by
Gavino C. Trono, Jr.
1. INTRODUCTION
Except for the well established mariculture of Eucheuma, all other work on the field culture of economically important seaweed species in the Philippines are at their initial stages. Research and development work on the genera Sargassum, Acanthophora and Laurencia are mainly on the aspects of reproductive biology and seasonality in biomass production and growth cycles. Initial results of field trials on the field culture of Gracilaria and Porphyra are very encouraging. In India, field culture studies utilizing Gracilaria cuttings attached to ropes as substrate, although experimentally feasible, requires high inputs in terms of material and labour costs.
2. FIELD CULTURE OF GRACILARIA IN THE PHILIPPINES
The initial results of culture studies on Gracilaria conducted at the Bureau of Fisheries and Aquatic Resources field station at Bacoor in the southern portion of Manila Bay showed that production can be significantly enhanced by the introduction in the site of solid substrates such as cement blocks, adobe blocks or shells. Production per unit area in the farm site has more than doubled the production in natural areas nearby.
Certain criteria must be considered in the site selection for field culture of Gracilaria. Sites which can favourably support field culture of this species must be protected from strong wave action, fast growing species must be utilized, depth of the water during low water must be 0.3–0.6 m (1–2 feet) and the site must have local stocks of the species to be cultured.
Protected bays and coves are ideal sites for the field culture of commercially important species of Gracilaria. This seaweed is soft and fragile and can easily be removed from its substrate by strong waves or currents. Thus, protection from these ecological factors is an important consideration in the selection of the side to avoid losses due to waves and currents. Ideally, the site for culture must be abouz 30–60 cm deep during low water to facilitate the easy preparation of the field as well as harvesting. Preparation of the field, maintenance of the farm and harvesting will be hard and labour inputs will be high if the farm is located in deeper areas. It is very important that local stocks of the species to be cultured are available in the site. The culture of Gracilaria using the technique developed in India, or that used by BFAR which depends on local recruitment by spores and cuttings are highly dependent on the availability of local stocks. Gracilaria verrucosa (G. confervoides) is an ideal species for field culture because it is a fast grower and can easily regenerate from cuttings or spores.
Agronomic techniques applied to the field culture of Gracilaria are quite simple. Two of these techniques are through the enhancement of the substrate and utilization of a support system on which cuttings of Gracilaria are attached or suspended. Enhancement of the substrate consists mainly of the introduction of some solid materials such as pieces of shells, rocks and boulders. The introduction of these materials in the site offers better surfaces for the settlement of spores or attachment of vegetative parts of the seaweeds. The substrate found in habitats of Gracilaria is generally particulate in nature. Sandy-muddy substrates are very unstable and do not offer better chance for the reproductive structures of the seaweed to develop. Sand and mud can easily be shifted or moved by water movement and thus the developing spores or cuttings are easily dislodged and/or buried in the substrates.
The field culture of Gracilaria utilizing this technique depends primarily on the natural recruitment of spores or fragments (cuttings) from natural stocks in the area. Thus, this technique can not be readily applied in areas where natural stocks of Gracilaria are absent. Species which are to be grown in the farm must be characterized by high regenerative capacity in order to maximize production. G. verrucosa and Gracilaria sp. in Manila Bay have been found to be most adapted to such type of culture. This technique was utilized by the Bureau of Fisheries and Aquatic Resources at Bacoor in Manila Bay. Hollow cement blocks, empty shells, and adobe' blocks were used as artificial substrates. These were arranged in plots. Production per unit area was more than double the production at comparable areas beside the pilot farm (Table 1).
The use of ropes as support system for the field culture of Gracilaria has been adapted in India. This method was not tried in the Philippines. The long line method consists primarily of ropes approximately 10 meters long. The ropes are untwisted and cuttings of Gracilaria are inserted in between the strands. The cuttings are inserted at 30 cm intervals along the rope. The ropes with cuttings are then attached to bamboo' or wooden support in the sea. Another method used in India is the utilization of the net made of rope. This method requires high inputs in terms of labour and materials. However, the long line method has been shown to be commercially feasible (the details of these methods are discussed in the country report of India).
Among the problems experienced in the field culture of Gracilaria are predation, presence of weeds (other species of algae) and loss of biomass due to the adverse effects of waves especially during the monsoon seasons.
Harvesting is done by hand. Prunning has been shown to be more advantageous because a portion of the seaweed is left on the substrate to regenerate and grow for the next cropping.
Production in the BFAR pilot farm is highly seasonal. Peaks of production is during the months of November to March. No production is realized during the monsoon months starting June to about October.
3. FIELD CULTURE OF EUCHEUMA
the technology for the field culture of Euchauma was developed about, a decade ago and has since then undergone some refinements. Several methods have been tried in the past but presently the monoline method appears, to be the most popular because of the low material and labour inputs and ease in maintenance of the farm.
Species which are farmed in commercial quantities in the Philippines are E. striaum (commercially known as the “cottonii-type”) and E., spinosum (“spinosum-type”). The first species produces the kappa carrageenan (While the second species produces the iota carrageenan.
Several important criteria must be considered in site selection. Among these are water movement and depth, bottom type, presence of rich seaweed community, not be affected by freshwater (low salinity) and. test planting successful in the site.
Water movement is the primary factor in Eucheuma farming. -Areas influenced by moderate to strong currents are preferred. Wave-exposed areas should be , avoided because of the destructive effects of waves. Loss of plants' due to currents can be remedied by building catchment nets at the leeward side of the farm. It is also important that the site must not be exposed to the air and sun during low tides. Areas with water depths from, 30–60 cm during low tides are very ideal. Deep-areas are hard to farm. The types of substrate influences the ease in building the support system for the farm. Areas not exposed to water movement are generally characterized by soft and particulate substrates while those exposed to wave action are highly rocky. Both of these types must be avoided. Areas with semi-solid substrates, e.g. coarse-firm sand with rocky components are usually preferred. The site must also be away from rivers. Lowered salinities have adverse effects on Eucheuma. Areas with well developed seaweed communities are potential sites for farming especially if Eucheuma is present and growing well in the area.
However, the final test to a site is to test plant the area with Eucheuma and the growth rate must be monitored. A growth rate of 3–4 percent (or higher) per day is a good indication of the productivity of the site.
The following materials are needed: mangrove stakes, monofilament nylon lines (180 1b test), soft plastic tying materials, and seedlings. The monolines are cut into pieces about 11 meters long. The size of the seekstocks depends on their availability, i.e. ranging from 50–150 grams.
The stakes are driven into the substrate in rows at approximately one meter interval. The distance between the row of stakes is 10 meters. One end of the monoline is tied to a stake in one row while its other end is tied to the opposite stake in the next row. The seedlings are then tied to the monolines at approximately 30 cm interval.
