1. INTRODUCTION
2. AN INTERNATIONAL FEED NOMENCLATURE
3. THE SYSTEMATIC COLLECTION AND RECORDING OF DATA ON FEED COMPOSITION
4. CALCULATIONS USED IN SUMMARIZATION OF FEED COMPOSITION DATA
5. ENERGY FEEDS
6. PROTEIN SUPPLEMENTS
7. VITAMIN AND MINERAL SUPPLEMENTS AND MISCELLANEOUS ADDITIVES
8. REFERENCES
L. E. Harris
Utah State University
Logan, Utah
1.1 International Network of Feed Information Centre (INFIC)
Feeding farm animals is a process of priority decision-making involving at least two general conditions. The first is an abundance of food material which is not in a usable form or aesthetically acceptable as human food, and the second is a surplus of food material accompanied by a standard of living sufficiently high that the nutrient losses involved in feeding animals are compensated for by the increased desirability and nutritional excellence of foods of animal origin.
Decisions relevant to the first set of conditions include determining the optimum numbers and kinds of animals that can be productively supported by the available feedstuffs. Efforts should be made to maximize production; but also to allocate nutrient supplies in a competitive situation for the maximum benefit to the society concerned. These decisions are among the most critical that civilization faces today.
Decisions can be made only on the basis of reliable information concerning the composition of all feed materials used in animal feeding. This information is fundamental in assigning priorities to the use of available feed supplies in animal agriculture.
German documentation began in 1949 and the United States began in 1952. Although there was some contact between the two centres for several years, it was not possible to combine or adapt the systems to each other. Personnel at the Utah (United States) centre contacted FAO concerning the need for world cooperation. FAO, in turn, sent a consultant to review on-going international activities in the fields of feed data collection and methods for retrieval of these data, and to report on possibilities for collaboration on an international basis. The report (Alderman, 1971) enumerated the value of a collaborative effort in this field, both to developing countries and to animal production at the international level and recommended that FAO act as the coordinator for international activities in collection of data on feed composition and its summarization and dissemination.
The first consultation meeting was held in 1971, in Rome. At that time representatives from several feed information services formed the International Network of Feed Information Centre (INFIC Publication 1, 1977). Members (besides FAO) were: Australian Feed Information Centre, Sydney, Australia; Agriculture Canada, Ottawa, Canada; International Feedstuffs Institute, Utah State University, Utah, U.S.A.;. US AID Feed Composition Project, University of Florida, Gainesville, Florida, U.S.A., and Universität Hohenheim, Dokumentationsstelle, Stuttgart, Federal Republic of Germany.
Since then, meetings of the INFIC group have been held annually, and the following centres have joined INFIC: The Arab Centre for Studies of Arid Zones and Dry Lands (ACSAD), Damascus, Syria; College of Fisheries, Aquaculture Division, University of Washington, U.S.A.; The International Livestock Centre for Africa (ILCA), Addis Ababa, Ethiopia; Institute d'Elevage et de Médecine Vétérinaire des Pays Tropicaux (IEMVT), Maisons-Alfort, France; the Latin American Programme for Feed and Feeding Systems, at the Institute Interamericano de Ciencias Agricolas (IICA), San Jose, Costa Rica; and the Tropical Products Institute (TPI), London, United Kingdom. In the meantime, the US AID Feed Composition Project in Florida has been terminated and its responsibilities were transferred to the Utah Centre. Participation by other feed information services throughout the world is encouraged by INFIC. All centres function independently with regard to financing, personnel, data retrieval, research and publications.
2.1 Classes of Feeds by Composition and Usage
2.2 International Feed Description
2.3 Short Feed Names
2.4 Official Country Names
Naming and describing feeds for data processing must be carried out systematically. This means that a precise nomenclature had to be established. This nomenclature contains controlled terms (descriptors) which constitute the "International Feed Vocabulary". These descriptors are used for coining the international names of feed. Thus, the nomenclature can be expanded by combining the existing descriptors.
Many of the by-products arising from the preparation of human food are suitable for animal feeds. As new technology develops for processing human foods, additional by-products are constantly being introduced. Unless well-defined guidelines are established for naming these products, confusion will reign. Many grain products are changed by subjecting them to some form of mechanical process; e.g., blending, grinding, pelleting, and steam or dry rolling. This often results in an alteration in the nutritive value of feeds. Generally, these changes increase nutritive values resulting in increased efficiency of animal production. However, this complicates the task of precisely naming these materials. The names of many feeds are controlled officially by regulation in the U.S.A., Canada and the European Community. These names include descriptions of processes used in their manufacture and may include guarantees of quality. Such names, however, are usually common or trade names and do not describe the feed accurately.
In reviewing the literature, more than 20 percent of the common names were found to be different names (synonyms) for the same product from different areas of the world. This complicates the identification of feeds. A new international system was proposed by Harris (1963) and Harris et al. (1968) to overcome inconsistencies in naming feeds. This system was modified and is now known as the International Feed Vocabulary.
Using this vocabulary, over 18 000 feeds have been recorded and given International Feed Descriptions or Names in English, German and French. Portuguese and Spanish versions are being prepared. These International Feed Names are now in wide use.
The International Feed Vocabulary is designed to give a comprehensive name to each feed as concisely as possible. Each feed name is coined by using descriptors taken from one or more of six facets.
Facet 1: Origin. The origin or parent materials may be one of three types:
(i) plantsspecific (barley, oats, coconut, soybeans)
non specific (cereals, grass, meadow)(ii) animals
specific (cattle, chickens, swine)
non specific (animal, poultry, fish)(iii) minerals, chemical products, drugs and others.
For specific plants and animals, each descriptor of this facet is composed of:
(i) scientific name
(ii) common name.
Feeds should be described by their common names at up to three levels as far as this is possible. The first level should be the generic name; e.g., cattle, fish, clover, wheat, etc. The second level should be more specific (such as breed or kind); e.g., Hereford, cod red (clover), winter (wheat), etc. The third level should list other important characteristics (such as strain; e.g., Delmar) (see Table 1).
Facet 2: Part Fed to Animals as Affected by Process (es). This component of the feed description represents the actual part of the parent material fed. In the past, the edible parts of plants and animals were obvious such as leaves, stems, seeds, meat trimmings, or bones. Today, due to the extensive fractionation of plant seeds and the reconstitution of many of the parts into new processed foods, innumerable by-products are available for animal feeding.
Each part has to be described unambiguously by a descriptor, the use of which is defined as far as necessary.
Table 1 International Feed Description: Origin (Examples)
|
With Specific Origin | ||||
|
genus |
Bos |
Gadus |
Trifolium |
Triticum |
|
species |
Taurus |
Morrhua |
Pratense |
Aestivum |
|
Level 1 generic name |
Cattle |
Fish |
Clover |
Wheat |
|
Level 2 breed or kind |
Hereford |
Cod |
Red |
Winter |
|
Level 3 strain |
- |
- |
- |
Delmar |
|
With Non Specific Origin | ||||
|
Level 1 generic name |
Animal |
Grass |
Poultry |
Meadow plants |
|
Level 2 breed or kind |
- |
- |
- |
- |
|
Level 3 strain |
- |
- |
- |
- |
The above are examples of feeds with specific origins. Some feeds may have no specific origin, and are described by their common name; e.g., animal, grass, poultry, meadow grass.
Minerals, drugs and chemicals are listed according to the nomenclature of CRC (1968). The chemical formula are designated where applicable.
Examples of International Feed Descriptions or Names with parts are given in Table 2.
Table 2 International Feed Description: Origin + Part (Examples)
|
genus |
Bos |
Gadus |
Trifolium |
Triticum |
|
species |
Taurus |
Morrhua |
Pratense |
Aestivum |
|
generic |
Cattle |
Fish |
Clover |
Wheat |
|
breed or kind |
Hereford |
Cod |
Red |
Winter |
|
strain |
- |
- |
- |
Delmar |
|
part |
Milk |
Whole |
Aerial part |
Grain |
Facet 3: Process (es) and Treatment (s). Many processes may be used in the preparation of a feed for consumption and some of these may significantly alter their nutritional value. Heat may damage some nutrients and, conversely, it may make others nutritionally more available. Pelleting increases consumption while grinding may affect digestibility of protein and carbohydrates.
It is important, then, that a feeder be aware of the processes to which a feed has been subjected. Also, the type of animal and its physiology must be considered relative to these factors. Therefore, origin and part terms are followed by those distinguishing the different methods of processing which are used alone or combined; such as separating, reducing size or thermal. The term dehydrated (descriptor: DEHY) when applied to AERIAL PART means feeds which are artificially dried. Similarly, FAN AIR DRIED indicates the AERIAL PART (hay) dried indoors by air convection.
The term, mechanically extracted (MECH EXTD) has been used rather than expeller extracted, hydraulic extracted, or old process.
Table 3 International Feed Description: Origin + Part + Process (Examples)
|
genus |
Bos |
Gadus |
Trifolium |
Triticum |
|
species |
Taurus |
Morrhua |
Pratense |
Aestivum |
|
generic |
Cattle |
Fish |
Clover |
Wheat |
|
breed or kind |
Hereford |
Cod |
Red |
Winter |
|
strain |
- |
- |
- |
Delmar |
|
part |
Milk |
Whole or cuttings |
Aerial part |
Grain |
|
process |
Boiled |
Mech Extd Dehy Ground |
Ensiled |
Ground |
Examples of International Feed Descriptions with processes are given in Table 3.
Facet 4: Stage of Maturity or Development. Although stage of maturity may be unimportant or may not even apply to many feeds such as grain by-products, it is probably the most important factor influencing the nutritive value of forages. There is an optimal stage of maturity for forage crops beyond which lignification or the reduction of the ratio of leaf to stem greatly reduces digestibility. Examples of International Feed Descriptions with stage of maturity for plants and animals are given in Table 4.
Facet 5: Cutting. Many forage crops are cut and harvested several times during the year. Each cutting has a unique nutrient content as well as characteristic physical properties. The descriptor for cutting refers to the sequence of cutting from the first to the last during the year (cut 1, cut 2, etc.). The maturity terms refer to stage of growth or of regrowth and, therefore, must be considered within the limits of cutting.
In tropical and subtropical areas, crops may be cut throughout the year, particularly if they are irrigated.
Table 4 International Feed Description: Origin + Fart + Process + Maturity + Cut (Examples)
|
genus |
Gallus |
Gadus |
Trifolium |
Digitaria |
|
species |
Domesticus |
Morrhua |
Pratense |
Decumbens |
|
generic name |
Chicken |
Fish |
Clover |
Pangolagrass |
|
breed or kind |
Leghorn |
Cod |
Red |
- |
|
strain |
- |
- |
- |
- |
|
part |
Whole |
Whole |
Aerial part |
Aerial part |
|
process |
Fresh |
Boiled |
Dehy |
Ensiled |
|
maturity |
Day old |
- |
Early bloom |
28-42 days' growth |
|
cut |
- |
- |
Cut 1 |
Cut 2 |
The time to start counting cuttings for non-irrigated forages would be the first rainy season. For irrigated forages, the count should start from the first crop.
Since stage of maturity is more important than cutting data, the various cuts for forages are sometimes combined with the stage of maturity when data are summarized for feed composition tables. Examples of International Feed Descriptions with cuttings are given in Table 5.
Table 5
|
genus |
Glycine |
Medicago |
Gadus |
|
species |
Max |
Sativa |
Morrhua |
|
generic name |
Soybean |
Alfalfa |
Fish |
|
breed or kind |
- |
- |
Cod |
|
strain |
- |
Ranger |
- |
|
part |
Seeds without oil |
Aerial part |
Whole |
|
process |
Solv Extd |
Dehy |
Boiled |
|
maturity |
- |
- |
- |
|
cut |
- |
Cut 1 |
- |
|
grade |
More than 44% protein |
17% protein |
- |
Facet 6: Grade. Some commercial feeds and feed ingredients are given official grades on the basis of their composition and other quality characteristics. Such feeds are sold on a quality description basis in accordance with their official gradings. Thus, these grades and quality designations must be included as a definitive component in the description of the feed. These guarantees for various attributes are expressed in terms of "MORE THAN" (minimum) and "LESS THAN" (maximum) of some percentage of crude fibre, protein, fat, etc. LOW GOSSYPOL is an example of a quality grade. These guarantees and quality are used as descriptors in this facet. Examples of International Feed Descriptions with grade are given in Table 5.
Feeds are grouped into eight classes on the basis of their composition in the way they are used for formulating diets (Table 6).
By necessity these classes are arbitrary, and in borderline cases the feed is assigned to a class according to the most common use made of it in usual feeding practice. For instance, some bran samples may contain over 18 percent fibre and more than 20 percent protein and yet are classed as forages because they are normally used in this way.
Table 6 Classes of Feeds by Composition and Usage
|
Code |
Class Description 1/ |
|
|
1 |
Dry forages and roughages |
Hay; straw; fodder (aerial part); stover (aerial part without ears, without husks or aerial part without heads); other products with more than 18 percent crude fibre (dry basis); HULLS |
|
This class includes all forages and roughages cut and cured. Forages or roughages are low in net energy per unit weight, usually because of the high fibre content. Thus, such products as SEED COATS, PODS, rice BRAN, etc. are included in this group. |
||
|
2 |
Pasture, range plants, and forages fed green |
Included in this group are all forage feeds either not cut (including feeds cured on the stem) or cut and fed fresh. |
|
3 |
Silages |
This class includes only ensiled forages (MAIZE, ALFALFA, GRASS, etc.), but not ensiled FISH, GRAIN, ROOTS and TUBERS. |
|
4 |
Energy feeds |
Included in this group are products with less than 20 percent protein (dry basis) and less than 18 percent crude fibre (dry basis) as, for example, FISH, GRAIN, mill by-products, |
|
5 |
Protein supplements |
This class includes products which contain 20 percent or more of protein (dry basis) from animal origin (including ensiled products) as well as oil meals, GLUTEN, etc. |
|
6 |
Mineral supplements |
|
|
7 |
Vitamin supplements (including ensiled yeast) |
|
|
8 |
Additives |
This class includes further feed supplements as antibiotics, colouring materials, flavours, hormones and medicants. |
1/ Short feed names are used with or without the genus, species or variety
An international feed description is composed of the previously described six facets and descriptors within the facets. The feed descriptions are maintained in an "International Feed Description Name File".
A six-digit "International Feed Number" (IFN) is assigned to each feed description. The first digit of this IFN denotes the class of feed. This reference number is used in computer programmes to identify the feed for use in calculating diets, summarization of the data, for printing feed composition tables and for retrieving on-line data for calculating diets for maximum profit.
A complete International Feed Description consists of all descriptors applicable to that feed. It is numerically identified by the IFN. This is illustrated by examples in Table 7.
Table 7 Examples of International Feed Descriptions
|
Components |
Feed no. 1 |
Feed no. 2 |
Feed no. 3 |
Feed no. 4 |
Feed no. 5 |
Feed no. 6 |
|
Specific Origin | ||||||
|
|
Class 1 |
Class 2 |
Class 3 |
Class 4 |
Class 5 |
Class 6 |
|
genus |
Trifolium |
Avena |
Medicago |
Zea |
Box |
Magnesium |
|
species |
Pratense |
Sativa |
Sativa |
Mays |
Taurus |
Carbonate |
|
variety |
- |
- |
- |
Indentata |
- |
- |
|
generic |
Clover |
Oats |
Alfalfa |
Maize |
Cattle |
Magnesium |
|
breed or kind |
Red |
- |
- |
Dent |
Guernsey |
Carbonate |
|
strain |
- |
- |
- |
Yellow |
- |
MgCO3 |
|
part |
Aerial part |
Aerial part |
Aerial part |
Grain |
Milk |
- |
|
process |
Sun-cured |
Fresh |
Ensiled |
Dehy |
Spray dehy |
Ground |
|
maturity |
Late vegetative |
Early bloom |
Early bloom |
- |
- |
- |
|
cutting |
Cut 2 |
- |
Cut 1 |
- |
- |
- |
|
grade |
- |
- |
- |
Grade 2 695 G/L |
- |
- |
|
International Feed Number |
1-02-395 |
2-03-287 |
3-07-844 |
2-03-931 |
5-08-626 |
6-02-754 |
|
Non Specific Origin | ||||||
|
|
Class 1 |
Class 2 |
Class 3 |
Class 4 |
Class 5 |
Class 6 |
|
genus |
Meadow plants |
Grass |
Legume |
Bakery |
Animal |
Rock phosphate |
|
species |
Inter-mountain |
- |
- |
- |
- |
- |
|
variety |
- |
- |
- |
- |
- |
- |
|
Non Specific Origin |
Class 1 |
Class 2 |
Class 3 |
Class 4 |
Class-5 |
Class 6 |
|
generic |
Meadow plants |
Grass |
Legume |
Bakery |
Animal |
Rock phosphate |
|
breed or kind |
Inter-mountain |
- |
- |
- |
- |
- |
|
strain |
- |
- |
- |
- |
- |
- |
|
part |
Aerial part |
Aerial part |
Aerial part |
Waste |
Blood |
- |
|
process |
Sun-cured |
Fresh |
Ensiled |
Dehy |
Spray dehy |
Ground |
|
maturity |
Late bloom |
Early bloom |
- |
- |
- |
- |
|
cutting |
Cut 1 |
- |
- |
- |
- |
- |
|
grade |
- |
- |
- |
- |
- |
- |
|
International Feed Number |
1-09-176 |
2-08-431 |
3-07-796 |
4-00-466 |
5-00-381 |
6-03-945 |
Short names are used for Feed Composition Tables, compiled for use in particular countries or regions, when it is inconvenient to use the longer and more precise International Feed Description; however, the Short dame cannot be used for describing a feed when adding material to the feed data bank.
