mentioned factors therefore need to be considered in predicting the speed of pyrite oxidation and eliminating the undesirable oxidation products during reclamation of acid sulfate ponds, as indicated below:
It would seem considerably easier to eliminate sulfates from a soil in a strongly seasonal i.e. distinct monsoon and dry climate than in a perenially wet one, which might hamper efficient oxidation. Therefore, the maximum effect of reclamation is to be expected during dry season by maintaining the soil moisture at 30-40 percent level.
The more heterogenously distributed pyrite in the soil, for example in the large root remnants, is oxidized faster due to easy access of oxygen and the acid formed upon oxidation is leached more rapidly through root channels, which at the same time become stabilized. On the contrary, in the acid sulfate soil with limited sponge structure, the oxidation front moves downward very slowly after drainage, and the soluble acids are leached out very slowly. Tilling the pond bottom thus, creates an ideal situation, where more surface area exposed after tilling leads to a faster oxidation and more pore space facilitates the leaching of oxidation products.
(d) Pyrite sediments rich in CaCO3 are oxidized very slowly, disappearing over a period of centuries (Pons, 1960); and liming the potential acid sulfate soils with sufficient CaCO3 to neutralize most of the acid produced by oxidation, leads to slow down the sulfide oxidation to 10-20 percent as compared to unlimed soils (Hesse, 1961).
9.2 Details of the procedure and workplan1
9.2.1 Treatment of the pond bottom. Figures 2a, b and c are provided for illustration. The reclamation work is started in the early part of dry season in the areas having pronounced dry and wet season and during the months with least rain in areas having no pronounced dry season. As regard climatological conditions. Indonesia is in an ideal situation for this work because most of the areas with extensive brackish tidal swamps have a pronounced dry season.
1 A major portion of this section is adapted from Brinkman and Singh, 1982.

Fig. 2 Method of pond reclamation: 2-A, Cross section of the pond, showing method of dike leaching; 2-B, Lay-out of a pond unit, showing periphery dikes to be leached; 2-C, Schedule of 3 months reclamation period followed with lab lab growing
The three month period of reclamation is roughly divided into alternate weekly drying and submergence periods. For rapid removal of the soluble acids and toxic elements from pond bottom and also for faster drainage of acidic water from the supply canal, the flooding and flushing should be done during the spring tide period.
In the first two weeks, the pond bottom is dried, tilling and harrowing is done to break the surface soil layer into smaller pieces and the harrowed soil dried throughly. Harrowing may not be necessary if the soil is already loose and contains low amounts of silt and clay.
Now the acid in the surface soil is ready to be removed. The pond is then flooded and submerged to dissolved the acids in the soil. The first flushing, by rush draining of the supernatant water in the pond, has to be done two days after submergence, when the pH (water) drops from the normal sea water (7.5–8.5) to highly acidic value of 3–4. In the reclamation process, the drop of the pH is usually very drastic due to the large amounts of acids produced from pyrite oxidation.
After draining the pond thoroughly, it is then ready for the second cycle. In the first and second weekly cycles of submergence, draining or flushing is carried out 2–3 times (Fig. 2), if the pH remains low (4 or lower). For the remaining 3 weekly cycles of submergence, usually one flushing for every cycle is considered enough because the pH drop is gradual. By the end of the 3 month reclamation period the pH remains continuously high. For some pond bottoms retilling of the pond bottom may be necessary during second or third drying cycle.
9.2.2 Treatment of the dikes. There are two ways of removing the acids from the dikes, one of which is rapid and effective method and which involves intensive leaching of the dikes by pumping brackish or saline water into the trenches or paddies especially built on the dike crest. The other is a slow method whereby the trenches on the dike crest are not intentionally filled by pumping with sea water, but are filled by the occasional and uncertain rains.
In the first case, the drying and flooding cycle is done in phase time with the reclamation of pond bottom so that the acidic leachate can seep down directly into the pond and be flushed out when the pond is drained.
Pumping to fill the trenches (Fig. 2a) should be continued at the same time of submergence cycle of the pond bottom as long as the water is seeping out through the dike slope into the pond. When the pond bottom is ready to be dried again, the trenches are also allowed to dry out. The thin mud layer due to siltation during flooding is removed all along the bottom of the trenches. For the dike constructed manually, there may be no need of this; on the contrary the big open holes have to be sealed to check the water seepage.
Further flooding and drying of the trenches should strictly follow the schedule of drying and submergence cycle of the pond bottom. At the end of the reclamation period, all of the trenches are to be filled with soil from the levees on the crest and levelled. To further counteract the acidity, Brinkman and Singh (1982) suggested broadcasting 1 kg of agricultural lime per ten meters each on the slope of the dike along each pond, and 1 kg per 20 meters each on top of the dikes after the completion of the leaching work.
Since in the slow method the leaching of the acids from dikes may take place any time when there is rain, an additional small trench has to be constructed along the base of the dike slope facing the pond to prevent the acidic leachate from entering the pond. This additional trench is drained out to the nearest canal (Figs. 2a and b).
Maintenance of the trench along the base of the dike slope involves checking and blocking any holes and seepages along the partition dike joining the pond, and also by maintaining rapid drainage of the leachate water from the trench. The same amount of agricultural lime as mentioned earlier is applied to this additional trench when the dry soil pH reached 4 or higher.
While the reclamation of acidic pond bottom is a must, leaching of acidic dikes can be restricted to only those relatively big primary dikes and or secondary dikes surrounding nursery and fingerling ponds where the compartment sizes are usually small. Dike leaching may not be necessary in the ponds having an area larger than 2 ha surrounded by medium size dikes (1 m crest width, 1.5 m height), since the amount of acidic materials leached out from the dikes into the pond during rains may not be large enough to create a serious effect on the pond biota. Draining some pond water immediately after the rains should eliminate the possible danger which may arise in such a pond.
Grasses, which can be easily grown on the reclaimed dikes, help in preventing erosion, thus reducing the unnecessary extra high cost of physical maintenance.
9.2.3 Growing of natural food and fish rearing. Preparation of the pond for lablab (benthic algae) growing can be started straightaway after the completion of the reclamation phase, after the last flushing cycle. The pond is again reflooded to about 2–5 cm to facilitate the pond bottom leveling work. Be sure that new fresh saline water for the flooding is free of acids coming from the leachate effluent.