Maintenance is a very important activity in the farm which significantly affect production. These consist of weeding of other seaweed species, replacement of lost plants, repair of the support system and control of predators.
Under ideal conditions, harvesting can be done within 2–3 months after planting. Prunning was originally practiced but experience shows that total harvest and replanting is better. Old stumps of Eucheuma left after prunning grow much more slowly than seedlings made from young portions of the thalli.
Improvement of seedstocks in the farms is done by harvesting all small and slow growing plants and replacing these with fast growing strain. Details of the methodology for Eucheuma culture are discussed in several papers (Doty, 1973; Parker, 1914, Trono, 1974).
4. REFERENCES
Doty, M.S. 1973 Farming the red seaweed, Eucheuma, for carrageenans. Micronesica 9(1): 59–73
Parker, H.S. 1974 The culture of the red algal genus Eucheuma in the 1974 Philippines. Aquaculture 3: 355–68.
Trono, G.C. Jr. Eucheuma farming in the Philippines Printed by 1974 the U.P. Natural Sciences Research Center, Diliman, Quezon City, Philippines: 13p.
Table 1. Production data (in g/m2) of Gracilaria in the farm and outside the farm
| 9-month sampling (February–October 1980) | |||||||
| Station I | - | Adobe-Hollow Blocks - BFAR Farm | |||||
| 1) | G. verrucosa | - | 214.7 | ||||
| 2) | G. coronopifolia | - | 4.2 | ||||
| 3) | G. salicornia | - | 125.5 | ||||
| 4) | Gracilaria sp. | - | 32.9 | ||||
| TOTAL | = | 377.4 | |||||
| Station IB | - | Empty Shell Blocks - BFAR Farm | |||||
| 1) | G. verrucosa | - | 900.0 | ||||
| 2) | G. coronopifolia | - | 128.1 | ||||
| 3) | G. salicornia | - | 4444.1 | ||||
| 4) | Gracilaria sp. | - | 190.2 | ||||
| TOTAL | 5 662.4 | ||||||
| Station II | - | Barrio Kaingin Beach, Bacoor, Cavite (outside the farm) | |||||
| 1) | G. verrucosa | - | 155.5 | ||||
| 2) | G. coronopifolia | - | 12.2 | ||||
| 3) | G. salicornia | - | 112.7 | ||||
| 4) | Gracilaria sp. | - | 190.7 | ||||
| TOTAL | = | 471.1 | |||||
| (August 1977 – February 1978) | |||||||
| Station I | - | BFAR Farm (Hollow Blocks, Adobe Blocks and Empty Shell Blocks | |||||
| 1) | G. verrucosa | _ | 3 776.4 | ||||
| 2) | G. coronopifolia | - | 32.8 | ||||
| 3) | G. salicornia | - | 514.4 | ||||
| 4) | Gracilaria sp. | - | 205.0 | ||||
| TOTAL | = | 4 327.6 | |||||
by
Gavino C. Trono, Jr.
1. INTRODUCTION
In spite of the great potential of the seaweed resources, the seaweed industry in most Asian countries has remained as an industry of small magnitude. The low local price offered for seaweeds is one of the many factors which has discouraged and development of the industry. The local prices offered to seaweed gatherers are dictated mainly by the quality of the produce although other factors such as poor marketing system, fluctuating supply and demand as well as the manipulative role of a host of middlemen also contribute much to the low price at source.
Low quality is primarily due to the antiquated methods of harvesting and post harvest handling of the seaweeds. In general, the big importers processors base their price scheme on the amount of recoverable extracts from the dried seaweeds they buy and their available stocks on hand. Among the criteria used by the buyers are moisture content, presence or absence of foreign materials, presence of weeds and salt. -Seaweed produce which are poorly dried contains a lot of water which the buyers do not want. Besides, poorly dried materials do not keep well. The presence of foreign materials such as send, dirt, pieces of shells, coral fragments, etc. add to the weight of the seaweeds which again the buyers do not want. Other seaweeds mixed with the produce aside from their additional weight, requires extra labour cost to sort and separate before the produce is processed. All these add to the low quality of seaweeds. Moisture content of dried Eucheuma must not exceed 25–30 percent to be acceptable to buyers. Materials with moisture contents below 30 percent can be stored for some time without further redrying. Other species such as Gracilaria verrucosa and Gelidiella acerosa when Well dried contain much less moisture than Eucheuma.
In general, seaweeds produced from natural stocks are of poorer quality compared to farmed weeds. This is due mainly to the presence of extraneous materials mixed with the harvest. The presence of other species in the harvest is due to the inability of the seaweed gatherers to recognize and/or differentiate the weeds from the commercial species. This is especially true with species which are small, and closely associated other weed species in their natural habitat.
2. POST HARVEST HANDLING: MAJOR ACTIVITIES
The seaweed produce are marketed in two forms: as dried and fresh seaweeds. The dried produce are generally those which are utilized as raw material for further processing into commercial products such as agars, alginates and carrageenans except for some species such as Porphyra and species of kelps which are marketed in dried form and consumed directly as food. Many of the other species are marketed as fresh seaweeds. The preparation of these two forms are quite different and the major steps are discussed under separate headings.
2.1 Dried produce
Eucheuma, Gracilaria, Gelidiella, Sargassum, Gelidium, Porphyra, etc. are common examples of seaweeds which are marketed in dried form. Post harvest preparation consists of the following activities: sorting, washing, drying, rewashing, packaging and storing.
Sorting is generally done right after harvest in order to remove extraneous materials mixed with the commercial species. After the foreign materials such as rocks, shells, and other seaweeds are removed, the materials are then dried. Sun-drying is the most economical way of dehydrating seaweeds. Present methods, however, are poor resulting to low quality produce, e.g. fresh seaweeds are dried on the ground. Dirt and sand thus become easily mixed with seaweed. Our experience shows that good quality, sun-dried weeds can be produced by using elevated platform made of bamboo slots or wood. More permanent drying areas are usually made of cement. The drying area is cleaned of dust and dirt before the seaweed are evenly scattered on it. Good quality Eucheuma are produced by rinsing the dried materials in seawater and then redrying them. Rinsing in freshwater is not applied to Eucheuma because aside from being expensive, it results to almost total loss of salt and partial loss of extractable colloids. The removal of salt from the seaweed makes the seaweed very hard and stiff which makes packaging quite a problem.
