Previous Page Table of Contents Next Page


Chapter 12. Unconventional Feed Ingredients for Fish Feed


1. INTRODUCTION
2. PROBLEMS ASSOCIATED WITH UNCONVENTIONAL FEEDSTUFFS
3. SELECTED UNCONVENTIONAL INGREDIENTS FOR FISH FEED
4. WASTE RECYCLING AND DIRECT FERTILIZATION
5. FACTORS AFFECTING THE ORGANOLEPTIC PROPERTIES OF FISH
6. REFERENCES


J. Spinelli
National Marine Fisheries Services
Seattle, Washington

1. INTRODUCTION

The rapid world-wide expansion of aquaculture and livestock production strongly indicates that a crisis will be precipitated in the livestock and aquaculture feed industries in the near future. Food for humans is not included in this consideration because, generally speaking, livestock, fish and humans can all eat the same basic food commodities and, in emergencies or times of scarcity, feedstuffs are eaten first by humans. The consumption of cultured livestock, fish, etc., is linked to human affluence. For example, per capita meat consumption in the United States before 1941 was about 50 lb; it is now over 150 lb. Similar percentage increases have occurred in Japan and the other industrialized countries of the world. Fish are probably the most efficient converters of feed to flesh, requiring from 2 to 4 lb of basic feedstuffs to produce 1 lb of fish. In contrast to land animals, however, fish are fastidious eaters in that they require higher levels of dietary protein. In addition, the amino acid requirements to promote rapid growth of fish appear to be more rigid than for land animals. As an extreme example, the protein in the diets of fish such as eels and yellowtail need to be almost entirely of animal origin, while the protein requirements of ruminants can be partially satisfied from non-protein nitrogen sources such as urea and biuret.

This chapter focuses primarily on the development work now being conducted on alternative or unconventional feed ingredients as suitable replacements for fish meal in artificial diets for intensive aquaculture.

2. PROBLEMS ASSOCIATED WITH UNCONVENTIONAL FEEDSTUFFS


2.1 Formulation Problems


Faced with the food supply problem for cultured fish, nutritionists have done more work evaluating alternate protein sources in aquaculture diets during the last 7 years than during the previous 50 years. A review of the literature shows that practically no potential feed material has been ignored. Table 1 categorizes these sources into three groups; i.e. vegetable and animal sources currently available, and potential sources not yet commercialized.

Feedstuffs of vegetable origin are as a whole lower in protein content when compared with those of animal origin. In addition, the presence of high amounts of carbohydrates, fibre, and other organic molecules such as glucosides, phytates, and cyclopropenes in these sources present the nutritionist with problems that are generally not encountered with sources of animal origin. Despite these problems, practically all the commercialized feedstuffs listed in Table 1 are being used to some extent in commercial aquaculture diets. None, however, perform as well as fish meal on a protein equivalent basis. The problems relating to their usage in fish diets will be discussed in greater detail in the next section.

Of the non-commercial items, only single cell protein (SCP), krill meal, and possibly leaf protein concentrate have a chance of becoming commercial within three to five years. Because SCP are synthetic products and because the biomass of krill is so huge (the latter five times that of all landed fish), the volume of either could dwarf everything listed in Table 1 except soyabean meal.

2.1 Formulation Problems

As previously mentioned, the nutritive requirements of fish are such that they probably offer less flexibility in diet formulation than do those of most land animals. First of all, several species of fish selected for culture are almost pure carnivores, requiring a diet of high protein content. These fish have very poor utilization of carbohydrate as an energy source, and some evidence is developing that the inclusion of certain types of carbohydrates in the diet is, in fact, detrimental. Hence, it has been recently reported that soyabean meal extracted with alcohol performed better in rations than unextracted meal. This improvement has been attributed to the removal of low molecular weight carbohydrates by the alcohol. The subject of carbohydrates in soyabean meal will be discussed later.

Table 1. Alternate Sources of Protein that are Being Evaluated or have Potential as Partial or Whole Replacement for Fish Meal in Aquaculture Diets

Commercialized

Not commercialized

Vegetable

Animal

Soy meal

Poultry byproducts

Insect larvae

Rapeseed meal

Feather meal

Single cell protein

Sunflower meal

Shrimp and crab meal

Grasses

Oat groats

Blood flour

Leaf protein

Cottonseed meal

Fish silage

Vegetable silage

Wheat middlings

Meat meal

Zooplankton (krill, etc.)













Recycled wastes


Yeast


Phytoplankton


Bacteria


Algae


Higher plants

Protein (range), %

15-50

50-85

4-85

Feeds tuffs contain protein in amounts ranging from about 15 to 50 percent. This falls within the range of the protein requirements for optimum growth of several species of fish. However, proteins derived from vegetable sources are somewhat deficient in several key amino acids such as lysine, methionine, and tryptophane. This, of course, is not the only problem when unconventional sources of protein are used. A fish diet must provide a suitable energy source and be in proper balance with respect to:

(i) proteins,
(ii) minerals,
(iii) lipids,
(iv) carbohydrates, and
(v) vitamins and growth factors.