In some countries feeds have been given official names. Usually, these names are not used as international feed descriptions because they are either incomplete or do not begin with the origin or parent material. However, they are used as additional names to relate the country name to the international feed description. In feed tables, these names may be listed after the short feed names for a given country or region. Examples of country names are given in Table 8.
3.1 The International Source Form
3.2 Information Provided In Source Form
A system for recording data on an "International Source Form" was first devised by Harris et al. (1968) and Harris (1970) . This form has been revised by INFIC so that data on additional attributes such as toxic constituents, fertilizer and pollution can be recorded.
Figure 1 illustrates one type of source form in use. Each INFIC Center may devise other source forms appropriate to their needs. The example source forms are used to record nutritional data about a feed. Items that may be recorded on the source form are outlined below. However, only those which are applicable to the particular feed sample are recorded (Figure 2 for example of completed source form).; Completed source forms are forwarded to regional INFIC Centres where the information is coded for entry into the databank. Each source form is designed so information may be punched directly into 80 column computer cards or onto magnetic tape. A description of information to be filled in for each area of the source form follows.
Table 8 International Long and Short Names and Country Names (Examples)
|
Components |
Feed no. 1 |
Feed no. 2 |
Feed no. 3 |
Feed no. 4 |
Feed no. 5 |
Feed no. 6 |
Feed no. 7 |
|
International Feed Descriptions |
|||||||
|
genus |
Animal |
Linum |
Avena |
Fish |
Medicago |
Triticum |
Zea |
|
species |
- |
Usitatissimum |
Sativa |
- |
Sativa |
Aestivum |
Mays |
|
variety |
- |
- |
- |
- |
- |
- |
- |
|
generic |
Animal |
Flax |
Oats |
Fish |
Alfalfa |
Wheat |
Maize |
|
breed or kind |
- |
- |
- |
- |
- |
- |
- |
|
strain |
- |
- |
- |
- |
- |
- |
- |
|
part |
Livers |
Seeds without oil |
Groats by product |
Whole or cuttings |
Aerial |
Flour by product |
Gluten with bran |
|
process |
Dehy ground |
Solv extd ground |
- |
Boiled mech extd ground |
Sun-cured |
- |
Wet milled dehy |
|
maturity |
- |
- |
- |
- |
Early bloom |
- |
- |
|
cutting |
- |
- |
- |
- |
- |
- |
- |
|
grade |
- |
- |
- |
- |
- |
Less than 4.5% fibre |
- |
|
Short Feed Names 1/ |
|||||||
|
genus |
Animal |
Linum |
Avena |
Fish |
Medicago |
Triticum |
Zea |
|
species |
- |
Usitatissimum |
Sativa |
- |
Sativa |
Aestivum |
Mays |
|
variety |
- |
- |
- |
- |
- |
- |
- |
|
generic |
Animal |
Flax |
Oats |
Fish |
Alfalfa |
Wheat |
Maize |
|
breed or kind |
- |
- |
- |
- |
- |
- |
- |
|
strain |
- |
- |
- |
- |
- |
- |
- |
|
part |
Livers |
Seeds |
Groats by product |
- |
Hay |
Red dog |
Gluten with bran |
|
process |
Meal |
Meal solv extd |
- |
Meal mech extd |
Sun-cured |
- |
- |
|
cutting |
- |
- |
- |
- |
- |
- |
- |
|
grade |
- |
- |
- |
- |
- |
Less than 4.5% fibre |
- |
|
Country Name |
|||||||
|
|
Animal liver meal (CFA)2/ |
Solvent extracted linseed meal (CFA) |
Oat feed (CFA) |
Fish meal (CFA) |
- |
Middlings, less than 4.5% fibre (CFA) |
Corn gluten feed (CFA) |
|
|
Animal liver meal (AAFCO)3/ |
Linseed meal, solvent extracted (AAFCO) |
Oat mill by-product (AAFCO) |
Fish meal (AAFCO) |
- |
Wheat red dog less than 4.5% fibre (AAFCO) |
Corn gluten feed (AAFCO) |
|
International Feed Number |
5-00-389 |
5-02-048 |
1-03-332 |
5-01-977 |
1-00-059 |
4-05-203 |
5-02-903 |
1/ Short feed names are used with or without the genus, species or variety
2/ Canada feed act name
3/ American Association of Feed Control Officials name
Fig. 1 International Source Form
3.2.1 Card 10
Origin of Data, Origin of Sample and Description of Feed
Project No. This number is filled in by the project leader.
Country. Give the country where the laboratory is located that analyzed the feed sample.
State, province or department. Give the state, province or department within the country where the laboratory is located that analyzed the feed sample.
Laboratory sample number. Give the number assigned to the sample. When source forms are prenumbered, this number could be used as the laboratory number; however, other numbers may be used. For example, the first sample collected in 1977 could be 77-1, the second 77-2, etc.
Origin of Sample
Date originally collected. Record date the sample was collected. This is especially important for forages as the nutritive value is influenced by the age of the plant.
Country. Give name of the country where feed originated. For example, anchovy fish meal may have come from Chile and be fed to livestock in Brazil. In this case, enter Chile for country.
Climatic zone. To be filled in by the Feed Centre. This is a geographic area within a country (or countries) with similar altitude, latitude, and rainfall.
Fishing area. Give the nearest state, province or department within a country where the fish were caught. This includes rivers, lakes or the oceans.
State, province or department. Give name.
Country, district or region. Record name. This will assist in identifying areas where plants exhibit nutritional deficiencies and/or toxic levels of materials when fed to animals. When sufficient data are collected, maps can be drawn outlining these areas.
Literature reference No. This is primarily used at the Centre when data are collected from the literature. However, if the data being reported have been published, fill in literature reference, giving the senior author, year, journal, volume number, and page.
Description of Feed
If the feed can be identified, write in the international feed name in the scientific name area from the list of feed names in the appendix. Fill in the international feed number taken from this list above the aquares on the source form reserved for this purpose. If the international feed name and the international feed number are filled in, the blanks down to the short name do not need to be filled in.
When the international name cannot be identified, describe the sample by using the common name and fill in the other blanks as described below, i.e., class of feed, scientific name, common name, part, process, etc.
Class of feed. Check one of the squares as appropriate.
Scientific name (variety or kind). When this area is not used for the international feedname as outlined above, give the variety or kind, i.e., Zea mays indentata.
Common name for scientific name. Common names are an important part of feed terminology. Many are part of our everyday language. List here all the common name(s) by which the feed is known in your locality.
Part of plant, animal or other product. A list of words or phrases describing the part of the plant, animal or feed product is given in the Glossary. Study these words or phrases carefully. When there is a word or phrase which fits your feed sample, insert it here. These terms are used in the international feed names.
Process undergone before fed to animal. A list of processes which the feed may undergo before it is fed to the animal is given in the Glossary. Study these carefully; if a word or phrase fits the feed, insert it under Processes Undergone Before Fed to Animal. If a word or phrase in the Glossary does not fit the feed, make up a new one and insert it in this space.
Other descriptive terms such as rained on, moldy, frozen, weathered, insect damage, etc., may be added to obtain a more accurate description.
Stage of plant maturity or development or age of animal. Use one of the terms listed in the Glossary. Some forages, especially those in the tropics, bloom intermittently. For these forages, list the length of time in days since the plant started to grow or since previous cuttings.
When the sample is of animal origin, give the stage of development of the animal.
Number of cut. This refers to the number of times the plant is cut and harvested. Fill in first, second, third cut, etc.
Official grade (name and number). Many countries have an "Official" grading system for hays and grains. If your country has such a system, obtain an official grade on your sample and insert it under this item. Some countries have a "Feed Control Service" that describes feeds which are sold. They may specify minimum and maximum guarantees for certain attributes. If feeds in your country carry guarantees, indicate the percentages "less than" or "more than"; for example: wheat, flout by-product, less than 2.5 percent fibre.
Short name. To be filled in at the Centre.
Plant cross. When a plant cross is on the market as a commercial feed, give the plant cross and state "sold on the market". This name will then be added to the name file. However, if the plant cross is not sold on the market, give the plant cross and state "not sold on the market". The plant cross will then be coded by the Centre so the data can be retrieved at a later date if the plant cross becomes a commercial product.
Additives. Give name of additive. These are materials added in small amounts example, sodium hydroxide in treating straw or molasses added to silage.
Weight or additive. Check appropriate square: mg, g, or kg.
Weight per metric ton. Give amount of additive per metric ton of feed.
Season. Record one of the following: dry or wet (rainy).
These reasons apply primarily to the tropics or t0 areas which have long dry and rainy seasons. Note: the stage of maturity takes care of the season in temperate climates so for these climates leave this area blank.
3.2.2 Card 21
Quality of Feed, Soil and Fertilization
Quality designations for feeds. These designations are:
Grade 1 good
Grade 2 fair
Grade 3 poor
Grade 4 inferior.
Degree of purity percent. Give the percent of feed (origin) material present in the sample. Most samples contain impurities. This information helps in establishing a grade.
Foreign material. Record one of the following: mineral contamination, weed seeds, other foreign material.
Soil
Note: each Centre could use the soil classifying system used in the country or area they serve. If such a system is used, record the soil class. At the present time, it is not possible to use an international soil classification system. However, the following soil information may be used when the Centre does not have a system to classify soils.
Soil type. Give one of the following: old surface, volcanic, or alluvial.
Kind of soil. Depending on surface texture, state: sand, loam, or clay.
Soil pH. Give the pH value of the soil.
Water (type). Record one of the following:
rainfall
irrigation (sprinkler)
irrigation (furrow)
irrigation (border flooding)
irrigation (drip).
Irrigation plus rainfall. Give total water in mm.
Fertilization
Nitrogen fertilizer-type. Give one of the following:
nitrogenous fertilizer
anhydrous ammonia, NH3
ammonium nitrate
urea
calcium ammonium nitrate
calcium nitrate
calcium cyanamide
nitrate of soda
ammonium sulphate, or the name of other nitrogen fertilizer used.
Quantity in kilogramme per hectare. Give kg applied per hectare.
No. of days between last application and harvest. Give number of days.
Quantity in kilogramme per hectare. Give kg applied per hectare.
No. of days between last application and harvest. Give number of days.
Phosphorus fertilizer, type. Give one of the following:
28-30 percent P2O5 and 12-15 percent CaCo3
Novaphos
Rhenania phosphate, CaNaPO4 + CaSiO3,
raw phosphate
superphosphate
Thomasphosphate Ca3P2O2 · CaO + CaO · SiO2
or the name of other phosphorous fertilizer used.
Quantity in kilogramme per hectare. Give kg applied per hectare.
Calcium fertilizer, type. Give one of he following:
quicklime, burned lime
lime, ground, from iron works
calcium carbonate
slaked lime
or the name of other calcium fertilizer used.
Quantity in kilogramme per hectare. Give kg applied per hectare.
Organic manuring, type. Give one of the following:
green manure
guano
semi-liquid manure
horn meal
liquid manure, slurry
sewage sludge
bone meal
compost
garbage
plant residues, plant refuses
peat moss
stable manure, barn manure
or the name of other organic manure used.
Quantity in kilogramme per hectare. Give kg applied per hectare.
Trace element fertilizer, type. Give one of the following:
boron fertilizer
chlorine fertilizer
cobalt fertilizer
iron sulphate
copper sulphate
magnesium fertilizer
manganese fertilize
molybdenum fertilizer
sodium fertilizer
sulphur fertilizer
lime fertilizer
or the type of trace element fertilizer used.
Quantity in kilogramme per hectare. Give kg applied per hectare.
Mixed fertilizer, type. Give one of the following:
P-K fertilizer
N-Mg fertilizer
phosphate - potassium
P-K fertilizer, 15-18 percent, 20-25 K
nitrogen - phosphate
Thomasphosphate - potassium
Nitrophoska grey (11.5% N, 8.5% P2O5, 18% K2O)
Nitrophoska red (13% P2O5, 21% K2O)
12% N, 12% P2O5, 20% K2O)
or the name of other mixed fertilizer used.
Quantity in kilogramme per hectare. Give kg applied per hectare.
3.2.3 Card 22
Storage Structure
This card is used primarily for silage, however, the height when cut may apply to other feeds.
Height when cut. Record height above stubble in centimeters.
Storage place. Record one of the following:
cellar
pit
trench
kiln
granary
case
stack
temporary silo:
upright high stack silo
upright half high stack silo
attached silo
flat silo moveable silo
fence silo
metal or plastic silo
silo made with pressed material (plywood)
sealed upright silo
experimental silo.
Kind of building material. Record one of the following:
concrete
wood
metal
straw
store
soil
plastic
miscellaneous.
Kind of covering or lock. Record one of the following:
concrete cover
plastic sheet
inner race lock
clamp lock
mechanical pressing
sound bag lock
seeger retaining ring
dipping cover.
Number of days stored. Record the number of days stored.
Temperature (°C). Record the temperature to the nearest whole degree.
Air humidity (percent). Record the air humidity to the nearest whole degree.
Light and air conditioning. Record one of the following:
light with air exchange
semi-dark with air exchange
dark with air exchange
air tight with light
air tight and semi-dark
air tight and dark.
3.2.4 Card 30
Digestibility Trial
When a digestibility trial has been conducted on the feed sample, fill in this section of the source form.
Animal kind. The data reported for digestion coefficients, percent rumen digestion (nylon bag), digestible energy, metabolizable energy, nitrogen-equilibrium metabolizable energy, nitrogen-equilibrium metabolizable energy, NEm, NEgain, TDN, or other measures made on animals are tied to animal kind; therefore, animal kind must be filled in if these data are reported. Do not put estimated data on the source form. Examples of animal kind are cattle, llama, horse, sheep, swine, etc.
Animal breed. Give the breed name, such as Holstein, Brahman, Nallore, Hampshire. When the animal is a crossbreed, list the male first.
Sex. State whether male, castrate male, female, or spayed female.
Age. Give age of animal in years and months; months and weeks; or in weeks.
Number of animals in treatment. Give number of animals used in the trial for each feed.
Average weight of animals. Record the actual weight expressed in kilogrammes or grammes according to the following schedule:
(kg)
Alpaca
Ass
Camel
Cat
Cattle
Chicken
Deer
Dog
Duck
Fish
Fox
Goat
Goose
Hare
Horse
Llama
Man
Mule
Reindeer
Roe (deer)
Sheep
Swine
Turkey
Water-buffalo
Zebra
Zebu
(g)
Guinea-pig
Hamster
Mink
Mouse
Pigeon
Quail
Rabbit
Rat
Test tube (in vitro)
Record the weight to the nearest 0.1 kilogramme or gramme. When weights are given only to the nearest whole kilogramme or gramme, add a zero (implies accuracy to 0.1 unit) after the decimal point.
Physiological state. Check the appropriate condition in each of the following areas:
non-pregnant, pregnant first 2/3, or pregnant last 1/3;
losing weight, maintaining weight, gaining weight or fattening;
lactating, laying eggs or working;
very thin, thin, thrifty, fat, or very fat.
Percent of test ingredient in ration fed (100.0% dry matter). Calculate and fill in only when feed is not fed alone.
Ad libitum feeding or controlled feeding. Check which method was used.
Feed fed alone or feed not fed alone (digestion by difference). Sometimes it is not possible to feed a single ingredients, such as meat meal(animal, carcass, residue, dry rendered dehydrated ground) to cattle. In this case, the meat meal is fed with some other feed. When water and minerals only are given-with a feed, it is considered to be fed alone. Indicate method used (feed fed alone or feed not fed alone).
Method. Check whether the faeces were measured by the total collection method or by the indicator method.
Length of trial. Record length of the preliminary period and the collection period.
Daily dry matter consumed. Record the average daily dry matter consumed during the collection period according to the schedule given in g or kg (for each animal kind) for average weight of animals outlined above.
Record weights to the nearest 0.01 of a kilogramme or 0.001 of a gramme, as appropriate for the animal. When feed weights are not determined to this accuracy, record zeros in positions to the right of the least significant digit.
