This topic is supplemental to the information discussed in Section 5.5.3, Chapter 5.
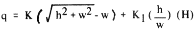
The potential and actual seepage flow through dikes during site selection and after pond construction are important to evaluate for construction and management purposes. Most coastal soils are clayey and are generally of uniform size soil (homogeneous). The rate of seepage in a dike built with homogeneous soil material can be calculated by the following Casagrandre's formula (Katoh, 1982).
A. When dike is on permeable foundation (Fig. E.1), seepage is the sum of seepage through the dike and through the foundation beneath the dike.
| Where: q = | seepage flow per cm length of dike (cm3/hr) |
| K = | permeability of coefficient of the dike (cm/hr) |
| K1 = | permeability coefficient of the permeable foundation (cm/hr) |
| h = | height of water level, cm |
| W = | effective width of dike, cm |
B. When dike is on impermeable foundation (Fig. E.2), the equation becomes:
From the two formulas, measurement of the permeability of the soil material for diking and the foundation, and the thickness of foundation, should be done using acceptable engineering methods. The height of water level in the pond and the effective width of dike must also be determined.
The effective width of dike can be calculated by referring to Figs. E.1 and E.2.
Example E.1
Referring to Fig E.1, determine the rate of seepage if the permeability values of dike and foundation are 1.7 cm/hr and 1.4 cm/hr, respectively. The depth of impermeable soil layer below the dike is 2.0 m. The dike has a top width of 2.5 m and a side slope of 1:1 on the pond side and 1.5:1 at the opposite side. The height of dike is 1.6 m and the depth of water in the pond is 1.3 m.

Fig. E.1 Seepage flow in dike of homogeneous material placed
on shallow permeable foundation
(After Katoh, 1980)

Fig. E.2 The seepage line drawn in the dike with homogeneous
material placed on impermeable foundation
(After Katoh, 1980)
Solution:
(a) The base of dike, b is:
| b | = 2.5 + 1 × 1.6 + 1.5 × 1.6 |
| = 6.5 m |
(b) The value of c from Figure E.1 is:
| c | = h, the depth of water in the pond for side slope 1:1 |
| c | = 1.3 m |
(c) The effective width of dike, d, is:
| w | = b - c + 0.3c |
| = 6.5 - 1.3 + 0.3 × 1.3 | |
| w | = 5.59 m |
(d) The rate of seepage is:
| = 0.255 + 0.651 | |
| q | = 0.908 cm3/hr (per cm length of dike) |
PUBLICATIONS OF THE SOUTH CHINA SEA FISHERIES DEVELOPMENT AND COORDINATING PROGRAMME
WORKING PAPERS
SCS/74/WP/1 RABANAL, H.R. The potentials of aquaculture development in the Indo-Pacific Region. Manila, South China Sea Fisheries Programme, 1974. 34p.
SCS/74/WP/2 CRUTCHFIELD, J.A., D.A. LAWSON and G.K. MOORE. Malaysia — Legal and institutional aspects of fisheries development. Manila, South China Sea Fisheries Programme, 1974. 27p.
SCS/74/WP/3 MARR, J.C. Republic of Vietnam — Legal and institutional aspects of fisheries development. Manila, South China Sea Fisheries Programme, 1974. 20p.
SCS/75/WP/4 LARSSON, S.O.R., G.C.A. VANNOORT and E.O. OSWALD. Malaysia — A report on artisanal fisheries of Peninsular Malaysia with particular reference to Kuala Besut. Manila, South China Sea Fisheries Programme, 1975. 58p.
SCS/75/WP/5 RABANAL, H.R. Irian Jaya, Indonesia — Survey of possibilities and recommendations for development of brackishwater fish production. Manila, South China Sea Fisheries Programme, 1975. 27p.
SCS/75/WP/6 TUSSING, A.R. Fishery development perspectives. Sub-Region V. South China Sea, Manila, South China Sea Fisheries Programme, 1975. (IPFC/74/Sym/7). 23p.
SCS/75/WP/7 MURDOCH, W.R. and M.A. MYERS. Republic of Singapore — An assessment of the Jurong Fishing Harbour complex and expansion site on the east bank of the Jurong River. Manila, South China Sea Fisheries Programme, 1975. 46p.
SCS/75/WP/8 PETERSON, C.L., K.J. ROSENBERG and A.C. SIMPSON. Regional — Trip reports of chartered purse seine vessels Royal Venture and Southward Ho covering Voyages 1 and 2. December 1–13, 1974 and January 5-February 3, 1975. Manila, South China Sea Fisheries Programme, 1975. 37p.
SCS/75/WP/9 OSWALD, E.O. and R.E.K.D. LEE. Regional — A proposal for live bait pole-and-line tuna fishing survey in the South China Sea and adjacent waters. Manila, South China Sea Fisheries Programme, 1975. 38p.
SCS/75/WP/10 ROSENBERG, K.J. and A.C. SIMPSON. Regional — Trip reports of chartered purse seine vessels Royal Venture and Southward Ho covering Voyage 3. 9 February-26 March 1975. Manila, South China Sea Fisheries Programme, 1975. 28p.
SCS/75/WP/11 PETERSON, C.L. Regional — Resource survey of larger pelagic fish. Manila, South China Sea Fisheries Programme, 1975. 32p.
SCS/75/WP/12 ROSENBERG, K.J., A.C. SIMPSON and C.M. RENWICK. Regional — Trip reports of chartered purse seine vessels Royal Venture and Southward Ho covering Voyage 4. 9 April-24 May 1975. Manila, South China Sea Fisheries Programme, 1975, 36p.
SCS/75/WP/13 BAUM, G.A. and ABDUL HAMID SHUKOOR. Kuala Besut II — A supplementary report on selected socio-economic aspects and problems in a fishermen's community on the east coast of Peninsular Malaysia, Manila, South China Sea Fisheries Programme, 1975. 43p.
SCS/75/WP/14 CUERDEN, C. Library services for the South China Sea Fisheries Programme and its participating countries. Manila, South China Sea Fisheries Programme, 1975. 48p.
SCS/75/WP/15 LAWSON, R.M. Malaysia — An interim report on socio-economic aspects of the development of artisanal fisheries on the east coast of Malaysia, Manila, South China Sea Fisheries Programme, 1975. 29p.
SCS/75/WP/16 JAMANDRE, T.J. and H.R. RABANAL. Engineering aspects of brackishwater aquaculture in the South China Sea region. Manila, South China Sea Fisheries Programme, 1975. 96p.
SCS/75/WP/17 MURDOCH, W.R. Malaysia — Assessment of the viability and potential of the joint-venture. MAJUIKAN Mid-east Sdn Bhd, Kuching. Sarawak as requested by Lembaga MAJUIKAN. Malaysia, Manila, South China Sea Fisheries Programme, 1975. 16p. (Restricted)
SCS/75/WP/18 MURDOCH, W.R. and W.D. CLEVER. Malaysia — A preliminary design and general arrangement for an offshore purse seine vessel for the east coast of West Malaysia. Manila, South China Sea Fisheries Programme, 1975. 35p.
SCS/75/WP/19 PISCHEDDA, J.L. Republic of the Philippines — Legal and institutional aspects in the development of the fishing industry. Preliminary observations and identification of the main obstacles. Manila, South China Sea Fisheries Programme, 1975. 35p.
SCS/75/WP/20 SIMPSON, A.C. Regional — Acoustic surveys of pelagic resources. Report No. 1. Gulf of Thailand, July 1975. Manila, South China Sea Fisheries Programme, 1975. 28p.
SCS/75/WP/21 CINTAS, D. and C.M. RENWICK. Regional — Report of aerial survey for schooling pelagic fish. 1. Philippine waters. 12–29 June 1975. Manila, South China Sea Fisheries Programme, 1975. 28p.
SCS/76/WP/22 BAUM, G.A. and J.A. MAYNARD. Tobuan Sual, Pangasinan Province, Central Luzon. A socio-economic study on a rural fishing population in Central Luzon in connection with the Municipal Fisheries Pilot Programme, 1976. 44p.
SCS/76/WP/23 BAUM, G.A. and J.A. MAYNARD. Panigayan, Lampinigan, Baluk-Baluk and Manangal, Basilan Province. A socio-economic study on four fishermen's communities affiliated to the Basilan Fishing Association (BFA Isabela in connection with the Municipal Fisheries Pilot Programme). Manila, South China Sea Fisheries Programme, 1976. 62p.
SCS/76/WP/24 BARICA, J. Nutrient-dynamics in eutophic inland waters and for aquaculture some countries bordering the South China Sea with particular reference to mass fish mortalities. Proposal for monitoring programmes. Philippines, Thailand and Hong Kong Manila, South China Sea Fisheries Programme, 1976. 43p.