Washing in freshwater before drying is recommended for species such as Gracilaria which grow in sandy-muddy habitats. Mud, sand, shells and other dirt are removed by washing and newly harvested Gracilaria in freshwater. In addition, the time required in drying is significantly shortened. Rinsing of dried Gracilaria is not recommended. The same technique used for Gracilaria is applied to other species such as Gelidiella, Sargassum and Porphyra. The drying of Porphyra, however, requires special predrying and drying methods. After brief washing in freshwater, the seaweeds are chopped into smaller pieces, placed in container with enough freshwater and stirred. The suspension is then spread evenly into a shallow wooden frame resting on a mat made of very fine bamboo slots. These sheets are then placed under the sun to dry.
Packaging is a simple process. The dried seaweeds are placed in sacks. Several kilos of the dried materials can be contained in a sack by applying pressure on the seaweed by pounding. The packed materials are then stored in a place which is protected from rain and dust.
2.2 Fresh produce
Caulerpa, Gracilaria and Eucheuma are three of the seaweed genera Commonly marketed in fresh form. Their fresh state can be lengthened by Simple post harvest handling such as washing, sorting, packaging and transporting.
Washing of the produce in clean seawater must be thorough in order to remove most of the sand, mud and dirt before packing. Several rinsing in seawater will remove most of the extraneous materials. This process will also eliminate the associated animals which produce foul smell upon decay if not removed from the seaweeds. Freshwater must not be used in washing the seaweeds.
The method of packing is an important factor which affect the freshness of the seaweed. Soft and fine species such as Caulerpa and Gracilaria need to be specially packed if the markets for the produce are located far from the source. Seaweeds will remain fresh for several days if the packing is good. Caulerpa produce in Mactan, Cebu for the Manila markets are packed in rattan or bamboo baskets. The basket is first lined with gunny sacks. Then a thin layer of other seaweeds such as Ulva and Enteromorpha is placed over the bottom and sides of the basket before the fresh seaweeds are placed inside the basket. A topping of seaweeds is then placed over the Caulerpa before the basket is finally covered with gunny sack. The top of the basket is then secured by lacing it with tying materials. This process insures the moist condition of the produce. This method of packing may be used for other species.
In transporting the seaweeds to the market, care must be taken not to expose the seaweeds to the sun or placed in areas near source of heat.
by
Flordeliz R. Uyengco 1
1. INTRODUCTION
The effects of diseases and parasites on populations in the seas are fundamental to the ecology of marine environments. These nay prove critical to thriving industries like the seaweed farms in the country as well as the South China Sea region.
To date, literature on diseases affecting seaweeds are limited. The few diseases that have been described will be briefly reviewed. However, it nay prove worthwhile to initially define the concept of “disease”.
One such definition is that disease exists when a host is visibly or sensibly injured by a parasite. The relationship of any given organism to any particular disease was elucidated by Koch. He postulated that an organism is the cause of a disease when:
the organism is associated with all cases of a given disease in a logical pathological relationship including its symptoms and lesions;
it can be isolated from the “victims” of the disease in pure culture;
its pure culture, when inoculated into a susceptible organism can produce the disease or engender specific antibodies;
it can be isolated in pure culture from experimental infections.
A broader definition of disease, with particular reference to marine algae, was recently proposed by Andrews (1976) in which he considers a disease to be “a continuing disturbance to the plant's normal structure or function such that it is altered in growth rate, appearance, or economic importance”.
2. BACTERIAL DISEASES
Bacterial diseases on marine plants are few, although bacterial decomposition of dead and dying algae on the beaches is so rapid as to indicate that the bacteria must have been present in the living algal community. Brandt (1923) found a bacterial infection causing “black rot” on the kelp, Macrocystis pyrifera, in the California coast. The tumours on Chondrus crispus (Irish moss), and Sarcorhiza bulbosa were attributed by Cantacuzene (1932) to bacterial infection. In other cases, actual pathogenicity of bacteria on marine plants does not seem to have been proved.
3. VIRAL DISEASES
While marine viruses and phages have been reported from Chondrococcus columnaris (Anacker and Ordal, 1955) and a certain blue-green alga (Lewin, 1962), their presence in the other species of macroalgae have yet to be shown.
4. FUNGAL DISEASES
Parasitic and often pathogenic fungri are thought to be both numerous and frequent in estuarine and marine plants.
The slime fungus, Labyrinthula (Myxomycete), was found associated with another fungus, Ophiobolus salinus, in the sea grass, Zostera. The sea grass suffered from a “wasting disease” and both these fungi were regarded by different workers as the cause of the disease. The Zostera beds in Europe and northeast America were completely devastated by this disease.
Lindra thalassiae, an Ascomycete, penetrates the leaves of Thalassia (eel grass) from the upper tip bringing about discolouration.
A list of algae-inhabiting marine fungi is shown in Table 1. If one were to follow Andrew's (1976) definition of a disease, these parasitic fungi could be considered pathogens in a broad sense.
Table 1 also indicates the limitations of certain fungal species to certain hosts and shows the indiscriminate nature of other fungi. It is noted that each parasite is restricted to one class of algae. However, some fungi attack a variety of genera within one class, as the Ascomycetes Chadefaudia gymnogongri, Didymilla fucicola, Haloguignardia irritans, and Trailia ascophylli and the Deuteromycete, Sphaceloma cecidii.
Other fungal species occur in several host species within one genus (e.g., Haloguignardia) or in several genera (e.g. Sphaceloma) and some are host-specific in parasitizing only one algal species.
Parasitic fungi on marine algae may cause obvious changes in the host or they may not affect the outer appearance of the plant at all.
Some species of marine fungi appear to be weak parasites that from space mycelia supporting an immersed or superficial ascocarp, without discolouring the host. The only visible signs of parasitism are the dark fruiting bodies which are often difficult to observe in or on the algal thallus.
Species of Pontogeneia in Chlorophyta and Phaeophyta (Table 1) are examples of such weak parasites. Spathylospora antartica and S. lanata on Ballia callitricha also do not alter the appearance of the host.
Another group of fungi bring about discolourations in the host causing light or dark areas, but not abnormal growth such as galls or other proliferations. Discolourations may consist of faded zones in which the algal cells are damaged. An example of this is the “black-dots disease” in Glpiopeltis furcata in Japan caused by Didymella gloiopeltidis so called because of black ascocarps immersed in infected areas of the host.
Chadefaudia marina causes yellow-greenish spots in dark-ascocarps in the red thalli of its host, Rhodymenia salmata in France (Feldmann, 1957)
Infection by Lindra thalassiae of air vesicles of Sargassum sp. is manifested by the vesicles turning dark brown, becoming soft and wrinkled, and resembling raisins for which reason the disease was named “rasin disease” (Kohlmeyer, 1971).
Other cases of discolouration consist of blackenings resulting from growth of black fungal stromata or hyphae, the most widespread of which is the “stipe blotch of kelps” of Laminaria species. The tar-like spots on the stalks are caused by Phycomelaina laminariae (Sutherland, 1915; Kohlmeyer, 1968). Ascocarps and spermogonia are embedded in a black pseudostroma, that forms circular or oblong spots on algal stipes.