3.2.5 Card 40
Chemical and Biological Data
Each datum should represent a single observation; however, if individual data are not available, average values may be used (taken from the published literature).
Check analyses wanted. The squares under this heading are for convenience of the chemist. The squares opposite the attribute are checked for the analyses wanted. At this time, chemical analysis work sheets are made up by entering the laboratory number of source form number in the appropriate chemical analysis work book (Harris, 1970).
Some attributes to be analyzed on the sample not be on the source form. The next step is for the chemist to analyze the sample. The chemical and biological analyses are then copied onto the source form.
Dry matter. Record the as-fed dry matter (attribute identified by number 001 for dry matter) on the source form. A sample may be accepted without an "as fed" dry matter providing the data are reported on a partially dry or dry basis. However, an as fed dry matter is helpful to correct the data to an as fed basis.
Dry matter basis on which analytical data are reported on this form. This area must be filled in for the data to be entered into the system. Check appropriate square and enter one dry matter value opposite 002, 003, or 004 to indicate the dry matter of the data on the form. Note: when the basis of the data is on an as fed basis, attribute 001 and 002 must be filled in using the same value for each.
The following are definitions of as fed, partially dry and dry:
As-fed refers to the feed as it is consumed by the animal; the term as collected used for materials which are not usually fed to the animal, i.e., urine, faeces, etc. If the analyses on a sample are affected by partially drying, the analyses are made on the as fed or as collected sample. Similar terms: air dry, i.e., hay; as received; fresh, green, wet.
Partially dry refers to a sample of 'as fed' or 'as collected' material that has been dried in an oven (usually with forced air) at a temperature usually about 60°C or freeze dried and has been equilibrated with the air. The sample after these processes would usually contain more than 88 percent dry matter (12 percent moisture). Some materials are prepared in this way so they may be sampled, chemically analyzed and stored. This analysis is referred to as "partial dry matter percent of 'as fed' or 'as collected sample". The partially dry sample must be analyzed for dry matter (determined in an oven at 105°C) to correct subsequent chemical analyses of the samples to a 'dry' basis. This analysis is referred to as dry matter percent of partial dry sample . Similar terms: air dry (sometimes air dry is used for as fed).
Dry refers to a sample of material that has been dried at 105°C until all the moisture has been removed. Similar terms: 100 percent dry matter; moisture free. If dry matter (in an oven at 105°C) is determined on an 'as fed' sample it is referred to as "dry matter on as fed sample . If dry matter is determined on a partial dry sample, it is referred to as "dry matter of partial dry sample . It is recommended that analyses be reported on the dry basis (100 percent dry matter or moisture free), and in addition the "as fed dry matter" should be reported (Harris et al., 1969; Harris and Fonnesbeck, 1977).
Analyses of data. Record the analytical data on the source form in the spaces provided. Digestion coefficients such as 106, 104, 84 or 56 are to be recorded using whole numbers only (do not use decimal points). The least significant digit must be recorded in the right most column, and in case of a negative coefficient, the minus sign must be indicated in the column just left of the most significant digit. Positive sighs are assumed and need not be recorded.
Record animal kind for card 30 if biological data such as digestion coefficients, metabolizable energy etc. are filled in.
Other analyses and other digestion coefficients. When analyses are determined by methods other than those indicated under method of analyses, record under "other analyses and other digestion coefficients". Also in the space provided record analyses not shown on the source form (Figures 1). Specify, decimal, unit, kind and method of analysis.
When amino acids are reported on a protein basis (g/16g N) record the name of the amino acid under other analyses and record the unit as (g/l6g N). When a ratio for amino acids is recorded, there must be a protein value (Figure 1).
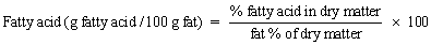
If fatty acids are recorded as g fatty acids/100g fat, record the fatty acid and the unit as g fatty acids/100g fat. If fatty acids are recorded as g fatty acids/100g fatty acid, record the fatty acid and the unit as g fatty acids per 100g fatty acid. When a ratio of fatty acids is recorded, there must also be a fat value (ether extract).
Record the weight per litre in this area (only applicable for grains and by-product feeds). To obtain this information, fill a litre measure without shaking or packing the feed. Scrape off the excess level with the top of the container and weigh (subtract container weight from total weight).
Supplementary information about feeds. Put any additional information about the feed here. It is helpful to know other factors which may influence the nutritive value of the feed, such as a complete description of the fertilizer used, whether the crop was irrigated or not irrigated, class of plant, crop badly weathered, or otherwise damaged.
The International Network of Feed Information Centres (INFIC) uses the caloric system for, recording energy values, although some propose that the joule be used. Older terms for expressing energy value of feeds such as Total Digestive Nutrient (TDN), Starch Equivalent (SE),-and the Scandinavian Feed Unit system are still in widespread use, but INFIC encourages their substitution by the caloric system.
The raw data must be modified and certain calculations made before they are in their most useful form. It is not possible to obtain experimental values of all feeds, therefore, some values are estimated with equations. Whenever this occurs, these data are identified by an asterisk (*) as shown in the formulae below. These modifications and estimations are performed by using a computer programme that adapts the data to a standard format. The steps in summarizing the data are as follows:
(i) Original Data
Original data are collected on source forms, coded and punched on to computer cards and entered onto a magnetic tape.
(ii) Preferred Unit and Dry Basis
All data are calculated to the preferred unit basis (metric system) and to a dry matter basis (moisture free). Data are exchanged among centres on this basis.
(iii) Means and Coefficient of Variability
All values for each attribute (for each feed) are totaled, means calculated, and where there are four or more values, the coefficient of variability is calculated.
(iv) Nitrogen Free Extract
The mean nitrogen-free extract (NFE) in percent is determined by adding the percentage sums of ash, crude fibre, ether extract and protein.
Nitrogen-free extract is no longer used as an entity to calculate diets, but until sufficient data are available to replace TDN with the calorie system, there is some advantage in having nitrogen-free extract so DE and ME may be calculated from proximate analyses or from TON.
(v) Digestible Energy (DE) Digestible energy for each animal kind is calculated:
(a) from the mean of digestible energy in kcal/g or Mcal/kg(b) DE in kcal/g = GE(kcal/g) × GE digestion coefficient
(c) from TDN for cattle-and sheep (Crampton et al., 1957; Swift, 1957):
*DE in Meal/kg = % TDN × 0.04409(d) from TON for horses, equation derived from data (Fonnesbeck et al., 1967 and Fonnesbeck, 1968): *DE in Mcal/kg = 0.0365 × % TDN + 0.172
(e) from TDN for swine (Crampton et al., 1957; Swift, 1957): *DE in kcal/kg = % TDN × 44.09.
(vi) Metabolizable Energy (ME) Metabolizable energy (ME) for each animal kind is calculated:
(a) from the average metabolizable energy in kcal/kg or Mcal/kg(b) from nitrogen-corrected metabolizable energy (ME) for chickens and turkeys (National Research Council, 1969)
(c) from true metabolizable energy (TME) for chickens (Sibbald, 1977)
(d) from DE for cattle and sheep (Moe and Tyrrell, 1976): ME (Mcal/kg DM) = -0.45 + 1.01 DE (Mcal/kg DM)
Moe and Tyrrell's formula is for dairy cattle, but it is believed it can be applied to sheep until a better formula can be found
(e) from DE for horses as *ME in Mcal/kg = 0.82 DE(Mcal/kg DM)
(f) from DE for swine as (Asplund and Harris, 1969): *ME in kcal/kg = (0.96 - 0.00202 × % crude protein) × DE (kcal/kg DM).
(vii) Net Energy (NE) Net energy (NE) for finishing cattle:
(a) from the average net energy maintenance (NEm) or for weight gain (NEgain)(b) net energy values for some cattle feeds are calculated from equations developed by Garrett (1977):
NEm (Mcal/kg DM) = 1.115 - 0.8971ME + 0.6507ME2 - 0.1028ME3 + 0.005725ME4
NEg (Mcal/kg DM) = 3.178ME - 0.8646ME2 + 0.1275ME3 - 0.006787ME4 - 3.325(c) net energy values for lactation (NE1) are estimated by using the formula of Moe and Tyrrell (1976):
NE1 (Mcal/kg DM) = -0.12 + 0.0245 TDN (% of DM)
(viii) Total Digestible Nutrients
Total Digestible nutrients (TDN) for each animal kind are calculated:
(a) from average TON(b) from digestion coefficients as the sum total of the following:
1 × % digestible protein
1 × % digestible crude fibre
1 × %, digestible nitrogen free extract
2.25 × %, digestible ether(c) from DE for cattle and sheep (Crampton et al., 1957; Swift, 1957):
(d) from DE for horses an equation derived from data in Fonnesbeck et al. (1967) and Fonnesbeck (1968):
* % TDN = 20.35 × DE (Mcal/kg) + 8.90. This formula is only used for class 1 feeds(e) from ME for cattle and sheep as (Crampton et al., 1957; Swift, 1957):
* % TDN = 27.65 × ME in Mcal/kg(f) *from regression equations (see Table 9)
(ix) Starch Equivalent
In some areas starch equivalent (SE) is still used to measure energy of feeds. Like TON, it should be replaced by the caloric system.
Starch equivalent, according to Kellner (1905) is calculated on the basis of the digestible nutrients taking into consideration special factors for the single nutrients and correction factors for the raw starch value.
The special factors for single nutrients-vary from one group of feeds to another for protein, ether extract and NFE, but are constant for crude fibre (= 1.0). The mode of correction and the correction factors which have to be used vary for forages and concentrates. For forages the raw starch value is corrected by the crude fibre correction factor, for concentrates by the value number.
Starch equivalents are calculated using codes assigned on the basis of correction factors when the feeds are first described.
The basis of Kellner's system with steers is the amount of fat produced over maintenance by pure nutrients added.
The amount is:
248 g per kg metabolized starch
235 g per kg metabolized protein
474 g per kg roughage fat
526 g per kg grain fat
598 g per kg oil meal fat.
Using the carbohydrate unit as base, the correction factors for the respective fat sources will be: 1.91, 2.12, and 2.41.
Table 9 Regression Equations to Estimate Total Digestible Nutrients 1/
|
Animal kind |
Feed class |
Equation |
|
Cattle |
1 |
* %. TDN = 92.464 - 3.338 (CF) - 6.495 (EE) - 0.762 (NFE) + 1.115 (Pr) + 0.031 (CF)2 - 0.133 (EE)2 + 0.036 (CF) (NFE) + 0.207 (EE) (NFE) + 0.100 (EE) (Pr) - 0.022 (EE)2 (Pr) |
|
2 |
* % TDN = -54.572 + 6.769 (CF) - 51.083 (EE) + 1.851 (NFE) - 0.334 (Pr) - 0.049 (CF)2 + 3.384 (EE)2 - 0.086 (CF) (NFE) + 0.0687 (EE) (NFE) + 0.942 (EE) (Pr) - 0.112 (EE)2 (Pr) |
|
|
3 |
* % TDN = -72.943 + 4.675 (CF) - 1.280 (EE) + 1.611 (NFE) + 0.497 (Pr) -0.044 (CF)2 - 0.760 (EE)2 - 0.039 (CF) (NFE) + 0.087 (EE) (NFE) - 0.152 (EE) (Pr) + 0.074 (EE)2 (Pr) |
|
|
4 |
* % TDN = - 202.686 - 1.357 (CF) + 2.638 (EE) + 3.003 (NFE) + 2.347 (Pr) + 0.046 (CF)2 + 0.647 (EE)2 + 0.041 (CF) (NFE) - 0.081 (EE) (NFE) + 0.553 (EE) (Pr) - 0.046 (EE)2 (Pr) |
|
|
5 |
* % TDN = - 133.726 - 0.254 (CF) + 19.593 (EE) + 2.784 (NFE) + 2.315 (Pr) + 0.028 (CF)2 - 0.341 (EE)2 - 0.008 (CF) (NFE) - 0.215 (EE) (NFE) - 0.193 (EE) (Pr) + 0.004 (EE)2 (Pr) |
|
|
Horses |
1 |
* % TDN = 52.476 + 0.189 (CF) + 3.010 (EE) - 0.723 (NFE) + 1.590 (Pr) - 0.013 (CF)2 + 0.564 (EE)2 + 0.006 (CF) (NFE) + 0.114 (EE) (NFE) - 0.302 (EE) (Pr) - 0.106 (EE)2 (Pr) |
|
Sheep |
1 |
* % TDN = 37.937 - 1.018 (CF) - 4.886 (EE) + 0.173 (NFE) + 1.042 (Pr) + 0.015 (CF)2 - 0.058 (EE)2 + 0.008 (CF) (NFE) + 0.119 (EE) (NFE) + 0.038 (EE) (Pr) + 0.003 (EE)2 (Pr) |
|
2 |
* % TDN = - 26.685 + 1.334 (CF) + 6.598 (EE) + 1.423 (NFE) + 0.967 (Pr) - 0.002 (CF)2 - 0.670 (EE)2 - 0.024 (CF) (NFE) - 0.055 (EE) (NFE) - 0.146 (EE) (Pr) + 0.039 (EE)2 (Pr) |
|
|
3 |
* % TDN = - 17.950 - 1.285 (CF) + 15.704 (EE) + 1.009 (NFE) + 2.371 (Pr) + 0.017 (CF)2 - 1.023 (EE)2 + 0.012 (CF) (NFE) - 0.096 (EE) (NFE) - 0.550 (EE) (Pr) + 0.051 (EE)2 (Pr) |
|
|
4 |
* % TDN = 22.822 - 1.440 (CF) - 2.875 (EE) + 0.655 (NFE) + 0.863 (Pr) + 0.020 (CF)2 - 0.078 (EE)2 + 0.018 (CF) (NFE) + 0.045 (EE) (NFE) - 0.085 (EE) (Pr) + 0.020 (EE)2 (Pr) |
|
|
5 |
* %. TDN = - 54.820 + 1.951 (CF) + 0.601 (EE) + 1.602 (BFE) + 1.324 (Pr) - 0.027 (CF)2 + 0.032 (EE)2 - 0.021 (CF) (NFE) - 0.018 (EE) (NFE) + 0.035 (EE) (Pr) - 0.0008 (EE)2 (Pr) |
|
|
Swine |
4 |
* % TDN = 8.792 - 4.464 (CF) + 4.243 (EE) + 0.866 (BFE) + 0.338 (Pr) + 0.0005 (CF)2 + 0.122 (EE)2 + 0.063 (CF) (NFE) - 0.073 (EE) (NFE) + 0.182 (EE) (Pr) - 0.011 (EE)2 (Pr) |
1/ In the equation CF = Crude fibre; EE = ether extract; NFE = nitrogen free extract;
Pr = Protein; taken from Harris et al. (1972)
The mode of correction and the correcting factors which have to be used vary also from one feed group to another. The mode of correction can be either the use of a crude fibre correction factor or the use of a value number. Further details of this system are available from INFIC Centres.
(x) Digestible Protein
Digestible protein is calculated for each kind of animal by the usual formula:
(a)
(b) or by equations in Table 10 when protein digestion coefficients are not available.*(xi) Amino Acids and Fatty Acids
If amino acids are reported on a protein basis (g/16g N) they are converted to percent amino acid in dry matter of feed. If fatty acids are reported on a fat basis (g fatty acids/ 100 g fat) or fatty acid basis (g fatty acids/100 g fatty acids) they are converted to a percent fatty acid in dry matter. If it is desired to report amino acids or fatty acids on a ratio basis this information is calculated on the computer as follows:
(xi) Vitamin A Standards
The international standard for vitamin A activity as related to vitamin A and beta-carotene are as follows:
One International Unit (IU) of vitamin A
= the vitamin A activity of 0.300 microgramme of crystalline vitamin A alcohol (retinol) which corresponds to 0.344 microgramme of vitamin A acetate or 0.550 microgramme of vitamin A palmitate.Beta-carotene is the standard for provitamin A. One IU of vitamin A = 0.6 microgramme of beta-carotene.
One microgramme of beta-carotene = 1.667 IU of vitamin A.
International standards for vitamin A are based on the utilization of vitamin A and beta-carotene by the rat. Because the various species do not convert carotene to vitamin A in the same ratio as rats, it is suggested that the conversion rates in Table 11 be used.