The previously tilled pond bottom is now levelled, so that the mud of the upper (5–10 cm) layer is thoroughly mixed and evenly levelled and the pond bottom is made to slope towards the sluice gates. This is very important to establish a substrate for the good growth of lablab. A well puddled surface soil results in broader blocks when dried as compared to an unpuddled one. This minimizes further diffusion of ferrous iron from subsoil during drying and the early stage of submergence when the pond bottom is still in an oxidized stage (Brinkman pers. comm.). Consequently, the lablab grows better on a well puddled pond bottom.
After levelling the pond bottom, it is dried and thoroughly flushed once more by adding some brackish or saline water. Immediately after flushing the pond bottom drying follows to begin the lablab growing (Fig. 2c).
Agricultural lime at the rate of 500 kg per hectare is broad-cast evenly over the dry pond bottom (not incorporated in the soil). This is followed with the application of chicken manure at the rate of 2 tons/ha, broadcast evenly or applied in rows on the pond bottom.
To reduce the rate of phosphate fixation, ash of rice hulls can be spread over the pond bottom before spreading the chicken manure (Brinkman and Singh, 1982). To prevent the floating of the ash, it should be wet before spreading. Filter-press or mudpress at the rate of 5 tons (dry ha) can replace chicken manure. Because of the relatively high content of phosphorus and calcium, this serves as a soil conditioner and provides some phosphorus as well. The pond can now be flooded to about 2–5 cm depth, just enough to wet the manure or mudpress. Maintain this condition if possible for at least one week. This is considered as a critical period for the lablab. Too abrupt on increase in the depth of water may suppress the growth of lablab or may result in total failure.
When the signs of lablab growth are observed (greenish colour spreading over most of the pond bottom), usually 4–5 days after the pond bottom "wetting" it is the right time to apply the fertilizer to provide further stimulation for the lablab. One third of the maximum total dose 48 kg N and 60 kg P2O5/ha per crop in the form of 16-20-0; 18-46-0; or a combination of 45-0-0 and 0-20-0, depending on the availability of the materials is applied as the base dose by broad-casting it evenly over the pond bottom with a water depth maximum of 5 cm.
In the case that the mudpress is applied for chicken manure, only urea at the rate of 120 kg/ha per crop (total dose) is required. First application of the urea is done after the brown colour of the water due to the mudpress decomposition has disappeared, usually 2–3 weeks after first flooding.
Do not increase the water depth until fish stocking is done. It usually takes 2–3 weeks after first flooding to attain a good growth of lablab. Fish stocking can then be done after increasing the water depth to about 15–20 cm. Based on the trend of phosphorus content monitored in the water, it is suggested that the remaining two-thirds of the total dose of the fertilizer (both N and P) should be applied in equal weekly dressings during the entire rearing period.
Fixation of phosphate seems to be very minimal if lablab mat has grown and covered pond bottom.
10. AN EXAMPLE OF THE RESULTS OBTAINED
The results obtained after applying this practical solution developed by Singh (1980) and Brinkman and Singh (1982) at different locations have been very encouraging and successful. A specific example is provided of a recently conducted trial to test this solution is presented below.
The properties of the pond bottom soil used in this experiment before and after reclamation are shown in Table 5.
The low pH combined with high concentrations of other elements especially exchangeable Al, active Fe, acetate soluble SO42 (Table 5) indicate extremely acidic conditions. The dike soil was even more acidic than the pond bottom because of the intensive oxidation of pyrites.
The concentrations of these two elements (Al and Fe) are far beyond the tolerable limit of most fishes, generally about 0.5 ppm and 0.2 ppm for Al and Fe, respectively (Nikolsky, 1963). The extremely low concentration of available phos-phorus in the pond bottom soil is attributed to the high binding capacity of the excess amounts of aluminum and iron (Tables 5 and 6).
Table 5 shows the effects on the chemical properties of the surface soil (0–15 cm) of the pond bottom and dikes of acid sulfate ponds of 3 months of reclamation by drying, tilling, flushing and leaching. Table 7 indicates the effect of the reclamation on the lablab and milkfish production after the same ponds were uniformly treated with 840 kg of agricultural lime and 2 300 kg of chicken manure per hectare during pond preparation for lablab growing and 40 kg N and 40 kg P2O5 per hectare during fish rearing.
The formation of the bright red colour of ferric-oxide and the brown colour of ferric hydroxide, with an efflorescense surface film of aluminum sulfate could be clearly seen beginning 2 days after shallow flooding, particularly in the tilled ponds as a result of vigorous oxidation before flooding.
Table 7
Mean biweekly production of lablab
and milkfish production in a period of 73 days
| Treatment1 | Lablab ash free dry wt. (g/m2 per 2 weeks) | Milkfish prod. (kg/ha per crop) |
|---|---|---|
| control | 32.87 | 172.6 |
| reclaimed | 111.91 | 374.9 |
These red deposits gradually decreased in amount after repeated sequence of drying, submergence and flush draining or washing. At the end of the 3-months reclamation period, these deposits were hardly noticeable in all the reclaimed or treated ponds. In contrast, the bottom of all the control ponds remained evenly red which was evident even after the fish had been harvested. This is reflected by the drop in concentrations of exchangeable Al, and active as well as pyritic-Fe which were much lower in all treated ponds (Table 5) compared to the control ponds. It should be noted here that even in the control ponds there is also a little decrease in the concentrations of these elements. This is probably due to some washings from rains during the reclamation period.
The decrease in concentration of acetate soluble sulfate, and potential acidity coupled with lower concentrations of aluminum and iron, resulted in an increase (1.1 to 1.4 unit) in dry soil pH in the treated ponds after the 3-month reclamation period. In contrast, there was no change in the pH of the control ponds (Table 5).