Didymosphaeria danica is another common Ascomycete in marine algae (Wilson & Knoyle, 1961). The fungus is tissue-specific, restricted to cystocarps of Chondrus crispus, causing a blackening of the host tissue.
The only named parasitic Deuteromycete, Sphaceloma cecidii is found exclusively in galls caused by species of Haldguignardia in Cystoseira, Halidrys, and Sargassum sp. (Kohlmeyer, 1972). The fruiting bodies of S. cecidii become black at maturity and give the galls a blackish-brown colour. The Deuteromycete damages the gall tisues by rapturing the outer cell layers and closing the ostioles of ascocarps and spermagonia of the primary parasite Haloguignardia sp.
The number of fungi causing malformations in marine algae is relatively small and the ones known are restricted to the genera Spathulospora, Halo-guignardia, and Massarina.
Some species of Spathulospora do not alter the outer appearance of the host, whereas others induce wild growths of hair in the algae. Such proliferating hairs have been found on Ballia callitricha. This wild growth of hairs can be compared to witches'-broom, namely, galls induced by parasitic insects or fungi in vascular terrestrial plants.
Several genera of brown algae are infected by Haloguignardia species which cause the formation of galls on the stipes or, more rarely, on the vesicles and blades of the hosts. Ferdinandsen and Winge (1920) found galls on Sargassum sp and other authors described other malformations on the same host genus.
A last example of a gall-inducing Ascomycete is Massarina cystophorae in Cystophora retroflexa in Tasmania (Cribb and Herbert, 1954). The galls are rounded or irregular and have a warty surface caused by the projecting black ascocarps and spermogonia.
5. THE “ICE-ICE” PROBLEM IN EUCHEUMA
In the Philippines, the only known “disease” affecting commercially grown marine macro-algae is the “ice-ice”.problem in Eucheuma. First reported in 1974, “ice-ice” is manifested by a white powdery growth on the thallus which causes the loss of pigments, gradual consumption and fragmentation of the alga. Histological studies of affected thalli showed histolysis of the cortical and medullary regions. A detailed discussion of this disease is taken up elsewhere in this report in another paper (Uyengco, Saniel and Jacinto, 1981).
Table 1. Parasitic fungi on marine algae (from Kohlmeyer & Kohlmeyer, 1979)
| Fungus | Host | Host class | Range | |
| Ascomycotina | ||||
| Chadefaudia balliae | Ballia callitricha | Rhodophyta | Pacific Ocean | |
| Chadefaudia gymnogongri | Curidiea | Rhodophyta | Antarctic, Atlantic, Indian, and Pacific Oceans | |
| Gigartina | ||||
| Gymnogongrus | ||||
| Laurencia | ||||
| Microcladia | ||||
| Ptilonia spp. | Mediterranean Sea | |||
| Chadefaudia marina | Rhodymenia palmata | Rhodophyta | Atlantic Ocean | |
| Chadefaudia polyporolithi | Polyporolithon spp | Rhodophyta | Pacific Ocean | |
| Didymella fucicolaa | Fucus spiralis | Phaeophyta | Atlantic Ocean | |
| F. vesiculosus | ||||
| Pelvetia canaliculata | ||||
| Didymella gloiopeltidis | Gloiopeltis furcata | Rhodophyta | Pacific Ocean | |
| Didymella magnei | Bhodymenia palmata | Rhodophyta | Atlantic Ocean | |
| Didymosphaeria danica | Chondrus crispus | Rhodophyta | Atlantic Ocean | |
| Haloguignardia decidua | Sargassum daemelii Sargassum spp | Phaeophyta | Pacific Ocean | |
| Haloguignardia irritans | Cystoseira osmundacea Halidrys dioica | Phaophyta | Pacific Ocean | |
| Haloguignardia oceanica | Sargassum fluitans S. natans | Phaeophyta | Atlantic Ocean | |
| Haloguignardia tumefaciens | Several Sargassum spp | Phaeophyta | Atlantic and Pacific Oceans | |
| Linda thalassiaea | Sargassum sp | Phaeophyta | Atlantic and Pacific Oceans | |
| Lulworthia fucicola | Fucus vesiculosus | Phaeophyta | Atlantic and Pacific Oceans; Baltic Sea | |
| Lulworthia kniepii | Lithophyllum | Rhodophyta | Atlantic and Pacific Oceans; Mediterranean Sea | |
| Massarina cystophorae | Cystophora retroflexa | Phaeophyta | Pacific Ocean | |
| Orcadia ascophyllia | Ascophyllum Fucus Pelvetia | Phaeophyta | Atlantic Ocean | |
| Phycomelaina lamlnariae | Laminaria spp(also Alaria sp.?) | Phaeophyta | Atlantic Ocean | |
| Pontogeneia calospora | Castagnea chordariaeformis | Phaeophyta | Atlantic Ocean | |
| Pontogeneia codiicola | Codium fragile Codium simulans | Chlorophyta | Pacific Ocean | |
| Pontogeneia cubensis | Halopteris scoparia | Phaeophyta | Atlantic Ocean | |
| Pontogeneia enormis | Halopteris scoparia | Phaeophyta | Atlantic Ocean | |
| Pontogeneia padinae | Padina durvillaei | Phaeophyta | Pacific Ocean | |
| Pontogeneia valoniopsidis | Valoniopsis pachynema | Chlorophyta | Pacific Ocean | |
| Spathulospora adelpha | Ballia callitricha | Rhodophyta | Pacific Ocean | |
| Spathulospora antartica | Ballia callitricha | Rhodophyta | Atlantic, Indian, and Pacific Oceans | |
| Spathulospora calva | Ballia callitricha | Rhodophyta | Pacific Ocean | |
| Spathylospora lanata | Ballia hirsute B. scoparia | Rhodophyta | ||
| Spathulospora phycophila | Ballia callitricha B. scoparia | Rhodophyta | Pacific Ocean | |
| Thalassoascus tregoubovil | Aglaozonia Cystoseira Zanardinia | Phaeophyta | Atlantic Ocean | |
| Trailia ascophylli | Ascophyllum nodosum Fucus sp | Phaeophyta | Atlantic Ocean | |
| Deuteromycotina | ||||
| Spaceloma cecidii | Cystoseira Halidrys Sargassum | Phaeophyta | Atlantic and Pacific Oceans | |
a Species probably perthophytes, attacking damaged tissues of the host.
6. REFERENCES
Anacker, R.L. and E.J. Ordal. 1955 Study of bacteriophage infecting the Myxobacterium Chondrococcus columnaris. J. Bact. 70: 738–741.