Table 10 - Equations Used to Estimate Digestible Protein (Y) from Protein (X) for Five Animal Kinds and Four Feed Classes 1/
|
Animal kind |
Feed class |
Regression equation |
|
Cattle |
1 |
Y = 0.866 X - 3.06 |
|
Cattle |
2 |
Y = 0.850 X - 2.11 |
|
Cattle |
3 |
Y = 0.908 X - 3.77 |
|
Cattle |
4 |
Y = 0.918 X - 3.98 |
|
Goats |
1 & 2 |
Y = 0.933 X - 3.44 |
|
Goats |
3 |
Y = 0.908 X - 3.77 |
|
Goats |
4 |
Y = 0.916 X - 2.76 |
|
Horses |
1 & 2 |
Y = 0.849 X - 2.47 |
|
Horses |
3 |
Y = 0.908 X - 3.77 |
|
Horses |
4 |
Y = 0.916 X - 2.76 |
|
Rabbits |
1 & 2 |
Y = 0.772 X - 1.33 |
|
Sheep |
1 |
Y = 0.897 X - 3.43 |
|
Sheep |
2 |
Y = 0.932 X - 3.01 |
|
Sheep |
3 |
Y =0.908 X - 3.77 |
|
Sheep |
4 |
Y = 0.916 X - 2.76 |
1/ Knight, et al. (1966)
Table 11 - Conversion of Beta-Carotene to Vitamin A for Different Species 1/
|
Species |
Conversion of mg of Beta-Carotene to ID Vitamin A |
IU of Vitamin A Activity (calculated from carotene), % |
|
|
mg IU |
|||
|
Standard |
1 = 1,667 |
100.0 |
|
|
Beef cattle |
1 = 400 |
24.0 |
|
|
Dairy cattle |
1 = 400 |
24.0 |
|
|
Sheep |
1 = 400-500 |
24.0-30.0 |
|
|
Swine |
1 = 500 |
30.0 |
|
|
Horses |
|||
|
|
growth |
1 = 555 |
33.3 |
|
|
pregnancy |
1 = 333 |
20.0 |
|
Poultry |
1 = 1,667 |
100.0 |
|
|
Dogs |
1 = 833 |
50.0 |
|
|
Rats |
1 = 1,667 |
100.0 |
|
|
Foxes |
1 = 278 |
16.7 |
|
|
Cat |
Carotene not utilized |
- |
|
|
Mink |
Carotene not utilized |
- |
|
|
Man |
1 = 556 |
33.3 |
|
1/ Beeson (1965)
5.1 Chemical Characteristics
5.2 Non-chemical Characteristics of Energy Feeds
5.3 Quality in Energy Feeds
According to the notation in the outline classification, energy feeds are low-protein concentrates. The upper limit for protein is conveniently set at 20 percent, because this figure then includes wheat bran which is otherwise difficult to classify. However, it is the entire seed of the cereals that is the typical energy feed./ If an average is taken of the protein, fat, fibre, TDN, Ca and P figures for the six common grains (barley, corn, milo, oats, rye and wheat), a workable chemical description of an energy feed in terms of those nutrients and proximate principles most useful in determining its proper place in a livestock ration will result. Such data are shown in Table 12.
Table 12 Typical Composition of Cereal Grains
|
Feed Name |
Crude Protein |
Ether extract |
Carbohydrate |
|||
|
Total (%) |
Dig for swine (%) |
Chemical score |
(%) |
Crude fibre (%) |
N-free extract (%) |
|
|
Barley, grain |
11.6 |
8.2 |
20 |
1.9 |
5.0 |
68.2 |
|
Corn, grain |
9.3 |
7.5 |
28 |
4.3 |
2.0 |
71.2 |
|
Oats, grain |
11.8 |
9.9 |
464 |
4.5 |
11.0 |
58.5 |
|
Rye, grain |
11.9 |
9.6 |
50 |
1.6 |
2.0 |
71.8 |
|
Sorghum, milo, grain |
11.0 |
7.8 |
- |
2.8 |
2.0 |
71.6 |
|
Wheat grain |
12.7 |
11.7 |
37 |
1.7 |
3.0 |
70.0 |
|
Average |
11.4 |
9.1 |
- |
2.8 |
4.2 |
6.8 |
|
Feed name |
Energy |
Minerals |
||||||
|
Cattle |
Swine |
Calcium (%) |
Phosphorus (%) |
|||||
|
DE (kcal/kg) |
ME (kcal/kg) |
TDN (%) |
DE (kcal/kg) |
ME (kcal/kg) |
TDN (%) |
|||
|
Barley, grain |
3257 |
2671 |
74 |
3080 |
2876 |
70 |
00.08 |
0.42 |
|
Corn, grain |
3659 |
2927 |
81 |
3569 |
3351 |
81 |
0.02 |
0.29 |
|
Oats, grain |
2982 |
2446 |
68 |
2860 |
2668 |
65 |
0.10 |
0.35 |
|
Rye, grain |
3336 |
2735 |
76 |
3300 |
3079 |
75 |
0.06 |
0.34 |
|
Sorghum, milo, grain |
3139 |
2475 |
71 |
3453 |
3229 |
78 |
0.04 |
0.29 |
|
Wheat, grain |
3453 |
2832 |
78 |
3520 |
3277 |
80 |
0.05 |
0.36 |
|
Average |
3289 |
2698 |
75 |
3297 |
3080 |
75 |
0.06 |
0.34 |
5.1.1 Protein
From the above table it will be seen that an energy feed is likely to contain about 12 percent crude protein of which between 75 and 80 percent is digestible. (Throughout this section digestible refers to apparent digestibility unless otherwise stated.)
In practice , one will not go far astray by assuming energy feed protein to be 75 percent digestible. The quality of the protein of energy feeds is uniformly low as measured by any scheme that rates biological value numerically. All feeds of this group show lysine as their first limiting amino acid, which is of importance in the choice of a protein supplement to be used in a balanced ration. It also explains why substitution between energy feeds is not likely to alter appreciably the protein quality of the mixture.
5.1.2 Ash
Energy feeds are low in calcium. In practice, they are often neglected in making calculations for calcium supplementation. The content of phosphorus, on the other hand, is enough that some classes of pigs, and sometimes cattle and sheep also, need no special supplements, but this will depend on the kind and amount of roughage also fed to the herbivorous species.
5.1.3 Carbohydrates
About two thirds of the weight of the seed is likely to be starch, which will usually be about 95 percent digested. Not only is this high concentration of easily digested carbohydrate the distinguishing feature of energy feeds, but variation in this characteristic determines the consequences of substituting among feeds of this category.
5.1.4 Fat
The cereal grains belonging to the energy feeds normally contain from 2 to 5 percent ether extract, but a few by-product feedstuffs contain up to 13 percent fat, as does rice feed, the mill-run by-products of the manufacture of polished rice. Oat groats contain 7 or 8 percent fat, as does corn, hominy feed. The-fat of non-oily seeds is concentrated in the germ, and any processing that removed an appreciable proportion of the protein or carbohydrate, but not of the germ will leave a by-product with higher fat content than the parent seed. A knowledge of the processing involved in the production of a by-product feed is often helpful in understanding the composition of the product. The official definition of feeds may partially define the processing of by-products, as will the international feed names.
The production of starch, on the other hand, involves a wet-milling process. The corn grain, after being softened with warm water and slightly acidified, is partly macerated and then allowed to soak in water in large tanks. The germ, because of its oil content, floats to the top, where it is removed, defatted, and dried into corn germ meal. The residue from the germ separation is reground and sifted to remove the hulls, bran tip cap, and other fibrous material. The gluten and starch are removed from the remaining mass in suspension and later separated centrifugally. The coarse residue made up of hulls, bran, etc.
5.1.5 Crude fibre
The average crude fibre of the energy feeds is about 6 percent but individual feeds vary considerably. The upper limit for concentrates is taken as 18 percent, partly because in Canada - by legal definition - feeds with over 18 percent fibre must be registered as roughages. In particular, the coarse grain (barley and oats) may show wide deviations in fibre from sample to sample, ordinarily because of either an increase in hull or a decrease in the starch filling of the groat. Differences in fibre affect markedly their available energy value and hence their relative feeding value. The most important consequence of substitution between energy feeds is usually traceable to differences in the crude fibre of the products. Fibres of different origin are often quite different nutritionally (see Table 13).
Table 13 Digestibility of Crude Fibre
|
Crude fibre from; |
Class |
Coefficient of digestibility (%) |
|
|
Common name |
International feed name 1/ |
||
|
Wheat |
Wheat, grain |
4 |
33 |
|
Wheat bran |
Wheat, bran, dry milled |
4 |
36 |
|
Wheat shorts |
Wheat, flour by-product, 7 fibre |
4 |
60 |
|
Oats |
Oats, grain |
4 |
32 |
|
Rolled oats |
Oats, cereal by-product, ground more than 2 fibre |
4 |
80 |
|
Oat clippings |
Oats, grain, clippings |
1 |
58 |
|
Oat hulls |
Oats, hulls |
1 |
40 |
|
Barley |
Barley, grain |
4 |
45 |
|
Barley feed |
Barley, pearl by-product, ground |
4 |
18 |
|
Brewer's grain |
Grains, brewer's grain, dehy |
5 |
49 |
|
Malt sprouts |
Barley, malt sprouts, with hulls, dehy, more than 24 protein |
5 |
83 |
|
Flaxseed |
Flax, seeds |
5 |
84 |
|
Linseed oilmeal o.p. |
Flax, seed, mech extd ground |
5 |
50 |
|
Linseed oilmeal solvent |
Flax, seed, solv extd ground |
5 |
43 |
|
Soybeans |
Soybean, seeds |
5 |
37 |
|
Soybean oilmeal |
Soybean, seeds, solv extd toasted ground |
5 |
68 |
|
Corn |
Corn, grain |
4 |
30 |
|
Corn bran |
Corn, bran |
4 |
63 |
|
Corn gluten feed |
Corn, gluten with bran, wet milled dehy |
5 |
78 |
|
Corn oilmeal |
Corn, germ, dry milled, solv extd dehy |
5 |
82 |
|
Corn distillers' grains |
Corn, distillers grains, dehy |
5 |
64 |
1/ International feed names have been included to illustrate how much more information about a feed they give
It seems probable that processing which! involves soaking improves the digestibility of the fibre. The digestibility of the fibre of corn grain is 57 percent, but that of corn bran, corn gluten feed, corn oil meal, and corn distillers' grains ranges from 72 to 92 percent, with an average of 80 percent. Solvent extraction also appears to have improved the digestibility of the fibre of flaxseed and of soybeans.
These data are from ruminant digestion trials and may be too high for omnivora. Regardless of species of animal, any part of the apparent utilization of the fibre of these feeds, not due to chemical error, must be due to attack by digestive system microflora. One might argue that the unprocessed fibre of seeds, which in its natural state is an outer protective coating of the seed, is relatively resistant to bacterial attack. This resistance may be due to lignification, or to waxy, horny, or other weather-resistant coatings. In the milling or wet processing of such seeds, some of these coatings may be partially disintegrated or dissolved, thus exposing the cellulose to easy attack by microorganisms of the digestive system. 'Digested' crude fibre, of course, yields as much energy to the animal as digested starch.
Thus, although we may not be able to predict the reaction of the animals to a change in the source of crude fibre in a ration, we can usually trace the important changes in the feeding value of a ration that are caused by energy feed substitution, directly or indirectly, to the crude fibre. It is also generally true that amount of fibre and of available energy of energy feeds of feed mixtures are negatively correlated. Thus, raising the percentage of fibre means greater bulkiness and lower available energy, which in turn demand larger amounts of feed. In other words, high-fibre feeds are relatively less efficient sources of productive energy.
5.2.1 Bulk
In a general consideration of characteristics of energy feeds as a group, there are some non-chemical characteristics we should mention. The first one in order of importance is probably bulkiness. A bulky feed is relatively low in its yield of biologically available energy. We can usually assume safely that among energy feeds DE or TDN is positively correlated with bulk density. The reason for this relationship is ordinarily traceable to the percentage of fibre in the feed, because of the four potential energy-yielding fractions, crude fibre is likely to be the least digestible. We get an idea of the situation from examining a few typical energy feeds, though we can interpret the figures only in general terms, for two reasons. First, figures for weight per unit volume of ground energy feeds are subject to considerable error, because of the difficulty in controlling the degree of packing of the feed when filling the measure; and second, values for the TDN of specific feeds are determined directly or indirectly. In Table 14 we present typical data for TDN, bulk density and percent of crude fibre of a few of the more common energy feeds. Figure 3 shows the trends of these relationships graphically.
Table 14 Relationship of TDN, Bulk Density, and Percent of Fibre in Some Ground Energy Feeds
|
Feed |
TDN (swine) |
Bulk density (g/litre) |
Percent of fibre |
|
Wheat, grain |
80 |
810 |
4 |
|
Corn, grain |
80 |
750 |
2 |
|
Rye, grain |
75 |
750 |
2 |
|
Barley, grain |
70 |
560 |
6 |
|
Oats, grain |
65 |
355 |
10 |
|
Wheat, standard middlings |
64 |
385 |
7 |
|
Wheat, bran |
57 |
255 |
9 |
|
Oat, mill feed |
23 |
150 |
27 |
The significance of these relationships lies in the consequences of substitutions between energy feeds in a meal mixture formulation. Obviously the use in a meal mixture of a bulky feed in exchange for a heavier one will mean a lowering of the TDN of the mixture; consequently, more of the new mixture will be needed to meet the total energy needs of an animal. Put into other terms, bulky feeds are less efficient when we measure efficiency as feed required per unit of gain for an animal or for its production.
Fig. 3 Relationship of TDN of swine feeds to weight per unit volume and to percent of crude fibre, × = intercept of TDN and percent of crude fibre of a feed; o = intercept of TDN and pounds per quart of the same feed. Regression fitted by inspection.
Simple restriction of total feed allowance has undesirable effects on animals' behaviour. They are continuously hungry and hence restless and perhaps irritable. If they are in groups, feed restriction leads to fighting for food and to the uneven distribution of the limited supply between the more and less aggressive individuals. The stockman's way of solving this management problem is often to feed a light, bulky feed in quantities sufficient to satisfy appetite, but at the same time to restrict the intake of TDN as desired. Thus, wheat bran, alfalfa meal, oat feed, etc., are sometimes deliberately incorporated in a mixture because of their low available energy. Such rations can be self-fed without the undesirable consequences of heavy intakes of more concentrated rations.
The more serious situation is where cost of feed versus cost of TDN is involved. Ordinarily, bulky feeds cost less per ton than dense feeds. If the price is in proper relation to the TDN it may matter little which feed is used. The increased quantity of feed needed to supply the available energy will be balanced by its lower cost per pound. Unfortunately, feeders may not have the data necessary to determine the equivalent values. For many samples of feed no data may be available.
The problem of bulkiness of feeds arises again in the feeding of very young animals, which, because of limited gastric capacity, cannot consume enough of a bulky feed to meet their energy needs for the rate of growth desired. High fat in a man-made ration, however, is often a liability because of its unstable nature. Experiments with puppies weaned at two weeks, guinea pigs at two days, pigs at ten days, and calves at two weeks, all show that self-fed, dry, low-fat rations can permit as rapid gains in body weight and be nutritionally as satisfactory as liquid milk in all other ways. When such rations are fed as a water gruel, the progress of the young is less satisfactory, unless enough fat is incorporated to maintain, in spite of the water dilution, the energy level at that of the dry meal.
Sample-to-sample variation in quality is a special problem with energy feeds. The important feeds of this group fall into two subgroups of crude fibre. Corn, wheat, and rye or a type of plant seed that is without an enveloping hull make up one group. Barley and oat kernels, on the other hand, after threshing, remain encased in their flowering glumes, and because of this attribute, they are referred to as coarse grains. Because of this division of energy feeds, it may be helpful in considering quality to discuss in some detail the characteristics that give various energy feeds their special nutritional properties or that require consideration in making substitutions in ration formulation.
5.3.1 Corn (maize)
Of the energy feeds of the low-fibre group, corn is the key feed in livestock rations. As seen in Table 15, it is the lowest in crude protein and highest in available energy. Under favourable conditions of growth, a hectare in corn will produce about twice as much TDN, or useful energy, as in any other cereal grain. This high production is an economic consideration and makes it clear why corn is so important a crop in areas having climatic conditions favourable for its growth.
Table 15 Relative Values of Energy Feeds as Carbohydrate Concentrates
|
Grain |
Percent of protein (Morrison) |
Percent of net energy (Morrison) |
Total feed value (Kellner) |
|
Corn (maize), grain |
74 |
100 |
100 |
|
Barley, grain |
91 |
86 |
98 |
|
Kafir, grain |
92 |
93 |
- |
|
Milo, grain |
87 |
93 |
- |
|
Oats, grain |
92 |
88 |
95 |
|
Rye, grain |
74 |
86 |
97 |
|
Wheat, grain |
100 |
97 |
95 |
The nutritional properties of corn cannot be dealt with so simply. Corn, like all other grains, is subject to variation in make-up because of varietal differences and the specific conditions under which it is grown and harvested. Locally produced samples may differ from published average figures for chemical composition.
The figures for the make-up of corn may be more meaningful if we look at them in relation to the recommended proportions of nutrients in a meal mixture for market pigs. Of course, the comparisons must be general, because rations for other classes of stock will differ from those for a market pig.