Then, there are the factors that relate to the feeds tuffs comprising the diet. These include:

(a) composition

The commodity must have a composition that allows it to be compounded into a balanced diet. For example, because of the high water content, it would be difficult to compound potential feeds tuffs such as sea plants, algae, etc., into diets.

(b) physical form

Many feedstuffs must be modified for proper formulation into diets. A common example in salmon diets is the lint that remains in cottonseed meal. It readily plugs the dies when small diameter feeds are to be prepared.

(c) palatability

Several potential feedstuffs contain compounds that are offensive to the olfatory receptors of the fish.

(d) factors affecting bio-availability of nutrients

(e) stability during storage

This primarily relates to the vitamin stability and also the stability of the lipid portion that may oxidize in either dry or frozen storage.

(f) toxic factors

(See Table 2)

Of all the feedstuffs investigated as alternatives to fishmeal in aquaculture diets, soyabean meal has received the most attention.

Table 2 Some Compounds Occurring in Feedstuffs that are Known and/or Suspected of Causing Physiological Abnormalities or Otherwise Impairing the Growth of Fish

Compounds

Found in

Glycosides

Grass and leaves

Phytates

All plant foods tuffs

Mycotoxins (aflatoxin)

Cereal-based meals not naturally occurring but produced by microorganisms

Cyclopropenoid fatty acids

Cottonseed oil and meal

Trypsin inhibitors

Soy and rapeseed meal

Mimosine

Leaves (Leucaena leucocephala)

Glucosinolates

Rapeseed meal

Haemoglutinins

Soyabean meal

Plant phenolics


Gossypol

Cottonseed meal


Tannins

Rapeseed meal

Oxidized and polymerized lipids

Fish meal; poultry byproducts, krill meal

Histamine and putrescine

Fish meal, primarily tuna

Nitrosamines

Fish meal

3. SELECTED UNCONVENTIONAL INGREDIENTS FOR FISH FEED


3.1 Soyabean Meal
3.2 Single Cell Protein
3.3 Krill
3.4 Poultry By-Products and Feather Meal
3.5 Other Potential Feedstuffs


3.1 Soyabean Meal

With regard to its composition, soyabean meal appears to be a reasonably good feed component for aquaculture diets. It contains about 47-50 percent protein, 5-6 percent ash, 1 percent lipid and about 40 percent carbohydrates. It has a lysine content that approaches that of fishmeal, but for most aquaculture diets it is deficient in the sulphur-containing amino acids and in tryptophan. Because of these amino acid deficiencies, soyabean meal cannot be used as the only source of protein and is generally compounded with other feed-stuffs when it is used in aquaculture rations. Although the inclusion of soyabean meal in fish diets presents no manufacturing problems, problems relating to palatability and availability of nutrients have been encountered. There is abundant literature discussing the deficiencies and merits of this feedstuff. Several investigators have demonstrated that heating soyabean meal rather severely not only increases its acceptability to fish, but also improves the availability of nutrients. This is first accomplished by deactivating trypsin inhibitors, and second by denaturing the protein and thus making it more digestible, and third by detoxifying natural toxicants. Several studies, however, indicate that when soyabean meal is heated, its performance is still below the expected considering its amino acid composition. Recent studies with catfish, for example, show that even when soyabean meal was fortified with lysine, cystine, and methionine, growth was significantly lower than when menhaden meal was used as the source of protein. It was concluded, among other things, that soyabean meal must contain some anti-growth factors or that catfish do not utilize free amino acids. Other workers, however, have shown that the latter conclusion might not be true, since the carp and salmon can utilize free amino acids.

Work done at the Northwest and Alaska Fisheries Center has shown that when soyabean meal substituted for fishmeal in Oregon moist pellet (OMP) type diets, growth is significantly reduced when these diets are fed to rainbow trout. It is believed that part of the problem is due to the phytate content of soyabeans. The chemical structure of phytic acid is shown in Figure 1.

Chemically, phytic acid is the hexametaphosphate of myoinositol. In plant material it is supposed to occur as the Ca-Mg salt of the hexametaphosphate. The Merck Index states that there are five calcium (Ca) ions and one magnesium (Mg) ion per mole. This may vary with plant species as well as with the maturity of the plant seed. Its chemical structure is still open to question because:

(a) theoretically, it can have several isometric forms (i.e., nine stereoisomers and two mesoforms),

(b) it can form crosslinks between phosphate groups,

(c) the mechanism for Ca and Mg binding remains uncertain, and

(d) its ability to bind other ions depends on how much Ca is present.