The dry soil pH attained after reclamation (4.6–5.2) (Table 5) is enough to maintain an ideal pH of 6–7 of the wet reduced pond bottom soil upon continuous submergence and water pH of 7.0 to 8.5 during lablab and fish growing. This situation in turn is optimum for the solubility and availability of phosphorus for lablab growth, since fixation of phosphorus by soil is minimum at these pH levels (Table 6). In the control ponds where the concentrations of aluminum and iron were still high and the soil pH low, the fixation of phosphorus were constantly low even immediately after application of fertilizer (Table 6). In his observation (Hesse, 1962) found that in acidic soils, the added phosphorus was completely fixed within 30 minutes, and largely within 5 minutes after application; the difference in amount of phosphorus fixed in 30 minutes and 30 days was negligible. Similar observations were also made by Singh (1982a), in which after application of 100 kg/ha of P2O5 as superphosphate, the phosphorus contents were almost zero within 2 weeks in the supernatant of acid sulfate soils, whereas at the same rate of application in the supernatant of neutral soils, it remained above 1 ppm for several weeks after application.
The significantly lower production of lablab in the control ponds (Table 7) compared to the reclaimed one is attributed to the constantly low concentration of the available phos-phorus, because of the rapid fixation of phosphorus released from the fertilizer (Table 6). In the reclaimed ponds on the other hands, fixation of phosphorus by the soils seems to be very minimal. The lablab mat which grew evenly on the pond bottom seems to have acted as a barrier and prevented phos-phorus fixation into the soil. Secondly, the soil in these ponds was not very acidic anymore and therefore, had lower phosphorus fixation capacity. Lablab growth in all the reclaimed ponds was so thick, (Table 7) that thinning was done to avoid the danger of sudden decomposition. Fish production for each treatment was significantly correlated with lablab production (Table 7). There is a significant difference in lablab as well as fish production between control (unreclaimed) and treated (reclaimed) ponds (Table 7).
Though in terms of lablab and fish production there may be no significant difference between ponds with and without dike leaching, there are more acids and other toxic elements on the dikes without leaching. The results of dike leaching indicate that more acids were washed and removed from the leached dikes compared to the unleached one. The leached dikes pose less hazard of acid water seeping out of dikes than those without leaching and thus have more potential hazards for fish kills. In other words, the effect of dike leaching on the lablab and fish production may be undetectable in the first season of fish growing, but this could be more pronounced in the subsequent growing seasons especially during the rainy seasons.
11. CONCLUSIONS AND RECOMMENDATIONS
Based on the review of studies referred in this paper, the following conclusions and recommendations are drawn:
11.1 Brackishwater pond fish culture seems to be the most ideal land use in maximizing the utilization of marginal lands of coastal mangrove tidal swamps (Singh, 1980).
11.2 Though acid sulfate soils in these areas are undoubtedly detrimental if they are developed into fishponds, they can be rapidly improved into productive soils following a proper method of reclamation.
11.3 A repeated sequence of drying, tilling and flushing the pond bottom with sea water and leaching of relatively big dikes preferably during dry season is recommended as a cheap and fast method of reclamation (Singh, 1980; Brinkman and Singh, 1982 and Poernomo, 1982).
11.4 A moderate and low rate of application of powdered lime (500 kg/ha) broadcasted on the pond bottom immediately after reclamation or during pond preparation for fish rearing should help to speed up soil reduction, suppress the concentrations of aluminum, iron and acids that may be released into the pond water and reduce the phosphorus fixation into the soil. Application of waste materials like mudpress from sugar mills and burnt rice hulls on the wet pond bottom is also effective in reducing the phosphorus fixation in the soil (Singh, 1982b).
11.5 To further avoid excessive phosphorus fixation by pond bottom soil, small weekly dressings of preferably slow releasing fertilizers are recommended (Singh, 1982a).
11.6 Instead of prefingerling size, postfingerling size of milkfish or other hardy fishes should be used for stocking in the first or second year after reclamation. Shrimps should be stocked afterwards in polyculture with milkfish on an experimental basis before embarking on the intensive commercial prawn monoculture after several years (Singh, 1982b).
12. REFERENCES
Allbrooke, R.F. 1972 The identification of acid sulfate soils in North West Malaysia. Proc. Int. Symp. Acid Sulfate Soils; 131-14, Wageningen.
Andriesse, J.P., N. Van Breemen and W.A. Blockhuis. 1973 The influence of mudlobsters (Thallasina anomala) on the development of acid sulfate soils in mangrove swamps in Sarawak (East Malaysia). Proc. Int. Symp. Acid Sulfate Soils. (II), 11–39, Wageningen.
Beers, W.F.J. Van. 1962 Acid sulfate soils. ILRI Bull. 3:31 pp. Veenman, Wageningen.
Bemmelen, J.M. Van. 1986 Contributions to the knowledge of the alluvial soil in the Netherlands. Kon. Akad. v. Wetenschappen, Amsterdam.
Beye, G.M. Toure and G. Arial. 1975 Acid sulfate soils of West Africa, problems of their management for agricultural use. IRRI Rice Conf. Los Baños, Philippines.
Bloomfield, C. and J.K. Coulter. 1973 Genesis and management of acid sulfate soils. Adv. Agron., 25: 265–326. Academic Press, Inc., N.Y.
Brinkman, R. and L.J. Pons. 1968 A pedo-geomorphological classification and map of the Holocene sediments in the coastal plain of the three Guianas. Soil Survey Papers 4. Soil Survey Institute, Wageningen.
Brinkman, R. and V.P. Singh. 1982 Rapid reclamation of fishponds on acid sulfate soils. Proc. Int. Symp. Acid Sulfate Soils, 318–330, Bangkok.
Camacho, A.S. 1977 Implications of acid sulfate soils in tropical fish culture. Proc. Joint South China Sea Programme and Southeast Asian Fish. Dev. Counc., Workshop Aquacult. Eng., SCS/GEN/77/5 (2): 97–102.
Clarkson, D.T. 1969 Metabolic aspects of aluminum toxicity and some possible mechanism for resistance. Ed. I.H. Rorison, 381–397, Blackwell, Oxford.
Coulter, J.K. 1973 The management of acid sulfate an pseudo-acid sulfate soils for agricultural and other uses. Proc. Int. Symp. Acid Sulfate Soils (I): 255–274, Wageningen.
Dent, D.L. and R.W. Raiswell. 1982 Quantitative models to predict the rate and severity of acid sulfate development. A case study in Gambia. Proc. Int. Symp. Acid Sulfate Soils, 73–95, Bangkok.