Andrews, J.H. 1976 The pathology of marine algae. Biol. Rev. Cambridge Pholos. Soc. 51: 322–253.
Brandt, R.P. 1923 Potash from Kelp, Early growth and development of the giant kelp, Macrocystis pyrifera. U.S. Dept. Agr. Bull. 1: 1191.
Cantacuzene, A. 1932 Contributions a l'edude des tumeurs bacteriennes chez les algues marines. Thesis, University of Paris.
Cribb, A.B. an7 J.W. Herbert. 1954 Three species of fungi parasitic on marine algae in Tasmania. Univ. Queensl. Pap. Dep. Bot. 3: 9–13.
Feldman, G. 1957 Un nouvel Ascomycete parasite d'une algue marine: Chadefaudia marina. Rev. Gen. Bot. 64: 140–152. 8. EXPORTS
Ferdinandsen, C. and O. Winge. 1920 A Phyllachlorella parasitic on Sargassum. Mycologia 12: 102–103.
Kohlmeyer, J. 1968 Revisions and descriptions of algicolous marine fungi. Phytopathol. 63: 341–363.
Kohlmeyer, J. 1971Fungi from Sargasso Sea. Mar. Biol. 8: 344–350.
Kohlmeyer, J. 1972 Parasitic Haloguignardia oceanica (Ascomycetes) and hyperparasitic Sphaceloma cecidii sp. nov. (Deuteromycetes) in drift Sargassum in North Carolina. J. Elisha Mitchell Sci. Soc. 88: 225–259.
Kohlmeyer, J. and E. Kohlmeyer. 1979 Marine mycology, the higher fungi. Academic Press, N.Y. 56–57.
Sutherland, G.K. 1915 Additional notes on marine Pyrenomycetes. New Phytol. 14: 183–193.
Wilson, I.M. and J.M. Knoyle. 1961 Three species of Didymosphaeria on marine algae: D. danica (Berlese) comb. nov., D. pelvetiana Suth. and D. fucicola Suth. Trans. Br. Mycol. Soc. 44: 55–71.
Uyengco, F.R., L.S. Saniel and G.S. Jacinto. 1981 The ‘ice-ice’ problem in seaweed farming.
by
F. R. Uyengco1, L. S. Saniel2
and
G. S. Jacinto3
3 Research Assistant, Marine Sciences Center, University of the Philippines, Diliman, Quezon City
1. INTRODUCTION
The problem of “ice-ice” in Eucheuma farms still prevails today, six years since its first report (Trono, 1974). Since then, attempts have been made to explain the occurrence of this ailment-manifested by the presence of a white powdery growth on the thallus which causes the loss of pigments, gradual consumption and fragmentation of the alga. Doty (1973) believes that the problem is due to senescene and terms it “aging effect”. Trono (1974) suggests that “ice-ice” is brought about by unfavourable ecological conditions that lower the resistance of the algae. The presence of bacteria isolated from affected thalli of Eucheuma (Uyengco, 1977) brought in the possibility that “ice-ice” may actually be a disease caused by pathogenic micro-organisms.
This study was initiated to obtain empirical data and determine which factors (cause(s) the problem. One aspect involved the isolation, identification and cultivation of micro-organisms from Eucheuma samples obtained from the field. At the same time, field studies are undertaken in seaweed habitats to look into abiotic and biotic factors and possibly correlate these with the incidence of ‘ice-ice’.
2. METHODS AND MATERIALS
Regular field studies (fortnightly) were undertaken at the GENU Products Farm off Hingutanan Island, Bohol (10°17' N - 124°24' E) starting January 1979. The algae cultivated in the farm is mainly E. spinosum with only a small percentage of E. striatum. Three sampling stations approximately 250 meters away from each other were arbitrarily chosen to be monitored in the study area.
Diurnal water movement, temperature (-minimum-maximum) and nutrients (nitrate-nitrogen, nitriate-nitrogen, and reactive phosphate-phosphorus) were determined from bottom-water samples in each sampling station. Tagged plants were also established in each station in order to evaluate growth rates. In addition, random collections of about 100 harvested plants were made monthly to determine the mean weight of the algae.
Incidence of ‘ice-ice’ as well as epiphytes in each 10-meter quadrat established at the sampling stations was determined. This was done by dividing the number of plants with ‘ice-ice’ and with epiphytes toy the total number of plants in each quadrat.
Bacteria obtained from sections of diseased and healthy Eucheuma were identified using standard techniques. Algae epiphytic on Eucheuma were also collected and identified.
3. RESULTS AND DISCUSSION
The values of the various parameters measured in the three sampling stations have been found essentially the same. Thus, the choice of one station may be considered representative of the other two.
The average current velocity in the area was found to be 50 cm/sec, currents being primarily tidal. This magnitude is considered fairly strong and insures substantial diffusion of whatever nutrients are available in the seawater to the algae. Since water velocity has been found rather constant during the year, this parameter is not considered to be a source of stress to the Eucheuma in the area.
A possible correlation has been found between phosphate concentration in the seaweed habitat and the incidence of “ice-ice”. Periods of relatively high phosphate seem to show a lowering of the number of propagules found with the disease. This has not been found true with variations in nitrate concentrations, however. The input of phosphate is likely to be of terrestrial origin as high values were obtained during rainy periods of the year experienced by surrounding islands.
During months of high “ice-ice” incidence, high occurrence of epiphytes have also been generally found. The relationship of epiphytism to “ice-ice” incidence, however, remains unclear. To be considered still is whether epiphytism causes a substantial stress on the Eucheuma making it more suceptible to “ice-ice” or if the red alga at periods of high incidence of the disease somehow become favourable substrates for the epiphytes to thrive on.
Bacteria obtained from sections of unhealthy Eucheuma thalli at various months of the year were from the genera Pseudomonas, Flavobacterium, Vibrio, Xanthomonas and Achromobacter. Like the earlier findings of Uyengco et al. (1977), no specific bacteria was found associated with each incidence of “ice-ice”. This strengthens the belief that the role of micro-organisms in the onset of the problem is secondary. It is likely that the bacteria are able to effectively invade the algae only at periods when the Eucheuma is less able to produce extracellular products that may be inhibitory to the micro-organisms due to stress it may be experiencing of during periods of non-active algal growth. In Fig. 2, high growth rates particularly during the months of May and September, show a decrease in “ice-ice” incidence. As indicated by Sieburth (1968), there appears to be a direct correlations of inhibitory activity and also concentration of inhibitory substances with active growth of seaweeds.
Thus, the interplay of ecological or abiotic factors with the physiological state of the Eucheuma during its growth stages seem to be the more plausible explanation to the “ice-ice” problem.
4. REFERENCES
Doty, M.S. 1973 Farming the red seaweed,Eucheuma for carrageenans, Micronesia 9(1): 59–73.