In plants, phytic acid occurs as the Ca-Mg salt of the acid. Even after all of the phosphate groups have reacted with Ca and Mg, the phytate is still capable of chelating iron, zinc, and copper; its ability to chelate is enhanced in the presence of excess calcium. Phytate has been experimentally removed from soyabean meal or other vegetable-based ingredients by reaction with the enzyme phytase (Figures 2 and 3). Growth studies with rainbow trout using OMP-type diets in which 50 percent of the fishmeal was substituted with dephytinized soyabean meal are shown in Figure 4. Feeding untreated soyabean meal resulted in 25 percent reduction in growth when compared to the OMP control. Dephytinized soyabean meal gave growth values of about 8-10 percent better than untreated soyabean meal. Total substitution with untreated soyabean meal produced high mortality in the fish after about 90 days. When the zinc, iron, and copper contents of the blood of the dead fish were determined, it was found that Zn and Fe levels were significantly lower than normal (as shown in Table 3). Furthermore, feeding purified (casein-based) diets containing 0.5 percent of either Ca or Na phytate to rainbow trout resulted in a 10 percent reduction in growth. No other obvious physiological defects were noted in the diets containing phytates. Compounds other than phytates present in soyabean meal are also capable of binding trace nutrients. Recent works by other investigators strongly suggest that diets containing proteins of vegetable origin will perform more satisfactorily if they are fortified with Zn and Fe. Recent laboratory data show, for example, that heating soyabean meal also reduces its iron-binding ability so that the improvement in performance of heated soya is not only related to inactivation of trypsin inhibitors and the denaturing of protein but also to the increased bio-availability of micro-nutrients. The problems of soyabean meal, particularly those concerning phytates, are associated more or less with all cereal-based components. The absence of phytase in the soyabean, however, may make the problem with soyabean meal more severe than with other cereal-based feedstuffs such as wheat.

Fig. 1 Structure and configuration of phytic acid (Myoinositol)

Fig. 2 Phytin hydrolysis in soy flour at 30° using crude phytase and wheat bran

Fig. 3 Phytin hydrolysis in soy flour using. wheat bran as phytase source

Fig. 4 Growth of rainbow trout fed OMP and OMP-type diets in which 50% of the fish meal was substituted with undephytinized and dephytinized soy

Table 3 Calcium, Copper, Iron, and Zinc Content in the Blood of Rainbow Trout Fed OMP and OMP-Type Diets in which 100° of the Fish Meal Portion of the Diet was Substituted with Soyabean Meal and Dephytinized Soyabean Meal

Diet

Element, ppm

Calcium

Copper

Iron

Zinc

Control (OMP)

71 (71-72.)

1.5 (1.3-1.4)

213 (204-222)

14.8 (14.5-15.2)

OMP - no fish meal 100% soyabean meal

73 (52-94)

22.2 (1.5-2.7)

141 (92-220)

9.1 (5.6-12.8)

OMP - no fish meal 100% dephytinized soyabean meal

66 (43-76)

1.7 (1.2-2.2)

190; (157-240)

10.1 (9.8-11.9)

3.2 Single Cell Protein

Predictions of future protein shortages have spurred research on non-agricultural methods of protein production. As a result, certain types of high protein products suitable for feeding to livestock and fish are now produced on an industrial scale. Notable among these new protein sources, are single-cell organisms. Man has used single-cell organisms in connexion with his food supply for centuries, primarily in fermentation processes. The direct consumption by man and animals of single-cell organisms, however, is a recent innovation. More commonly referred to as single-cell protein (SCP) because they are high in protein contents this class of feeds tuffs are mainly derived from unicellular organisms such as yeast and bacteria, but can also include fungi and algae. SCP have reasonably well balanced amino acid profiles. When added to the diet of trout, some produced growth comparable to fish meal (Table 4). SCP are an excellent source of some vitamins and minerals and also possess usable lipids and carbohydrates.

Two commercial processes have been developed for large-scale production of SCP. One uses n-paraffin (C-10:C-23 range) as a substrate for growing yeast. The yeast organism most commonly cultured is Candida lipolytica. The other process uses methanol as a substrate and the organism of preference is Methylophilus methylotrophus. Both processes are similar in nature and the process for producing SCP of bacterial origin is schematized in Figure 5. To date, it appears that the process for SCP of bacterial origin is preferred for two very important reasons:

(i) Bacterial SCP produced from methanol is more easily purified. Yeast plants in-Italy and Spain have been closed down because of substrate contamination of the product.

(ii) The bacteria process operates at higher temperatures, 40-50° vs 37° for the yeast process. Since refrigeration is a major cost in operating the plants, operating temperature becomes a vital economic factor in SCP production. Bacterial SCP also has a higher protein content, about 70 percent as compared to 60 percent for yeast.

Table 4 Feed Conversion of Rainbow Trout Fed Experimental Diets Containing Single Cell Protein (Bacterial Origin) for 155 Days


Feed Conversion

% Substitution SCP

SCP added to diet

SCP replacing diet

0

1.22

1.24

25


1.25

50

1.26

1.26

75

1.26

1.32

100

1.26

1.29

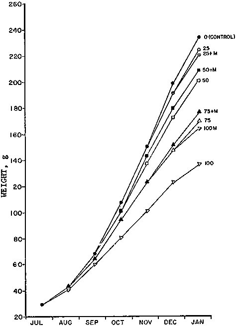
SCP has been extensively evaluated with animals such as pigs, poultry, and calves; excellent results have been reported. Tests with fish have been conducted primarily with salmonids with variable results. In general, yeast SCP can be substituted for about 25-40 percent of, the fishmeal in standard OMP-type diets. Results of some of this work are depicted in Figure 6 and in Table 4.