SCS/76/WP/25 ROSENBERG, K.J., A.C. SIMPSON and J.A. MAYNARD. Regional — Trip reports of chartered purse seine vessels Royal Venture and Southward Ho covering Voyages 5 and 6 13 June-10 September 1975. Manila, South China Sea Fisheries Programme, 1976. 52p.
SCS/76/WP/26 MOORE, G.K. Malaysia — Legal and institutional aspects of fisheries development. (2nd working paper). Manila, South China Sea Fisheries Programme, 1976. 38p.
SCS/76/WP/27 WHEELAND, H.A. Malaysia — Preliminary observations and recommendations concerning the fisheries statistics programme of Peninsular Malaysia. Manila, South China Sea Fisheries Programme, 1976. 22p.
SCS/76/WP/28 MAYNARD, J.A. Regional — Report of aerial survey for schooling pelagic fish. II. Thailand - 20 November-1 December 1975. Manila, South China Sea Fisheries Programme, 1976. 20p.
SCS/76/WP/29 BAUM, G.A. and J.A. MAYNARD. Salay, Misamis Oriental Province — A socio-economic study on the fishing population of the seven coastal barrios of Salay Municipality in connection with the Municipal Fisheries Pilot Programme. Manila, South China Sea Fisheries Programme, 1976. 47p.
SCS/76/WP/30 MURDOCH, W.R. Hong Kong — A preliminary feasibility study to prosecute offshore pelagic stocks from Hong Kong. Manila, South China Sea Fisheries Programme, 1976. 27p.
SCS/76/WP/31 JOHNSON, R.F. Preliminary report on aquatic pollution in the South China Sea region. Manila, South China Sea Fisheries Programme, 1976. 34p.
SCS/76/WP/32 WHEELAND, H.A. Preliminary observations and recommendations concerning the fisheries statistics programme of Singapore. Manila, South China Sea Fisheries Programme, 1976. 21p.
SCS/76/WP/33 BAUM, G.A. and J.A. MAYNARD. Coron Tagumpay — Buswanga Island/Calamianes Group (Palawan Province). A socio-economic study of two rural fishing populations in northern Palawan in connection with the Municipal Fisheries Pilot Programme. Manila, South China Sea Fisheries Programme, 1976. 112p.
SCS/76/WP/34 JONES, R. Mesh regulation in the demersal fisheries of the South China Sea area. Regional. Manila, South China Sea Fisheries Programme, 1976. 79p.
SCS/76/WP/35 SIMPSON, A.C. and S. CHIKUNI. Progress report on fishing fortuna in Philippine waters by FAO chartered purse seiners. Manila, South China Sea Fisheries Programme, 1976. 38p.
SCS/76/WP/36 BONGA, O.B. Vessel specifications and drawings for two 10 m multipurpose fishing vessels for the small-scale fisheries project - Kuala Besut. Manila, South China Sea Fisheries Programme, 1976. 36p.
SCS/76/WP/37 SHANG, Y.C. Economics of various management techniques for pond culture of finfish. Manila, South China Sea Fisheries Programme, 1976. 36p.
SCS/76/WP/38 JOHNSON, H.N. Malaysia — A preliminary study of investment opportunities for the development of small-scale fisheries on east coast of Peninsular Malaysia. Manila, South China Sea Fisheries Programme, 1976. 21p.
SCS/76/WP/39 SHANG, Y.C. Follow-up programmes on economics of aquaculture in the South China Sea region. Manila, South China Sea Fisheries Programme, 1976. 19p.
SCS/76/WP/40 COOK, J.E. Problems in shrimp culture in the South China Sea region. Manila, South China Sea Fisheries Programme, 1976. 50p.
SCS/76/WP/41 JOHNSON, H.J. DIBBS and R. NASOETION. Indonesia — A preliminary assessment for small-scale fisheries development in Riau North Sumatra and West Kalimantan Provinces. Manila, South China Sea Fisheries Programme, 1976. 51p.
SCS/76/WP/42 BAUM, G.A. and J.A. MAYNARD. Bayawan Municipality, Negros Oriental Province/Negros. A socio-economic study on the rural fishing population of Bayawan municipality in connection with the Municipal Fisheries Pilot Programme. Manila, South China Sea Fisheries Programme, 1976. 33p.
SCS/76/WP/43 MAYNARD, J.A. Philippines — Report on aerial survey for schooling pelagic fish in waters of the South China Sea and Sulu Sea adjacent to Palawan Island, 9–12 March 1976. Manila, South China Sea Fisheries Programme, 1976. 17p.
SCS/76/WP/44 CHAKRABORTY, D. Fisheries statistics in the Philippines — A plan for a new and expanded data collection programme. Manila, South China Sea Fisheries Programme, 1976. 70p.
SCS/76/WP/45 MARR, J.C., G. CAMPLEMAN and W.R. MURDOCH. Thailand — An analysis of the present and recommendations for future fishery development and management policies, programmes and institutional arrangements. Manila, South China Sea Fisheries Programme, 1976. 185p. (Restricted)
SCS/76/WP/46 CLEAVER, W. and O.B. BONGA. Thailand — Preliminary design, general arrangement and lines plans for two pelagic pure seine midwater trawl research vessel. 27.5 m and 24 m lengths. Manila, South China Sea Fisheries Programme, 1976. (Not issued).
SCS/76/WP/47 CLEAVER, W. Hong Kong — A preliminary design, general arrangement and specifications for a combination pelagic demersal research vessel. Manila, South China Sea Fisheries Programme, 1976. (Not issued).
SCS/76/WP/48 SIMPSON, A.C. and W.R. MURDOCH. Regional Trip reports of chartered purse seine vessel Royal Venture. Trips Nos. 7 & 8. 1 October-February 1976. Area — Moro Gulf. Manila, South China Sea Fisheries Programme, 1976. 17p.
SCS/76/WP/49 SIMPSON, A.C. Regional Trip reports of chartered vessel Southward Ho Trips 7 & 8. 11 September 1975-March 1976. Areas — Malaysia and Thailand. Manila, South China Sea Fisheries Programme, 1976. 33p.
SCS/76/WP/50 SIMPSON, A.C. Regional Trip reports of chartered purse seine vessel Royal Venture and Southward Ho Trip No. 9. Manila, South China Sea, Fisheries Programme, 1976. 22p.
SCS/76/WP/51 SIMPSON, A.C. Regional Trip reports of chartered purse seine vessel Southward Ho Trips 10 and 11. 15 April-8 August 1976. Area East North and West Coasts Luzon Island, Bohol Sea, Sulu Sea, Moro Gulf, Manila, South China Sea Fisheries Programme, 1976. 20p.
SCS/76/WP/52 WHEELAND, H.A. Statistics for fisheries development, Regional. Manila, South China Sea Fisheries Programme, 1976. 11p.
SCS/76/WP/53 CHRISTY, L.C. Republic of the Philippines — Legal and institutional aspects of fisheries development. Manila, South China Sea Fisheries Programme, 1976 65p. (Restricted)
SCS/76/WP/54 MAYNARD, J.A. Philippines — Province of Tawi-Tawi project identification and semi-detailed feasibility study relative to improving the status of small-scale fishermen and creating an integrated fishing industry in the Province of Tawi-Tawi. Manila, South China Sea Fisheries Programme, 1976. 110p.
SCS/77/WP/55 OSWALD, E.O. and J.A. MAYNARD. Thailand — Proposed small-scale fisheries pilot project for Ban Ao Nakam Pom, Rayong Province. Manila, South China Sea Fisheries Programme, 1977. 38p.
SCS/77/WP/56 MURDOCH, W.R. and P.S. WALCZAK. Regional — Trip reports of chartered purse seine vessel, Southward Ho covering Voyage 12. Area — waters of the Sulu Sea. Manila, South China Sea Fisheries Programme, 1977. 11p.
SCS/77/WP/57 MURDOCH, W.R. and P.S. WALCZAK. Regional — Trip reports of chartered purse seine vessels Southward Ho and Royal Venture covering Voyage 13. Area mainly Moro Gulf, Philippines. Manila, South China Sea Fisheries Programme, 1977. 18p.
SCS/77/WP/58 SIMPSON, A.C., W.R. MURDOCH. Regional — Trip reports of chartered purse seine vessel Southward Ho covering Voyages Nos. 14 and 15. Area — Moro Gulf, Manila, South China Sea Fisheries, Programme, 1977. 15p.
