Previous Page Table of Contents Next Page


3. WHAT IS FOOD COMPOSED OF?


3.1 Nutrient and Other Components of Feedstuffs
3.2 How to Understand A Feed Composition Table


In the first part of this section of the manual a brief summary of the major components of feeds will be given while in the second part the use of feed compositional tables will be explained. It is stressed that this section can do no more than introduce this vast subject. Readers are recommended to consult other books and publications (see 'further reading' at the end of this section).

3.1 Nutrient and Other Components of Feedstuffs


3.1.1 Moisture
3.1.2 Lipids and Fatty Acids
3.1.3 Proteins and Amino Acids
3.1.4 Carbohydrate
3.1.5 Energy
3.1.6 Minerals
3.1.7 Vitamins
3.1.8 Other components of Feeds
3.1.9 Summary of Analytical Information Needed About Feeds


The major components of feedstuffs are moisture, lipids, protein, fibre, carbohydrate, minerals and vitamins.

3.1.1 Moisture

Moisture (water) is an important diluent of the nutrients in feedstuffs. It is necessary to know the moisture content of raw materials and compound feeds as a check on their feeding requirements, for use in calculating analytical data on a dry matter basis and also because moisture has an important function in determining the form of the diet (see section 4.3). It also has an effect on its stability and its shelf life.

3.1.2 Lipids and Fatty Acids

In feedstuff chemistry the words fat, lipid and oil are sometimes used synonymously. Tables of feed composition often refer to the crude fat level, by which is meant the material which can be removed from the feed by ether extraction. The term 'oil content' is also often used in this context. The term crude lipid content can also be used. The word lipid is a general term which covers sterols, waxes, fats, phospholipids and sphingomyelins. Many of the vitamins are fat soluble and will be extracted by ether - thus the term crude lipid content. The words oil, fat, and wax, reflect the increasing melting points of these lipid components.

Fats are the fatty acid esters of glycerol and are the primary means by which animals store energy. (Please note that it is not possible to define all of the terms used in food biochemistry here; you may need to consult 'further reading' for this purpose). Fish are able to metabolize lipids readily particularly when deprived of food, as during the migration of salmon, for example. Phospholipids are components of cellular membranes. Sphingomyelins are found in brain and nerve tissue compounds. Sterols are important components of, or precursors of, sex and other hormones in fish and shrimp. Waxes form important energy storage compounds in plants and in some animal components.

Dietary lipid has two main functions - as a source of energy and as a source of its component fatty acids, some of which are essential (i.e., cannot be synthesised by the animal itself) dietary components for the growth and survival of the recipient animal. The part which lipid has to play as an energy source for fish and Crustacea is dealt with in section 3.2.5. Lipids are also important factors in the palatability of feeds.

The fatty acids which are components of lipids are categorised in the following way. They are given a common name but are also, besides their straightforward chemical formula, given a specific numerical designation, such as 14:0; 20:1; 18:3n-3; 18:2n-6; 20:4n-6; 22:5n-6; or 22:6n-3, for example. This nomenclature refers to the length of the carbon chain in the molecule, the number of carbon-carbon double bonds present and the position of the first double bond. This can be illustrated by the chemical formulae of some of the fatty acids mentioned above. This nomenclature may sound complex to those with little knowledge of biochemistry but it is necessary just to know what the terminology means so that it is possible to understand references to different types of fatty acids when fish and shrimp nutrition is being discussed. The methyl group is shown in the following formulae as CH3.



In the designation 20:n-6, for example, '20' means that there are 20 carbon atoms in the chain. '4' means that there are four carbon-carbon double bonds (the double bond is shown as a = sign and the carbon atom is shown as C). n-6 means that the first double bond, numbering from the methyl (CH3) end, occurs after the sixth carbon atom in the chain. Myristic acid (14:0) has fourteen carbon atoms but no C=C double bonds. Arachidic acid (20:0) also has no double bonds. Linolenic acid (18:3n-3) has eighteen carbon atoms and three double bonds, the first of which appears on the third carbon atom. Linoleic acid (18:2n-6) has two double bonds and the first occurs on the sixth carbon atom. And so on.

Those fatty acids which have their first double bond on the third carbon atom are known as the 'n-3' series 1/ or the 'linolenic' series after the name of the fatty acid in the series with 18 carbon atoms in its chain. Similarly, those which have their first double bond on the sixth carbon atom are known as the 'n-6' series 2/or the 'linoleic series. It is essential to notice the difference (which is only the addition of the letter N) between the two words LINOLENIC and LINOLEIC. This similarity causes a great deal of confusion and printing errors (not, I hope, in this manual!).

1/Or w -3' series
2/Or w -6' series

Saturated fatty acids are those without any double bonds. Monosaturated fatty acids are those with only one double bond, while those with more than one double bond are known as poly-unsaturated fatty acids. Those with fewer double bonds are referred to as 'more saturated' than those with a greater number. The n-3 series and n-6 series fatty acids, and the n-7 and n-9 fatty acids are all members of the group known as polyunsaturated fatty acids, because they have more than one double bond. Sometimes these are referred to as PUFA's for short. Members of this group which have many (4 or more) double bonds are sometimes referred to as higher unsaturated fatty acids (HUFA'S).

It is hoped that the above explanation will help extension workers and students to understand these terms, which are frequently referred to in papers and books about fish and shrimp nutrition because of their importance.