To date, inconclusive results have been reported with SCP of bacterial origin. Successful substitutions have been made of the entire fish meal component with SCP bacterial in OMP-type diets for rainbow trout in fresh water. When these same diets were fed to coho salmon in salt water, it was possible to substitute only 25 percent of the fishmeal without adverse effects on growth and feed conversion. Fortification of the diets with iron, phenylalanine, and/or methionine did not alter growth or feed conversion. At present, tests are in progress to determine whether the dietary requirements for coho are different from rainbow trout or whether the salt water environment is a factor in the tests. One possible factor relating to the poorer performance of the bacterial SCP is the Ca/Mg ratio of the diet. OMP control diet contains a Ca/Mg ratio of about 6:1. Analyses of the bacterial SCP diets (100, percent substitution) show them to contain a Ca/Mg ratio of 16:1.

In discussing the use of SCP, one should not lose sight of the fact that spent brewer's yeast (BY) is a SCP source and also an article of commerce. It is often used in small quantities in preparing trout rations. Brewer's yeast contains about 45 percent protein, 8 percent fat, 13 percent ash, 10 percent water, and about 23 percent fibre and carbohydrates. It has an excellent amino acid profile, being deficient only in methionine. Recent work at the University of Colorado, however, has shown that when brewer's yeast contributed over 15 percent of the protein in the diet, growth of fish began to decrease. At the 50 percent level, growth was reduced by 30 percent as compared to fishmeal. These investigators showed that the primary problem was that of digestibility, the BY being only 53 percent digestible, with only 76 percent of the protein being digestible. Here again, the problem of the digestibility of a feed ingredient is an important factor in assessing the value of alternative feed sources.

Fig. 5 Process for production of BP protein concentrate (British Petroleum Company)

Fig. 6 Growth of saltwater-grown coho salmon fed Oregon moist pellet diets with 0-100% of herring meal replaced with yeast SCP. M indicates methionine fortification

SCP in the form of dried sludge has been evaluated. The sludge consisting of microorganisms grown on paper mill waste had a composition of 43 percent protein, 0.43 percent fat, 3.0 percent ash, 28 percent fibre and 15 percent carbohydrate. When substituted at the 25 percent level in trout diets containing 32 percent herring meal, growth and feed efficiency were significantly lowered; i.e., feed conversion went from 1.45 to 1.58 while percent daily weight gains fell from 18,2 to 13.7 percent, respectively. Amino acid analysis of the SCP used in these tests showed it to be deficient in phenylalanine, methionine, and arginine. SCP grown on potato wastes, on the other hand, could be substituted for about 40 percent of the total protein of OMP diets without significant loss of performance.

A danger associated with the use of SCP grown on industrial wastes is the possible risk of contamination with mycotoxins - aflatoxin, of course, being the more serious.

3.3 Krill

Of all the unconventional feedstuffs of animal origin, krill represents the largest potentially available source. Various estimates made by fishery biologists show that perhaps over 300 million metric tons could be harvested annually. The problem here, of course, is that krill is widely dispersed, primarily in the Arctic and Antarctic regions, and would require a tremendous outlay in capital and energy for the harvest. Recently, however, there has been a renewed interest in krill fishery with the principal investigations being carried out by the Federal Republic of Germany, Japan, Poland, and the U.S.S.R. Krill meal has been prepared and its reported composition is 55 percent protein, 10 percent moisture, 10-15 percent fat and 15.2 percent ash. The remaining portion of the composition is probably chitin. Analysis of Russian and Polish krill show krill to contain about 1.5 percent chitin on an as-received basis. Krill has been fed in diets to rainbow trout. A diet containing 35 percent starch and 7.0 percent oil was almost (within 5 percent) equal to a control diet containing 70 percent fishmeal, 24.4 percent starch and 4.1 percent oil. When krill was the sole source of protein, growth of the fish was reported to be lower than the fishmeal-fed control.

When isocaloric diets in which the protein contents were solely derived from krill or fishmeal were fed to channel catfish for 19.0 weeks, growth on the krill-fed fish was about 80 percent of those fed the fishmeal diet (Figure 7). Analysis of the amino acid contents of krill meal and zooplankton such as red crab (Pleuroncodes planipes and Euphausid pacifica) show that amino acid profiles of these zooplankton approximate those of herring meal. A possible explanation for the inferior performance of krill is probably related to its high ash content. A process for reducing ash content of crustacea meals by a milling and screening technique has been reported that not only reduces the ash but also increases the protein level of the final product (Figure 8). High ash content, particularly calcium, has been shown to reduce the bio-availability of manganese and zinc in animal feeding studies. If krill could be economically harvested and processed at sea,-the Ca content could be reduced by a procedure developed for the processing of red crab (Figure 9). In this process, the chitinous fraction is reduced by extracting the krill through a flesh-separating machine, or any other appropriate device such as a Beehive separator. The objective in developing this process which yields several products (i.e., meal, chitosan and protein) was to improve the economic prospects of krill utilization.

In feeding salmonids, krill provides an important source of carotenoids. Salmonids are incapable of synthesizing carotenoids and their characteristic red colour can only be derived from ingested carotenoids. In both Europe and the USA, carotenoids are formulated into the diets by the addition of crustacea and/or synthetic carotenoids such as canthaxanthine.