SCS/77/WP/59 MURDOCH, W.R. and P.S. WALCZAK. Regional — Trip reports of chartered purse seine vessel Southward Ho covering Voyages Nos. 16, 17 and 18. Area — waters of the Moro Gulf. Manila, South China Sea Fisheries Programme, 1977. 23p.
SCS/77/WP/60 DOTY, M.S. Seaweed resources and their culture in the countries of the South China Sea region. Manila, South China Sea Fisheries Programme, 1977. 19p.
SCS/77/WP/61 RABANAL, H.R. et al. Shellfisheries of Thailand: Background and proposal for development. Manila, South China Sea Fisheries Programme, 1977. 14p.
SCS/77/WP/62 CHAKRABORTY, D. Observations and recommendations concerning the fisheries statistics programme of Hong Kong. Manila, South China Sea Fisheries Programme, 1977. 14p.
SCS/77/WP/63 CHAKRABORTY, D. Observations and recommendations concerning the inland fisheries statistics programme of Thailand. Manila, South China Sea Fisheries Programme, 1977. 15p.
SCS/77/WP/64 HANSEN, K.A., P. LOVSETH and A.C. SIMPSON. Acoustic surveys of pelagic resources: Report No. 2. Hong Kong, November 1976. Manila, South China Sea Fisheries Programme, 1977. 24p.
SCS/77/WP/65 CHRISTY, L.C. Republic of the Philippines — Legal and institutional aspects of fisheries development. Manila, South China Sea Fisheries Programme, 1977. 55p.
SCS/77/WP/66 MURDOCH, W.R. et al. Small-scale fisheries pilot project identification mission to the Pulau Tujuh (Seven Islands) area, Riau Archipelago District, Riau Province, Indonesia. Manila, South China Sea Fisheries Programme, 1977. 69p.
SCS/77/WP/67 MOORE, G. Malaysia — A new fisheries bill. Manila, South China Sea Fisheries Programme, 1977. 56p.
SCS/77/WP/68 GEDNEY, R.H. Water supply of the fishery development centre in the freshwater aquaculture at Sukabumi, West Java, Indonesia. Manila, South China Sea Fisheries Programme, 1977. 19p.
SCS/78/WP/69 CHAN, W.L. et al. Cage culture of marine fish in east coast Peninsular Malaysia, Manila, South China Sea Fisheries Programme, 1978. 66p.
SCS/78/WP/70 LEE, R.E.K.D. Results of small-scale live bait pole-and-line fishing explorations for tuna in the Philippines. Manila, South China Sea Fisheries Programme, 1978. 41p.
SCS/78/WP/71 MOORE, G. Legal and institutional aspects of fisheries management and development - a new licensing system, Thailand. Manila, South China Sea Fisheries Programme, 1978. 23p. (Restricted)
SCS/78/WP/72 ANGELES, H.G. Preliminary fish and resources survey along the coast of Peninsular Malaysia. Manila, South China Sea Fisheries Programme, 1978.
SCS/78/WP/73 DE LA CRUZ, Y.T. Malaysia — Small-scale fishermen credit and subsidy programmes — Implementing guideline recommendations (with particular reference to the Kuala Besut Fishermen's Association). Manila, South China Sea Fisheries Programme, 1978. 50p.
SCS/78/WP/74 CHIKUNL S. Report on fishing for tuna in Philippine waters by FAO chartered purse seiners. Manila, South China Sea Fisheries Programme, 1978. (Published as SCS DEV 78 18).
SCS/78/WP/75 FYSON, J.E. Fishing vessel design proposals for small-scale artisanal fisheries in the Philippines. Manila, South China Sea Fisheries Programme, 1978. 23p.
SCS/78/WP/76 LAU, F and CHENG CHORLUK. Recent innovations in the cage culture activity at Kuala Besut small-scale fisheries pilot project. Malaysia. Manila, South China Sea Fisheries Programme, 1978. 16p.
SCS/78/WP/77 WHEELAND, H.A. Proposal for further development of fishery statistics programmes in developing countries with particular reference to the South China Sea region. Manila, South China Sea Fisheries Programme, 1978. 6p.
SCS/78/WP/78 MOORE, G. Legal and institutional aspects of fisheries management and development. A second Interim Report (Thailand) Manila, South China Sea Fisheries Programme, 1978. 37p. (Restricted)
SCS/79/WP/79 JONASSON, G. and PAISAL KAIANYUWONG. Review of fishing activities of the small-scale fisheries project in Kuala Besut, Malaysia, Manila, South China Sea Fisheries Programme, 1979. 23p.
SCS/79/WP/80 CANSDALE, G.S. Low-cost water filtration system. Manila, South China Sea Fisheries Programme, 1979. 73p.
SCS/79/WP/81 LISAC, H. Some technical aspects of small-scale fish landing facilities. Manila, South China Sea Fisheries Programme, 1979. 32p.
SCS/79/WP/82 CHAKRABORTY, D. Catch and analysis of fishermen in Kuala Besut, Peninsular Malaysia. Manila, South China Sea Fisheries Programme, 1979. 59p.
SCS/79/WP/83 THOMPSON, B.G. Thailand — Management of fisheries data — feasibility of computerization. Manila, South China Sea Fisheries Programme, 1979. 24p.
SCS/79/WP/84 CANSDALE, G.S. Report on second regional consultancy low-cost water filtration. Manila, South China Sea Fisheries Programme, 1979. 48p.
SCS/79/WP/85 NEW, M. Report of consultancy on the fish nutrition programme at Changi Marine Fisheries Research Centre, Primary Production Department, Singapore. Manila, South China Sea Fisheries Programme, 1979. 8p.
SCS/79/WP/86 WOYNAROVICH, E. and W.W. KUHNHOLD. Report of consultancy to Penang, Malaysia, regarding animal waste management problem. Manila, South China Sea Fisheries Programme, 1979. 59p.
SCS/79/WP/87 THOMSON, D.B. Intermediate technology and alternative energy systems for small-scale fisheries. Manila, South China Sea Fisheries Programme, 1979. 69p.
SCS/80/WP/88 HECHANOVA, R.G. and B. TIENSONGRUSMEE. Report of assistance on selection of site, design, construction and management of the Ban Merbok, Kedah, Malaysia Brackishwater Aquaculture Demonstration Project. Manila, South China Sea Fisheries Programme, 1980. 154p.
SCS/80/WP/89 TIENSONGRUSMEE, B. and R.G. HECHANOVA. Malaysia — Evaluation of the site selected, design of project and proposed construction and operations of the MAJUIKAN Tanjong Tualang Freshwater Aquaculture Centre. Manila, South China Sea Fisheries Programme, 1980. 52p.
SCS/80/WP/90 SKILLMAN, R.A. Tuna statistics Indo-Pacific and Indian Ocean. Manila, South China Sea Fisheries Programme, 1980. 45p.
SCS/80/WP/91 TRONO, G.C., JR., H.R. RABANAL and I. SANTIKA. Report of technical assistance on seaweed farming in Indonesia. Manila, South China Sea Fisheries Programme, 1980. 56p.
SCS/80/WP/92 BILAL, J. and W.W. KUHNHOLD. Marine oil pollution in Southeast Asia. Manila, South China Sea Fisheries Programme, 1980. 85p.
SCS/80/WP/93 EVANS, E.D. Legal and policy consideration for use of the chartered fishing vessels in Philippine waters. Manila, South China Sea Fisheries Programme, 1980. 35p. (Restricted).
SCS/80/WP/94 GOMEZ, E.D. The present state of mangrove ecosystems in Southeast Asia and the impact of pollution - Regional, Revised. Manila, South China Sea Fisheries Programme, 1980. 102p.
SCS/80/WP/94a SOEGIARTO, A. The present state of mangrove ecosystems in Southeast Asia and the impact of pollution — Indonesia, Revised. Manila, South China Sea Fisheries Programme, 1980. 65p.
SCS/80/WP/94b SASEKUMAR, A. The present state of mangrove ecosystems in Southeast Asia and the impact of pollution - Malaysia. Manila, South China Sea Fisheries Programme, 1980. 80p.
SCS/80/WP/94c GOMEZ, E.D. The present state of mangrove ecosystems in Southeast Asia and the impact of pollution — Philippines. Revised. Manila, South China Sea Fisheries Programme, 1980. 88p.
SCS/80/WP/94d ZOOLOGY DEPARTMENT, UNIVERSITY OF SINGAPORE. The present state of mangrove ecosystems in Southeast Asia and the impact of pollution — Singapore. Revised. Manila, South China Sea Fisheries, Programme, 1980. 76p.