We can see at once from Table 16 that if corn is introduced into a balanced ration, it will lower the protein, calcium, phosphorus, manganese, and niacin. It is generally recognized that the quality of protein in corn will not meet non-herbivore needs. When corn is used for cattle or sheep feeding the calcium and sometimes the phosphorus may be adequately provided by the roughage, and the quality of protein is, of course, not an important factor. But as a source of energy, regardless of how one chooses to measure it, corn stands at the top among the energy feeds. For cattle feeding, perhaps other than for adult breeding stock, the feeding problem we meet most commonly is how to provide enough energy to permit growth, production or fattening.
High energy may be a liability, for there are situations where the animal or the product may be subject to damage by rations of high energy. For market-hog feeding the high energy of corn will, under full or self-feeding, produce a carcass with more fat than is desired for so-called "lean" bacon. The rashers from corn-fed carcasses are also likely to have a smaller "eye of lean" as has been shown in experiments at Macdonald College (see Figure 4). This overfinish occurs merely because the more rapid gains in weight have brought the pigs to market weight at younger ages and hence with less muscle development that would be found on older pigs.
As we might expect from their nutrient make-up, wheat shows the same tendency as corn to fatten, while oats, which have five or six times as much crude fibre and about 20 percent less TDN (for swine) produces a bacon rasher with 40 percent more lean and 50 percent larger "pork chop" eye of lean.
Fig. 4 Typical bacon rasher from between third and fourth lumbar vertebrae for differing diets. (Oat fed)
Fig. 4 Typical bacon rasher from between third and fourth lumbar vertebrae for differing diets. (Wheat fed)
Fig. 4 Typical bacon rasher from between third and fourth lumbar vertebrae for differing diets. (Barley fed)
Fig. 4 Typical bacon rasher from between third and fourth lumbar vertebrae for differing diets. (Corn fed)
Table 16 Proximate Composition of Hull and Groat of Oats and Barley
|
Feed |
Percent of crude protein |
Percent of fat |
Percent of fibre |
Percent of TDN (ruminant) | |
|
Oats | |||||
|
|
grain |
12.6 |
5.2 |
8.9 |
67.0 |
|
|
hull |
2.7 |
1.1 |
30.3 |
33.0 |
|
|
groat |
15.9 |
5.9 |
1.9 |
92.0 |
|
Barley | |||||
|
|
grain |
11.9 |
2.4 |
4.5 |
76.0 |
|
|
hull |
5.9 |
1.3 |
26.4 |
41.0 |
|
|
groat |
11.6 |
2.0 |
2.4 |
78.0 |
Economically the variation in the protein percentage of corn may be highly important. In compounding batches of balanced rations, much more protein supplement may be needed with low-protein corn than with high-protein corn to prepare a mixture of some desired percentage of protein. Assume a ration is to be compounded with corn as the energy feed plus a mixed protein, and that a final mix of 15 percent protein is wanted. We calculate as follows:
Case I
Case II
Two other characteristics of corn should be mentioned. The one concerns its fat (or ether extract) content, which is higher than the average of energy feeds. This is both an asset and a liability. There is little doubt that a part of the acceptability of corn to animals is traceable to its fat component, not on the physical nature of the ground grain. Ground corn is not dusty and, unless ground to an abnormally fine module, does not become pasty with mastication. Although there is no direct proof that the high palatability of corn to all classes of stock is traceable to the fat, it is probably significant that in feeding studies at Macdonald College the addition of about 5 percent vegetable oil improved the acceptability of dry, low-fat diets for young pigs, puppies and guinea pigs. Without the oil the rations contained about 2 percent ether extract. That the oil did not improve the diets otherwise is evidenced by the fact that they were no more efficient per calorie in producing weight gains than the low-fat mixtures.
The high fat level, however, can be a distinct liability, since ground corn goes rancid easily. The effect may be slight, and may represent merely a superficial loss of palatability, or it may be extensive enough to result in heating or molding with the attendant loss in nutritive value. In general, ground corn cannot be stored without risk of such damage.
The other characteristic of corn is its moisture content. Samples of corn as harvested are likely to vary more in water content than those of any other grain. They may range from 8 percent water for fully mature corn to 35 percent for frosted immature grain. Ear corn containing over 25 percent water, and shelled corn containing more than about 15 percent, will not store without damage in the usual types of cribs or bins. Aside from the effect of moisture content on storage, the nutritive value of the grain will decline as it is "diluted" with more and more water.
5.3.2 The coarse grains
As we have already implied, it is the glume on the hull that accounts for the higher fibre of the so-called coarse grains, as is clearly shown in Table 16, giving the pertinent data for barley and for oats.
The difficulty with these grains is that the proportions of groat to hulls are widely variable within the species, and are further modified by seasonal growing conditions. Not only do the seeds themselves vary but the crops as harvested may include, in addition to the grain intentionally planted, the seeds from an assortment of other plants of volunteer origin from a previous crop or from weed impurities in the planting grain. Corn (maize) and wheat are relatively free (or are easily freed) from such contaiminants, but with barley and oats purity of sample is often a factor influencing feeding value.
5.3.3 Barley
Many of "the problems of nutritional quality in energy feeds are particularly well-illustrated by barley as it is grown, sold, and used in Canada. This grain may be grown for malting purposes or for feeding livestock. The Canadian scheme by which the producer is paid for barley delivered to elevators involves a grading according to the purity of the crop, its variety, and its soundness. Samples, which because of admixtures of seeds from grains other than barley, or because of frost or heating damage or poor filling of kernels, are not suitable for malting, are classed as feed barley.
There are three U.S. grades for feed barley. They are partially defined in Table 17. As we can see from this table, no. 1 feed barley is essentially pure barley, but because of frosting or for some other reason it is below the standard weight of 48 lb per measured bushel for malting barley. Barley is also found in this category because of variety and is not suitable for malting. (Some varieties of barley peel too easily and, consequently, are not wanted in malting grades.) Barley that is still lighter in weight per bushel and that may also contain up to 10 percent other material is classed as no. 2 feed. The no. 3 feed grade has no minimum weight per bushel and, furthermore, need only be 80 percent in purity.
Table 17 Partial Description of Feed Grades of Western Canadian Barley
|
Grade name |
Minimum lb per bushel |
Maximum tolerance of foreign material |
|||
|
Percent of weed seeds (to large to pass 4/64 screen) |
Percent of wild oats |
Percent of other grains |
Percent of total foreign material not to exceed |
||
|
No. 1 feed |
46 |
1 |
4 |
4 |
4 |
|
No. 2 feed |
43 |
2 |
10 |
10 |
10 |
|
No. 3 feed |
- |
3 |
20 |
20 |
20 |
The botanical make-up of the foreign material in barley as harvested (presuming pure barley was seeded) will depend largely on what crop was grown on the area the year immediately preceding and on the extent of the weed pollution. An extensive survey of the 1949 Western Canada barley crop deliveries to county elevators yielded the figures in Table 18 on purity and chief grain diluents.
Table 18 Botanical Make-up of Barley as Harvested
|
Percent of oats |
Percent of wheat |
|||||
|
0 |
5 |
11 |
15 |
20 |
25 |
|
|
0 |
52 |
11 |
2 |
0.5 |
0.5 |
0.5 |
|
5 |
12 |
4 |
2 |
|
0.5 |
|
|
10 |
8 |
2 |
1 |
|
|
|
|
15 |
1 |
1 |
0.5 |
|
|
|
|
20 |
0.5 |
|
|
|
|
|
|
25 |
0.5 |
|
|
|
|
|
Table 18 indicates that a little more than half the individual crops as harvested were essentially pure barley, and balance of the crops on the whole would be similar in feeding characteristics to mictures containing 80 percent barley. Similar surveys in subsequent years revealed the same distribution of the "barleys as harvested". All commercial Canadian feed barley contains approximately the maximum tolerance of nonbarley. This is accomplished by blending at terminal elevators, sometimes with wild oats and coarse grains removed from wheat.
To describe the feeding value of barley as this crop actually appears in commercial channels in Canada is, consequently, not a simple matter. To be realistic we must consider under the name barley at least four products:
(1) Pure barley (including No. 1 feed grade).(2) Barley containing 9 percent of an unspecified combination of oats, wild oats, wheat, or flax plus 1 percent coarse weed (no, 2 feed grade).
(3) Barley containing 17 percent of an unspecified combination of oats, wild oats, wheat, or flax plus about 3 percent coarse weed seeds (no. 3 feed grade).
(4) Barley as harvested on the farm.
There is a further complication, in that the proportion of oats vs. wheat within tolerance of "other grains" may appreciably affect the feeding value of the barley, oats tending to reduce and wheat to increase the available energy of the final mixture.
The Canadian grading scheme is of interest here only because it brings out clearly the difficulties of describing with any simple index the feeding value of a particular sample of a coarse grain. The variability in the purity of the barley is itself an important factor, and one that neither the name nor the usual chemical analysis defines. In addition, its protein may run from 9 to about 16 percent, its crude fibre from 2.5 to 8.5 percent, its weight per bushel from less than 40 to over 50 lb, and its TDN from 62 to 81 percent. With this range of variability, both botanical and chemical, it is not surprising that the performance of animals fed on rations composed chiefly of barley may not always be according to book specifications.
All barleys are, nevertheless, energy feeds and as such are used in livestock rations primarily as sources of energy.
As measured by the nutritional needs of animals, all barleys are deficient in salt, calcium, phosphorus, iron, iodine, and cobalt, and in vitamins A and D. Except for herbivorous animals, barley also requires supplementation with protein if it contains less than about 12 percent protein, and in all cases to improve its quality by increasing particularly the lysine content.
There is no evidence that, once animals are accustomed to it, pure barley is less acceptable than any other entire cereal grain. Contamination with weed seeds will adversely affect its palatability, and use of such samples may explain the lower opinion some feeders have of barley than is justified by results with clean samples. Barley is frequently planted on wheat land that has become fouled with weeds, and among wheat raisers it is referred to as a cleaning crop. Thus, more weed seeds. Barley meal made from such tow-grade grain may be unpalatable, but this should not be changed to a characteristic of the barley itself.
Nutritionally the limit of its inclusion in specific livestock rations is set only by the quantities of other products that must be included to make good the nutritional deficiencies of the barley, except that for very young animals it may be desirable in some way to reduce the hull of the ration either by coarse grinding and sifting or by dilution with low-fibre feeds.
In practice, there are at least two uses to which barley is often put where the kind of other grain diluent may be of significance. When market pigs intended for lean bacon are finished on barley diluted with wheat, they tend to produce overfat carcasses. On the other hand, dilution of barley with oats tends to reduce the percentage of available energy and, consequently, tends to produce less fatterning. Similarly, non-producing stock being carried on maintenance rations can advantageously use the barleys of lower weight per bushel, such as oat or wild oat and light barley combinations.
Finally, it may be in order to call attention to the black sheep of the barley family - a product officially designated as barley feed. It consists of the mill-run residue from the production of pot and pearl barleys. The residue is barley hull plus the outer layers of the kernel that are polished off the dehulled grain to get rid of the bran and embryo portions. This product is of low feed value, having at best only two-thirds the digestible nutrients of typical barley. This is mentioned because it is sometimes illegally incorporated into barley-containing meal mixtures. Its presence will lower the efficiency of the feed containing it, both by reducing the acceptibility of the ration to the stock and by reducing available energy.
5.3.4 Oats
What has been said concerning the variability of barley as harvested applies, in general, to oats as energy feed, the chief difference being that whereas barley normally contains about 6 percent crude fibre, oats contains 10 or 11 percent. Oats, in other words, has a lower energy value than barley. Variation between samples is fully as great as with barley, and the consequences of the differences in weight per bushel follow the same pattern as those described for barley. The botanical make-up of "as harvested" Canadian oats is shown in Table 19.
Table 19 Botanical Make-up of "Oats" as Harvested
|
Percent of wild oats and chaff |
Percent of wheat and barley |
||||
|
Wheat: 0 |
Wheat: 5 |
||||
|
Barley: 0 |
Barley: 5 |
Barley: 0 |
Barley: 5 |
||
|
Wild oats: 0 |
chaff: 0 |
45a |
5 |
7 |
2 |
|
chaff: 5 |
9 |
2 |
2 |
|
|
|
Wild oats: 5 |
chaff: 0 |
11 |
1 |
3 |
|
|
chaff: 5 |
3 |
|
|
|
|
|
Wild oats: 10 |
chaff: 0 |
2 |
|
|
|
|
chaff: 5 |
|
|
|
|
|
a/ read as "45% of crop contained 0% wild oats, 07, wild oats, 0% chaff, 07, wheat, and 0% barley"
There is no experimental evidence to support the contention put forward by some feeders that oats has any special nutritional virtue for any particular class of stock. It is true that the hull of the oat is somewhat softer and perhaps less irritating in the digestive tract then the hull of barley. Barley groats, oat groats, wheat, polished rice, and corn all are rich sources of available energy and have about equivalent feeding value in the ration. The chief differences in these grains as feeds are traceable to the proportions of the hull, more specifically, to the percentage of crude fibre.
5.3.5 Buckwheat
Perhaps the only other feed that requires special mention is buckwheat. First we should call attention to the problem of names of buckwheat products.
The offal of buckwheat milling consists primarily of black hulls and middlings, the latter made up of the seed coat, the adhering endosperm, and the embryo. The hulls, which represent almost 30 percent of the weight of the entire buckwheat, have little feeding value. The middlings are rich in protein and fat, which are derived chiefly from the aleurone layers and the embryo, tissues. So-called buckwheat feed is a mixture of hulls and middlings. The proximate composition of these three products as given by Winton is in Table 20. We can see that entire buckwheat is an energy feed, buckwheat feed a roughage, and the middlings a protein supplement.
The one particular feature that we should mention here is that products containing the hulls are likely to contain enough of a photoporphyrine to cause light sensitization in white-skinned animals. When exposed to the sun a rash may develop of such severity as to adversely affect the performance of the animals.
Entire buckwheat is frequently incorporated into poultry scratch grain mixtures but is less often used for other classes of stock. Buckwheat middlings, however, is a common feedstuff in districts where buckwheat growing is a regular practice. The hulls, because of their woodly nature, are particularly indigestible and practically useless for feeding purposes.
Table 20 Proximate Composition of Buckwheat By-products (All figures are percentages)
|
|
Water |
Protein |
Fat |
Fibre |
N-free extract |
Ash |
|
Entire seed |
12.6 |
10.0 |
2.2 |
8.7 |
64.4 |
2.1 |
|
Hulls |
6.5 |
7.8 |
1.4 |
33.6 |
47.1 |
3.6 |
|
Middlings |
10.0 |
26.7 |
7.2 |
6.8 |
44.6 |
4.7 |
|
Flour |
12.0 |
6.4 |
1.2 |
0.5 |
79.5 |
0.9 |
|
Feed |
10.0 |
15.9 |
4.1 |
22.0 |
44.8 |
3.2 |
5.3.6 Wheat bran and other wheat milling by-products
Wheat bran has had a rather checkered career as a feedstuff. Originally discarded as a worthless offal from the milling of wheat for flour, it was suggested and eventually popularized as a livestock feed. Its light, bulky nature, its 16 percent high-quality protein (a chemical score equal to that of beef muscle), and its high phosphorus content give bran a unique place in livestock feeding. About 40 percent of the wheat germ is in the bran, which accounts for its high-quality protein. Included in the herbivore ration, it provides supplementary phosphorus to correct the common shortage in the forage, and its cellulose-hemicellulose carbohydrate is an acceptable source of energy for these animals. Its bulk is often advantageous as a means of lightening a predominantly corn ration.
The bulkiness of bran is of special usefulness in the preparation of non-fattening rations, as for the bacon hog, to whom bran yields less energy than to cattle. Thus its introduction-into the meal mixture of market pigs during the last two months of feeding before slaughter curtails the energy intake and the fattening of the pig, without restricting the feed. Canadian experiments and practical experience have demonstrated that hog-finishing rations diluted with 25 percent wheat bran by weight can be self-fed to market pigs without leading to the excessively fat carcasses which otherwise result from self-feeding practices.
6.1 Products of Plant Origin
6.2 Protein Supplements of Animal and Marine Origin
As we indicate in the feed classification, the protein supplements of plant origin divide quite naturally into two subgroups - one containing the feeds with 20 to 30 percent total crude protein, the other those with 30 to 45 percent crude protein. In order to picture certain of the characteristics of these two groups of feeds, we have entered a few of the more common products belonging to each in Table 21.
Insofar as we can describe them by averages, we can see that the chief difference between these two types of supplements is in protein content, the higher protein being associated with a lower carbohydrate analysis. The 20 to 30 percent group is made up primarily of by-products-of wet milling, brewing, or distilling of corn or barley. These by-products tend to be high in crude fibre. The feeds of the other group are almost entirely residues of oil bearing seeds, which have been processed by chemical extraction or by expression to remove most of the oil. The noteworthy exception is corn gluten meal, one of the by-products of the wet milling of corn grain. This feed is low in fat, not because of solvent extraction, but because of a physical separation of the germ from the mash as one of the early steps is this milling process. The carbohydrate is relatively low.