The essential fatty acid (EFA) requirements of different species vary but are not yet fully understood. Readers are referred to 'further reading' at the end of this section for a fuller understanding of this topic. For the purpose of this manual I propose only to make the following generalizations:

a) Aquatic animals have a higher requirement for the n-3 series of fatty acids than terrestrial animals, for which the n-6 series is more important;

b) EFA deficiencies are more noticeable in seawater than in freshwater conditions (for trout). Thus salinity affects EFA requirements;

c) Marine fish appear to have a greater requirement for HUFA's than freshwater or anadromous species. It is not yet known whether they can utilize the n-6 series as well as they can the n-3 series;

d) Coldwater species appear to have a greater requirement for the n-3 series fatty acids than warmwater species;

e) Shrimp and prawns have a requirement for the n-3 series and the n-3:n-6 ratio is important;

f) The levels of either type of PUFA's can be detrimentally high in a feed. Knowledge of the specific requirements of a species is therefore constantly being sought to optimize formulation practice;

g) Although many vegetable lipids (but not those of palm, olive or coconut) are high in PUFA's, the best sources (and the most expensive) sources of the n-3 HUFA's are marine lipids. Vegetable oils tend to have high levels of the n-6 series (linoleic series). Lard and beef tallow have low total levels of PUFA's (see lipids in Appendix V).

Dietary phospholipids have been shown to enhance the growth rate of crustaceans but supplemental lipids such as lecithin are probably only necessary in purified diets (feeds made from purified ingredients, rather than the type of ingredient normally used in commercial animal feeds).

The necessity of high dietary levels of PUFA's in aquatic animal diets makes the possibility of fats becoming rancid very real. These may be toxic or growth depressive. This topic is mentioned again elsewhere in the manual (Appendix XV).

3.1.3 Proteins and Amino Acids

Proteins are large complex organic compounds which perform an essential role in the structure and functioning of plants and animals. Animals cannot synthesise them from simple inorganic materials, unlike plants, and have to rely on ingesting them through their diet (either from plants or from other animals which already contain them) or on their synthesis by gut bacteria. Dietary protein is therefore essential for all animals. The 'optimum' dietary level of protein is that which produces maximum growth. However protein acts as an energy source as well as a tissue builder and excessive levels of dietary protein may form an expensive way to supply energy (section 3.1.5). The optimum dietary protein level may not be the most economic to use.

Proteins are composed mostly of amino acids linked with peptide bonds and cross linked between chains with sulphydral and hydrogen bonds. There are twenty major amino acids. The amino acid composition of proteins from different sources varies widely. Some proteins have none of certain amino acids. Some amino acids can be synthesised by animals; those that cannot be synthesised are called essential (essential in the diet) amino acids or EAA's. For fish and crustaceans the EAA's are arginine, histidine, isoleucine, leucine, lysine, methionine, phenylalanine, threonine, tryptophan and valine. Amino acids contain different amounts of nitrogen; thus the figure given for protein level in feed compositional tables is never strictly accurate. Other compounds contribute nitrogen and are detected in the analytical test to determine 'protein' level. The 'crude protein' level is calculated by multiplying the nitrogen level determined in the analysis by 6.25.

The quantitative EAA requirements of different species varies (Table 3). The EAA content of different feed ingredients varies even more widely (see Appendix IV). This is one of the principal reasons why a compound diet, made from several ingredients, is potentially more efficient than a single ingredient, which may be too high or too low in one or more essential amino acids. The amino acid profile of a feed must be balanced for the dietary protein to be used effectively. This can be illustrated in the following way. Suppose the exit gate of a pond is composed of ten vertical planks of wood (Figure 1), each of which represents one of the essential amino acids, numbered one to ten.

Table 3 Quantitative Dietary Amino Acid Requirements for Various Fish Expressed as a Percentage of Dietary Protein, together with the Amino Acid Profile of Two Feed Ingredients and of Sea Bass

Source: New, 1986a

Notes:

1/ Cited in Jauncey, 1982.
2/ Cited in Millikin, 1982.
3/ Methionine and cystine.
4/ Cystine absent.
5/ Tyrosine absent.
6/ Tyrosine present.
7/ Cystine present.
8/ Phenylalanine and tyrosine.
9/ NRC, 1981.
10/ International Feed No. 5-02-000.
11/ International Feed No. 5-00-381.
12/ Methionine + 50% cystine.
13/ Phenylalanine + 50% tyrosine.
14/ Alliot et al., 1974. (Dicentrarchus labrax).
15/ Not determined.
16/ Luquet & Sabaut, 1974.

Figure 1: Limiting Amino Acids (A)

It will be seen from the diagram that the level of water in the pond will depend on the height of the shortest plank (plank 4). The shortest plank represents the 'first limiting amino acid'. If this plank is lengthened (or this amino acid is increased in level by altering the proportion or the type of ingredients used, or by adding it in synthetic form) then plank 3 would control the water level (or be the next limiting amino acid). Ideally all the planks should be just as high as the level of water desired in the pond (the quantity of each amino acid in the diet at exactly the correct level for the species being cultured) to avoid wastage of materials. Figure 2 illustrates what happens if one plank is unnecessarily long (or if one amino acid is present in excess in the diet) - it serves no useful purpose and is an unnecessary expense.