SCS/80/WP/94e TWESUKDI, P. The present state of mangrove ecosystems in Southeast Asia and the impact of pollution — Thailand, Revised. Manila, South China Sea Fisheries Programme, 1980. 108p.
SCS/80/WP/95 WHEELAND, H.A. and P.J. HOOKER. Organizational implications of a fisheries information system for the Philippines, specific recommendations regarding BFAR's statistics programme; and a plan for implementation. Manila, South China Sea Fisheries Programme, 1980. 33p.
SCS/80/WP/96 HECHANOVA, R.G. Technical assistance on the design of government coastal aquaculture projects in Peninsular Malaysia. (A pattern for planning and design of aquaculture facility). Manila, South China Sea Fisheries Programme, 1980. 78p.
SCS/80/WP/97 LISAC, H. Some aspects of fish utilization in small-scale fisheries. Manila, South China Sea Fisheries Programme, 1980. 32p.
SCS/80/WP/98 HECHANOVA, R.G. Indonesia — The engineering aspects of selected aquaculture projects. Manila, South China Sea Fisheries Programme, 1980. 79p.
SCS/81/WP/99 HOOKER, P.J. and E.J. SAVARIRAJ. A fisheries information system for Peninsular Malaysia. Manila, South China Sea Fisheries Programme, 1981. 40p.
SCS/81/WP/100 HECHANOVA, R.G. Engineering aspects of selected aquaculture projects in Thailand. Manila, South China Sea Fisheries Programme, 1981. 15p. (Annexes A to D)
SCS/81/WP/101 (FL/WPSCS/81/2) NAIR, R. Malaysia. A new fisheries bill 1982. Manila, South China Sea Fisheries Programme, 1981. 15p. (Confidential and Restricted)
SCS/82/WP/102 DELA CRUZ, C. Republic of the Philippines. Fishpen and cage culture development project in Laguna de Bay. Manila, South China Sea Fisheries Programme, 1982. 27p.
SCS/82/WP/103 GLUDE, J.B., M.A. STEINBERG and R.C. STEVENS. The feasibility of oyster and mussel farming by municipal fishermen in the Philippines. Manila, South China Sea Fisheries Programme, 1982. 100p.
SCS/82/WP/104 (FL/WPSCS/82/1) NAIR, R. Regional compendium of fisheries legislation. Vol. 1. (Regional Fisheries Law Advisory Programme Western Pacific and South China Sea region). Manila, South China Sea Fisheries Programme, 1982. 42p.
SCS/82/WP/105 (FL/WPSCS/82/1) NAIR, R. Regional compendium of fisheries legislation. Vol. II (Legislation) (Regional Fisheries Law Advisory Programme Western Pacific and South China Sea region). Manila, South China Sea Fisheries Programme, 1982. 585p.
SCS/82/WP/106 (FL/WPSCS/82/3) NAIR, R. Draft fisheries regulation — Malaysia, Manila, South China Sea Fisheries Programme, 1982. 9p. (Restricted)
SCS/82/WP/107 (FL/WPSCS/82/4) NAIR, R. Draft bilateral access agreement — Malaysia, Manila, South China Sea Fisheries Programme, 1982. 8p. (Restricted)
SCS/82/WP/108 (FL/WPSCS/82/5) NAIR, R. Law of the sea and Fiji. Manila. South China Sea Fisheries Programme, 1982. (Restricted)
SCS/82/WP/109 (FL/WPSCS/82/6) NAIR, R. EEZ — Malaysia legislation. Part 1. Manila, South China Sea Fisheries Programme, 1982. 5p. (Restricted)
SCS/82/WP/110 GLUDE, J.B. The potential for seafarming in the Riau Archipelago district of Indonesia. Manila, South China Sea Fisheries Programme, 1982. 28p.
SCS/82/WP/111 IPTP/82/WP/2 DE JESUS, A.S. Tuna fishing gears of the Philippines. Manila, South China Sea Fisheries Programme, 1982. 47p.
SCS/82/WP/112 IPTP/82/WP/3 WHITE, T.F. and M. YESAKI. The status of tuna fisheries in Indonesia and the Philippines. Manila, South China Sea Fisheries Programme, 1982. 62p.
SCS/82/WP/113 IPTP/82/WP/4 YESAKI. M. Illustrated key to small and/or immature species of tuna and bonitos of the Southeast Asian Region. Manila, South China Sea Fisheries Programme, 1982. 16p.
SCS/82/WP/114 IPTP/82/WP/5 WHITE, T.F. The Philippine tuna fishery and aspects of the population dynamics of tunas in Philippine waters. Manila, South China Sea Fisheries Programme, 1982.
SCS/82/WP/115 EDESON, W. EEZ — Malaysia legislation. Part II. Manila, South China Sea Fisheries Programme, 1982. (Restricted).
SCS/82/WP/116 FL/WPSCS/82/10 EDESON, W. Comments on the fisheries bill — Malaysia. Manila, South China Sea Fisheries Programme, 1982. 4p. (Restricted).
SCS/83/WP/117 GEDNEY, R.H., Y.C. SHANG and H.L. COOK. Comparative study of tidal and pumped water supply for brackishwater aquaculture ponds in Malaysia. Manila, South China Sea Fisheries Programme, 1983. 40p.
SCS/83/WP/118 IPTP/83/WP/6 YESAKI, M. The pelagic fisheries of the Philippines. Manila, South China Sea Fisheries Programme, 1983. 15p.
SCS/83/WP/119 IPTP/83/WP/7 YESAKI, M. Observations on the biology of yellowfin (Thunnus alha- cares) and skipjack (Katsuwonus pelamis) tuna in the Philippine waters. Manila, South China Sea Fisheries Programme, 1983.
SCS/83/WP/120 FL/WPSCS/82/11 EDESON, W. Revised draft fisheries regulations — Malaysia. Manila, South China Sea Fisheries Programme, 1983. 26p. (Restricted).
SCS/83/WP/121 Socio-economic and marketing study of municipal fishing households, Bayawan, Negros Oriental, Philippines. Manila, Bureau of Fisheries and Aquatic Resources/South China Sea Fisheries Programme, 1983. 94p.
NOTE: Copies of these papers can be obtained by writing to the Programme in Manila, Philippines.
WORKSHOP REPORTS
SCS/GEN/74/1 Report on the workshop on planning and coordinating of resources survey and evaluation in the South China Sea. 28 August-4 September 1974. Manila, South China Sea Fisheries, Programme, 1974. 197p.
SCS/GEN/76/2 Report of the workshop on the fishery resources of the Malacca Strait. Part I. Jakarta, 29 March-2 April 1976. Manila, South China Sea Fisheries Programme, 1976. 89p.
SCS/GEN/76/3 Report of workshop on legal and institutional aspects of fishery resources management and development. 5–8 April 1976. Manila, South China Sea Fisheries Programme, 1976. 95p.
SCS/GEN/76/4 Report on the training workshop for field enumerators of the Bureau of Fisheries and Aquatic Resources — Philippines. 22–31 March 1976. Manila, South China Sea Fisheries Programme, 1976. 32p.
SCS/GEN/76/5 UNDP/FAO Training course on the management of small-scale fishery enterprises. Kuala Trengganu, Malaysia. 25 August-26 September 1975. Rome, FAO. 1976. 14p.
SCS/GEN/76/6 Report of the workshop on the fishery resources of the Malacca Strait — Part II. Jakarta, 29 March-2 April 1976. South China Sea Fisheries Programme, 1976. 85p.
SCS/GEN/76/7 Report of the BFAR/SCSP workshop on the fishery resources of the Visayan and Sibuyan Area. Tigbauan, Iloilo, Philippines. 18–22 October 1976. Manila, South China Sea Fisheries Programme, 1976. 26p.
SCS/GEN/76/8 Philippines — Report seminar on the fisheries statistics survey of the Bureau of Fisheries and Aquatic Resources. 23 July 1976. DNR/BFAR/SCSP, Manila, South China Sea Fisheries Programme, 1976. 17p.
SCS/GEN/76/9 Report of the consultative group meeting on small-scale fisheries development in the South China Sea Region. 13–15 December 1976. Manila, South China Sea Fisheries Programme, 1977. 140p.
SCS/GEN/77/10 Report on the training workshop on fisheries statistics, Malaysia, 12–21 October 1976. Manila, South China Sea Fisheries Programme, 1977. 27p.
SCS/GEN/77/11 Report on the BFAR/SCSP workshop on fishery resources of the Sulu Sea and Moro Gulf areas, 25–29 April 1977. Cagayan de Oro, Philippines, Manila, South China Sea Fisheries Programme, 1977. 58p.