Dawes, C., A. 1974 Mathieson and D. Chenny. Ecological studies of Floridean Eucheuma (Rhodophyta, Gigartinales) I. Seasonal growth and reproduction. Bull. Mar. Sci. 24(2).
Rodina, A.G. 1972 Methods in aquatic microbiology. University Park Press, Baltimore.
Sieburth, J. McN. 1968 The influence of algal antibiosis on the ecology of marine microorganisms. Advan. Microbiol. Sea 1: 63–94.
Strickland, J.F.H. and T.R. Parsons. 1968 A practical handbook of seawater analysis. Fisheries Research Board of Canada.
Trono, G.C., Jr. 1974 Eucheuma farming in the Philippines. University of the Philippines, Natural Science Research Center, Quezon City, Philippines.
Uyengco, F.R. 1977 Microbiological studies of diseased Eucheuma sp. and other seaweeds. National Seaweeds Symposium, Metro Manila, Philippines.
Uyengco, F.R., L.S. Saniel and E.D. Gomez. 1977 Microbiology of diseased Eucheuma striatum Schmitz. Proceedings of the Ninth International Seaweed Symposium. Sta. Barbara, California.

Fig. 1 Variation of “ice-ice” incidence with occurrence of epiphytes

Fig. 2 Variation of phosphate concentration and growth rates with incidence of “ice-ice”
by
Gloria J.B. Cajipe and Evelina C. Laserna1
1 Researchers, Marine Sciences Center, University of the Philippines' Diliman, Quezon City
1. INTRODUCTION
Agar is the cell wall constituent of all red seaweeds belonging to the order Gigartinales and Gelidiales. In other words, it is very much what cellulose is to land plants.
According to legend, agar was first discovered in Japan in 1568. Today, a monument stands in memory of an enterprising Japanese who set up the first; agar factory. The first products were in the form of dried-up jelly perhaps not too different from the agar strips that we still find in Asian markets today. Of course agar is also available in other forms - it may be flaked, granulated or powdered. In whatever form, agar is sparingly soluble in cold water, but is readily dispersible and soluble in water above 90°C.
2. CHEMISTRY
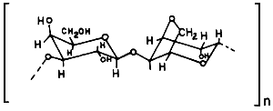
Chemically, agar is a polysaccharide molecule, i.e., it is made up of many units of specific sugar residues strung together to give a high molecular weight substance. In the case of agar, the macromolecule is composed of the sugar 3-D galactose linked, via its first and third carbon atoms to the first and fourth carbon atoms of 3, 6 - anhydro -α - L - galactose. These sugar units are sequenced alternately as shown in Fig. 1.
It took chemists decades to determine the actual chemical structure of agar. In fact, agar is chemically more complex than what the preceding statements have purported to show. Relatively recent structural studies have shown that agar is actually separable into two fractions called agarose and agaropectin. Agarose is usually referred to as the neutral component, and its structure is essentially that given in Fig. 1. Agaropectin, on the other hand, is the charged or ionic component where the galactose residue may be replaced by a carboxylated derivative and the anhydrogalactose residue replaced by a sulfated derivative (i.e., 3, 6-anhydrogalactose containing the negatively charged sulfate group - OSO-3 ). Even this description is largely an over-simplification. The structure of the agaropectin complex has not yet been elucidated to the last detail, nor is agarose believed to be completely neutral, as charged groups can be attached to the agarose backbone, though in significantly reduced number. Today, agarose is more properly defined as that fraction of agar that has the lowest charge content. The conditions of extraction influence in rather subtle ways the chemical nature of the final agar product. Of course, the slight variations observed with respect to the agar content of various agar-yielding species may have been dictated by nature. Table 1 lists down some of the chemical parameters usually taken of agar or agar-like extracts (generally called agaroids).
Table 1. Sulfate and 3, 6-anhydrogalactose content of extracts from some agarophytes*
| Seaweed | % Sulfate | % 3, 6-anhydrogalactose | ||
| Gracilaria acerosa | 2.22 | 32.58 | ||
| G. verrucosa | 4.90 | 32.58 | ||
| G. coronopifolia | 4.23 | 26.41 | ||
| Corallopsis sp | 7.26 | 27.91 | ||
3. PHYSICAL PROPERTIES
3.1 Gel-forming ability
The success of agar derives from its unique physical properties foremost of which is its gel-forming ability. Most everyone knows that when agar is dissolved in hot water and the solution allowed to cool, a jelly is formed, the softness or hardness of which depends on how much agar is used. It does not take very much for a hard gel to form - a 1 percent agar solution is usually quite enough.
Why does agar gel? Like the gross physical behaviour of all substances this macrophysical property of agar is determined by its microchemical characteristics. As mentioned earlier, agar is a long molecule that may contain thousands of sugar units linked in a rather specific manner. This factor alone may account for much of agar's gel-forming ability. If somehow during the extraction process, the long molecule is chopped up, agar's gel-forming ability will be grossly altered, perhaps even to the point of destruction.
Some chemists have long been curious as to how gels form and what the view is from inside a jelly. The polysaccharide (or carbohydrate) chemist D. A. Rees, using the techniques of X-ray analysis has advanced a plausible theory of gel-formation. Briefly, this is how he thinks gelling occurs. In a hot water solution, algal polysaccharides exist as random coils, energetically flapping about and unable to assume any semblance of order. As the solution cools, order sets in and the polysaccharide chains somewhat instinctively find themselves locked in serpent-like embrace. This phenomenon is graphically shown in Fig. 2.
In more technical terms, gelling is brought about by double-helix formation between polysaccharide chains. The interstices of the double-helices are occupied by water and perhaps other small molecules or ions. A kind of three-dimensional lattice is therefore formed which gives to what would otherwise be a flowing solution properties normally attributable to solids, such as the ability to hold its own shape and to respond elastically to applied stress. Like other substances known to form double helices, of which the genetic material DNA is perhaps the best known, agar has built into its chemistry the signals for helix formation. Chemists refer to these signals as hydrogen-bonding and hydrophobic interactions, and these are the forces behind agar's instinct to gel. Notice that gelling is a reversible-process. Heating up an agar gel will disrupt the order and unzip the double helix back to the random coil.
3.2 Gel strength
2 Gel strength is defined as that force expressed in g/cm2 which must be applied to a gel of a specified concentration to cause it to break. It can be easily measured by any of several commercially available instruments. To be meaningful, measurements must of course be carried out under controlled conditions.
Gels prepared from agarose are usually stronger than those prepared from unfractionated agar. The greater gelling ability has been associated with the lower ionic content of agarose. Thus, it is usually the case that the lower the sulfate content of agar, the stronger is its gel. Generally, however, agar itself forms rather strong gels, usually stronger than those formed by other seaweed extracts, and as will become evident later, finds a variety of uses. Agarose is used in highly specialized applications. Agar gels are usually clear to slightly turbid.