Figure 2: Limiting Amino Acids (B)

An unbalanced diet, particularly where one or more EAA's are deficient, is one of the principal reasons why the dietary protein level may have to be unnecessarily high to promote optimum growth. In such a case the rest of the protein is wasted in order to supply the required level of the deficient EAA(s).

Even when an EAA is shown by chemical analysis to be present in sufficient quantities it may not be biologically available to the animal. For example, the free a -amino group of lysine may become bound to other molecules during processing of the feedstuff, rendering it unavailable to the target animal. Thus the method of processing and the quality of high protein (expensive) ingredients is an important factor in formulation of compound feeds.

Methionine and phenylalanine are amino acids which can be 'spared' or partially replaced by cystine and tyrosine (two non-essential amino acids) in the diet. Up to approximately 50% of either the methionine or the phenylalanine requirement can be spared or replaced by cystine or tyrosine respectively. Methionine and lysine are usually the first two limiting amino acids in feeds. In tables of the levels of EAA's in ingredients a combined figure is often given for methionine and cystine. While fish, and particularly shrimp, do not thrive well on mixtures of pure synthetic amino acids instead of protein, individual amino acids (notably 1-lysine and dl-methionine) can effectively be used to supplement diets otherwise deficient in these amino acids. Whether synthetic amino acids are used or not, as usual, depends on the economics of the situation.

An illustration of the deficiencies of some EAA's in common ingredients is presented in Table 4. Here the amino acid profile of examples of some high-protein sources are compared with that of chicken egg protein (considered an excellent source of protein for animals). It will be seen that most plant proteins are deficient in the sulphur-amino acids (methionine and cystine) but that the 'score' of sesame and palm kernel cake is higher than fish meal in this respect. Mung and red beans (legumes) are high in lysine. Meat meal, because of its poor levels of iso-leucine and methionine and cystine, is a poor quality protein compared with fish meal. Only milk does not have seriously limiting levels of methionine and cystine, compared with fish meal. Fish meal is acknowledged to be the best (but usually the most expensive) protein source for fish feeds. Feeds should, ideally, be matched (balanced) with the specific EAA requirements of the species being cultured but this information is, as yet, incomplete for most aquatic species.

'Non-essential' amino acids have an important role to play in diet palatability.

3.1.4 Carbohydrate

The carbohydrates, which include starches, sugars, cellulose and gums containing only the elements carbon, hydrogen and oxygen, are usually the cheapest source of energy in foods and feeds. Fish and shrimp, however, vary in their ability to digest carbohydrate effectively. Many fish appear to be able to utilize simple carbohydrates, such as sugars, more effectively than complex starches; the reverse appears to be true for shrimp and prawns but this observation may be confused by the beneficial effect that carbohydrates tend to have on the structural integrity of the feed, caused by the binding quality of starches. Carnivorous fish such as salmon and trout and, particularly, marine fish are not efficient converters of carbohydrate. Channel catfish, like shrimp, appear to be able to utilize complex carbohydrates more readily than simple sugars. Channel catfish and carp can utilize quite high levels of dietary carbohydrate; the natural diet of grass carp is very high in this component. The topic of the energy value of dietary carbohydrate is dealt with separately in section 3.1.5.

Table 4 Limiting Amino Acids and Chemical Score of Essential Amino Acid Content of Selected Feed Proteins 1/

1/Scores based on comparison with whole egg protein of the following amino acid composition (percentage of protein): arginine, 6.7; cystine, 2.2; histidine, 2.7; isoleucine, 7.0; leucine, 8.5; lysine, 6.8; methionine, 3.3; phenylalanine, 5.4; threonine, 5.5; tryptophan, 1.9; and valine, 8.2.

Feedstuff

Arg

His

Iso

Leu

Lys

Met + Cys

Phe

Thr

Try

Val

Fish meal (Peru)

85

85

66

88

110

71

78

74

58

61

Meat meal

77

96

28*

100

86

36*

72

60

68

75

Milk, skimmed

53*

92

88

110

104

69

91

80

73

75

Milk, whole

60

100

100

136

106

83

92

83

84

78

Groundnut oil cake

164

92

43*

72

53*

24*

91

51*

- *

45*

Coconut oil cake

164

78

43*

71

37*

34*

76

54*

- *

57

Soybean meal

110

89

66

92

90

54*

102

69

68

63

Palm kernel cake

207

92

54*

75

54*

83

66

64

147

69

Cottonseed cake

164

96

46*

69

60

51*

100

58

58

55

Sunflower oil cake

112

59

46*

62

32*

22*

61

47*

79

46*

Sesame oil cake

191

107

51*

88

42*

94

79

58

73

60

Mung bean

100

78

66

84

107

31*

109

62

-

62

Red bean

112

130

77

49*

128

27*

107

83

42*

72

Chlorella vulgaris

77

55

64

90

44*

47*

92

100

68

72

Spirulina maxima

97

66

86

94

67

33*

92

83

73

79

Scenedesmus obliquus

83

55

63

109

84

40*

85

94

73

88

Torula yeast

77

81

68

94

111

51*

81

91

63

66

Brewer's spent grains

68

66

77

97

48*

22*

87

58

68

66

Source: ADCP, 1985

* Seriously limiting amino acids

Some carbohydrates are normally regarded as indigestible. These are reported separately in the tables of feed composition as 'fibre' or 'crude fibre'. Fibre includes substances such as celluloses (from plants), lignin, chitin, etc. Many fish do not have the enzyme cellulase which is necessary for the digestion of cellulose, and fibre is usually regarded as unavailable as an energy source. At small levels, however, it may aid pelletability. Cellulase however is produced by the gut bacteria of many fish, as is chitinase in crustacea, and herbivorous fish are able to digest fibre.