Table 21 Typical Protein Supplements of Plant Origin (All figures are percentages)
Chemical scores show that the feeds in the 20 to 30 percent range have poorer-quality protein than those in the higher-protein category. Perhaps the reason for this difference is that less of the germ proteins are removed by fat extraction than by water treatments involved in wet milling or brewing. The feeds of this lower-protein group are by-products either of corn or barley, and the chief, or at least the first, limiting factor in their quality is a deficiency of lysine. Malt sprouts, however, present an exception to this rule; its protein is a combination of the proteins found in the barley grain and those of the newly sprouted root. At the moment there is no experimental evidence of qualitative differences between these two proteins, but there is every reason to believe that the proteins of the rootlet will be similar to those of leaf. We believe also that young leaf proteins may have a more complete amino-acid make-up than those in the seed of the plant.
6.1.1 Solvent-extracted oilseed residues
In spite of the over-all better quality, the first limiting amino acid of linseed and cottonseed is lysine, but with peanut meal the sulfur-containing amino acids, methionine and cystine, are relatively the more deficient, with lysine standing second. Soybean proteins, on the other hand, are probably the most complete of any of the plant seed proteins. Table 22 gives an idea of the amino acid distribution in the protein of the important feeds of this group.
It is evident, therefore, that supplementation of the energy feeds with any of the high-protein feeds of plant origin, except soybean meal, is not likely to improve biological values. Most of these feeds have a common deficiency in lysine, which sets an upper limit to their usefulness in rations of animals where protein quality must be considered.
6.1.2 Crude fibre
The feeds belonging to the lower-protein category are likely to have a higher crude fibre content than those of the oilmeal group. It is perhaps for this reason that: such products as brewers' grains, malt sprouts, and distillers' grains are not as commonly thought of as hog feeds. The higher fibre content is of less direct consequence in the dairy ration.
The important factor here is the bulkiness of the feed. Bulk becomes important in practical feeding of cattle because allowances are likely to be measured by volume rather than by weight. As a ration is made bulkier by the inclusion of light feeds, the quantity (by volume) of it required to yield the amount of digestible energy called for by the feeding standard increases rather rapidly.
6.1.3 Calcium and phosphorus
The calcium and phosphorus content of these protein supplements should be compared with the probable concentration required in the complete cattle ration. Feeding standards indicate that approximately 0.2 percent of the dry weight of the ration should consist of calcium, and similarly phosphorus. Daily allowances of good-quality roughage can be expected to supply all the calcium that cattle require. The importance of the concentration of this element in the feeds of the meal mixtures is, therefore, small. In any case, these feeds will usually constitute no more than 20 percent of the final meal mixture fed and their calcium content, therefore, will not be important in changing the calcium content of the ration.
The problem of phosphorus, however, is somewhat different. This element in feeds is quite likely to be correlated with protein content. Thus, high-protein feeds commonly provide more phosphorus than low-protein feeds. In general, the feeds of the 20 to 30 percent protein group supply about double the concentration of phosphorus that is required in the final ration of cattle stock, and the feeds of the 30 to 45 percent category supply somewhat more. Thus, as the protein level of the meal mixture is increased by the addition of protein supplements, the phosphorus is also augmented. This correlation does not necessarily mean that phosphorus supplement can be omitted from the meal mixtures of milking cows.
6.1.4 Effects of processing
It has been suggested that the by-product feeds are likely to be more constant in chemical make-up than the unprocessed energy feeds. There are, nevertheless, differences in the processes to which by-product feeds may have been subjected, some of which have a bearing on their effective nutritional values. Heat, for example, may be either detrimental or, beneficial, depending on the feed and on the amount of heat. Soaking the product and subsequent drying may also have an effect on the availability of some of the nutrients of the resulting products.
With feeds that are by-products of brewing or distilling, the heat involved is usually that necessary to dry the product. The cost of this operation is appreciable, and in some cases suppliers offer samples that have not been dried sufficiently to ensure that the feed can be safely stored. Storage in the usual warehouse of feeds that contain appreciably more than 12 percent moisture invites risk of spoilage. High-moisture samples should be priced so that the unit cost of dry matter is equivalent to that asked for normally dry samples.
With the oil-bearing seeds, heat is used for a somewhat different purpose. It may be applied intentionally, or it may be incidental to the process of fat extraction. In general, there are three oil-milling methods. The old process is more properly termed the mechanical extracted process; the seed is crushed into flakes and these are then subjected to steam cooking. The hot, wet mass is then spread in layers between heavy cloth and placed in a press, where as much of the oil as possible is squeezed out by pressure. The resulting cakes may then be broken into a granular form and sold as cake, or may be ground into a fine meal. In this process the residue still retains 5 percent or more fat.
The expeller process is also a mechanical process. The seed, after cracking and drying, is heated in a steam-jacketed apparatus, and subsequently the mass is subjected to pressure in a press. A considerable amount of heat is again ground into a meal. In the international nomenclature both of these processes are called mechanical extraction.
The solvent process is quite different. It employs a volatile fat solvent in which the flakes are soaked or washed. Once the oil has been thus removed, the residue is heated to remove the last traces of the solvent. Usually only about 1 percent fat remains in the oil meals prepared by this process. Oil meal prepared by solvent extraction may require further heating or "toasting" to improve digestibility. Whether or not this extra treatment is necessary depends on the particular protein involved.
Soybean protein is enhanced in feeding value for non-herbivorous animals by sufficient heat treatment to destroy a substance present in the soybean that otherwise inhibits proteolysis. There may also be some change in the protein molecule itself which increases the availability of the cystine and methionine. Experiments indicate that methionine in heated soybeans is more rapidly liberated by enzamatic action than with an unheated product. Soybean protein is not the only one that is improved in digestibility by cooking. The proteins of the navy bean and of the velvet bean are also. Where heat does improve protein value, temperature and time are of importance. Too severe treatment will undo the favourable effects of a milder treatment.
The proteins of most feeds, on the other hand, decrease in nutritive value when subjected to heat. Experimental evidence seems to indicate that when heating damages a protein, the damage is likely due to a destruction of lysine. Certain heated proteins are restored to their original value by additions of lysine. Lysine, in fact, is rather easily, damaged, and some evidence indicated that even mild drying of some proteins of animal origin may be detrimental. To come back to the oil meals, we know that cottonseed meal and peanut meal may be damaged by heat treatment, both in digestibility and in biological value.
Block and Mitchell (1946-47) came to the conclusion that food products whose unheated proteins rank lower by a biological assay than by chemical score will probably improve in biological value on heating; however; those food proteins whose biological assays and chemical rating show reasonable agreement are likely to be damaged in biological value by heating. Of the proteins that are ordinarily fed to livestock, only the proteins of soybean products appear to be improved by heating. The others are more likely to be damaged, primarily by destruction of lysine.
6.1.5 Fat
The fat content of oil-bearing seed by-products must be taken into account sometimes if they are to be used for certain classes of livestock. Most vegetable oils, if fed to meat animals in any appreciable amounts for a month or more previous to the slaughter of the animals, tend to produce soft, oily carcass fat. This is particularly objectionable in pigs. For hogs whose carcasses are to be made into bacon, heavy feeding of corn (of only 5 percent fat) during the finishing period may be sufficient to cause this softening of the fat. Thus the feeding of the oilseeds as grown on the farm is not ordinarily desirable. Extraction of the oil leaves a residue that may contain from almost none to 12 percent fat, depending on the process and the efficiency with which it is operating. Ground soybeans, ground peanuts, or other feeds of this type can be fed to cattle without undue penalty in carcass quality, but these products cannot safely be fed to finishing pigs. However, they are sometimes used for younger pigs.
Expeller oil meals will contain about 8 percent fat. The use of solvent extraction is increasingly common, with the result that the fat content of oil meals so treated is reduced to about 1 percent. This reduction of fat means an increase in protein and in carbohydrate concentration, but a reduction of about 5 percent in energy value. The alteration of protein level is great enough to be nutritionally and economically important, but the changes in the other nutrients are not likely to have measurable effects in the final ration.
Attention is also called to the high energy values for most of the products in this category. With the exception of brewers' grains and malt sprouts, the inclusion of almost any one of the protein supplements of plant origin in the typical rations of livestock' improves the TDN as well as the protein. Thus, where-they are of competitive price per unit of TDN, these feeds can be included for their energy value equally as well as the energy feeds. There is no acceptable evidence that excesses of protein, such as might be caused by supplementation of this kind, are likely to be of practical significance.
6.1.6 Toxic factors
Most of the oil meals are wholesome and palatable to all classes of livestock. An exception would be unheated soybean meal as an ingredient in the hog ration, but the toasted product is entirely satisfactory. Still, some precautions must be used with some of these oil meals.
Cottonseed meal - must be used cautiously with any but adult cattle, because of the poisonous gossypol which may be present in grades of meal that contain appreciable amounts of the cottonseed hulls. Low grades of cottonseed meal should be especially avoided with young animals, whose susceptibility to this poisoning is greater than that of older stock, and even the high-quality products should be avoided for pig feeding.
Rapeseed meal - contains glucosides, from which mustard oils may be formed in the digestive tract of animals under certain conditions. These oils are irritating and produce undesirable consequences when too much of them are included in livestock rations. In actual practice, the inclusion of much over 4 or 5 percent of rapeseed meal in livestock rations renders them unpalatable. Here, again, young animals (and possibly pregnant females) may be more susceptible than other classes to the harmful effects of rapeseed meal.
The special property that has been claimed for mechanically extracted linseed meal may be questioned. Raw linseed oil is sometimes used as a laxative with farm animals, and many statements have appeared to the effect that one of the beneficial effects of linseed meal can be traced to the 8 or 9 percent of oil in the product. This was supposed to help lubricate the digestive system and to correct the constipating effects of dry hay or similar feeds. There was also the belief that cottonseed meal tended to be constipating. Experimental evidence does not support the presumed difference between linseed meal and cottonseed meal in this respect. In fact, tests indicate that the rate of passage of diet residues through the digestive system of various kinds of animals is not differentially affected by the normal use of either of these feeds.
6.1.7 Soybean meal
The special role of soybean meal as a protein supplement requires comment. At least in North America, soybean meal has become the key feed smong the protein supplements of plant origin. The extent of its use in different parts of the U.S.A. and Canada at any one time is influenced by its price in relation to that of other oil meals. Because of its higher biological value, this feed has now replaced most of the meat meal, tankage, and fish meal, which were in the past the mainstay of protein quality in rations for non-herbivorous animals.
So far as the true biological value of the protein in soybean meal in concerned, it is interesting to compare its amino-acid make-up with that of the protein of milk and of linseed meal; the former is a protein of nearly perfect biological value, and the latter is a plant protein that is still the standard in many districts of North America. This comparison is given in Table 23.
Table 23 Partial Amino-acid Make-up of Soybean and Linseed Meal Dry Matter a/
|
Amino acid |
Soybean meal |
Linseed meal |
|
Lysine |
95 (76)b |
32 |
|
Tryptophane |
120 (96) |
120 |
|
Cystine |
160 (128) |
170 |
|
Methionine |
72 (57) |
88 |
|
Isoleucine |
117 (94) |
75 |
a/ Make-up of milk taken as 100 percent of each amino acid
b/ Figure in parentheses is for meal corrected to 34 percent crude protein
Considering the protein quality of soybean meal this leads to the conclusion that the chief advantage it has over linseed meal protein is its markedly greater concentration of lysine, the amino acid that is ordinarily the first deficiency in the energy feeds. The particular amino-acid distribution of this feed appears to be such that in combination with corn (and necessary mineral and vitamin supplements), it forms a ration in which little or no animal or marine protein is necessary for hog feeding. Thus, where high-grade fish meals or meat meals are not readily available or are not competitive in price, soybean meal offers a valuable alternate source of protein.
Analogous to the high-protein feeds of plant origin is a group of edible by-products of animal or fish origin. These are usually employed to improve the total protein of energy feeds but, in addition, they contribute a mixture of amino acids quite different from that characteristic of most proteins of plant sources. For example, plant-seed proteins are usually seriously deficient in lysine. Meat, milk, and fish proteins, however, are relatively rich in this amino acid, though they are likely to be short of the sulfur-containing cystine and methionine.
The products belonging in this high-product group are more diverse in protein level than are feeds of any other protein category. The individual feeds frequently have unique properties affecting or limiting their use. Some of these are indicated by chemical make-up, as shown in Table 24.
Table 24 Composition of Typical Feeds of Animal or Marine Origin (All figures are percentages)
|
Feed |
Protein |
Ether extract |
Ash |
TDN |
|||
|
Total |
Digestible |
Ca |
P |
|
|||
|
Meat meal |
53 |
48 |
10 |
8.0 |
4.03 |
68 |
|
|
Meat and bone meal |
51 |
45 |
10 |
11.0 |
5.07 |
65 |
|
|
Blood meal |
80 |
62 |
2 |
0.3 |
0.22 |
61 |
|
|
Tankage |
|||||||
|
|
low fat |
68 |
60 |
3 |
|
|
65 |
|
|
high fat |
61 |
45 |
15 |
|
|
77 |
|
|
55% protein |
58 |
36 |
11 |
|
|
68 |
|
|
70% protein |
73 |
70 |
12 |
|
|
94 |
|
Fish meal |
|
|
|
|
|
|
|
|
|
low ash (14) |
71 |
66 |
6 |
|
|
78 |
|
|
high ash (31) |
52 |
48 |
1 |
|
|
49 |
|
|
50% protein |
53 |
49 |
4 |
|
|
55 |
|
|
70% protein |
74 |
71 |
1 |
|
|
71 |
|
|
65% protein (oily) |
68 |
65 |
10 |
|
|
87 |
|
Milk |
|||||||
|
|
skim milk powder |
34 |
33 |
1 |
1.2 |
1.00 |
86 |
|
|
whey powder |
14 |
13 |
1 |
0,9 |
0.80 |
78 |
Excluding whey powder, which really does not belong in this category but will be discussed here because of its protein characteristics, it can be seen that the range of protein values is from 34 to 82 percent, that fat ranges from? to 15 percent, and that calcium and phosphorus for some of the feeds are present in supplementary amounts. There are several grades of both tankage and fish meal, representing differences in processing which result in products of distinctly different characteristics as feeds. However, before dealing with individual products we should note the general feeding characteristic of the feeds of this group.
6.2.1 Protein quality
There is a remarkable similarity in the amino-acid distribution of the different feeds (see Table 25). All carry as much or more lysine than is found in the protein of egg (which is usually taken as the standard of excellence for amino-acid assortment). As compared with the average cereal-grain protein, animal or marine proteins have a higher lysine level by about two and a half times.
The isoleucine level of meat meal, fish meal and milk is at least 50 percent higher than that in the mixed proteins of cereals, but blood meal (and consequently tankage, which contains blood) is low in this amino acid. Because of their lysine and (in most cases) their isoleucine levels, the feeds of this groups are valuable as supplements to the plant proteins, the combinations usually having a higher effective biological value than plant protein alone.
As a group, the feeds of this category are deficient in the sulfur-containing amino acids, cystine, and methionine. Methionine can, of course, be converted in vivo to cystine (although the reverse is not true). Hence, the combined deficiency of these two acids can be relieved by fortification of the diet with pure methionine, which is economically available as a feed supplement.
It is now believed that the biological function of methionine as a methyl-group donor can be replaced at least in part by vitamin B12 in its role of facilitating syntheses involving these CH3 groups. In practice, any reduced biological value of the proteins of meat, fish and egg (or of any other feed) caused by shortage of cystine and methionine can be so easily and effectively corrected that it can be largely disregarded (assuming, of course, the correction is made). The feeder has the option of adding methionine, or vitamin B12, or both.
6.2.2 Ash
Another characteristic of this group of feeds is their high ash, especially their high calcium and phosphorus. Whereas the plant products contain less than 1 percent of either of these elements, and more often only 0.25 percent, meat and fish meals run from 5 to 11 percent calcium and from 3 to 5 percent phosphorus. These high levels are, of course, due to the presence of appreciable amounts of bone. In general, the higher the protein in either meat or fish meals, the lower the calcium and phosphorus. In many meal mixtures the desired supplementation of the energy feeds with these two minerals is accomplished by the use of meat or fish meals in amounts needed to adjust the protein quality or quantity.
6.2.3 Fat
Both tankages and fish meals may have widely different fat percentages. Fat in either of these products is nutritionally a liability. It is unstable and, hence, complicates feed storage. The onset of rancidity not only may adversely affect palatability but may result in residues that catalyze the destruction of oxidizable nutrients in the ration, especially vitamins A and B. With the feeding of oily fish meal, there is the possibility of taints in milk, egg and flesh, as well as the production of oily (or soft) pork. Hog carcasses graded "soft" are unsuitable for bacon.