Dent, F.J. 1972 Reconnaisance soil survey of peninsular Thailand. Soil Survey Rep. SSR-94. Dep. Land. Dev. Thailand, 12p.
Dent, F.J. and L. Montcharoen. 1966 Report on the soil survey of the MERS study area no. 6 Chantaburi, Rep. SSR-46. Soil Survey Div., Bangkok, 39p.
Driessen, P.M. and Ismangun. 1972 Pyrite containing sediments of southern Kalimantan, Indonesia. Proc. Int. Symp. Acid Sulfate Soils (II): 345–358, Wageningen.
Driessen, P.M. and Suproptohardjo. 1974 Soils for agricultural expansion in Indonesia. Bull. 1. Soil Res. Inst., Bogor, 63p.
Dunn, I.G. 1965 Notes on mass fish death following draught in south Malaya. The Malayan Agric. J., 45 (2).
Edelman, F. 1971 Preliminary investigation of the possible use of the soap azide method for rapid field estimation of pyrite content in soil. (Dutch) Int. Dept. Soil Sci. and Geol. Agric. Univ. Wageningen, 2p. Mimeo.
Elaart, L.J. van dern. 1982 Problems in reclaiming and managing tidal lands of Sumatra and Kalimantan, Indonesia. Proc. Int. Symp. Acid Sulfate Soils, 272–290, Bangkok.
FAO. 1965 Guidelines for soil profile descriptions. Italy, Rome.
FAO/UNESCO. 1974 Soil map of the world, 1:5 000 000. Paris, 59p.
Goldhaber, M.B. and I.R. Koplan. 1974 The sulfur cycle. The sea, Vol. 5 Marine Chemistry. John Willy, NY. 569–655.
Gopinathan, B. 1977 Department of Soil Science, MARDI, Selangor, Malaysia.
Hart, M.G.R. 1959 Sulfur oxidation in tidal mangrove soils of Sierra Leone. Plant and Soil, 11: 215–236.
Hesse, P.R. 1961 The decomposition of organic matter in a mangrove swamp soil. Plant and Soil, 14: 249–263.
Hesse, P.R. 1963 Phosphorus relationship in mangrove swamp mud with particular reference to aluminum toxicity. Plant and Soil, 19: 205–218.
Kawaguchi, K. and K. Kyuma. 1969a Lowland rice soils in Malaysia. Natural Science Series, N-5 Center for S. East Asian Studies, Kyoto Univ. 154p.
Kawaguchi, K. and K. Kyuma. 1969b Lowland rice in Thailand. Natural Science Ser. N-4 Center for East Asian Studies. Kyoto Univ. 370p.
Kevie, W. Vander. 1973 Physiography, classification and mapping of acid sulfate soils. Proc. Int. Symp. Acid Sulfate Soils (I), 204–222, Wageningen.
Kevie, W. Vander and B. Yenmanas. 1972 Detailed reconnaisance soil survey of Southern Central Plain area. Rep. SSR. 89, Soil Survey Div. Land Dev. Dep. Bangkok. 187p.
Kung, T.T. and S.L. Chose. 1964 On the genesis of the strongly acid salty paddy soils of Southern Kwantung (in Chinese) Acta Paedol. Sin 12:2.
Moorman, F.R. 1963 Acid sulfate soils (cat clay) of the tropics. Soil Sci., 95: 271–275.
Moorman, F.R. and N. van Breeman. 1978 Rice: soil, water, land. IRRI, 185p.
Murakami, H. 1969 Distribution and improvement of acid sulfate soils in Japan. Jpn. Agric. Res. Q. 4(2): 50–53.
Neckers, J.W. and C.R. Walker. 1952 Field test for active sulfides in soil. Soil Sci. 74: 467–570.
Nikolsky, G. 1963 The ecology of fishes. Translated by L. Birkett, 351p. A.P. London.
Park, N.J. and Y.S. Park. 1969 A study of physico-chemical characteristics of acid sulfate soil in Kinhae plain. J. Korean Soc. Soil Fert. 2: 15–26.
Pons, L.J. 1956 Some aspects of the improvement of pyrite containing old marine soils in the Netherlands. Proc. Int. Congr. Soil Sci. (6th), 2: 727–734.
Pons, L.J. and W. Vander Kevie. 1969 Acid sulfate soils in Thailand. Studies on the morphology, genesis and agricultural potential of soils with cat clay. Soil survey rep. 81, 65p.
Poelman, J.N.B. 1973 The scientific history of the cat clay phenomenon. (Dutch) Boor en Spade, Stichting voor Bodenkartering, Wageningen.
Poernomo, A. 1982 Reclamation of acid sulfate soils for brackishwater fishponds. MS. Thesis, Univ. Philippines in the Visayas, Iloilo, Phil. (in preparation).
Powlson, D.S. 1976 The identification of the potential acid sulfate soils. MARDI Res. Bull., 1: 34–43.
Rasmussen, K. 1961 Transportation of inorganic sulfur compounds in soil. (Danish, English summary). Thesis Kgl. Veter. and Agric. Univ. Copenhagen.
Rickard, D.T. 1973 Sedimentary iron sulfide formation. Proc. Int. Symp. Acid Sulfate Soils (I), 28–65, Wageningen.
Singh, V.P. 1980 The management of fishponds with acid sulfate soils. Asian Aquaculture, 3(4): 4–6.
Singh, V.P. 1982a Kinetics of acidification during inundation of previously dried acid sulfate soil material: implications for the management of brackishwater fishponds. Proc. Int. Symp. Acid Sulfate Soils, 331–353, Bangkok.
Singh, V.P. 1982b Management of acid sulfate soils for brackishwater fishponds: Experience in the Philippines. Proc. Int. Symp. Acid Sulfate Soils, 354–366, Bangkok.
Soegiarto, A. 1980 The present state of mangrove ecosystems in Southeast Asia and the impact of pollution - Indonesia. SCS/80/WP/94a (Rev.).
Starsky, R.L. 1966 Oxidation and reduction of sulfur compounds in soils. Soil Sci. 101: 297–306.
Stum, W. and J.J. Morgan. 1970 Aquatic chemistry. John Wiley, NY. 583p.
Tanaka, A. and S. Yoshida. 1970 Nutritional disorders of the rice plant in Asia. Int. Rice Inst. Tech. Bull., 10: 51p.