3.1.5 Energy

Fish use much less energy for protein synthesis than do warm-blooded farm animals because they do not need to maintain a constant body temperature, need less energy to maintain position and move, and because the excretion of ammonia uses less energy in protein breakdown and excretion.

However, excess or insufficient dietary energy levels result in reduced growth rates. Energy needs for maintainance and movement will be fulfilled before energy is used for growth. Thus if the energy/protein ratio is too low, protein will be used to satisfy energy requirements first; what is left will be available for growth. Fish and shrimp eat primarily to satisfy energy requirements, so a diet with excess energy content will inhibit food intake and also reduce the protein available for growth. Excess dietary fat also leads to high body fat in cultured fish, low dress-out yield and poor shelf life in market size animals.

Lipids are the best source of energy for fish, followed by proteins and the carbohydrates. Digestible energy 1/ levels for raw materials and compound feeds derived from experimentation are not readily available for fish or shrimp. Metabolisable energy 2/ is difficult to determine with fish but has been derived for trout. However, ADCP (1983) suggested a method of calculating approximate digestible energy values based on the following factors (Table 5).

1/ Digestible energy = food intake gross energy minus faecal gross energy.

2/ Metabolisable energy = food intake gross energy minus faecal energy minus energy in gaseous products of digestion minus gill energy minus urinary energy.

Table 5 Calculation of Digestible Energy Values for Fish 1/

1/In order to maintain uniformity with another FAO fisheries publication (ADCP, 1983), this method of calculating DE has been used. Many different techniques are used by different authors which means that the DE values given in section 6 of this manual cannot easily be compared because they have been derived from different sources. See New (1985) for a full discussion of this problem. DE is calculated on DM (dry matter) basis.

Nutrient

Gross Energy (GE) 2/
kcal/g

Estimated Digestible Energy
(DE (kcal/g)

Carbohydrate (non-legumes)


3.0

Carbohydrates (legumes)

4.1

2.0

Proteins (animal)

5.5

4.25

Proteins (plant)


3.8

Fats

9.1

8.0

Source: ADCP, 1983

2/GE = the amount of heat that is released when a substance is completely oxidised in a bomb calorimeter containing 25-30 atmospheres of oxygen.

The factors shown in table 5 have been used to calculate the estimated values for DE in the feed compositional tables in Appendix IV. No calorific value has been ascribed to fibre in this method of calculation.1/

1/In order to maintain uniformity with another FAO fisheries publication (ADCP, 1983), this method of calculating DE has been used. Many different techniques are used by different authors which means that the DE values given in section 6 of this manual cannot easily be compared because they have been derived from different sources. See New (1985) for a full discussion of this problem. DE is calculated on DM (dry matter) basis.

Lipid and, to a lesser extent, carbohydrate can be used in diets to 'spare' protein for growth. Higher levels of lipid and carbohydrate enable a reduction in the protein level necessary for optimum growth. As protein is usually the most expensive major component of the diet, this has important economic benefits. Providing that the level of high PUFA (HUFA) containing lipid (see section 3.1.2) has already been provided, usually from a marine oil, the extra lipid required as an energy source alone can be supplied by a cheaper vegetable or animal oil. Substituting fish oil for protein does not normally result in a cheaper diet. There are also reasons (to lessen the risk of rancidity) for keeping the level of poly-unsaturated fatty acids as low as possible while satisfying EFA requirement.

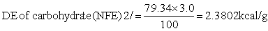
The following is an example of the method of calculation of DE. A cereal has the following analysis, on an as-fed basis: moisture 12.4%; lipid 1.5%; protein 12.2%; fibre 2.7%; ash 1.7%; NFE 69.5%. (NFE is the nitrogen free extract and is equivalent to the carbohydrate fraction of the diet). Only the lipid, protein and NFE values are relevant in this method of calculating estimated DE (digestible energy) values, but they must first be converted to a dry matter basis. The calculations are as follows:

a) convert to a DM basis:

b) calculate DE contributed by each component:

1/Had the material been of animal origin, instead of a cereal, the factor 4.25 would have been used for calculating protein DE

2/Had the material been a leguminous plant instead of a cereal the factor 2.0 would have been used in calculating carbohydrate DE

c) sum to find total DE

3/DE is normally reported in kcal/kg

3.1.6 Minerals 4/

4/The total mineral content of feedstuffs is also referred to as the 'ash content' because of the method of analysis (see page 251)

Mineral elements are important in many aspects of fish and shrimp metabolism. They provide strength and rigidity to bones in fish and the exoskeleton of crustacea. In body fluids they are involved mainly with the maintenance of osmotic equilibrium with the aquatic environment and in the nervous and endocrine systems. They are components of enzymes, blood pigments and other organic compounds. They are essentially involved in the metabolic processes concerned with energy transport.