SCS/GEN/77/12 Report of the workshop on the demersal resources, Sunda Shelf. Part I. 31 October-4 November 1977. Penang, Malaysia. Manila, South China Sea Fisheries Programme, 1978. 58p.
SCS/GEN/77/13 Report of the workshop on the demersal resources. Sunda Shelf, Part II. 31 October-4 November 1977. Penang, Malaysia. Manila, South China Sea Fisheries Programme, 1978. 120p.
SCS/GEN/77/14 Joint SCSP SEAFDEC workshop on aquaculture engineering (with emphasis on small-scale aquaculture projects) Vol. I — General Report. 27 November– 3 December 1977. Iloilo, Philippines, Manila, South China Sea Fisheries Programme, 1978. v.p.
SCS/GEN/77/15 Joint SCSP SEAFDEC workshop on aquaculture engineering (with emphasis on small-scale aquaculture projects) Vol. II — Technical Report. 27 November-3 December 1977. Iloilo, Philippines, Manila, South China Sea Fisheries Programme, 1978 463p.
SCS/GEN/78/16 A layout of standard tables of fishery statistics in the Philippines. Manila, South China Sea Fisheries Programme, 1978, 162p.
SCS/GEN/78/17 Report of the workshop on the biology and resources of mackerels (Rastrelliger spp) and round scads (Decapterus spp) in the South China Sea. Part I. 7–11 November 1977. Penang, Malaysia, Manila, South China Sea Fisheries Programme, 1978. 70p.
SCS/GEN/78/18 Report of the workshop on management of resources of the Sunda Shelf. Malacca Strait and related areas. 7–9 December 1977. Manila, Philippines. Manila, South China Sea Fisheries Programme, 1978. 14p.
SCS/GEN/78/19 Report of the BFAR/SCSP workshop on the fishery resources of the Pacific Coast of the Philippines. 18–22 September 1978. Manila, South China Sea Fisheries Programme, 1978. 48p.
SCS/GEN/79/20 Report of the workshop on demersal and pelagic fish resources of the Java Sea. 5–9 December 1978. Semarang, Indonesia. Manila, South China Sea Fisheries Programme, 1979. 60p.
SCS/GEN/79/21 Report of the workshop on the tuna resources of Indonesia and Philippine waters. Jakarta, 20–23 March 1979. Manila, South China Sea Fisheries Programme, 1979. 35p.
SCS/GEN/79/22 Report of the BFAR/SCSP workshop on the fishery resources of the north Luzon and western coasts of Luzon. 18–20 April 1979. Manila, Philippines. Manila, South China Sea Fisheries Programme, 1979. 57p.
SCS/GEN/79/23 Report on training course in fishery statistics. 2 October-10 November 1978. Manila, Philippines. Manila, South China Sea Fisheries Programme, 1979. v.p.
SCS/GEN/79/24 Report of the consultation meeting on management of tuna resources of the Indian and Pacific Oceans. 26–29 June 1979. Manila, Philippines. Manila, South China Sea Fisheries Programme, 1979. 155p.
SCS/GEN/80/25 Report of the workshop on application and results of acoustic methods for resource appraisal surveys in the South China Sea. Part I. 19–23 November 1979. Bangkok, Thailand. Manila, South China Sea Fisheries Programme, 1980. 19p. Annexes 1 to 4.
SCS/GEN/80/26 Report of the workshop on the biology and resources of penaeid shrimps in the South China Sea area. Part I. 30 June-5 July 1980. Kota Kinabalu, Sabah, Malaysia. Manila, South China Sea Fisheries Programme, 1980. 162p.
SCS/GEN/81/27 Report of the workshop on application and results of acoustic methods for resource appraisal surveys in the South China Sea. Part II. 19–23 November 1979. Bangkok, Thailand. Manila, South China Sea Fisheries Programme, 1981. 102p.
SCS/GEN/80/28 Report of the training course in prawn farming for Asia and the Pacific. Jepara, Central Java, Indonesia. 5 October-15 November 1980. Manila, South China Sea Fisheries Programme, 1980. 138p.
SCS/GEN/81/29 Report on the training course on Gracilaria algae. (A training subproject under FAO/UNDP Project RAS/79/041 implemented through RAS/74/013). Manila, Philippines, 1–30 April 1981. Manila, South China Sea Fisheries Programme, 1981.
SCS/GEN/81/30 Report of the workshop on the biology and resources of penaeid shrimps in the South China Sea area. Part II. 30 June-5 July 1980. Kota Kinabalu, Sabah, Malaysia. Manila, South China Sea Fisheries Programme, 1981.
SCS/GEN/81/31 Report of the regional seminar on monitoring, control and surveillance of fisheries in exclusive economic zones. 30 November-4 December 1981. Jakarta, Indonesia. Manila, South China Sea Fisheries programme, 1981. v.p.
SCS/GEN/82/32 A selected bibliography of tuna fisheries in the South China Sea region. Manila, South China Sea Fisheries Programme, 1982. 24p.
SCS/GEN/82/33 Working party on small-scale shrimp/prawn hatcheries in Southeast Asia. Semarang, Central Java, Indonesia. 16–21 November 1981. Vol. I — General Report. Manila, South China Sea Fisheries Programme, 1982. 30p.
SCS/GEN/82/34 Report of the training course on small-scale pen cage culture for finfish. 26–31 October and 1–12 November 1981. Laguna, Philippines and Aberdeen, Hong Kong, Manila, South China Sea Fisheries Programme, 1982. 246p.
SCS/GEN/82/35 Training on assessment of coastal aquaculture potential, Malaysia, Manila, South China Sea Fisheries Programme, 1982. 62p.
SCS/GEN/82/36 Provisional list of shrimp and prawn aquaculturists in Southeast Asia. Manila, South China Sea Fisheries Programme, 1982. 16p.
SCS/GEN/82/37 Report of the training course on growing food organisms for fish hatcheries. Tigbauan, Iloilo, Philippines, 3–22 August 1981. Manila, South China Sea Fisheries Programme, 1982. 225p.
SCS/GEN/82/38 Report on the regional training courses on fishery stock assessment and statistics. Part I. General Report. Samutprakarn, Thailand, 1 September-9 October 1981. Manila, South China Sea Fisheries Programme, 1982. 67p.
SCS/GEN/82/39 Report of the training course on seabass spawning and larval rearing. Songkhla, Thailand. 1–20 June 1982. Manila, South China Sea Fisheries Programme, 1982. 105p.
SCS/GEN/82/40 Working party on small-scale shrimp/prawn hatcheries in Southeast Asia. Semarang, Central Java, Indonesia, 16–21 November 1981. Vol.II. Technical Report. Manila, South China Sea Fisheries Programme, 1982. 125p.
SCS/GEN/82/41 Report on the regional training course on fishery stock assessment. 1 September-9 October 1981, Samutprakarn, Thailand. Part II — Technical Report. Vol. I. Manila, South China Sea Fisheries Programme, 1982. 238p.
SCS/GEN/82/41a Report on the regional training course on fishery statistics. 1 September-9 October 1981, Samutprakarn, Thailand. Part II — Technical Report. Vol. 2. Manila, South China Sea Fisheries Programme, 1982. v.p.
SCS/GEN/82/42 Report of the consultation/seminar on coastal fishpond engineering. 4–12 August 1982. Surabaya, Indonesia. Manila, South China Sea Fisheries Programme, 1982. 211p.
SCS/GEN/82/43 Report of the workshop on the development of rural coastal fisheries. 15–24 March 1982. Manila, Philippines. Manila, South China Sea Fisheries Programme, 1982. 52p.
SCS/GEN/82/44 IDRC-210e Fish quarantine and fish diseases in Southeast Asia. Report of a workshop held in Jakarta, Indonesia. 7–10 December 1982. Co-sponsored by the UNDP/FAO South China Sea Fisheries Programme (Philippines) and the International Development Research Centre (Canada). Manila, South China Sea Fisheries Programme, 1982. 79p.
SCS/GEN/79/45 Regional training workshop on joint venture agreements in fisheries. Manila, 15–27 January 1979. Manila, South China Sea Fisheries Programme, 1979. (Report was not made but papers are available at the SCSP Library).
SCS/GEN/82/46 IPTP/82/GEN/3Consultation meeting of the joint Indonesia/Philippine tuna working group. Manila, Philippines, 21–23 October 1981. Manila, South China Sea Fisheries Programme, 1982. 64p.
SCS/GEN/83/47 IPTP/83/GEN/4 Report of the workshop on Philippine and Indonesian research activities Manila, Philippines. 5–8 February 1983. Manila, South China Sea Fisheries Programme, 1983. 16p.