Tang, Y.A. 1976 Physical problems in fishfarm construction. FAO Tech. Conf. Aqua., Kyoto, Japan. FIR: AQ/CONF/ 76/R15: 10p.
Tealke, L.J.H. and B.L. Southern. 1973 Peat soils and related soils of Western Australia II. A soil survey of Herdsman Lake. J. Dept. Agric. Western Australia. 14: 404–424.
Tomlinson, T.E. 1957 Relationship between mangrove vegetation, soil texture and reaction of surface soil after emplodering saline swamps in Sierra Leone. Trop. Agric. (Trin).
Thornton, I. and M.E.C. Giglioli. 1965 The mangrove swamps of keneba lower Gambia River Basin. J. Appl. Ecol. I.
Trafford, B.D.C., W.I. Kelso Bloomfield and G. Penden. 1973 Ochre formation in field drains in pyritic soils. Soil Sci., 24 (4).
Tram, H.V. and L. Pham Ng. 1975 Problem soils in the Mekong delta of Vietnam: A general description and implication of rice cultivation. Int. Rice Res. Conf., Los Baños, Philippines, 9p.
USDA. 1975 Soil conservation service, soil service staff. Soil taxonomy: a basic system of soil classification for making and interpreting soil surveys. USDA - Agric. Handbook 436. US Govt. Printing Office, Washington, D.C. 754p.
Wallenburg, C. 1973 Cat clay and potential cat clay in inland polders. Proc. Int. Symp. Acid Sulfate Soils (II): 264–286, Wageningen.
Watts, J.C.D. 1969 Phosphate retention in acid sulfate muds from the Malacca area. Malay Agric. J. 47: 187–202.
Westerveld, C.J.W. and A.F. Holst. 1975 Detailed soil survey and its application with actual and potential acid sulfate soil in the Netherlands. Stichting voor Bodenkartering. Wageningen. Door en Spade No. 19.
Wiedeman, H.U. 1973 Application of the red-lead to the detection of dissolved sulfide in logged water soils. Flanzenernahr. Bodenk.
Wijk, C.L. van. 1951 Soil survey of the tidal swamps of South Borneo in connection with the agricultural possibilities. Landbouw, 123 Wageningen, the Netherlands.
Woolhouse, H.W. 1970 Environment and enzyme evolution in plants. In Phytochemical Phylogeny. Ed. J.B. Harbone, 207–231. A.P. London and N.Y.
van Breemen, N. 1973 Soil forming process in acid sulfate soils. Proc. Int. Symp. Acid Sulfate Soils (I), 66–130, Wageningen.
van Breemen, N. Genesis and solution chemistry of acid sulfate soils in Thailand Agric. Res. Rep. (Versl. Land-bowkd. Onders). 848, PUDOC, Wageningen; 263p.
van Breemen, N., L.M. Bernardo and E.L. Navarro. 1977 Acid sulfate soils and soils salinity in the Aparri area in the Lower Cagayan River Basin. Internal Rep., Soil Chemistry Dept., IRRI, 6p.
van Breemen, N. and L.J. Pons. 1978 Acid sulfate soils and rice IRRI Symp. Soils and Rice, Los Baños, Laguna, Philippines.
Yadav, J.S.P. 1976 Saline, alkaline and acid soils in India and their management. Fert. New, 15–23.
SCS/82/CFS/CP-14
by
T.L. Ti2, R. bin Hassan3 and L.D. Rajamanickam3
1. INTRODUCTION
This paper attempts to assemble and review some of the major environmental factors that are relevant to the management of coastal brackishwater ponds for fish culture. It has been variously stated that there are about 150 000 hectares of mangrove swamps in Malaysia suitable for aquaculture development. Discretion dictates that before any large scale development programme is embarked upon, amongst the earliest tasks imperative to an assessment of this potential is a study of the coastal mangrove environment. Preliminary investigations indicate that most of these areas are potential acid sulfate areas. The Brackishwater Aquaculture Research Center in Gelang Patah, Johore is the first coastal aquaculture project of its kind set up by the Malaysian Government and is therefore well emplaced and timed to conduct such investigations. With assistance from the UNDP/FAO at the scientific and technological levels, certain observations have been made on the weather, soil and water quality which, in combination, presents an environment that is peculiar to the locality. Effort has also been made to understand the significance of environmental variables in pond culture of fish and shrimps. The initial findings should provide useful background information for planning the design and construction of aquaculture farms; and for a formulation of a working strategy for managing the farms.
2. SOIL TYPE
The Brackishwater Aquaculture Research Center at Gelang Patah is located in one of the most extensive mangrove areas in Peninsular Malaysia, the Sungai Pulai mangrove forest which covers an area of about 8 300 hectares (Watson, 1921) on the southwestern part of the state of Johore.
The soil in the Gelang Patah Center has been classified under the Kranji series of soils. These are soils that are most recent of marine alluvial soils. They are characterized by a lack of profile development. Typically, Kranji soil consists of a thin layer of dark grey or brown organic clay at the top followed by a subsoil layer of grey clay containing an abundance of partly decayed mangrove roots. This layer usually extends down to a depth of a meter, below which the soil is made up of a bluish clay of a greasy feel. In the case of Gelang Patah. the subsoil goes deeper, from 1 to 5 meters. This means that it is within this subsoil layer that any excavation for fishponds is likely to occur. In mangrove areas, this subsoil layer contains an abundance of sulfur and iron in the form of pyrite. The subsoil is exposed during excavation and the parent material is used for the construction of dikes. On drying the pyrite in the soil would oxidize forming sulfuric acid, jarosite and other sulfates of iron. Ferric sulfates are easily identified as yellow encrustations on the surface of clumps of clay, mangrove roots and decaying logs. An acid sulfate soil condition is established when analysis of soil pH indicates a value of 4.0 or below.
3. THE PROBLEM
The effect of acid sulfate soil on fishponds has already been well described by Potter (1976), Dunn (1965) and Singh (1981a, b). However, the situation in Gelang Patah and other coastal areas in Johore is further aggravated by a rather wet weather condition. Rainfall and runoff act as agents for carrying acid and dissolved iron into the ponds. Annual rainfall in Gelang Patah is in the region of about 160 to 220 cm. Rainy days are also well distributed throughout the year without any clearly defined dry season (Table 1). Within regular periods of drying and wetting, the products of pyrite oxidation are constantly being carried into the ponds either by runoff or by rainwater seeping through the dikes. Aluminum salts are also released by the acidic water and carried into the ponds (Brinkman and Singh, 1981). This has four major effects on the pond environment.