Most of the seven major 'minerals' - calcium (Ca), phosphorus (P), potassium (K), sodium (Na), chlorine (Cl), magnesium (Mg) and sulphur (S) -and fifteen trace elements - iron (Fe), zinc (Zn), copper (Cu), manganese (Mn), nickel (Ni), cobalt (Co), molybdenum (Mo), selenium (Se). chromium (Cr), iodine (I), fluorine (F), tin (Sn), silicon (Si), vanadium (Va), and arsenic (As) reported essential for terrestrial animal life are also believed to be required by fish. However, only seven, (Ca, P, Mg, Fe, Zn, I, and Se) have been shown to be required or utilized by salmonids. It can be assumed that the following elements at least are also essential for body functions: Na, Mo, Cl, Mn, Co, and probably Cr and F.

Fish and crustacea can absorb minerals by other routes than from the digestion of food - through the ingestion of seawater and through exchange from their aquatic environment across body tissues such as skin and the gill membranes. Minerals are therefore probably not so important a component of the diet of fish and shrimp as they are in that of other animals.

Calcium is absorbed by fish from seawater but freshwater is low in calcium. However, since most feedingstuffs, particularly animal proteins, have high levels of calcium, calcium deficiency in fish through dietary insufficiency is most unlikely. On the other hand both seawater and freshwater contain very little phosphorus so this element is important from a dietary point of view. The level of phosphorus in feeds and feed components is therefore very important information. Some types of phosphorus are unavailable to fish and an assessment of the availability of phosphorus in the diet is essential. Generally animal sources of phosphorus are best absorbed by fish but some species, such as carp, do not absorb the element well from this source. Inorganic sources of phosphorus vary in their availability but some in common use in feedstuffs are mostly high in availability. The phosphorus from plant sources is generally poorly available. It should be noted that most feed compositional tables (including those in Appendix IV) show levels of total phosphorus. Those that show a level for available phosphorus are designed for the manufacturers of poultry feeds and should not be applied to fish. The availability of the phosphorus in animal protein is taken as 100% for poultry for example. There appear to be differences in the availability of phosphorus in the diet to various species of fish so it is difficult to generalize. However, guidelines are suggested in Table 6:

Table 6 Provisional Availability Factors for Phosphorus

 

Type of Ingredient

% Availability Factor
(to Apply to the Total Phosporus Level in the Feed)

Stomachless Fish

Other Fish and Shrimp

(eg., Cyprinids - Carp, etc.)


Plants and plant products

30

30

Animal products

30

70

Microbial products

90

90

Inorganic phosphorus:

 

Monobasic sodium, potassium

95

95

or calcium phosphates

95

95

Dibasic calcium phosphate

45

70

Tribasic calcium phosphate

15

65

There is some evidence that, although the actual level of calcium may not be important, the Ca/P ratio may be of importance in the nutrition of some fish and crustacea.

A summary of the available information on the mineral requirements of fish is given in Table 7.

Table 7 Summary of Information on Mineral Requirements of Fish

Mineral

Dietary Requirement

Ca

0.5%

P (available)

0.7%

Mg

0.05%

Na

0.1-0.3%

K

0.1-0.3%

S

0.3-0.5%

Cl

0.1-0.5%

Fe

50-100 mg/kg

Cu

1-4 mg/kg

Mn

20-50 mg/kg

Co

5-10 mg/kg

Zn

30-100 mg/kg

I

100-300 mg/kg

Mo

trace

Cr

trace

F

trace

Source: ADCP, 1983

Apart from adjusting the phosphorus content of diets there would seem at first little reason to worry about mineral deficiencies in feeds for fish compounded from a mixture of raw materials because of the considerable quantities present in the ingredients. Normally only purified diets deficient in a specific mineral cause deficiency symptoms in fish or shrimp. However, excess quantities of some minerals present in ingredients of animal origin (Ca, P, Na and K) have been shown to impair the absorption of zinc, even when the dietary level of the latter is high. Cobalt is often added to practical feeds for salmonids because of its importance in the synthesis of vitamin B by gut bacteria. Cobalt has also been reported to have growth promoting activity. Most feed manufacturers add mineral supplements to their fish feeds as an insurance policy while awaiting further information on the necessity of doing so. Salt (NaCl) is often added to feeds for special purposes (e.g., to improve survival when animals are being transferred from freshwater to more saline water - tilapia grown in brackishwater or salmonids being transferred to sea cages or tanks, for example). Deficiencies are more likely to occur in highly intensive culture in tanks or cages than in ponds, where minerals are available from natural foods.

For more details about the mineral requirements of fish and shrimp and their metabolism, please consult 'further reading' at the end of this sub-section.

3.1.7 Vitamins

The last major feed component to be described is the vitamin content of feeds.

Vitamins are complex organic compounds required in trace amounts for normal growth, reproduction, health and general metabolism. Many vitamin deficiency symptoms have been described for fish and a few (notably vitamin C deficiency) for shrimp. As in the case of mineral deficiencies, they are most prevalent in high density cage and tank intensive culture systems. Deficiency symptoms are not described here (see 'further reading'). Vitamin deficiencies are much less likely to occur in extensive systems of culture, in ponds where natural food is also available. There is however a tendency for vitamin mixes to be added to diets for these types of culture, as an insurance against possible problems. It should be noted however (see later) that excesses of some vitamins can also cause problems.

This section of the manual is intended only to categorise the vitamins in various ways so that readers can better understand the terminology used in other papers and books. This information is presented in tabular form (Table 8). Major sources of each vitamin are also listed.

The functions and deficiency symptoms of each vitamin are described in ADCP (1980).