SCS MANUALS
SCS Manual No. 1 Handbook on field identification of fishes, crustaceans, molluscs, shells, and important aquatic plants. Manila, South China Sea Fisheries Programme, 1978. 60p.
SCS Manual No. 2 IPTP Manual No. 1 Manual for the collection of historical data on tuna and tuna-like species in the Indo-Pacific Region. Colombo, Indo-Pacific Tuna Development and Management Programme, 1982. 24p.
SCS Manual No. 3 A guide to the organization and management of small fishery library. Manila, South China Sea Fisheries Programme, 1982.
SCS Manual No. 4 Floating netcage fish culture manual. Manila, South China Sea Fisheries Programme, 1982. (Not issued)
SCS Manual No. 5 Fishpond engineering: a regional manual for small-and medium-scale coastal fishponds. Manila, South China Sea Fisheries Programme, 1982. 181p.
PERIODIC PROGRESS REPORTS
SCS/PR/74/1 WOODLAND, A.G. Project progress report of the South China Sea Fisheries Development and Coordinating Programme. 1 July-31 December 1974. Manila, South China Sea Fisheries Programme, 1974. 19p.
SCS/PR/75/2 WOODLAND, A.G. Project progress report of the South China Sea Fisheries Development and Coordinating Programme. 1 January-30 June 1975. Manila, South China Sea Fisheries Programme, 1975. 40p.
SCS/PR/75/3 WOODLAND, A.G. Project progress report of the South China Sea Fisheries Development and Coordinating Programme. 1 July-31 December 1975. Manila, South China Sea Fisheries Programme, 1975. 38p.
SCS/PR/76/4 WOODLAND, A.G. Project progress report of the South China Sea Fisheries Development and Coordinating Programme. 1 January-31 December 1976. Manila, South China Sea Fisheries Programme, 1976. 47p.
SCS/PR/77/5 WOODLAND, A.G. Project progress report of the South China Sea Fisheries Development and Coordinating Programme. 1 January-30 June 1977. Manila, South China Sea Fisheries Programme, 1977. 37p.
SCS/PR/77/6 WOODLAND, A.G. Project progress report of the South China Sea Fisheries Development and Coordinating Programme. 1 July-31 December 1977. Manila, South China Sea Fisheries Programme, 1977. 19p.
SCS/PR/78/7 WOODLAND, A.G. Project progress report of the South China Sea Fisheries Development and Coordinating Programme. 1 January-30 June 1978. Manila, South China Sea Fisheries Programme, 1978. 12p.
SCS/PR/78/8 WOODLAND, A.G. Project progress report of the South China Sea Fisheries Development and Coordinating Programme. 1 July-31 December 1978. Manila, South China Sea Fisheries Programme, 1978. 11p.
SCS/PR/79/9 WOODLAND, A.G. Project progress report of the South China Sea Fisheries Development and Coordinating Programme. 1 January-30 June 1979. Manila, South China Sea Fisheries Programme, 1979. 12p.
SCS/PR/79/10 WOODLAND, A.G. Project progress report of the South China Sea Fisheries Development and Coordinating Programme. 1 July-31 December 1979. Manila, South China Sea Fisheries Programme, 1979. 65p.
SCS/PR/80/11 WOODLAND, A.G. Project progress report of the South China Sea Fisheries Development and Coordinating Programme. 1 January-30 June 1980. Manila, South China Sea Fisheries Programme, 1980. 28p.
SCS/PR/80/12 WOODLAND, A.G. Project progress report of the South China Sea Fisheries Development and Coordinating Programme. 1 July-31 December 1980. Manila, South China Sea Fisheries Programme, 1980. 25p.
SCS/PR/81/13 WOODLAND, A.G. Project progress report of the South China Sea Fisheries Development and Coordinating Programme. 1 January-30 June 1981. Manila, South China Sea Fisheries Programme, 1981. 20p.
SCS/PR/81/14 WOODLAND, A.G. Project progress report of the South China Sea Fisheries Development and Coordinating Programme. 1 July-31 December 1981. Manila, South China Sea Fisheries Programme, 1981. 14p.
SCS/PR/82/15 WOODLAND, A.G. Project progress report of the South China Sea Fisheries Development and Coordinating Programme. 1 January-30 June 1982. Manila, South China Sea Fisheries Programme, 1982. 13p.
SCS/PR/82/16 WOODLAND, A.G. Project progress report of the South China Sea Fisheries Development and Coordinating Programme. 1 July-31 December 1982. Manila, South China Sea Fisheries Programme, 1982.
SCS/PR/82/17 WOODLAND, A.G. Project progress report of the South China Sea Fisheries Development and Coordinating Programme. 1 Jan-30 June 1983. Manila, South China Sea Fisheries Programme, 1983. 15p.
COORDINATING COMMITTEE REPORTS
SCSP/74/1 REP Report of the Ad Hoc Coordinating Committee Meeting of the South China Sea Fisheries Development and Coordinating Programme. Manila, 18–19 June 1974. 27p.
SCSP/74/2 REP Report of the first session of the Coordinating Committee of the South China Sea Fisheries Development and Coordinating Programme. Jakarta, Indonesia, 6 November 1974. Rome, FAO, 1974. 22p.
SCSP/76/3 REP Report of the second session of the Coordinating Committee of the South China Sea Fisheries Development and Coordinating Programme. Manila, 9 April 1976. 16p.
SCSP/77/4 REP Report of the third session of the Coordinating Committee of the South China Sea Fisheries Development and Coordinating Programme. Manila, 24–25 February 1977. 19p.
SCSP/77/5 REP Report of the fourth session of the Coordinating Committee of the South China Sea Fisheries Development and Coordinating Programme. Manila, 11–12 October 1977. 21p.
SCSP/78/6 REP Report of the fifth session of the Coordinating Committee of the South China Sea Fisheries Development and Coordinating Programme. Manila, 11 March 1978. 16p.
SCSP/78/7 REP Report of the sixth session of the Coordinating Committee of the South China Sea Fisheries Development and Coordinating Programme. Manila, 28–29 September 1978.
SCSP/79/8 REP Report of the seventh session of the Coordinating Committee of the South China Sea Fisheries Development and Coordinating Programme. Rome, 11–16 October 1979.
COMMITTEE FOR THE DEVELOPMENT AND MANAGEMENT OF FISHERIES IN THE SOUTH CHINA SEA
CDMSCS: 81/1 REP Report of the first session. Manila, Philippines, 27–30 January 1981. Manila, South China Sea Fisheries Programme, 1981. 242p.
CDMSCS: 83/2 REP Report of the second session. Denpasar, Bali, Indonesia, 8–9 November 1982. Manila, South China Sea Fisheries Programme, 1983. 221p.
CDMSCS: 83/3 REP Report of the third session. Semarang, Central Java, Indonesia, 27–28 July 1983. Manila, South China Sea Fisheries Programme, 1983.
FISHERIES TECHNICAL PAPERS
SCS/DEV/74/1 WOODLAND, A.G. et al. The South China Sea Fisheries: A proposal for accelerated development. Rome, FAO, 1974. 162p.
SCS/DEV/73/2 YAMAMOTO, T. Review of marine fishery statistical system in countries bordering the South China Sea, and proposals for their improvement. Rome, FAO. 1973. 46p. (Cover title: The South China Sea Fisheries Statistical Systems)
SCS/DEV/73/3 AOYAMA, T. The demersal fish stocks and fisheries of the South China Sea. Rome, FAO, 1973. 80p. (Cover title: The South China Sea Fisheries Demersal Resources)
SCS/DEV/73/4 KUME, S. Tuna resources in the South China Sea. Rome, FAO, 1973. 18p.
SCS/DEV/73/5 LING, S. Status, potential and development of coastal aquaculture in the countries bordering the South China Sea. Rome, FAO, 1973. 51p. (Cover title: The South China Sea Fisheries Aquaculture Development).