Fig. 7 Growth comparison of channel catfish fingerlings fed with a fish meal diet. (0) and krill meal (+), average weight weekly. (Adapted from Hilge, 1978)

Although canthaxanthine offers ease of formulation, about three times more is needed in the diet to impart the same degree of pigmentation as compared to astaxanthine and astaxanthine esters. It also has a stronger tendency to fade during cooking.

Carotenoids are labile compounds and are prone to degradation by heat, acids, alkalis, and oxidation. They can be somewhat stabilized by antioxidants such as ethoxyquin. A process for producing a stabilized carotenoid extract was developed and is shown in Figure 10.

Fig. 8 Decalcification of crustacean meals

Fig. 9 Processing of red crab (P. planipes) into a feed material, chitin, and/or chitosan

Fig. 10 Preparation of carotenoid concentrates by extraction of shrimp waste with soy oil (Northwest and Alaska Fisheries Center)

3.4 Poultry By-Products and Feather Meal

Poultry by-products and feather meal have long been articles of commerce and their methods of production have been discussed elsewhere. Poultry by-products are primarily used by the pet food industry, and feather meal is a dietary ingredient, in poultry rations. They appear to be excellent protein and lipid sources containing 69 percent crude protein, 10-21 percent lipid and about 10 percent ash. The so-called hydrolyzed feather meal is really a misnomer. It is at best a slightly hydrolyzed product produced by cooking feathers in the presence of calcium hydroxide to increase its digestibility. Little, if any, free amino acids are found in this product. Feather meal has been evaluated in both fresh and salt water species. It contains about 80-85 percent protein and is a relatively good source of sulphur-containing amino acids. Whether these amino acids are completely available has not been demonstrated. Good results have been reported when it is used in catfish diets at the 15 percent level. Poultry by-products are lower in lysine than fishmeal, and trout diets containing over 75 percent poultry by-products would be deficient in the amino acid.

That some of the sulphur-containing amino acids in hydrolyzed feather meal are available to salmonids was recently demonstrated in feeding tests at the University of Washington. In these experiements, trout grew much better on mixes of feather meal and yeast SCP than when either of these commodities was used as the sole source of protein.

3.5 Other Potential Feedstuffs

Other feeds tuffs that may be potential dietary ingredients for fish include rapeseed meal and sunflower meal. These commodities contain from 37 to 43 percent protein. Rape-seed meal has been evaluated recently. Inclusion of up to 22 percent in a basic diet containing 40 percent fishmeal produced satisfactory results in the coho salmon. Because rapeseed meal replaced brewer's yeast, cottonseed meal, and wheat shorts in the test diet, the results were no indication of its true performance as compared to fishmeal. The same study also showered that, although the amino acid profile of rapeseed meal was similar to soya-bean meal, its higher fibre, tannin, and phytic acid contents could pose a distinct deterrent to its use in aquaculture diets. The high glucoinoleate content in rapeseed could also give rise to isothiocyanates and gastrin formation in the gut thereby interfering with thyroid function. Feeding tests indeed showed that, although the diet containing 22 percent rapeseed meal did not markedly decrease growth and feed efficiency, it did result in a compensatory increase in thyroid activity.

A new approach to a rather old process was recently tried; i.e., it was thought that perhaps insect larvae, if properly cultivated and formulated, could serve as an alternate source of nutrients in aquaculture diets. House fly (Musca domestica) larvae were cultivated and tests were made to evaluate their use in OMP-type salmonid and tilapia diets.

The larvae were grown by incubating fly eggs on a substrate composed of two parts wheat middlings, one part alfalfa, and three parts water (Figure 11). The fly egg-substrate mixture was placed in partially covered aluminium containers to a depth of 15 cm and incubated at 30°C for 4-5 days.- After incubation, the substrate and larvae were dried in a rotary vacuum dryer (735 mm of vacuum, 85-100°C) to a moisture content of approximately 8 percent. After drying, the larvae were separated from the substrate by screening. The mean proximate composition of the dried fly larvae was:

moisture

8%

protein

45%

fat

15%

ash

8%

chitin

25%

Fig. 11 Use of insect larvae in aquacultural rations (Northwest and Alaska Fisheries Center)

Amino acid composition was about the same as fishmeal (Table 5). Prior to formulation into diets, the larvae were milled by passing them through a hammer mill equipped with a 16-mesh (1 mm) screen. Isonitrogenous diets were prepared by replacing appropriate quantities of fishmeal in the control diets with purified chitin. These diets were tested on coho salmon and rainbow trout.

Coho salmon were fed a ration ranging from 1 percent to 2 percent of body weight (depending on water temperature) per day. The ration was adjusted every seven days to produce, as closely as possible, the optimum feed conversion. Rainbow trout were fed a ration of 2.5 percent of body weight per day. Ration adjustment was made every seven days. Rainbow trout fed diets containing 25 percent, 50 percent, and 100 percent substitution of fly larvae for fishmeal produced the same growth and feed conversion were determined on two sets of diets (i.e., those in which fly larvae was substituted on an equivalent weight basis and another in which the OMP control diet was prepared on an isonitrogenous basis by the substitution of fishmeal with purified chitin (Table 6). In all experiments, growth and feed conversion (calculated on an isocaloric basis vs direct measurement) were identical.