The most common vitamin deficiency in fish nutrition is that of vitamin B (thiamin). Moist or wet feeds containing raw aquatic animal products, especially if not fed immediately after manufacture, contain enzymes called thiaminases which may partially or completely inactivate the thiamin present in the feed. Thiaminase levels in freshwater fish flesh are higher than in that of marine fish (i.e., the source of the fish flesh is important). Thiaminases have also been reported in other ingredients, such as rice polishings and beans. Supplemental thiamin may therefore be required in diets containing fish flesh unless they have been pasteurised.

Table 8 Characteristics of the Major Vitamins Important to Fish and Shrimp

Vitamin Synonyms

Group 1/

Solubility 2/

Examples of Major Natural Sources

Thiamine; Aneurine; B1

B

W

legumes, brans, yeast

Riboflavin B2

B

W

yeast, liver, milk, soybeans

Pyridoxine B6

B

W

yeast, cereals, liver

Pantothenic acid

B

W

brans, yeast, animal offal; fish flesh

Niacin; nicotinic acid; niacinamide

B

W

yeast, legumes, forage

Biotin

B

W

liver; yeast; milk products

Folic acid; folacin

B

W

yeast; fish tissue and viscera; leaf meal fish meal and viscera,

Cyanocobalamin; APF 3/; B12

B

W

slaughterhouse wastes

Choline


W

wheat germ; legumes.

Inositol


W

legumes; yeast; wheat germ

Ascorbic acid* C


W

citrus fruits; fresh fish tissue; insects

Retinol A 4/


F

fish oils 5/

Cholecalciferol D 4/


F

fish oils

Tocopherols* E 2/


F

vegetable oils

Menadione K 4/


F

leaf meals

1/B = members of the B group of vitamins
2/W = water soluble vitamins. F == fat soluble vitamins
3/Animal protein factor
4/Hypervitaminosis (problems associated with excess dietary inclusion) can occur with these vitamins
5/Some carotenoids (e.g. b -carotene; astaxanthin) are precursors of vitamin A utilisable by some species

* These vitamins are particularly susceptible to losses in potency caused by heat, rancidity or feed processing. The water soluble vitamins also tend to leach into the aquatic environment.

The levels of vitamins in feeds are mostly reported in terms of milligrams of vitamin per kilogram of feed (mg/kg). Levels of vitamins A, D and E are, however, reported in terms of international units of activity (I.U.). These units are defined in table 9 as follows:

Table 9 International Units of Activity of Vitamins

Vitamin

One I.U. (International Unit) equals:

A

The activity of 0.344 microns of all-trans-vitamin A1 acetate

or 0.3 microns of retinal (vitamin A)
or 0.6 microns of b -carotene

D

The activity of 0.025 microns of vitamin D3 (cholecalciferol)

E

The activity of 1 mg of synthetic vitamin E acetate (dl-a -tocopherol acetate)

Source: Kutsky, 1981

Vitamin E has anti-oxidative properties and may be required at higher levels in fish and shrimp diets which are high in PUFA's as these are susceptible to rancidity (see Appendix XV).

3.1.8 Other components of Feeds

Feeds contain many other types of substances, too numerous to deal with in detail in this manual. Readers are recommended to consult the references given in 'further reading' at the end of this sub-section. In compound feeds these may include synthetic substances added for special purposes by the manufacturers, such as hormones, antibiotics, pellet binders, and pigments.

Natural feed ingredients contain other substances, some of which are detrimental to their quality. The latter include mycotoxins, enzyme inhibitors, vitamin destroying enzymes, haemagglutenins, products of oxidative rancidity, other natural toxins, chemicals, and contaminants, such as pesticides and herbicides. Some of these substances are listed in Appendix XV.

3.1.9 Summary of Analytical Information Needed About Feeds

In summary, the following are the major, but not the sole analytical characteristics 1/ of compound feeds and natural feed ingredients which are of importance to those designing feeding programmes for fish and shrimp:

Moisture Content
Crude Lipid Content
Crude Protein Content
Crude Fibre Content
Carbohydrate (NFE) Content (by difference)
Ash Content (necessary, if the NFE level is to be calculated by difference) Ca/P Ratio
Available Phosphorus Content Lysine Content
Methionine and Cystine Content Level of Poly-unsaturated Fatty Acids (n-3 and n-6 series)
Further reading (section 3.1):
NRC (1983); ADCP (1980); Halver (1972); Jauncey and Ross (1982);
New (1985); New (1976); Tacon (1985); Kutsky (1981); Davies (1985);
Tacon and Cowey (1985)

1/ Measurements of quality, such as free fatty acids, peroxide value, available lysine, and aflatoxin content have been omitted from the list but are mentioned in other places in this manual.

3.2 How to Understand A Feed Composition Table


3.2.1 Moisture Content
3.2.2 Comments on the Use of Specific Compositional Tables


When compound feeds are formulated (see section 5.2.) for any animal it is necessary to know the composition (analytical characteristics) of each of the raw materials which are to be considered for use. There is no true substitute for recent analytical data on the actual material to be used, for the analysis of ingredients varies widely according to the method and place of growth or manufacture. However such data is not often available and to obtain it quickly and accurately enough to use for formulation can place an intolerable burden on local analytical facilities. The nutritionist in the field therefore almost always has to resort to published data on feed composition in tables prepared for formulation purposes.