The sulfuric acid drastically reduces the pH of pond water causing stress and mortality of fish and shrimps.
Causes precipitation of finely distributed ferric hydroxide particles that clog the gills of shrimps causing stress and mortality.
Lowers the productivity of the pond.
Toxicity to the fish and shrimps is caused by high concentrations of iron and aluminum salt in the water.
1 Contribution to the FAO/UNDP-SCSP Consultation/Seminar on Coastal Fishpond Engineering, Surabaya, Indonesia, 4–12 August 1982.
2 Fisheries Officer, Fisheries Division, Brackishwater Aquaculture Research Center, Gelang Patah, Johore, Malaysia.
3 Staff, Fisheries Division, Brackishwater Aquaculture Research Center, Gelang Patah, Johore, Malaysia.
3.1 Acidic soils
Table 2 summarizes some of the findings made during the latter half of 1981.
A severe acid sulfate condition is reflected in the pH of soil that had been oxidized with hydrogen peroxide solution. Results range from 2.13 to 2.90. Dike soils analyzed without prior treatment with hydrogen peroxide solution indicate that the exposed portions have already been oxidized to a high degree by natural process to give low pH values of 2.61, 2.97, 3.10 and 3.50. Samples of soil taken from exposed portions (Clarkson, 1969) and disrupt the activities of proteina-ceous enzymes located in the cell wall (Woolhouse, 1970).
Table 1
Monthly rainfall distribution, January-December, 1974–1981
| (in mm) | |||||||||||||
|---|---|---|---|---|---|---|---|---|---|---|---|---|---|
| Year | Jan | Feb | Mar | Apr | May | June | July | Aug | Sept | Oct | Nov | Dec | Ave |
| 1974 | - | 218.7 | 73.1 | 164.1 | 387.9 | 171.7 | 161.0 | 117.6 | 203.5 | 83.6 | 130.3 | 48.0 | 160.0 |
| 1975 | 185.2 | 115.7 | 397.1 | 233.7 | 338.5 | 158.1 | 162.6 | 120.2 | 179.7 | 122.0 | 257.4 | 180.5 | 204.2 |
| 1976 | 21.8 | 64.4 | 121.7 | 263.1 | 92.5 | 172.3 | 231.5 | 112.0 | 148.2 | 350.1 | 248.7 | 356.4 | 181.9 |
| 1977 | 7.8 | 205.1 | 28.2 | 236.6 | 139.5 | 222.7 | 185.5 | 290.5 | 250.3 | 232.6 | 341.3 | 179.5 | 193.3 |
| 1978 | 207.8 | 165.0 | 222.7 | 225.1 | 132.5 | 114.7 | 179.1 | 95.5 | 97.9 | 258.7 | 351.9 | 506.8 | 213.4 |
| 1979 | 150.8 | 139.2 | 343.2 | 250.5 | 69.8 | 122.6 | 195.7 | 113.4 | 309.8 | 218.5 | 319.4 | 57.4 | 190.9 |
| 1980 | 256.5 | 89.6 | 95.6 | 247.6 | 247.5 | 230.0 | 136.7 | 155.2 | 247.5 | 180.9 | 282.6 | 345.1 | 335.8 |
| 1981 | 22.9 | 117.3 | 108.0 | 292.2 | 307.2 | 136.7 | 162.2 | 26.0 | 165.1 | 187.4 | 134.4 | 289.6 | 162.6 |
| Ave. | 121.8 | 139.4 | 173.7 | 239.1 | 212.2 | 154.4 | 179.1 | 140.3 | 191.9 | 216.9 | 266.1 | 244.3 | 190.4 |
| - *RD - | - *RD - | ||||||||||||
Table 2
Soil pH, potential acidity and total Fe
| *Sample | pH (H2O) oxidation | pH after H2O2 (30%) oxidation | Potential acidity (meq H+/100g soil) | Fe 0.1N ext. (ppm) |
|---|---|---|---|---|
| A | 2.61 | 2.20 | 117.4 | - |
| B | 6.10 | 2.44 | 150.2 | 80 (0.40%) |
| C | 2.97 | 2.13 | - | - |
| D | 4.65 | 2.90 | 65.7 | 45 (0.23%) |
| E | 3.10 | 2.45 | 76.5 | 55 (0.28%) |
| F | 5.05 | 2.82 | 65.5 | 95 (0.48%) |
| G | 3.50 | - | - | - |
Table 3
Soil pH in relation to the degree of exposure to air
| Sample source | pH value |
|---|---|
| Dike — exposed portion | 2.61–3.50 |
| Dike — below water mark | 4.65–5.05 |
| Pond bottom | 6.10 |
3.2 Poor pond productivity
A further disadvantage of building fishponds in acid sulfate soil is their lack of response to fertilization. Any phosphate applied to the pond water is quickly taken up by the soil making it unavailable for primary production. Watts (1969), working on phosphate retention in acid sulfate pond mud under freshwater conditions found the fixation capacity of the mud to be in the region of 3 000 lb P2O5/acre (3.363 kg/ha). He also concluded that at the practical rates of application of phos-phate, complete absorption occured within about seven days. This accounts for the near absence of phosphates in Gelang Patah ponds (Simpson, et al., 1982).
Other factors which render pond management for production of natural food difficult is the ever changing water quality such as pH and salinity caused by the frequent and often unpredictable precipitation of rain. Control of algae blooms is extremely difficult if the type of management used in the Philippines for the culture of milkfish is contemplated.
3.3 Toxicity
Although high iron content in the pond is expected to have a deleterious effect on the physiology of culture organisms, the exact nature of its effect on the species cultured in Gelang Patah is not known. Total iron of a magnitude of 13.05 ppm has been monitored in a pond holding Lates calcarifer fingerlings. Lutjanus johni fingerlings have also been known to withstand a total iron level of 2.0 ppm without showing any stress. Since water exchange was effected soon after the high iron level was detected, the effects of prolonged exposure are unknown.
