The following discussion on measurement of areas is supplemental to Section 3.5 of Chapter 3. There are two possible methods of measuring areas of proposed fish farm sites with varying sizes and slopes. These are: (i) trapezoidal rule; and (ii) dividing into regular geometric figures.
The principles and procedures for determining areas for the methods are as follows:
1. TRAPEZOIDAL RULE
The area of a portion of a field that is bounded by an irregular curve in one side such as a river can easily be determined by using the trapezoidal rule. Consider Figure D.1 as an example. The immediate area bounded by the curve is separated from the major portion of the land by running a straight line AB. Line AB should be drawn as close as possible to the curved boundary. Along line AB, perpendicular lines or offsets are drawn at equal intervals and measured. The narrower the interval or width of strip is, the more accurate is the computed area.
The area ABCD is then computed by the following formula:
| Where: ho and hn | = distances or lengths of the two end offsets |
| Sum h | = sum of the offsets except end offsets, ho and hn |
| = distance between offsets |
Example D.1
In Figure D.1, the width of strips, d, is 25 m; and the values of offsets from h0, h1, h2 to hn are respectively, 20, 35, 40, 10, 28, 50, 30, 7 m. Determine the bounded area ABCD in that figure.
Solution:
| Sum h | = 35 + 40 + 10 + 28 + 50 + 30 |
| = 193 m | |
| Area ABCD | ![]() |
![]() | |
| = (193 + 13.5) (25) | |
| = 5 162.5 m2 |

Fig. D.1 Area by trapezoidal rule
Note that this area is to be added to the major portion (if separated) in order to get the whole land area.
In some instances, the line AB can be laid such that it touches the two ends of the curved boundary (Fig. D.2). In this case, ho and hn are both zero, hence, the formula is reduced to:
A = (Sum h) (d)
2. AREA MANAGEMENT BY DIVISION INTO REGULAR GEOMETRIC FIGURES
The fish farm site shown in Figure D.3 is a closed polygon, the area of which has been subdivided into triangles (A1, A2, and A5) and trapezoids (A3 and A4).
(a) To determine the area of the triangles, Hero's formula applies. The following formula is suitable for determining area of a triangle where the length of three sides are measured.
| A | = S(S-a) (S-b) (S-c) |
| Where: S | = ½ (a+b+c) |
| a,b,c | = length of three sides, m |
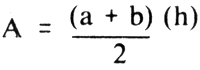
(b) To determine the area of the trapezoid, the formula is:
| Where: a,b | = individual length of two parallel sides such as lines El and FH (Fig. D.3) |
| h | = perpendicular distance between a and b |
(c) The total area is A1 + A2 + A3 + A4 + A5
Example D.2
Using the indicated measurements in the closed polygon in Fig. D.3, determine the total area enclosed.
(a) Areas of A1, A2 and A5 are:
| A1 | = ![]() | S | =½ (650 + 860 + 860) |
![]() | = 1185 m | ||
| = (796.225)(325) | (S-a) | = 1185 - 650 = 535 | |
| = 258 773.25 m2 | (S-b) | = 1185 - 860 = 325 | |
| (S-c) | = 1185 - 860 = 325 | ||
| A2 | ![]() | S2 | = ½ (860 + 980 + 840) |
| = 1340 m | |||
![]() | S-a | = 1340 - 860 = 480 | |
| = (801.9975) (424.2640) | S-b | = 1340 - 980 = 360 | |
| A2 | = 340 258.660 m2 | S-c | = 1340 - 840 = 500 |
| A3 | ![]() | S5 | = ½ (660 + 420 + 360) |
| = 720 m | |||
![]() | S-a | = 60 | |
| = (207.846) (320.6335) | S-b | = 300 | |
| A5 | = 68305.158 m2 | S-c | = 360 |

Fig. D.2 Case when ho and hn are zero
(b) Areas of trapezoids, A3 and A4:
| (c) The total area = A1 + A2 + A3 + A4 + A5 | = 1 454 737.00 m2 |
| = 1 454 737 ha |
The above solution entails considerable computations. It may be more convenient to further subdivide each triangle in A1, A2 and A5 into two to form right triangles. The height of each triangle is measured by scaling and the area of the right triangles are computed by using the following formula:
Example: Using the same areas A1, A2, and A5 in Fig. D.3:
The difference between the two methods of computing area of triangle may be attributed to scaling error.

Fig. D.3 Measurement of area by dividing into regular geometric figures