Usually the data in feed compositional tables (see 'further reading') has been obtained in locations different to the one for which diets are to be formulated. Being able to look up the analysis of a similar ingredient to the one being considered for inclusion in a diet depends on having an accurate name for the product and an understanding of the method by which it was produced (if it is a by-product), grown (if a plant), or the species (plants and animals) from which it came. Thus feed terminology is important and efforts (Harris et al., 1980) are being made to establish internationally recognized feedstuff names and descriptions and to relate these to the common names used in each country. This system is, however, very complex to use and the reader is recommended to use the more simple descriptions used in an excellent publication by Göhl (1980). An example of a feed compositional table is given in Appendix IV. Other examples are referenced in 'further reading' at the end of this sub-section.

Feed composition tables are often lengthy and apparently complicated. The following notes are intended to make them easier to understand and use. Some of the information listed in them is specific to the nutrition of terrestrial and avian animals for which the data have primarily been gathered. Comments on these factors are not included here. As yet, no feed composition tables have been constructed solely with the formulators of fish and shrimp feeds as an audience, except those published by NRC, (see 'further reading'). Some feed composition tables contain excellent, detailed explanations of the terminology used in them (e.g., NRC, 1971) but others do not explain the way in which the information should be used.

3.2.1 Moisture Content

One basic confusion relates to whether the analyses given in feed composition tables is based on the dry matter (DM) content of the feed or on an 'as-fed' (or as received) basis. Some tables clearly state which method is being used - others do not. Most dried ingredients contain 7-12% of moisture. The use of data which is based on DM content in a ration being formulated on an as-fed basis will therefore lead to errors of the same order. Tables which present information on a DM basis do so because moisture content can be so variable, particularly for cereals; this therefore gives an easier means of comparison. However, if analyses based on a DM basis are to be used for formulation on an as-fed basis, they have to be converted to that basis by using the known moisture content of the local material. For example, if the protein content of an ingredient in a compositional table is given as 45% on a DM basis and the actual material being considered for use locally is known to have a moisture content of 9%, the as-fed protein content can be calculated as follows:

As-fed protein content = DM% protein × (100 -moisture content)

Similarly, as-fed analyses can be converted to a DM basis by the following means if the moisture content is known. Suppose an ingredient is known to have a moisture content of 12% and an as-fed protein content of 23%. The protein level of this feed on a DM basis can be worked out as follows:

An alternative to calculating the formulation of a compound feed from analytical information of the as-fed type is to calculate it all on a DM basis. The final analysis can then be converted to an as-fed basis using the expected moisture content in the same way as in the first example above. In all cases data should always state whether they are being reported on an as-fed or a DM basis. Some feed manufacturers state the analysis of their product on a DM basis, giving a maximum moisture content as well.

In some tables and reports of analytical data about feeds the dry matter content is given, followed by a set of other data. This normally means that the other data presented is on an as-fed basis. The same is true when a figure for moisture content is followed by other data. Thus, if the feed data is presented in the following way, it will all be on an as-fed basis:

Yellow Corn

Example 1

Example 2

Moisture

15.7%

Dry matter

84.3%

Lipid 1/

3.6%

Lipid 1/

3.6%

Protein 2/

8.6%

Protein 2/

8.6%

Fibre 3/

2.1%

Fibre 3/

2.1%

Ash 4/

1.2%

Ash 4/

1.2%

NFE 5/

68.8%

NFE 5/

68.8%

Synonyms:

1/ crude lipid; crude fat; ether extract.
2/ crude protein; N × 6.25; nitrogen content (kjeldahl) × 6.25.
3/ crude fibre.
4/total ash; mineral content.
5/nitrogen-free extract; carbohydrate.

In the examples given above it is easy to check that the data are given on an as-fed or as-received basis because adding together all the components listed, including moisture, totals 100%. In example No. 2 the moisture content must first be obtained by subtracting the figure given for DM from 100%.

In other tables, a figure is given for dry matter which is followed by figures for lipid, protein, fibre, ash and NFE. If the latter five components add up to 100% each is therefore quoted on a DM basis.

In the examples given above all six of the major components (sometimes called the proximate analyses) are listed - moisture, lipid, protein, fibre ash, and NFE. In such a case it is easy to check on which basis the data is presented. Often however, when feed analytical data is given, only some of the components are listed, which makes it more difficult to decide which basis has been employed. These six components are the only ones that should be taken into account when checking this matter. All other data should be excluded because they form a part of the six major ones. For example, a calcium level of 0.4% may be quoted - this is not additional to the six major components quoted - it is already included in the figure reported for ash content. Similarly a level reported for an amino acid -say 0.26% lysine - is already included in the figure quoted for protein content. Thus adding all the figures in the table together would not give a total of 100%. If the analyses quoted include all six major components, these should add to 100%. If they do not, some must have been given on a DM basis or an error in compilation has been made.

This topic has been dealt with at length because it is the source of greatest confusion in consulting feed analytical tables. Some specific comments on individual feed tables follow.

3.2.2 Comments on the Use of Specific Compositional Tables

a) Hubbell (1984)

This table is designed for use by US feed manufacturers and is confined to the major ingredients readily available on the market in the USA.

The analyses given for amino acids are clearly marked as being on an as-fed basis. One is left to assume that the data presented for minerals is on the same basis.