Individually some of the feeds of this grouping have peculiarities which should be especially noted.
Skim milk, for example, stands out in this group of feeds. Its protein is almost perfectly digested and its biological value is usually rated as next below that of egg (actually, its egg replacement value is about 96 percent). Its calcium and phosphorus are relatively low compared with feeds that contain bone. Thus, it can constitute a large fraction of the ration without introducing excessive minerals. It contains no hard-to-digest components, such as the tendons and ligaments that form a part of tankage. Nor has skim milk any damaging fat content. It is often used as an important source of protein in the rations of young animals. In this role, its high riboflavin is also a decided advantage. Its relative, whey powder, is not a protein supplement in the usual sense, but in grain mixtures where the protein level is already adequate, its exceptionally high lysine and riboflavin content can often be used to advantage (even though its total protein is about that of energy feeds). Thus, hog rations which, because of their liberal high-protein, may be fortified with needed lysine by the use of this relatively cheap but low-protein dairy by-product.
Tankage is variable in both fat and protein. The fat level often appears to reflect the market demands for soap fats. When these are in surplus, the tankage fat levels may rise, presumably as a secondary outlet for the fat. High-fat tankages are not only less stable than low-fat ones, but much lower in protein. If the tankage is to contain only 45 percent digestible protein, meat meal is usually a preferable choice, since it is likely to be muscle trimmings. Tankage contains appreciable quantities of gut, tendon and connective tissue, the proteins of which are of somewhat poorer biological value than are those of skeletal muscle.
High-fat fish meals also present problems that should be discussed at this point. Some fish meals are by-products of the fish-filleting business, and consist of the entire fish (sometimes including entrails) minus the removed fillets. The fat content of such material will depend in large part on the kind of fish. Thus, white-fleshed fish, including cod, haddock, hake, pollock, skate and monk fish, can be processed into the relatively low-fat white-fish meal. Meals from herring or pilchard, on the other hand, are not by-products of filleting, but of the fish oil industry. These meals contain considerable oil, the amount depending in part on the freshness of the fish at processing. For pilchard, operators claim that if the fish are not processed within three days of being caught, it is impossible to produce, without solvent extraction, a fish meal of less than 9 percent fat. Furthermore, poor processing also results in a high-oil meal. Thus, fish meal containing more than 9 percent fat is less desirable as a feed not only because of its oil, but because its high oil content is indicative of a product made from stale fish, or that is the result of bad processing. These were the factors that led to the requirement in Canada, at one time, that fish meals of 9 percent or more fat be labeled as oily. Fish meals that are residues of oil recovery by the "sun rotting" process are invariably oily, sometimes running as high as 20 percent ether extract. Such products should be avoided in the feeding of farm livestock.
There are various kinds of fish meal that are available. For meat meal and tankage, no indication is given in the name as to the kind of animal from which the material was derived. With fish meal, however, the labeling may indicate the kind of fish involved. Thus, there are herring meals, sardine meals, pilchard meals, etc., as well as whale meal. Present indications are that these products are valuable largely in proportion to their protein content and that their limitations as feeds are usually proportional to their oil content. This is, of course, indicated on the guarantee.
One final word on fish meals concerns salt. Since there is an upper limit to the desirable salt (NaCl) content of animal (especially poultry) rations, the salt content of fish meals is sometimes a factor limiting their usefulness. Canadian law requires that the percentage be specified on the tag is the meal contains more than 4 percent by weight of salt.
Energy feeds and the protein supplements have been discussed largely in terms of their major nutritional characteristics. In the preparation of modern livestock rations, it is often expedient to employ one or more products as sources of certain nutrients or desirable characteristics they may impart to the ration. These products, which may not be feeds in the usual sense of this term, include vitamin and mineral supplements as well as flavours, binders, drugs, and antibiotics. Generally speaking, they have unique uses and, hence, must be dealt with individually.
7.1.1 Units of potency
The presence in edible materials of nutrient substances needed for the survival and continued health of animals was discovered long before their chemical nature was learned. They were given the general name vitamins and the different vitamins were identified by letters, such as vitamin A or C. The potency of a foodstuff in any one of the first few vitamins discovered was originally expressed in terms of units. Later, in order that different research workers correlate their findings, international reference standards for certain vitamins were agreed upon. One could then measure vitamin potency of foods and express the daily need of animals in terms of these units.
Today, the needs of animals and the potency of foodstuff in a vitamin are usually expressed in terms of weight (milligrammes or microgrammes), though units of potency is still a common term in referring to vitamins A and D, and also occasionally in referring to B1 and B2. We have thought it desirable, therefore, to define at the outset the international standards and international units of potency (IU) for some of these vitamins.
Vitamin A. The international standard for vitamin A is pure crystalline vitamin A acetate. One international unit (IU) of vitamin A is 0.344 microgrammes of vitamin A acetate, which is equivalent to 0.3 microgrammes of vitamin A alcohol. The Canadian reference standard contains 10 000 IU of vitamin A in each gramme. It is distributed in capsules, each capsule containing 2 500 IU of vitamin A. The U.S. Pharmacopoeia (USP) reference standard is the same as the Canadian reference standard, and the USP unit is the same as the international unit.
Provitamin A or carotene. The international standard for carotene is a sample of pure beta-carotene. One international unit of vitamin A is equivalent to 0.6 microgramme of beta-carotene; i.e., 1 mg of beta-carotene = 1 667 IU of vitamin A. International standards for vitamin A are based on the utilization by the rat of vitamin A and/or beta-carotene. Because other species do not convert carotene to vitamin A in the same ratio as rats, it is suggested that the conversion rates listed in Table 26 be used.
Table 26 Conversion of Beta Carotene to Vitamin A for Different Species a/
|
Species |
Conversion of mg beta-carotene to IU vitamin A |
Percent IU vitamin A activity (calculated from carotene) | |
|
Standard |
1 = 1 667 |
100.0 | |
|
Beef cattle |
1 = 400 |
24.0 | |
|
Dairy cattle |
1 = 400 |
24.0 | |
|
Sheep |
1 = 400-500 |
24.0-30.0 | |
|
Swine |
1 = 500 |
30.0 | |
|
Horses | |||
|
|
Growth |
1 = 555 |
33.3 |
|
|
Pregnancy |
1 = 333 |
20.0 |
|
Poultry |
1 = 1 667 |
100.0 | |
|
Dogs |
1 = 833 |
50.0 | |
|
Rat |
1 = 1 667 |
100.0 | |
|
Foxes |
1 = 278 |
16.7 | |
|
Cat |
Carotene not utilized |
| |
|
Mink |
Carotene not utilized |
| |
|
Man |
1 = 556 |
33.0 | |
a/From: W.M. Beeson, Relative Potencies of Vitamin A and - Carotene for Animals. Federation Proc., XXIV (1965); p.924
Vitamin B1. The international standard for vitamin B1 is pure synthetic thiamin hydrochloride. The IU is the potency of 3 microgramme of thiamin hydrochloride.
Vitamin B2. This is pure riboflavin, and requirements are usually expressed as microgrammes per day. If expressed in Bourquin-Sherman units, 400 000 units = 1 g riboflavin.
Vitamin D. The international standard for vitamin D is pure crystalline irradiated 7-dehydrocholesterol (vitamin D3). One IU is 0.025 microgramme of the international standard. The USP reference standard is a solution of the international standard containing 400 IU in each g of solution.
Some useful information about the vitamins as a group is provided in Table 27.
7.1.2. Alfalfa and grass meals
Because of the variability of leafy forages in carotene (pro-vitamin A) and the frequent use made of such feeds as vitamin A sources, it is desirable to comment further on alfalfa and grass meals.
Sun-cured and dehydrated greenstuffs, such as alfalfa and cereal grasses, are widely used in commercial balanced rations as sources of vitamin A. Average analyses indicate the dehydrated products range in vitamin A potency from 76 000 IU to 34 000 IU per kg, whereas sun-cured meals are highly variable but usually inferior. In terms of replacement, 3.6 kg of freshly processed dehydrated alfalfa meal, containing 75 000 IU of vitamin A per pound, will a/Roughly equivalent to about one-fourth of the total needs of young animals (except for B) provide the vitamin A equivalent of 454 g of 1386A feeding oil. Since carotene in these meals deteriorates with age, particularly in hot weather, it is important from a practical standpoint to calculate the vitamin A content by analyses at the time of mixing. This calculation will safeguard the vitamin A level of the ration where the fullest economy of the vitamin A activity of dried greenstuffs is sought.
Table 27 Data on Vitamins Frequently Added to Rations
|
Name |
Functions; units of potency, etc. |
Deficiency symptoms |
Good natural sources |
Other sources (synthetic concentrates) |
Supplementary amounts normally added/ ton meal, mixture a/ |
|
Vitamin A (animal form) Carotene (plant form) |
Stimulates formulation and development of body cells; a growth vitamin. Involved in dim-light vision. 0.6 micro-gramme carotene = 1 IU of vitamin A. |
Retarded growth of young. Interference with re production. Impaired night vision. |
Leafy forage, fresh or preserved against oxidative loss. Milk or fish fat (variable). Yellow corn. |
Pure crystalline vitamin A acetate, 3 000 000 IU/g. Mixed carotene 1 000 000 IU/g. |
1000000 IU |
|
Vitamin D (D2 is plant form; D3 is animal form) |
Faciliates absorption of calcium; related to normal bone formation. Irradiation by direct sun effectively supplies animals needed vitamin D. Poultry do not utilize D2 |
Rickets in young; osteomalacia in adults. Swollen and sore joints. Poor reproduction. |
Sun-cured, leafy hay to r animals (but not poultry). |
Fortified fish oils, irradiated sterols for both poultry and animals. Crystalline D2 or D3 4000000 IU/g. |
200000 IU |
|
Riboflavin |
Part of enzyme necessary for oxidation process in all living cells. Synthesized by micro-organisms in herbivora. |
Slow growth, nerve degeneration, diarrhea (pigs, calves). Curled toe paralysis, low egg |
Liquid, condensed or dry milks. Dried leafy forage. Distillery soluble. Dried brewers' yeast. |
Pure synthetic riboflavin, 400 000 BS units/g 1 g has potency of 100 lb skim milk powder. |
300 mg |
|
Pantothenic acid |
Part of Co-enzyme A, necessary for utilization of all energy-yielding nutrients. |
None in herbivora. Stilted gait in pigs, especially with hind legs (often called goose-stepping and confused by some with rheumatism or rickets). Dermatitis around bill and eyes in poultry. |
Brewers' yeast. Dry milk or whey. Cane molasses. Alfalfa. |
Synthetic calcium pantothenate (92% pantothenic acid). |
2 g |
|
Vitamin B12 |
A cobalt-containing substance active in treating pernicious anaemia. Probably active part of "the animal protein factor". |
Poor growth, poor feathering, and poor hatchability. Its use usually increases gains of young by 10-20. |
Feeds of animal or marine origin. Liver meal is especially potent. |
Fermentation products and byproducts from making antibiotics |
5-10 mg for all young. Adult herbivora synthesize it. |
a/ Roughly equivalent to about one-fourth of the total needs of young animals (except for B12)
7.1.3 Vitamin B
This is one of the more recently discovered vitamins and because of its peculiarities will be considered in more detail than can be included in Table 27.
After several years of research by many laboratories, the vitamin-like substance that was known to be present in a number of feeds of animal and marine origin, and to be responsible for spectacular increases in the growth of young animals when these feeds were in the diet, was identified as vitamin B12. It is peculiar in that it appears to be solely a product of bacterial synthesis. It is absent from plant materials. Its presence in animal tissues is a consequence of storage by the animal before slaughter. Its presence in such feeds as tankage or fish meal may be from bacterial activity in these products following manufacture. It develops rapidly in faecal material, and the eating of faeces by pigs and poultry is undoubtedly one important way they obtain it. It is synthesized by rumen and caecum micro-organisms and thus is available to adult cattle, sheep, and horses. The effectiveness of B12 supplements in rations diminishes as the ration contains increasing amounts of such feeds as meat, fish or milk. It is probable that in some cases the quantities of tankage and fish meal previously believed desirable can be reduced, provided some B12 is added from another source.
Many older recommendations, based on both practical and experimental evidence, have called for pig and poultry rations to be of animal origin. This percentage is thought to be higher than necessary to meet the amino-acid demands. Using one-half of the previously recommended combination of meat and fish products in a typical young pig or chick ration should supply roughly half the B12 believed needed in such rations, and will also result in sufficient amino-acid correction to balance the plant protein.
Enough B12 to supply about half the total need will probably be a useful addition to rations intended for young animals. Although the requirements of these animals are not accurately known, we have evidence that it is not far from 16 mg B12 per ton (900 kg) of ration, if the meat and fish are being used in the amounts indicated. Typical samples of meat meal or feeding tankage are tentatively reported to contain 0.2 mg/kg of dry substance. Fish meals may carry double this quantity.
With the increasing use of mineral supplements in the rations, it seems advisable to indicate the more common supplementary sources of these nutrients together with notes concerning them. This information is summarized in Table 28.
7.2.1 The fluorine problem
Excessive fluorine intake of animals can be caused by: (1) forages subjected to airborne contamination in areas near certain industrial operations that heat fluorine-containing materials to high temperatures and expel fluorides; (2) drinking water high in fluoride content; (3) feed supplements and mineral mixtures high in fluoride content. In usual feeding practice, an excessive intake of fluorine is not a problem unless rock phosphates are used. Consequently, the starting point in considering this problem is obviously the phosphorus requirement. This determines eventually how much supplemental phosphorus may go into the meal mixture. The supplementary phosphorus needed will obviously be the difference between the cow's total requirement and that furnished by her feeds, roughage plus meal.
Table 28 Sources of Minerals and Their Potency
|
Nutrient |
Common source |
Composition or potency |
Remarks |
|
Calcium a/ |
Feeding bone meal |
26% Ca |
Also contains 18% protein and 11% phosphorus. |
|
Feeding bone meal |
29% Ca |
Also contains 12% protein and 14% phosphorus. |
|
|
Bone char |
27% Ca |
Also contains 13% phosphorus but no protein |
|
|
Tricalcium phosphate |
13% Ca |
10% P |
|
|
Dicalcium phosphate |
24% Ca |
20% P |
|
|
Monocalcium phosphate |
16% Ca |
12% P |
|
|
Ground limestone |
24-36% Ca |
Balance likely to be carbonate and magnesium |
|
|
Calcium carbonate |
40% Ca |
|
|
|
Oyster and other marine shells |
38% Ca |
Shells contain on the average 96% CaCO3 |
|
|
Phosphorus |
Bone meals and Ca phosphates |
(see above) |
|
|
Rock phosphate |
14% P |
Rock phosphate is 75-80% tricalcium phosphate. Not advised unless guaranteed to contain less than 1% fluorine |
|
|
Defluorinated rock |
18% P |
Should not contain more than 1 part fluorine to 100 part phosphorus |
|
|
Iodine |
Potassium iodide |
76% I |
Potassium and sodium salts may be used interchangeably |
|
Sodium iodide |
84% I |
|
|
|
Potassium iodate |
59% I |
|
|
|
Iodize salt |
|
Stabilized iodine should be used, |
|
|
Amounts of iodine differ but 0.02% |
|||
|
and 0.05% are commonly sold |
|||
|
Iron |
Ferric oxide |
35% Fe |
|
|
Ferrous sulphate |
20% Fe |
Originary copperas, commercial grade |
|
|
Reduced iron |
80-100% Fe |
May be 20% ferric oxide |
|
|
Cobalt |
Cobalt sulphate |
34% Co |
May be administered as a drench, as cobaltized salt, or as an ingredient in the ration |
a/ As source of calcium these products are useful in direct proportion to the calcium they contain
Although good roughage consisting of at least half legume materials will contain about 0.20 percent phosphorus, poor roughage comprising relatively mature non-legume plants cannot be depended upon to contain more than 0.10 percent phosphorus. The feed manufacturer, in designing meal mixtures and the supplements of minerals to go in them, must deal with the problem of poor roughage.
We can calculate the probable supplementary phosphorus requirement of a 16 percent protein dairy-cow meal mixture by taking certain typical figures for size of cow, production, and roughage fed (see Table 29). The quantity of phosphorus supplement that must be included will depend on the percentage of phosphorus in the carrier. These amounts can be read directly from Figure 5. Of a carrier having 15 percent P, 18 lb. will be needed for 1 000 lb. (or 9 kg per 500 kg) of mix.