SCS/DEV/73/6 MENASVETA, D. et al. Pelagic fishery resources of the South China Sea and prospects for their development. Rome, FAO, 1973. (Cover title: The South China Sea Fisheries Pelagic Resources)
SCS/DEV/73/7 MISTAKIDIS, M.N. The crustacean resources and related fisheries in the countries bordering the South China Sea. (Cover title: The South China Sea Fisheries Crustacean Resources)
SCS/DEV/73/8 RUCKES, E. Fish utilization, marketing and trade in countries bordering the South China Sea — status and programme proposals. Rome, FAO, 1973. 33p. (Cover title: The South China Sea Fisheries Marketing and Trade)
SCS/DEV/73/9 DOUCET, F.J. et al. Institutional and legal aspects affecting fishery development in selected countries bordering the South China Sea. Rome, FAO, 1973. 32p. (Cover title: The South China Sea Fisheries Institutional Legal Aspects)
SCS/DEV/73/10 LABON, A. Malaysian long-term fisheries development plan until 1995. Rome, FAO, 1973. 91p. (Cover title: The South China Sea Fisheries Malaysian development plan 1995). (Restricted)
SCS/DEV/76/11 Development potentials of selected fishery products in the regional member countries of the Asian Development Bank. Manila, South China Sea Fisheries Programme, 1976. 107p. (ADB/FAO Market Studies)
SCS/DEV/76/11 Fishery country profiles. Manila, South China Sea Fisheries Programme, (Appendix I) 1976. 173p. (ADB/FAO Market Studies)
SCS/DEV/76/12 The international market for shrimp. Manila, South China Sea Fisheries Programme, 1976. 105p. (ADB/FAO Market Studies)
SCS/DEV/76/13 The international market for tuna. Manila, South China Sea Fisheries Programme, 1976. 69p. (ADB/FAO Market Studies)
SCS/DEV/76/14 The international market for crab. Manila, South China Sea Fisheries Programme, 1976. 46p. (ADB FAO Market Studies)
SCS/DEV/76/15 The international market for lobster. Manila, South China Sea Fisheries Programme, 1976. 46p. (ADB FAO Market Studies)
SCS/DEV/76/16 The international market for cephalopods. Manila, South China Sea Fisheries Programme, 1976. 95p. (ADB/FAO Market Studies)
SCS/DEV/76/17 The European canned fish market: Prospects for Rastrelliger spp. Manila, South China Sea Fisheries Programme, 1976. 56p. (ADB/FAO Market Studies)
SCS/DEV/78/18 CHIKUNI, S., A.C. SIMPSON and W.R. MURDOCH. Test fishing for tuna and small pelagic species: Reports on the operation of FAO chartered purse seiners in Philippine and South China Sea waters, 1974–1977. Manila, South China Sea Fisheries Programme, 1978. v.p.
SCS/DEV/79/19 POPE, J. Stock assessment in multispecies fisheries with special reference to the trawl fishery in the Gulf of Thailand. Manila, South China Sea Fisheries Programme, 1979. 106p.
SCS/DEV/80/20 Implications of the extension of national jurisdiction for fisheries management and development. Report of an FAO Mission to the Government of Indonesia. 7 January-2 February 1980. Manila, South China Sea Fisheries Programme and Food and Agriculture Organization of the United Nations, 1980. 90p. (Restricted)
Joint ADB/FAO (SCSP-INFOFISH) Market Studies
SCS/DEV/83/21 - Vol. 1 Highlights and conclusions. Manila, South China Sea Fisheries Programme, 1983. 22p.
SCS/DEV/83/22 - Vol. 2 The international market for tuna. Manila, South China Sea Fisheries Programme, 1983. 100p.
SCS/DEV/83/23 - Vol. 3 The international market for shrimp. Manila, South China Sea Fisheries Programme, 1983. 79p.
SCS/DEV/83/24 - Vol. 4 The international market for cephalopods. Manila, South China Sea Fisheries Programme, 1983. 53p.
SCS/DEV/83/25 - Vol. 5 The world market for fishmeal with particular attention to the Asian/Pacific region. Manila, South China Sea Fisheries Programme, 1983. 32p.
SCS/DEV/83/26 - Vol. 6 The world seaweed industry and trade. Manila, South China Sea Fisheries Programme, 1983. 29p.
SCS/DEV/83/27 - Vol. 7 Dried fish markets in Asia. Manila, South China Sea Fisheries Programme, 1983. 54p.
SCS/DEV/83/28 - Vol. 8 High-valued finfish markets in Hong Kong, Singapore and Japan. Manila, South China Sea Fisheries Programme, 1983. 24p.
SCS/DEV/83/29 - Vol. 9 Fishery sector profiles and briefs for selected countries. Manila, South China Sea Fisheries Programme, 1983. 64p.
FAO species identification for fishery purposes. Eastern Indian Ocean (Fishing area 57) and Western Central Pacific (Fishing area 71). Rome, FAO, 1974. 4 vols.
TECHNICAL REPORTS CONTRIBUTED TO SYMPOSIA/MEETINGS, ETC.
RABANAL, H.R. 1975 FAO activities in inland fisheries and aquaculture with particular reference to Asia and the Far East. Manila, South China Sea Fisheries Programme. 17p. (Contributed to the First Fisheries Research Congress, Philippine Council for Agriculture and Resources Research, 7–10 March 1975, Legaspi City, Philippines).
RABANAL, H.R. 1975 Preliminary report on the Macrobrachium fishery in the Indo-Pacific region. Manila, South China Sea Fisheries Programme. 20p. (Contributed to the International Conference on Prawn Farming, Vung Tau, Vietnam, 31 March-4 April 1975).
RABANAL, H.R. 1975 Distribution and occurrence of milkfish Chanos chanos (Forskal). Manila, South China Sea Fisheries Programme, 1975. 18p. (Contributed to the National Bangus Symposium. Manila, 25–26 July 1975).
RABANAL, H.R. 1976 Mangrove and their utilization for aquaculture. Manila, South China Sea Fisheries Programme. 20p. (Contributed to the National Workshop on Mangrove Ecology held in Phuket, Thailand, 10–16 January 1976).
RABANAL, H.R. 1976 Report of project identification mission to Bangladesh on inland fisheries and aquaculture. Manila, Asian Development Bank. 56p.
RABANAL, H.R. 1976 Aquaculture 1976: Focus Southeast Asia. Manila, South China Sea Fisheries Programme. 12p. (Talk delivered at the National Convention of the Federation of Fish Producers of the Philippines, Iloilo City, 26 August 1976).
SIMPSON, A.C. 1976 Some proposals for research related to the understanding of mangrove ecology and the utilization of mangrove areas. Manila, South China Sea Fisheries Programme. 10p. (Contributed to the National Workshop on Mangrove Ecology held in Phuket, Thailand, 10–16 January 1976).
COOK, H.L. 1976 Some aspects of shrimp culture research with particular reference to Philippine species. Manila, South China Sea Fisheries Programme. 7p. (Contributed to the Philippine Council for Agriculture and Resources Research (PCARR) Fisheries Workshop, Subic, Zambales, Philippines, 15–17 January 1976).
RABANAL, H.R. 1976 The resources in inland waters: their utilization and management. Manila, South China Sea Fisheries Programme. 21p. (Talk delivered before the Phi Sigma Biological Society as a contribution to the Deogracias V. Villadolid Memorial lecture series. Manila, Philippines, 26 November 1976).
RABANAL, H.R. 1977 Aquaculture in the Philippines. Manila, South China Sea Fisheries Programme. 15p. (Talk delivered before the United States Peace Corps Volunteers, Los Banos, Laguna, Philippines, 11 January 1977).
RABANAL, H.R. 1977 Aquaculture in Southeast Asia. Manila, South China Sea Fisheries Programme, 10p. (Paper contributed to the Fifth FAO/SIDA Workshop on Aquatic Pollution in relation to Protection of Living Resources. Manila, Philippines, 17–27 February 1977).
SIMPSON, A.C. 1977 Fisheries research and development in the Philippines: Some recommendations with special reference to resource assessment. Manila, South China Sea Fisheries Programme. 16p.
RABANAL, H.R. 1977 Aquaculture management. Manila, South China Sea Fisheries Programme. 12p. (Contribution to the BFAR/FAO-UNDP Training of Regional Trainors in Aquaculture. Lucena, Quezon, Philippines, 19 September-27 October 1977).
RABANAL, H.R. 1977 Recent trends in aquaculture. Manila, South China Sea Fisheries Programme, 13p. (Paper contributed to the Seminar/Workshop for Fishery Schools' Administrators, conducted by the Bureau of Fisheries and Aquatic Resources. Manila, Philippines, 24–28 October 1977).
RABANAL, H.R. 1977 Forest conservation and aquaculture development of mangroves. Manila, South China Sea Fisheries Programme. 15p. (Paper contributed to the International Workshop on Mangrove and Estuarine Area Development for the Indo-Pacific region. 14–19 November 1977, Manila, Philippines).
THOMSON, D.B. 1978 Lecture notes on fishing methods, equipment and deck layout of fishing vessels. Manila, South China Sea Fisheries Programme, 1978. 151p. (Paper presented at the FAO NORAD Course on Fishing Vessel Design, Bangkok, Thailand, October-November 1978).