Sporadically, the iron in pond water precipitates out as particulate hydroxide which gives the pond water a bright orange tint. This is believed to be brought about by a rise in pond water pH. The fine particles of iron hydroxide cause mechanical clogging of gills of penaeid shrimps. Respiratory stress becomes visible as shrimps rise to the surface, and mortality occurs soon after.
4. DISCUSSIONS AND RECOMMENDATIONS
Left alone to natural processes, the soil would probably improve with time. For practical reasons, this would take too long. This being the case, an attempt is made in the following paragraphs to review some of the early findings in Gelang Patah with a mind to offer some suggestions for improving pond conditions.
4.1 Pond design and dimensions
In designing ponds for areas with acid sulfate soil, every effort must be taken to reduce the size of the dikes. This is to reduce the volume of soil exposed to the air and to reduce the surface area so that less rainwater runoff and seepage water enter the pond. However, there is a limit to which dike size could be reduced. Other physical considerations such as land elevation, tidal range and pond water depth also play a role in determining its size. Usually, there is little scope for reducing the size of the perimeter dikes. The inner dikes separating the ponds, however, afford greater flexibility for dike reduction. Reduction of dike size could require the removal of large volumes of earth. An additional expenditure would be incurred in the transporation and disposal of excess earth. Unless there are low lying areas within the prescribed area that could be used for dumping, this additional expenditure could be substantial. The decision to adopt this measure would then have to be weighed against other remedial measures that could be taken.
Ponds in acid sulfate soil should be at least 0.5 ha in size. They should also be of such a depth that the pond bottom could be inundated to a depth of above 1.0 meter at all times. Shallow ponds of the type used in the Philippines for culturing milkfish are not suitable in the Malaysian content. Previous observations on the pH of ponds in Gelang Patah (Ti and Rajamanickam, 1981) indicate that smaller ponds are more severely affected by rainfall than larger ones. It is on this basis that ponds smaller than 0.5 ha are not recommended for acid sulfate areas. In Figs. 1 and 2 the pH values of ponds of various sizes for a period of two weeks are shown against the total rainfall and the number of rainy days.
In view of the earlier findings on the effort of pond size, it was rationalized that a bigger volume of water in the pond would render it better able to resist rapid changes in water quality brought about by the effect of acid sulfate soil and rain. To investigate this belief, an experiment was started to find out the effect of two different water depths on pond water quality and growth and survival of Lates calcarifer juveniles. Two adjacent ponds of similar size, i.e., 0.5 ha stocked with about 2 500 fry each were kept at average depths of 70 and 100 cm, respectively. Preliminary results seem to substantiate the belief that conditions in deeper ponds are more stable. To reflect the buffering capacity of each pond against acids, data collected on the alkalinity of each pond was subjected to statistical treatment for paired observations (Table 4). Results indicate that there was a significant difference between the alkalinity values of the deeper pond and the shallower pond. Significance was at 2 percent level (p = 0.02) i.e., 1.58 meq/l and 1.40 meq/l, respectively (Table 5).

Fig. 1 Regression lines of Y (pH) on X (TOTAL RAINFALL)*

Fig. 2 Regression lines of Y (PH) on X
(NUMBER OF RAINY DAYS)*
* Ti and Rajamanickam (1981)
Table 4
Alkalinity of ponds (0.5 ha) kept at two different depths
| Date | Alkalinity in meq/liter X1 (100cm depth) X2 (70cm depth) | X1 - X2 | (X1 - X2)2 | |
|---|---|---|---|---|
| 12/12/81 | 1.74 | 1.62 | 0.12 | 0.0144 |
| 16/12/81 | 1.56 | 1.40 | 0.16 | 0.0256 |
| 19/12/81 | 1.12 | 1.02 | 0.10 | 0.0100 |
| 20/12/81 | 0.88 | 1.24 | -0.36 | 0.1296 |
| 21/12/81 | 1.32 | 1.16 | 0.16 | 0.0256 |
| 22/12/81 | 1.32 | 0.92 | 0.40 | 0.0160 |
| 24/12/81 | 1.60 | 1.64 | -0.04 | 0.0016 |
| 28/12/81 | 1.52 | 1.16 | 0.36 | 0.1296 |
| 29/12/81 | 1.52 | 1.44 | 0.08 | 0.0064 |
| 4/1/82 | 1.52 | 1.52 | 0.00 | 0.0000 |
| 6/1/82 | 1.45 | 1.09 | 0.36 | 0.1296 |
| 11/1/82 | 1.62 | 0.10 | 1.52 | 2.3104 |
| 20/1/82 | 1.59 | 1.44 | 0.15 | 0.0225 |
| 14/1/82 | 1.76 | 1.76 | 0.00 | 0.0000 |
| 1/2/82 | 1.65 | 1.44 | 0.21 | 0.0441 |
| 8/2/82 | 1.96 | 1.68 | 0.28 | 0.0784 |
| 13/2/82 | 1.83 | 1.77 | 0.06 | 0.0036 |
| 15/2/82 | 1.48 | 1.38 | 0.10 | 0.0100 |
| 17/2/82 | 1.76 | 1.54 | 0.22 | 0.0484 |
| 22/2/82 | 1.92 | 1.76 | 0.16 | 0.0256 |
| 27/2/82 | 1.88 | 1.88 | 0.00 | 0.0000 |
| 1/3/82 | 1.82 | 1.70 | 0.12 | 0.0144 |
| 13/3/82 | 1.56 | 1.49 | 0.07 | 0.0049 |
![]() | 36.38 | 32.15 | 4.23 | 3.0507 = Σ (X1 - X2)2 |
| 1.5817 | 1.3978 | 0.1839 | ||
= 0.0045 Sd = 0.0670
= 2.7450*
* Significant at 2% level (p = 0.02)
Table 5
Analysis of paired observations on alkalinity
| Sd-2 (Variance of mean difference) | Sd-(Standard deviation of mean difference) | df | t | t0.02 (tabulated) |
|---|---|---|---|---|
| 0.0045 | 0.0670 | 22 | 2.745 | 2.508 |
However, the example above serves only to indicate that there is a strong possibility of a deeper pond keeping better quality water than a shallower pond. The statistical analysis was done with the assumption that there are no appreciable intrinsic differences between the two ponds other than those associated with different water depths that would affect the alkalinity values. Since only a single experiment without replicates was done, it must be emphasized that at this juncture, the evidence provided is not in any way conclusive.