In another project, diets were prepared by drying the larvae and substrate without separation. After drying, the mixture was milled and directly pelletized without the use of any binders. The pellets produced were very hard and even tilapia did not readily eat the pellets. The project was not pursued further, but it does show promise as a method for upgrading various wastes for use in aquaculture rations. The possibility of using the larvae directly for larval and immature species, such as shellfish species, also presents interesting possibilities. For example Macrobrachia found fly larvae very much to their liking.

Table 5 Comparative Amino Acid Profile of the Proteins of Fishmeal and Fly Larvae

Amino acid

% Protein

Fishmeal

Fly larvae

Alanine

6.34

6.15

Arginine

5.82

5.42

Aspartic

9.35

10.8

Cystine

0.70

0.82

Glutamic

13.3

12.2

Glycine

5.90

5.40

Histidine

2.22

3.50

Isoleucine

4.85

4.13

Leucine

7.35

6.95

Lysine

7.85

7.37

Methionine

2.84

2.24

Phenylalanine

4.35

6.95

Proline

4.35

3.66

Serine

4.55

4.51

Threonine

4.55

4.53

Tryptophan

1.33

1.45

Tyrosine

3.45

8.10

Valine

5.65

5.60

Table 6 Feed Conversion of OMP and OMP-Type Diets Containing Fly Larvae Fed to Rainbow Trout for 155 days

Diet fed

Feed conversion

OMP control

1.23

25% fly larvae

1.29 (1.24)

50% fly larvae

1.36 (1.23)

100% fly larvae

1.55 (1.26)

Values in parenthesis represent feed conversion at iso-caloric basis

It should be pointed out again that the production of mould or bacterial toxins prohibit this type of approach.

4. WASTE RECYCLING AND DIRECT FERTILIZATION

The potential of producing natural feeds for aquaculture by direct fertilization of the aqueous environment or by recycling wastes is described in the following publications: (a) Problems and Potential of Recycling Wastes for Aquaculture, by J. Kildow, Massachusetts Institute of Technology, Massachusetts, 1974, (b) Effects of Feeding, Fertilization and Vegetation in the Production of Red Swamp Crayfish, by F. dark, J. Avault and S.P. Meyer, Department of Food Science, Louisiana State University, Baton Rouge, Louisiana, 1974, (c) Preliminary Results with a Pilot Plant Waste Recycling Marine Aquaculture Systems, by J. Ryther, Woods Hole Oceanographic Institute, Woods Hole, Massachusetts, 1975.

The above works relate to processes that are designed to supply surplus nutrients through fertilization, either directly or indirectly via waste recycling. Theoretically, these processes are most efficient if they are applied to polyculture systems. In actual commercial practice, however, a combination of prepared foods and naturally grown feed may provide the best promise for this system. Experiments conducted in Louisiana, USA, showed that optimum yield with crayfish was obtained when ponds were fertilized with N-P-K (8:8:8) at 130 kg/ha in combination with pelleted feeds. The fertilizer was applied in November, in March, and again in May and June. The vegetation in the pond consisted of phytoplankton, algae, weeds, and smart weed. Fertilizing the pond gave a 13-27 percent higher yield than without fertilizer. Whether the crayfish consumed phytoplankton or fixed plant growth did not seem to matter since other zooplankton consumed the plants which, in turn, were eaten by the crayfish. Both Kildow (1974) and Ryther (1975) presented similar systems. Basically these systems are depicted in Figure 12. Actually, these processes were developed to produce a biological tertiary sewage treatment process capable of removing all inorganic nutrients (primarily N and P) from secondary effluents prior to discharge into the environment (in this instance, the sea). The secondary objective was to develop a marine aquaculture system of a primary crop of shellfish and a secondary crop of other commercially valuable marine organisms such as finfish or shellfish. This, of course, would help defray the cost of the tertiary treatment process.

Treated sewage, therefore, is used to grow phytoplankton. The shellfish then removes the phytoplankton from the water. Solid wastes produced by shellfish and uneaten phytoplankton support dense populations of small invertebrates (amphipods, worms, etc.). These can then serve as food for a secondary crop of lobster or flounder.

The problems related to utilizing wastes, however, are numerous; some of these are:

(a) health hazards

Inorganic accumulation of toxic elements (e.g., arsenic, cadmium, mercury,

(b) aesthetics

Commercial acceptance,

(c) environmental impact

Alteration of coastal environment.

Some marketing studies in the USA have already indicated that it would be difficult to market fish grown under conditions described here. As for the reality of toxin, metal absorption or accumulation, work done at this laboratory has shown that toxic metals such as mercury are rapidly deposited in the flesh and kidney of salmonids when diets containing the metal are fed. In experiments using dogfish meal as the mercury source, it was shown that this accumulation occurred very rapidly in the fish consuming diets at all replacement levels of fish meal by dogfish meal.

With respect to other toxic compounds, work in the UK has demonstrated that effluents of pea silage could be extremely toxic to fish (carp and goldfish). Several types of toxic compounds have been found in these effluents; e.g., volatile fatty acids, sulphites, phenols, and ammonia. Strangely enough, the most toxic factor was the fatty acids which it is assumed were probably found in the greatest amounts. There was also a high percentage of p-cresol which might have been formed by the action of bacteria on tyrosine. Although the purpose of the UK study was to determine the possible toxic effects of pea silage effluents that might find their way into streams, this study would strongly suggest that if direct fertilization of ponds is planned, care should be exercised as the risk of introducing toxic substances via the wastes can be great.