RABANAL, H.R. 1978 International traffic of live and fish eggs and control of the spread of fish diseases. Manila, South China Sea Fisheries Programme, 1978. 21p. (Contributed to the Workshop on Tropical Fisheries — their causes and control in Southeast Asia, Puncak, West Java, Indonesia, 28 November-1 December 1978).
RABANAL, H.R. and R.O. JULIANO. 1979 Aquaculture extension: How it could be a potent force in fisheries development in the ASEAN region. Manila, South China Sea Fisheries Programme, 1979. (Paper contributed to the First ASEAN Seminar/Workshop on Fisheries Extension, Manila 18–25 February 1979.
THOMSON, D.B. 1979 Marine fisheries extension. Manila, South China Sea Fisheries Programme, 1979. 41p. (Paper contributed to the First ASEAN Seminar/Workshop on Fisheries Extension, Manila, 18–25 February 1979).
THOMSON, D.B. 1979 Training requirements of the fisheries of Southeast Asia. Manila, South China Sea Fisheries Programme, 1979. 11p. (Paper presented at the SEAFDEC Consultative Meeting on Fisheries Training, Bangkok, 14–18 May, 1979.
KUHNHOLD, W.W. 1979 Aquatic pollution: Classes of pollutants, their occurrence, transport and dispersion. Manila, South China Sea Fisheries Programme, 1979. 22p. (Lecture given at the Seventh FAO/SIDA Workshop on Aquatic Pollution in Relation to Protection of Living Resources — Analyses of Metals and Organochlorines in Biota. Manila, Philippines, 7 May-9 June 1979).
KUHNHOLD, W.W. 1979 Effects of aquatic pollution on fish and fisheries. Manila, South China Sea Fisheries Programme, 1979. (Lecture given at the Seventh FAO/SIDA Workshop on Aquatic Pollution in Relation to Protection of Living Resources — Analyses of Metals and Organochlorines in Biota. Manila, Philippines, 7 May-9 June 1979).
RABANAL, H.R. 1979 The design of research in brackishwater aquaculture. Manila, South China Sea Fisheries Programme, 1979. 7p. (Paper contributed to the Seminar/Workshop on Research Methodology and Technical Report Writing, conducted by the Fisheries Training Division, Bureau of Fisheries and Aquatic Resources, Fisheries Training Centre, Cavite City, Philippines, 10–29 June 1979).
RABANAL, H.R. 1979 Production and recent innovations in design and management in aquaculture industry in Southeast Asia. Manila, South China Sea Fisheries Programme, 1979, 7p. (Paper contributed to the Asian Seminar and Tour sponsored by the Bank of America, Manila, 6–9 November, 1979).
THOMSON, D.B. 1979 The challenge of the 1980's for fisheries education, training and extension. Manila, South China Sea Fisheries Programme, 1979. 11p. (Paper presented at the First International Symposium on Fishery Education, Fish Processing and Marketing Systems. Mexico, December 1979).
KUHNHOLD, W.W. 1980 Some aspects of the impact of aquatic oil pollution on fishery resources. Manila, South China Sea Fisheries Programme, 1980, 25p. (Paper contributed to the International Workshop on the Prevention. Abatement and Combating of Pollution from Ships in East Asian Waters. 3–8 November 1980, Manila, Philippines).
RABANAL, H.R. 1981 Small-scale shrimp/prawn hatcheries: an overview. In FAO/UNDP Working Party on Small-Scale Shrimp/Prawn Hatchery. Semarang, Indonesia, 15–22 November 1981. Manila, South China Sea Fisheries Programme, 1981. (SCS/GEN/82/40: CP-1:15–18).
DELMENDO, M. and H.R. RABANAL, 1982 The organization and administration of aquaculture development in Asian countries. Part I. Agricultural Administration 9(1982)61–75.
RABANAL, H.R. and V. SOESANTO, 1982 Introduction to the taxonomy, biology and fishery of the giant seaperch or seabass. Lates calcarifer. In Report of Training Course on Seabass Spawning and Larval Rearing. Songkhla, Thailand, 1–20 June 1982. Manila, South China Sea Fisheries Programme, 1982. (SCS/82/LEC. 1:2–9).
SOESANTO, V. 1982 Some notes on programmes on seabass. In Report of Training Course on Seabass Spawning and Larval Rearing. Songkhla, Thailand, 1–20 June 1982. Manila, South China Sea Fisheries Programme, 1982. (SCS/82/SBTC/LEC. 22:62–63).
CHAN, W.L. 1982 Management of the nursery of seabass fry. In Report of Training Course on Seabass Spawning and Larval Rearing. Songkhla, Thailand, 1–20 June 1982. Manila, South China Sea Fisheries Programme, 1982. (SCS/82/SBTC/LEC. 15:34–37).
RABANAL, H.R. 1982 Status of aquaculture fisheries in the Indo-Pacific region. Manila, South China Sea Fisheries Programme, 1982. 12p. (Contribution to the FAO/IPFC Workshop on Inland Fisheries for Planners, Manila, Philippines 2–6 August 1982).
PUBLICATIONS OF THE INDO-PACIFIC TUNA DEVELOPMENT AND MANAGEMENT PROGRAMME (INT/81/034)
WORKING PAPERS
IPTP/82/WP/1 SCS/80/WP/90 SKILLMAN, R.A. Tuna fishery statistics for the Indian Ocean and the Indo-Pacific. Colombo, Indo-Pacific Tuna Development and Management Programme, 1982. 86p.
IPTP/82/WP/2 SCS/82/WP/111 DE JESUS, A.S. Tuna fishing gears of the Philippines. Colombo, Indo-Pacific Tuna Development and Management Programme, 1982. 47p.
IPTP/82/WP/3 SCS/82/WP/112 WHITE, T.F. and M. YESAKI. The status of tuna in Indonesia and the Philippines. Colombo, Indo-Pacific Tuna Development and Management Programme, 1982. 62p.
IPTP/82/WP/4 SCS/82/WP/113 YESAKI, M. Illustrated key to small and/or immature species of tuna and bonitos of the Southeast Asian region. Colombo, Indo-Pacific Tuna Development and Management Programme, 1982. 16p.
IPTP/82/WP/5 SCS/82/WP/114 WHITE, T.F. The Philippine tuna fishery and aspects of the population dynamics of tunas in Philippine waters. Colombo, Indo-Pacific Tuna Development and Management Programme, 1982. (for printing).
IPTP/83/WP/6 SCS/83/WP/118 YESAKI, M. The pelagic fisheries of the Philippines. Colombo, Indo-Pacific Tuna Development and Management Programme, 1983. 15p.
IPTP/83/WP/7 SCS/83/WP/119 YESAKI, M. Observations on the biology of yellowfin (Thunnus albacares) and skipjack (Katsuwonus pelamis) tunas in the Philippine waters. Colombo, Indo-Pacific Tuna Development and Management Programme, 1983. (for printing).
GENERAL REPORTS
IPTP/82/GEN/1 SCS/GEN/79/24 Report of the consultation meeting on management of tuna resources of the Indian and Pacific Oceans. Manila, Philippines. 26–29 June 1979. Colombo, Indo-Pacific Tuna Development and Management Programme, 1982. 155p.
IPTP/82/GEN/2 SCS/GEN/82/32 A selected bibliography on tuna fisheries in the South China Sea region. Colombo, Indo-Pacific Tuna Development and Management Programme, 1982. 24p.
IPTP/82/GEN/3 SCS/GEN/82/46 Report of the consultation meeting of the joint Indonesian/Philippine Tuna Working Group. Manila, Philippines, 21–23 October, 1981. Manila, South China Sea Fisheries Development and Coordinating Programme or Colombo, Indo-Pacific Tuna Development and Management Programme, 1982. 64p.
IPTP/83/GEN/4 SCS/GEN/83/47 Report of the workshop on Philippine and Indonesian research activities. Manila, Philippines. Colombo, Indo-Pacific Tuna Development and Management Programme, 1983.
MANUALS
IPTP Manual No. 1 SCS Manual No. 2 Manual for the collection of historical data on tuna and tuna-like species in the Indo-Pacific Region Tuna Development and Management Programme, 1982.
PERIODIC PROGRESS REPORT
IPTP/PR/82/1 HOOKER, P.J. Project progress report of the Interregional Tuna Development and Management Programme. 1 January-30 June 1982. v.p.
IPTP/PR/82/2 HOOKER, P.J. Project progress report of the Interregional Tuna Development and Management Programme. 1 July-30 December 1982.
NOTE: Copies of these papers can be obtained by writing to the Project Director, Colombo, Sri Lanka