3.3 Gelling and melting temperatures
Most agar solutions gel at approximately 35°C. Variations of a few degrees do occur, and these usually depend on the seaweed source and the extraction process. The temperature at which agar gels is a function of concentration and molecular weight. A 1.5 percent agar gel will melt between 60°C and 97°C.
3.4 Viscosity
The viscosity of an agar dispersion, like most other physical, properties, is vastly influenced by the type of raw material and the conditions of extraction. Viscosity measurements must be made at constant temperature and concentration. A 1 percent solution of agarose at 60–90°C has a viscosity of 10–15 centipoises1. This rather low viscosity is typical of non-ionic polysaccharides existing as random coils in solution. The parent agar, which is more highly sulfated and therefore more ionic, exhibits higher solution viscosities.
1 Centipoises is equal to 0.01 poise, the c.g.s. standard unit of viscosity.
4. HOW TO TELL AGAR FROM OTHER SEAWEED EXTRACTS
There are three commercially important seaweed genera, based on the commercial product produced: agar, alginic acid and carrageenan. Source is a rough way of differentiating one from the other: alginic acid only comes from brown seaweeds, agar and carrageenan from reds. Sorting out the latter, two may pose some difficulty particularly if the seaweed sources are not what may be considered “stock”. This is because agar and carrageenan are chemically more closely related to each other than to alginic acid, and thus may exhibit similar physical properties. Compared to agar, carrageenan is a more highly sulfated polysaccharide. It is made up of alternating units of β-D galactose sulfated at the fourth carbon atom and 3, 6-anhydro - β-D-galactose that may or may not be sulfated at the second carbon atom, depending on whether it is of the kappa or the iota type. A third type, lambda-carrageenan lacks the anhydropalactose unit; in its stead is β-D-galactose sulfated at the sixth carbon atom. Alginic acid is entirely different as it is composed of variously sequenced mannuronic and guluronic acid. The pertinent chemical structures are given in Fig. 3.
When in doubt about the nature of a seaweed extract, especially if the source belongs to the Rhodophyceae, one may conduct any of several tests, all of which involve the prior isolation of the extract in question. There are certain colour reactions one may then carry out which are presumably specific for one or the other seaweed extract. Caution should, however, be exercised in the evaluation of test results, which could become rather subjective since it is based largely on visual inspection. These tests are described in detail in the handbook of the Association of Official Analytical Chemists.
A quite convenient way of determining the nature of a seaweed extract involves the use of infrared (IR) spectrophotometry. This method is based on the fact that polyatomic substances can actually be “finger-printed”. Thus, the “fingerprint”, called IR spectrum of agar, is unique to itself and is distinctively different from the “fingerprint” of other algal poly-saccharides (a comparison of their spectra appears in Fig. 4). This arises because the molecules that make up a substance are not static entities. They vibrate and the extent or degree of vibration is somehow related to the nature and/or position of chemical groupings in the molecule. Thus, the 3, 6-anhy-drogalactose group has a characteristic vibration, and so does the sulfate ester group and these will all show up in the substance's “fingerprint” as peaks. Notice that even if these groups are all present in agar and the carrageenans, they do not necessarily give identical spectra, largely because subtle variations in structure may alter the nature of the molecular vibration and give rise to a different set of peaks. Sometimes, it is even possible to derive from the position of a particular peak such detail of structure as the exact location of the sulfate group in the molecular backbone of iota-carrageenan.
5. EXTRACTION
Agar extraction is a basically simple process. It may involve the following steps: (i) cleaning and washing of the raw material; (ii) bleaching or chemical treatment; (iii) hot water extraction, filtration, gelation, freezing, thawing, drying and milling. Of course, the actual process will be influenced by the type of raw material and the degree of purity required of the final product. Also, manufacturers have their own “trade secrets” which they jealously guard to maintain their competitive edge.
6. USES
Like other seaweed extracts, agar has a variety of uses which stem primarily from its stabilizing, gelling and moisture-retaining characteristics. A summary of agar applications is given in Table 2.
It will be seen that the use of agar in the food industry is for non-nutritive value and is, in fact, humanly indigestible. The single most important use of agar is perhaps in microbiology as culture media. In 1973, it was estimated that of the 450 000 kg (1 000 000 lb) of agar used in the United States annually, some 180 000 kg (400 000 lb) of agar is used for microbiological purposes alone. Other agar uses are being developed in various parts of the world and will expectedly become available in time.
Microbiologists will agree that agar has become a rather expensive commodity. Hence, the studies on possible agar substitutes, are going on in different laboratories. The underlying cause is the uncertainty of raw material supply. Until this is assured, agar prices will continue to climb. And the way to go is the way Eucheuma went - cultivation on a commercial scale.
Table 2. The many uses of agar
| Area | Uses | ||
| Food industry | 1. | Stabiliser in pie fillings, icings, cookies doughnuts, sherbets and ices | |
| 2. | Bulking agent in low-calorie bread biscuits and desserts | ||
| 3. | Additive in jellied candies and filler in candy bars | ||
| 4. | Thickening and gelling agent in canned fist poultry and meat products | ||
| 5. | Gelatin-like desserts | ||
| 6. | Pet food additive | ||
| Microbiology | 1. | Media for microbiological cultures | |
| Medicine and Pharmaceuticals | 1. | Laxative | |
| 2. | Suspending agent for barium sulfate in radiology | ||
| 3. | Ingredient of slow-release capsules-suppositories, surgical lubricants tablets, and topical medicaments | ||
| Research and analytical laboratories | 1. | Analytical coagulant of various inorganic salts | |
| 2. | Aid in particle-size determination | ||
| 3. | Imbedding medium in microtomy of plant tissues | ||
| 4. | Anti-diffusion and conductive bridges in calomel electrodes | ||
| 5. | Chromatographic and electrophotometric material | ||
7. VOLUME OF PRODUCTION
Japan and Spain are the worlds biggest agar producers. Tables 3 and 4 show the volume of agar production and United States' consumption for the decade 1958–1968. Estimates made in 1912 indicate that the figures have changed little since. At the time, agar sold on wholesale1 the world market for, about US$30.00 to USs3.25/kg. It would be most interesting to see the figures for the succeeding decade when most everything is spiralling in prices.