5. FACTORS AFFECTING THE ORGANOLEPTIC PROPERTIES OF FISH

Diet does influence the organoleptic quality of cultured fish. The factors that contribute to the organoleptic quality of fish are as numerous and complex as those associated with other foods. Unlike other foods, however, little attempt has been made to control these organoleptic factors. With wild fish, flavour and general overall acceptance have been associated with its texture, flesh composition (fat and protein contents), and the characteristic flavour constituents that are associated with the respective species. In marine species, it has long been recognized that their flavour is influenced by seasonal and environmental influences. Environmental factors include not only dissolved substances and plant nutrient but also the available animal food supply (food chain), the abundance of which is influenced by such factors as water temperature, water cycle, and photo period. Water temperature influences the fatty acid composition in muscle tissue of teleost fishes. At lower water temperature the fish tend to accumulate more unsaturated fatty acids in their tissues and organs. The relation of fatty acid composition to flavour and textural alteration during processing and storage, of course, is well recognized. It becomes quickly apparent, therefore, that changes in environmental factors need to be minimized when attempts are made to control the organoleptic qualities of cultured fish via the diet.

A broad prospective of the environment as it relates to probable influences on the organoleptic properties of cultured fish is depicted in Figure 13. It should be noted that two environments must be considered: the total environment, consisting of oceans, lakes, rivers, ponds, etc., and the local environment (i.e., the location of the fish with respect to the total environment). The type of fish culture, of course, will determine the degree that these environments influence the organoleptic properties of the fish. A review of the literature reveals that most of the research on the flavour attributes of cultured fish is related to environmental influences rather than specific nutrients. This is particularly true of pond-cultured species where, for obvious reasons, fish are reared in near static water conditions. In this type of environment, the growth of flavour-producing organisms, decomposing plant growth, and unconsumed feed all contribute to the organoleptic characteristic of the fish.

Fig. 12 Model of a multi-species aquaculture food web

Fig. 13 Environmental and dietary influences affecting the organoleptic properties of cultured fish

The organoleptic characteristics of European carp grown in ponds fertilized by liquid manure and those grown on diets of grain or high protein pellets have been compared. Carp grown in the fertilized tanks were claimed to be superior in flavour and colour to those fed the prepared diets. However, fish grown in fertilized ponds had a flesh fat content of about 6 percent, while those fed prepared diets ranged from 14 percent to 22 percent fat. It would appear that, all other factors being equal, the compositional constituents in the flesh more strongly influenced the eating quality of the fish than did the flavour components contributed by the diets.

In contrast to pond-reared fish, marine species such as salmonids are generally grown in non-static water, thus decreasing the effects from environmental factors. But even in a marine environment, it must be kept in mind that environmental factors can easily override dietary factors when attempts are made to control the organoleptic qualities by dietary means. Fish have been described by one aquaculturist as biological sponges that can absorb many inorganic and organic materials through their gills as well as their intestinal tract. Indeed, catfish have been shown to absorb 2-pentanone and dimethylsulphide within 10 minutes after being exposed to their solutions. Hence, while rigid quality control measures are needed to. prevent off-flavours, desirable flavours could be induced by exposing live fish to potentially beneficial solutions. A recent review of environmental and seasonal factors that influence the flavour attributes of the cod claimed that these qualities are related not only to the amount and type of feed consumed, but also to the composition of the lipid that, in turn, is influenced by feed and sexual maturity of the fish. An interesting point brought out by the author is that the post-mortem pH of the muscle is influenced by food supply, lipid content, and swimming activity of the fish (see Love, 1975).

Work covered in the literature definitely shows that consumers and taste panelists can distinguish between wild and cultured fish. Ignoring "off" or foreign flavours, however, it has not been established whether the consumer prefers wild fish, bearing in mind that this is true only when high quality cultured fish of the same size are compared against the wild fish. -In this respect, it had been shown that wild trout possessed distinctly different organoleptic properties from hatchery trout fed a diet consisting of beef, pork spleens, and horse meat. While the wild fish were consistently rated superior in flavour and aroma and texture to the hatchery trout, there was also a considerable difference in the organoleptic factors of the hatchery fish as they were taken from different hatcheries. Again, this indicates environmental conditions playing a major role in governing organoleptic qualities of fish.

In conclusion, it is believed that one can safely say that organoleptic changes, whether they be due to diet or environment, are readily detectable, but whether these changes affect acceptability of the fish has yet to be assessed. No doubt efforts need to be made to maintain some of the basic organoleptic characteristics, such as colour and texture traditionally associated with wild species. One for example, would not question that salmon possessing the characteristic red colouration would have a much wider acceptance than those having no colour. Similarly, but not as pronounced, we would expect that a firm texture in finfish such as salmonids or carp would enjoy a wider degree of acceptance than those possessing a mushy texture. The effect of different flavour notes, except when they are distinctly foreign to the fish, however, are as difficult to assess as they are to control. The seemingly simple expedience of controlling the fat content may prove to be difficult. Some work already shows that changing the lipid content in a salmonid diet does not always significantly or uniformly change the lipid content in the salmon. It would appear that water temperature, growth rate, stocking density, and sexual maturity are all involved in controlling this variable.