Similarly the main table in this list does not state if the analyses are on an as-fed basis or not. As data for NFE is not presented it is impossible to check if the major six components add to 100% or not. However the fact that the DM content figure is listed provides the clue that the other data given are on an as-fed basis and this is confirmed by detailed examination of specific data for certain ingredients. The reason why data for NFE (an indefinite term for matter other than lipid, protein, fibre, and ash) is excluded from the table is that the figures given for the other components carry a 'margin of safety' i.e., they are under-estimates of those components (oil and protein) which are usually the subject of minimum specifications in compound feed and over-estimates of those (such as fibre) which are usually specified as a maximum level by feed compounders on their products.

All data presented in this table are given as a percentage except vitamins and energy levels. The energy levels quoted are not applicable to aquatic species and should be ignored. Data for vitamins are presented in milligrams per pound (mg/lb). For international use these figures would be more useful if given as ing/kg. To convert, use the following factor:

Vitamin content in mg/kg = content in mg/lb × 2.2046

b) ADCP (1983)

This publication presents a very clear set of data on a range of common feed ingredients gathered from various sources, mostly extracted from Göhl (1981). Analyses are reported on a DM basis but, where available, a dry matter (DM) figure is also given so that the reader can calculate the other data into an as-fed basis if desired. The compositional tables from this report have been reproduced in Appendix IV, with some additions from the author of the current manual.

Approximate digestible energy levels for fish are presented in ADCP (1983), which have been calculated from the following energy values:


kcal/g

Carbohydrates from non-leguminous plants

3.0

Carbohydrates from leguminous plants

2.0

Protein from animals

4.25

Protein from plants

3.8

Fats

8.0

No energy value was assigned to fibre for aquatic animals in this publication.

c) NAS (1971)

This is a very comprehensive set of tables of the composition of feed ingredients available in North America. The information is clearly presented but the number of ingredients and varieties of each quoted make the document somewhat daunting for the novice. There is, however, a very good guide to the interpretation of the tables at the front of the book. In these tables, analytical data for each material is presented in both an as-fed and DM (dry-matter) basis, where the moisture content was known, which makes it very easy to comprehend. The tables contain a lot of information on vitamin and mineral levels which is missing from other tables. There is also much information on energy levels and digestibility which, however, is not applicable to aquatic species.

Though well presented, the sheer weight of information (and of the book!) makes the volume difficult to digest. Also the information is very specific to feeds available in the North American continent. These tables are recommended for the advanced nutritionist rather than for the novice.

d) NAS (1969)

These tables are similar to those presented in NRC (1971) but are much less comprehensive. Not so many ingredients are listed. These tables form a good introduction to the analytical characteristics of feed ingredients available in North America.

e) Devendra (1981)

The compositional tables which form part of this report on feed resources are a good guide to some of the less conventional feed ingredients to be found in South and South-East Asia. Data for the six major components (moisture, lipid, protein, fibre, ash, and NFE) is provided together with, in most cases, data on calcium and total phosphorus.

f) FAO and USDA (1982) and Leung et al., (1968)

These publications are intended for nutritionists dealing with humans and are not recommended as part of the reference material for the novice feed formulator. They do, however, contain a significant amount of information on components like vitamins and, in the case of FAO and USDA (1982), amino acids and fatty acids which can be useful guides to the possible composition of related by-products of human food, for which equivalent data is as yet unpublished.

g) Göhl (1981)

In my opinion this is easily the most useful publication describing feeds and their composition and I believe that it should become the feed nutritionists 'bible'. Feeds are well classified, using a simple system, and are thus easy to look up. Scientific, English, and many local names are given for each feedstuff and there are good indexes. Data on the proximate components and, in most cases, calcium and phosphorus are presented on a dry matter basis, in the section specific to each ingredient. The data are from many different locations (and processes), giving a good indication of variability. At the end of the book a separate table gives quite comprehensive information on the amino acid contents of feeds, reported as a percentage of crude protein. The document is an invaluable guide for the novice and a useful reference for the professional in this field.

h) Other Tables

Less comprehensive, but locally useful, compositional tables are also available. These include the following:

Manik et al., (1976) lists analytical data for twenty-six possible ingredients for shrimp and prawn feeds which are available in Indonesia. Although not stated, analyses are presented on an as-fed basis. In most cases data for all of the six proximate analyses are given.

Malik and Chughtai (1979) have compiled a most useful set of feed tables for Pakistan. Data for some mineral (Ca, P, Na, and K, and in some cases, Fe, Mn, Cu, and Zn) as well as the results of proximate analyses are presented. Common local and botanical names are listed, proximate analyses are presented on an as-fed basis and a separate column additionally notes the dry matter content of the samples analysed.

Sadiq and Seng (1982). This publication presents less comprehensive information on Pakistani feed ingredients than Malik and Chughtai (1979) but does give a useful glimpse of the great variability that exists in raw materials. Maximum and minimum figures, as well as averages, of many components are presented. This amply illustrates the dangers inherent in applying data from feed tables which are based on averages for formulation work. Unfortunately, as pointed out earlier, the nutritionist in the field usually has no other option but to apply data from compositional tables.

Further reading for section 3.2:

NAS (1969); NAS, (1971); Devendra (1981); Sadiq and Seng (1982);
Hubbell (1984); Harris et al., (1980); ADCP (1983); Göhl (1981).


Previous Page Top of Page Next Page