Table 29 Supplemental Phosphorus Needed in a 16 Percent Protein Ration for a Milking Cow
|
Daily requirement |
||
|
|
Maintenance of 1 000 lb (454 kg) cow |
10g |
|
|
Pregnancy demands |
7g |
|
|
Production of 30 lb (13.5 kg) of 4% milk |
21g |
|
|
38g |
|
|
Supplies daily |
|
|
|
|
In 20 lb (9.1 kg) average roughage |
9g |
|
|
In 8 lb (3.6 kg) meal before supplementation |
19g |
|
Supplemental phosphorus needed |
||
|
|
In 8 lb (3.6 kg) meal |
10g |
|
|
In 1 000 lb (454 kg) meal mixture |
1 250g (2.75 lb) |
Fig. 5 Amount of phosphorus carrier needed in meal mixtures.
The next problem is that of the fluorine. The Canadian Feeding Stuffs Act gives permitted tolerances in ready-to-feed meal rations for cattle of 0.009 percent, or 90 ppm of dry matter. This is equivalent to 40 g of fluorine in a 1 000 lb batch of feed, or 43 g in 500 kg of feed. If the percentage of fluorine in the phosphorus carrier is known, it is quite simple to calculate how much supplement can be incorporated in 1 000 lb (454 kg) of a meal mixture so that the concentration of fluorine will be 90 ppm as permitted by the Feeding Stuffs Act. Figure 6 shows that if 18 lb (8 kg) of a phosphorus carrier are to be used, then it cannot contain more than 0.5 percent fluorine. If one had a phosphorus carrier with 0.8 percent fluorine, then only 11.5 lb of it could be used per 1 000 lb (or 5.7 kg per 500 kg) of ration.
Fig. 6. Maximum tolerance of fluorine-containing phosphorus supplement in meal mixtures.
More recent evidence indicates that these tolerances are too high. When computed on a forage or complete diet basis, the tolerances should not be higher than indicated in Table 30. By knowing the fluorine content of the forage and the mineral supplement, diets below these fluorine tolerances can be made up.
In areas where fluorine is emitted from industrial plants and is contaminating pasture, hay, or forage used for silage, the following steps may be taken:
(i) grow grain on part of the land formerly used for these crops;(ii) increase the grain allowance in the diets;
(iii) mix low fluorine hay with high fluorine hay to give a hay with less than 30 ppm of fluorine if it is to be fed to lactating or breeding cattle (if possible use high-fluorine hay for finishing animals);
(iv) feed phosphorus supplements with less than 100 ppm of fluorine, and;
(v) if animals' teeth are severely damaged from fluorine, it may be desirable to chop the hay, soak small amounts of dry beet pulp before feeding, feed corn silage low in fluorine, and warm the water (these are suggested emergency measures to be followed until the animals with damaged teeth can be sold for slaughter).
7.3.1 Sweeteners, binders and flavours
Sweetening agents such as molasses, dextrin, and sugar are often found in meal mixtures, and fantastic claims have sometimes been made about their benefits. Most such claims can be ignored, and seldom originate from experimental stations. Sweet taste does not appear to be of any significance either in coaxing animals to learn to eat dry rations more quickly or in getting larger feed intake.
Table 30 Tolerances of Fluorine in the Forage or Complete Diet (Moisture Free) for Various Animals
|
Animals |
Fluorine tolerance |
|
|
Breeding or lactating animals (F in ppm)a/ |
Fishing animals with average feeding period (F in ppm)a/ |
|
|
Dairy and beef heifers |
30b/ |
100c/ |
|
Dairy cows |
30b/ |
100c/ |
|
Beef cows |
40b/ |
100c/ |
|
Sheep |
50b/ |
160d/ |
|
Horses |
60c/ |
- |
|
Swine e/ |
70b/ |
- |
|
Turkeys e/ |
- |
100f/ |
a/Tolerance based on sodium fluorine or other fluorides of similar toxicityb/ Shupe, James L., Fluoroses. International Encyclopedia of Veterinary Medicine, II (1996), p.1062
c/ Shupe James L., Utah State University, unpublished data (1968)
d/ Madsen, M.A. et al., Am.Soc.Animal Prod.Wester Sec.Prod., XXV (1954)
e/ LXXXV-1
e/ Complete diet only
f/ Anderson, J.O. et al., Effect of feeding Various Levels of Sodium Fluorine to Growing Turkeys, Poultry Sci., XXXIV (1995), 147
There may be some difference of opinion about whether molasses is an energy feed or should be classed as a special product. Its nutrient contribution to the ration is sugar. (The iron content of molasses is not usually of importance in the ordinary use of this feed.) Its protein is negligible and it contains no fibre or fat. Obviously this product is not freely interchangeable with other feeds of the energy category. Its more important contributions to the ration depend on its physical properties. Because of its sticky nature it tends to reduce the dusty, powdery nature of some finely ground feeds. In this role it often makes a feed mixture more acceptable to livestock. It is doubtful if the sweetness of molasses stimulates feed intake initially, but once accustomed to a sweetened ration animals for the time may not relish unsweetened rations. The effect of molasses in reducing dustiness can be obtained by slight moistening of a powdery feed with water, but this is only effective at the time of feeding, since the feed dries out on standing. Molasses, on the other hand, can be incorporated in the commercially prepared ration, does not adversely affect storage if not used in excess of about 10 percent by weight, and results in the dust-free mixture acceptable to animals. Such mixtures, more often than not, contain products that may be powdery and heavy, and that are present in trace amounts only. The problem of maintaining a homogeneous mixture in such cases is sometimes simplified by the inclusion of 5 to 10 percent molasses. If the feed is to be pelleted, the molasses or dextrin helps to form a durable pellet.
But molasses has another advantage. Because of its distinct flavour and aroma, it tends to mask or to dilute the flavours of other mixture ingredients. Thus, the reactions of animals to the bitter taste of such feeds as rapeseed meal, ground buckwheat, or weed seeds, to the dry tastelessness of ground hay or oat hulls, or to the peculiar aroma and flavour of malt sprouts, may be modified by molasses. This use may be good or bad, depending on whether it is someone else trying to disguise the presence of such materials in a ration in order to pass it off as being first-quality.
Molasses in excess of 10 percent of the mixture risks the producing of a caked and perhaps mouldy condition in bagged feeds. Less than 10 percent of molasses is enough to appreciably dilute the protein of a mixture, and this dilution must be considered when the mixture is either used as an ingredient or fed as a separate component of the ration, as when diluted and poured on poor roughage.
In connexion with the problem of preparing durable pellets, it is worth noting that sodium bentonite may be of real assistance. Added at the rate of 2 percent to a ground feed or mixture, it is innocuous nutritionally but facilitates the formulation of a hard pellet that withstands the handling and shipping to which commercial feeds are subjected.
Feed flavours are available in wide assortments. They are usually essential oils, whose distinctive aromas will permeate the feed into which they are mixed. Their presence can be detected months after the feeds are treated. It is often claimed that use of a flavouring material will aid digestion and stimulate appetite. But animals in normal health, and for one reason or another not self-fed, will usually eat voluntarily more feed than feeders are prepared to offer them. The use of artificial flavours in balanced rations, therefore, gives one good reason to suspect that the mixture contains unpalatable ingredients; since all high-quality feeds are palatable to the stock for which they are normally suitable, artifically flavoured feeds are often suspect in the eyes of better feeders.
On the other hand, veterinarians may use flavours to cover the taste and smell of drugs in some tonics. Such use of flavour is quite a different problem, and of interest here only where a feeder has been induced to feed one or other of the many patented tonics or conditioners as a regular practice to prevent or cure ailments which he believes may adversely affect his stock.
7.3.2 Antibiotics and drugs
Antibiotics are another class of foodstuff that must today be considered in the formulation of livestock rations. The nature of the action on the animal of the various antibiotics (Aureomycin, Terramycin, penicillin, etc.) as ration components is still not entirely clear. It is presumed that they affect the nature of the intestinal microflora. It is well known that their use often results in faster gains of young animals.
Many of the statements in the literature on antibiotics give erroneous impressions of the extent to which the use of these materials can be expected either to increase the rate of growth of the animal or to improve the efficiency of the ration consumed. A recent review of the published papers dealing with the use of antibiotics for swine showed that, on the average, the gains of young pigs can be expected to be increased about 15 percent and the efficiency of the ration improved about 5 percent, by the inclusion of one or another recognized antibiotic. Another interesting finding in this survey was that if fish meal is a component of the ration there may be no response whatsoever to the antibiotic. Presumably, fish meal already contains as much of these substances as an animal is able to utilize efficiently.
Drugs, especially arsenicals, are sometimes added to a livestock ration because of their antibiotic-like action. Sometimes sulfonamides are employed in prohylaxis against coccodiosis (only with ruminants and swine). Although they are approved of and used in some countries, the question of their concentrations, restrictions, and precautions belongs in the field of the veterinarian. All such products are potentially harmful when improperly employed.
The effectiveness of medicated feeds for the purpose used, and the hazards to the consumer of the flesh of animals that have received such feeds, are still far from being understood, but are under active study by many research groups. It is possible that we may eventually be able to create within the animal an environment in which undesired parasites cannot thrive and at the same time be able to regulate at will some of their metabolic processes to emphasize functions desired at the time. Such developments will not, however, release the feeder from the necessity of providing rations containing the everyday operating needs of the nutrients already well-known.
7.3.3 Animal fats
Animal Fats are still another type of ration additive. They are a by-product of the meat-packing industry and consist of the better grades of what are called in the meat trade "inedible fats" (tallows and greases). Tallows are fats with melting points above 409C. Greases are fats melting below 409C. Grades within each category are based mainly on free fatty-acid content and colour, and only the top three or four grades are suitable for feeding purposes. To incorporate fats into feed mixtures, they are heated to about 659C, and slowly run into the mixing feed, where the fat coats the particles with a fine film.
These products are non-specific sources of energy, and experiments indicate that they may be included in livestock rations up to about 16 percent by weight when rations of high energy are wanted. In addition, they help reduce the dustiness of finely ground feeds and facilitate pelleting by lubricating the diets through which the feed is forced in forming the pellet.
We must recognize that the protein, minerals, and vitamins of the mixture will be diluted by the addition of fat. In the preparation of such fats, an antioxidant is used to increase their stability. Since added flavourings might mask signs of rancidity, flavours should not be used in rations to which fats have been added. It would seem more sensible and economically sounder to curtail the production of excess fat on meat animals in the first place rather than try to salvage it by feeding it back to animals to produce, in turn, more surplus fat.
Alderman, G., 1971 Proposals for establishment of a feeds information system for the Food Agricultural Organization. Rome, FAO, AGA/MIS/71/28
Armsby, H., 1903 The principles of animal nutrition. New York, John Wiley and Sons, 1st ed.
Asplund, J.M. and L.E. Harris, 1969 Metabolizable energy values for nutrient requirements for swine. Feedstuffs, 41(14):38-9
Beeson, W.M., 1965 Relative potencies of vitamin A and carotene for animals. Fed.Proc., 24:924
Borgstrom, G. 1962 (ed.), Fish as food. Fed.Am.Soc.Exp.Biol., New York, Academic Press, vol.1: 477 p.
Borgstrom, G. 1965 (ed.), Fish as food. New York, Academic Press, vol.2 :489 p.
Boussingault, J.-B., 1843 Economie rurale considerée dans ses rapports avec la chimie, la physique et la météorologie (Rural economics in its relation with chemistry, physics and meteorology). Paris, Bechet Heunne, 2 vols. Translated by Sir George Lawes. New York, D. Appleton and Company, (1845)
Crampton, E.W. and L.E. Harris, 1969 Applied animal nutrition. San Francisco, California, W.H. Freeman and Co.
Crampton, E.W. and L.E. Lloyd, 1959 Fundamentals of nutrition. San Francisco, California, W.H. Freeman and Co.
Crampton, E.W., L.E. Lloyd and V.G. Mackay, 1957 The calorie value of TDN. J.Anim.Sci., 16:541-5
Cullison, A., 1963 Feeds and feeding. Reston, Virginia, Reston Publishing Company, Inc.
Ewing, W.R. 1968, Poultry nutrition. Pasadena, California, Ray Ewing Company, 5th ed.
Fonnesbeck, P.V., 1968 Digestion of soluble and fibrous carbohydrate of forage by horses. J.Anim.Sci., 27:1336
Fonnesbeck, P.V., L.E. Harris and L.C. Kearl (eds) 1976. First International Symposium on feed composition. Animal nutrient requirements, and computerization of diets. Logan, Utah, Utah Agricultural Experimental Station, Utah State University
Fonnesbeck, P.V. 1967 et al., Digestibility of the proximate nutrients of forage by horses. J.Anim.Sci., 27:1039
Garrett, W.N., 1977 Animal Science Dept., University of California, Davis, California (unpubl. data)
Haendler, H., 1963 Bedeutung und Aufgaben des Archivs fuer Futtermittel in Hohenheim. Kraftfutter, 46(11):555-6
Haendler, H., 1966 Bemühungen zur Schaffung besserer Unterlagen fuer die Futterwertbestimmung. Wirtsch.Futter, 12:16-27
Haendler, H. und F. Jager, 1971 Stand und Entwicklung der Befunddokumentation Futtermittel. Mitt.Ges.Bibl.Dok.Landbaues, 15:23-31
Harris, L.E., 1963 Symposium on feeds and meat terminology. 3. A system for naming and describing feeds, energy terminology and the use of such information in calculating diets. J.Anim.Sci., 22:535
Harris, L.E., 1970 Nutrition research techniques for domestic and wild animals. Logan, Utah, International Agri-Services, vol. 1
Harris, L.E., J. Asplund and E.W. Crampton 1968, An international feed nomenclature and methods for summarizing and using feed data to calculate diets. Bull.Utah Agric.Exp.Stn., (479)
Harris, L.E., L.C. Kearl and P.V. Fonnesbeck, 1972 Use of regression equations in predicting availability of energy and protein. J.Anim.Sci., 35:658
Harris, L.E., L.C. Kearl and P.V. Fonnesbeck, 1977, The rationale for naming feeds. Bull.Utah Agric.Exp.Stn., (498)
Henneberg, W. und F. Stohmann, 1864 Beitraege zur Begründung einer rationellen Fuetterung der Wiederkaeuer. 2. Heft, Braunschweig
Kellner, O. 1905, Die Ernaehrung der Landwirtschaftlichen Nutztiere. Berlin, Verlagsbuchhandlung Paul Parey
Knight, A.D. and L.E. Harris, 1966 Digestible protein estimation for NRC feed composition tables. Proc.Am.Soc.Anim.Sci.West.Sec.Meet., 17:283
Maynard, L.A. and J.K. Loosli, 1969 Animal nutrition. New York, McGraw-Hill Book Co.
McDowell, L.R. 1974 et al., Latin American tables of feed composition. Gainesville, Florida, University of Florida
Moe, P.W. and H.F. Tyrrell, 1976 Estimating metabolizable and net energy of feeds. In International Symposium on feed composition. Animal nutrient requirements and computerization of diets, edited by P.V. Fonnesbeck, L.E. Harris and L.C. Kearl. Logan, Utah, Utah State University, Utah Agricultural Experimental Station
Morrison, F.B., 1915 Feeds and feeding. Ithaca, New York, F.B. Morrison, 15th ed.
Morrison, F.B., 1956, Feeds and feeding. Ithaca, New York, Morrison Publishing Company, 22nd ed.
National Research Council, 1966 Biological inter-realtionships and glossary of energy terms (prepared by L.E. Harris). Washington, D.C., National Academy of Sciences, 1st rev. ed., 35 p.
National Research Council, 1973 Subcommittee on Fish Nutrition, Nutrient requirements of trout, salmon and catfish. Washington, D.C., National Academy of Sciences.
National Research Council, 1977 Subcommittee on Nutrient Requirements of Warm Water Fishes. Washington, D.C., National Academy of Sciences, 78 p.
National Academy of Sciences, 1971 Atlas of nutritional data on United States and Canadian feeds (prepared by E.W. Crampton and L.E. Harris). Washington, D.C., National Academy of Sciences
Schaible, P.J. 1970, Poultry feeds and nutrition. Westport, Conn., Avi Publishing Co. Inc.
Scott, M., M.C. Nesheims and R.J. Young. 1976, Nutrition of the chicken. Ithaca, New York, M.L. Scott and Associates
Sibbald, I.R. 1977, The true metabolizable energy values of some feedingstuffs. J.Poultry Sci., 56:380-2
Swift, R.W. 1957, The caloric value of TDN. J.Anim.Sci., 16:753-6
Thaer, A. 1809, Grundsätze der rationellen Landwirtschaft. Berlin, die Realschulbuchhandlung, vol.1, sec.275
Weast, R.C. (ed.) 1978. Handbook of chemistry and physics. Cleveland, Ohio, CRC Press, 58th ed.
Wolff, E., 1861 Die landwirtschaftliche Fuetterungslehre und die Theorie der menschlichen Ernaehrung. Stuttgart, Cotta'scher Verlag
Wolff, E., 1871, Aschenanalysen von landwirtschaftlichen Producten, Fabrik-Abfallen und wildwachsenden Pflanzen. Berlin, Paul Parey, 6 Auflg.