Table 3. World production of agar
| Source | Output in metric tons | ||
| 1958 | 1968 | ||
| Japan | 1,500 | 1,500 | |
| Spain | 300 | 1,000 | |
| Taiwan, China | 200 | 200 | |
| Korea | 300 | 500 | |
| Morocco | 300 | 300 | |
| Chile | 50 | 200 | |
| Portugal | 100 | 200 | |
| South Africa | 20 | 50 | |
| France | 0 | 50 | |
| New Zealand | 30 | 50 | |
| Australia | 50 | 50 | |
| Indonesia | 20 | 50 | |
| Others | 100 | 200 | |
| TOTAL | 2,970 | 4,350 | |
Table 4. United States consumption of agar (metric tons)
| Use | 1958 | 1958 | |
| Microbiology | 90.0 | 181.8 | |
| Baked goods | 90.0 | 90.9 | |
| Confectionery | 40.9 | 45.5 | |
| Meat and poultry | 31.8 | 45.4 | |
| Desserts and beverages | 22.7 | 36.4 | |
| Laxative and health foods | 22.7 | 22.7 | |
| Pet feeds | - | 22.7 | |
| Impression materials | 13.6 | 13.6 | |
| Pharmaceuticals | 9.1 | 9.1 | |
| Miscellaneous | 13.6 | 13.6 | |
| TOTAL | 336.2 | 481.6 | |
8. PRODUCT SPECIFICATIONS
To compete in the world market, agar must conform to certain specifications which set the minimum requirements for agar of a certain quality and for a particular applications.. These specifications prescribe the allowable levels of impurities and such physico-chemical parameters as gel strength, gelling and melting temperatures, ash and sulfate. For food-grade agar, the preclusion of certain bacteria is strictly required. Particulars can be found in such publications as the Food Chemicals Codex, the U.S. Pharmacopeia and announcements of the American Society of Microbiologists. The point to be brought home especially to potential exporters of agar or agar sources from developing countries is that quality control is a must.
9. LITERATURE CITED
Laserna, E.C., R.L. Veroy, A.H. Luistro and G.J.B. Cajipe. 1980 Extracts from some red and brown seaweeds of the Philippines. 10th International Seaweed Symposium, 11–15 August 1980, Goteborg, Sweden.

β- D - galactose (A) 3,6-anhydro-α-L-galactose (B) linkage: 1,3 1,4
- -A-B-A-B-A-B-A-B--
Fig. I The basic chemical structure of agar

Fig. 2 How some seaweed extracts gel, as chemist Rees sees it.


Fig. 3 The chemical structures of carrageenan and alginic acid


by
Edgardo D. Gomez
1. INTRODUCTION
In developing ponds for aquaculture, a decision must be made on what is the major product desired. Fish and crustacean culturist do not generally desire to produce seaweeds as a crop. On the other hand, seaweed culturists may raise some animals in their ponds as a by-product. More often, however, the animals are raised as a management tool in the control of undesirable “weed” species,
This latter situation is best shown by considering Gracilaria pond culture as practiced in Taiwan, China.
2. GRACILARIA FOND CULTURE (Chen, 1976)
2.1 Conditions ideal for pond culture
Commonly, these ponds are one hectare in size rectangular, with long axis perpendicular to the direction of prevailing winds; a windbreak may be constructed on the windward side.
2.2 Gracilaria species used for culture
G. confervoides (= G. verrucosa) is the preferred cultured species in Taiwan. Other economic species are G. gigas (G. chorda), G. lichenoides, and G. compressa. G. gigas is also cultured.
Healthy stock:
The stocking rate is 3 000 – 5 000 for 1 hectare ponds. Planting too low in density will allow phytoplankton to grow profusely with adverse effects on the Gracilaria.
2.3 Culture method
Planting on bottom, fixed to bamboo or covered with old fish nets to prevent drifting. Average water depth is 60–80 cm. The water is changed once every 2–3 days.
Fertilization is often done with 3 kg urea or 120–180 kg fermented manure from pisties every 2–3 days when new water is introduced.
At the early stage, 500–1 000 milkfish/ha (size 150 g or more) may also be introduced to control the green algae (Enteromorpha and Chaetomorpha) which may be pests on Gracilaria. Other “weeds” include Acanthophora, Bangia and Holmesia.
Milifish will eat Gracilaria after the green algae are gone. When this happens, they should be netted at water inlet where they congregate. Many Gracilaria farmers stock Penaeus monodon or Scylla serrata to obtain additional income.
2.4 Production
Production of 10 000 to 12 000 kg of dried Gracilaria from each hectare may be produced annually. Drying ratio is 1:7.
2.5 Quality of export
Quality of export: The following criteria are observed for dried Gracilaria: not more than 1 percent mud and sand; not more than 1 percent of mollusc shell; and not more than 18 percent mixture of other seaweeds: total not more than 20 percent foreign materials. The moisture must not exceed 20 percent. The dried seaweed is packed in 100 kg gunny sacks for export or local sale.
3. SHRIMP CULTURE IN THE PHILIPPINES
In contrast to the foregoing, one can consider the practices of shrimp culture to show the different requirements. For this, one can review Shrimp Culture in the Philippines (Bardach et al., 1972).
3.1 Site selection
In choosing a site for shrimp ponds, sandy clay is preferred (for dike construction, burrowing, and algal growth).
Clay loam is a second choice. In terms of water depth, 0.9 m at ordinary tide is the common practice. Ideally, it should be possible to exchange half of the water as often as necessary to maintain 25°C and 20–25 ppt salinity.
Penaeus monodon tolerates up to 30°C and 10–35 ppt for 1–2 days. Large ponds are generally used. These may be as large as 10 hectares.
3.2 Stocking density
Stocking density is 300 000 – 500 000 fry/ha in the nursery section of the ponds. Lab-lab1 plus ricebran or dead fish or other protein source is ground into a meal for feeding. Also, boiled small fish are sometimes used as food for shrimps. Later the stocking density is reduced to 10 000 – 12 000 juveniles/ha in grow-out ponds.
1 Lab-lab is the scum or crust of microbenthic algae that may grow naturally in ponds.
Lab-lab and filamentous green algae serve as food for the juveniles-These ate supplemented by other protein sources.
4. CONCLUSION
One thus sees that the requirements for Gracilaria culture are somewhat different from shrimp culture. However, limited numbers of shrimps may be stocked in Gracilaria ponds us a supplement to the seaweed crop. This is often done for home consumption or for small-scale commercial production of shrimps.
Further experimentation will be required to come up with the proper mix. To a great extent this mix will be decided by amount of protein the farmer wants to raise.
5. LITERATURES CITED
Bardach, J.C., J.H. Ryther and W.O. McLarney. 1972 Aquaculture: The farming and husbandry of freshwater and marine organisms. New York: Wiley-Interscience. xii, 686p.
Chen, T.P. 1976 Aquaculture practices in Taiwan. Fisheries News Books, Ltd., Farnham, Surrey (England), xiii: 162p.