4.2 Reclamation
If having decided that larger and deeper ponds with smallest possible dike size are desirable, and the desired dike dimensions are not economically feasible or tenable from an engineering point of view, we would have to consider ways of improving soil conditions.
One of the first obvious measures is to neutralize the acidity by the addition of lime. Rosly (unpublished data) estimated that to reclaim the top 15 cm of a hectare of dike soil would require between 20–30 tons of calcium carbonate powder. The estimate was based upon raising the pH of the soil to 6.5. Similarly Watts (1965), working on the acid sulfate soil at Malacca, found that a lime dressing of about 17 tons per acre (42 tons per hectare) was required to raise the pH of the upper 25 cm to a value of 5.5. It is obvious therefore, that to reclaim local acid sulfate soils would require liming in quantities that are too large to be practical. For immediate effect, a small quantity of lime may be applied to the surface of dikes to neutralize acidic runoff. The effects of such applications are however of a short duration. An application of 30–50 kg of agricultural lime along the dikes of a 0.5 ha pond was found to last from 2–4 weeks in Gelang Patah. Brinkman and Singh (1981) recommended application of similar small doses to prevent fish kills during rains. Their method entails applying about 1 kg/10 meters dike of powdered agricultural lime directly into the pond water along the sides of the pond the moment pond water is observed to fall below pH 5.0. There is, however, a constraint in using lime to raise the pH of pond water. If the pond contains large amounts of ferrous salts, the presence of lime would encourage the rapid precipitation of particulate ferric hydroxide.
So far, the most promising method of rapidly reclaiming the dike soil appears to be the method devised by Brinkman and Singh (1981) and Brinkman (1981, 1982) of leaching the acid and iron out of the dike by flooding the top of the dikes with saline water. For the process to be effective, he recommended that the reclamation be carried out during the dry season. This is to allow the soil to oxidize so that the maximum amount of acid is formed for removal. A small channel made up of levees or a trench is constructed along the center of the crest of the dike to hold seawater. In Gelang Patah, he recommended the excavation of a trench of 45 cm (depth) by 20 cm (width). Brackishwater should be pumped into the trench to flood it to a depth of 10 cm. Flooding is maintained for a week. The process of flooding and drying is repeated until an improvement in pH is observed in the water seeping out. In Gelang Patah where active reclamation is hampered somewhat by a lack of dry periods (Table 1), Brinkman (1981) estimated that only two cycles of drying and flushing could be done in a year. He also opined that most of the pyrite and acids could be removed in a two-year period given adequate dry seasons.
4.3 Culture management
Since acids and dissolved iron are constantly being washed into the pond, the most practical method of reducing the severity of adverse water quality is to exchange a portion of pond water as frequently as possible. Frequent flushings also improve pond bottom conditions. Bottom soil of pH 6.1 has been monitored in Gelang Patah after about two years of constant flushing. Depending upon the condition of the pond, a daily water exchange of between 10–50 percent of the pond water has been found to keep the measurable parameters of pond water within acceptable limits.
The need to exchange water constantly precludes the practicality of applying chemical fertilizers to the pond to stimulate the growth of natural food. Moreover, as has been stated earlier, phosphate added is quickly bound up in the soil making it unavailable to the algae. Singh (1981a) indicated that small doses of phosphates at regular intervals are preferable to a single large dose. He also suggested the use of a slow-release phosphate fertilizer instead of superphosphate. In Gelang Patah, it has been found that dried chicken manure applied in small doses can cause mild blooms of plankton beneficial to fish and shrimp culture especially during the early juvenile stages. The application of chicken manure has also been reinforced by the addition of small doses of rice-bran. Ricebran acts as a direct feed for the shrimp and herbivorous fish. At the same time, it could be used as a fertilizer for the pond. However, early observations indicate that continued utilization of chicken manure and ricebran beyond the early juvenile stages is not satisfactory. The nutrients obtained would not be adequate to obtain good growth rates. The search is continuing at Gelang Patah for suitable formulated feeds to altogether eliminate dependency on stimulating the natural productivity of ponds. The rationale to develop suitable feeds is further justified by the fact that the rapidly changing water quality caused by unpredictable weather makes it difficult to provide sufficient natural food.
5. CONCLUSIONS
Various remedial measures can be taken to combat acid sulfate problems at different stages of pond development and management. Satisfactory answers to these problems are not yet available although some suggestions have been made based upon first observations. There is complexity of the pond environment brought about by the interaction of a multitude of factors.
6. REFERENCES
Brinkman, R. 1981 Report to the FAO/UNDP on Coastal Aquaculture Development Project, Gelang Patah, Johore Bahru, Malaysia, 21–22 September 1981.
Brinkman, R. 1982 Personal communication.
Brinkman, R. and V.P. Singh. 1981 Rapid reclaimation of brackish-water fisponds in acid sulfate soils. Proceedings of the Bangkok Symposium on Acid Sulfate Soils. ILRI Wageningen. The Netherlands. Publication 31. pp. 318–330.
Dunn, I.G. 1965 Notes on mass fish death following drought in south Malaya. Malaysian Agricultural Journal, Vol. 45, No. 2, pp. 204–211.
Potter, T. 1976 The problems to fish culture associated with acid sulfate soils and methods for their improvement. Report of the Asean Seminar-Workshop on Shrimp Culture. Asean 76/ShrCul2/Inf. 5, Annex E.
Rosly, H. 1982 Unpublished data.
Simpson, J. et al. 1982 Concerning geochemistry and microbiology of coastal aquaculture development project, Gelang Patah, Johore Bahru, Malaysia. Report to FAO United Nations. Lamont-Doherty Geological Observatory of Columbia University, New York, p8.
Singh, V.P. 1981 Kinetics of acidification during inundation of previously dried acid sulfate soil material: implications for the management of brackishwater fishponds. Proceedings of the Bangkok Symposium on Acid Sulfate Soils. ILRI, Wageningen, The Netherlands. Publication 31, pp. 331–353.