Practically all the results in the literature today show that the quality of cultured fish with respect to wild fish should be improved. It is unlikely, however, that this quality improvement will be achieved with the feeds that are in current use. These feeds, after all, were developed to provide optimum growth and feed conversion in the fish. As more is learned about fish nutrition and feeding, it may turn out that supplementary dietary rations will have to be developed that have as their specific function the ability to favourably alter the organoleptic characteristics of the cultured fish. In this area, it is expected that a primary use for alternate or unconventional feedstuffs -for cultured fish will be developed.

6. REFERENCES

Baeder, H.A., P.I. Tach and H.A. Hazzard, 1945 A comparison of hatchery-raised and wild brook trout. Trans.Am.Fish.Soc., 75(1):181-5

Clarke, G.C. and D.J. Humphreys, 1971 Toxic factors in pea hull silage affluent - the factor toxic to fish. J.Sci.Food Agric., 22:205

Higgs, D.A. et al., 1979 Development of practical dry diets for coho salmon Oncorhynchus kisutch using poultry-by-product meal, feather meal, soybean meal and rapeseed meal as major protein sources. In Finfish nutrition and fishfeed technology, edited by J.E. Halver and K. Tiews. Proceedings of a World Symposium sponsored-by FAO/EIFAC/ICES/IUNS, Hamburg, 20-23 June, 1978. Schr.Bundesforschungsant.Fisch. Hamb., (14/15) vol.2: 191-218

Hilge, V., 1979 Preliminary results with krill meal and fish meal in diets for channel catfish, (Ictalarus punctatus Raff.). In Finfish nutrition and fishfeed technology, edited by J.E. Halver and K. Tiews. Proceedings of a World Symposium sponsored by FAO/EIFAC/ICES/IUNS, Hamburg, 20-23 June, 1978. Schr.Bundesforschungsant.Fisch.Hamb., (14/15) vol. 2: 167-71

Idler, D.R. et al., 1965 Effect of environmental and/or physiological factors on quality. Part 1. Newfoundland trap cod. In Technology of fish utilization, edited by R. Kreuzer. London, Fishing News (Books) Ltd., pp.98-100

King, F.J., M.L. Anderson and M.A. Steinberg, 1962 The effect of linoleic and linolenic acids on the solubility of cod actomyosin. J.Food Sci., 27:363-6

Knipprath, W.G. and J.F. Mead, 1965 Influence of temperature on the fatty acid pattern of muscle and organ lipids of rainbow trout. Fish.Ind.Res., 3(1):23-7

Love, R.M., 1975 Variability in Atlantic cod (Gadus morhua) from the northeast Atlantic: A review of seasonal and environmental influences on various attributes of the flesh. J.Fish.Res.Board Can., 32(12):2333-42

Lovell, T., 1974 Environment related off-flavours in intensively cultured fish from fishery products. In Fishery products, edited by R. Kreuzer. West Byfleet, Surrey, Fishing News (Books) Ltd., pp.259-61

Lovern, J.A., 1962 The lipids of-fish and changes occurring in them during processing and storage. In Fish in nutrition, edited by H. Heen and R. Kreuzer. London, Fishing News (Books) Ltd., pp.86-111

Maligalig, L.L. et al., 1975 Flavouring live channel catfish (Ictalurus punctatus) experimentally. Effects of concentration and exposure time. J.Food Sci., 40(6):1242-5

Meyers, S.P. and J.E. Rutledge, 1971 Economic utilization Of crustacean meat. Feedstuffs, 43(43):16

Moav, R., 1977Aquaculture in Israel: a success story. Sea Grant News Lett., 7(I):27-33

Reiser, R. et al., 1963 The influence of dietary fatty acids and environmental temperature on the fatty acid composition of teleost fish. J.Am.Oil Chem.Soc., 40(10):507-13

Spinelli, J., 1979 Influence of feed on finfish quality. In Finfish nutrition and feed technology, edited by J.E. Halver and K. Tiews, Proceedings of a World Symposium sponsored by EIFAC/FAO/ICES/IUNS, Hamburg, 20-23 June, 1978. Schr.Bundesforschungsanst.Fisch.,Hamb., (14/15)vol.2:345-52

Spinelli, J. and C. Mahnken, 1976 Effect of diets containing dogfish (Squalus acanthias) meal on the mercury content and growth of pen-reared coho salmon (Oncorhynchus kisutch). J.Fish Res.Board Can. 33(8):1171-8

Spinelli, J. and C. Mahnken, 1979 Carotenoid deposition in pen-reared salmonids fed diets containing oil extracts of red crab (Pleuroncodes planipes). Aquaculture, 13:213-23

Tiews, K. et al. 1979 Compilation of fishmeal free diets obtained in rainbow trout (Salmo gairdneri) feeding experiments at Hamburg (1970-77/78). In Finfish nutrition and fishfeed technology, edited by J.E. Halver and K. Tiews. Proceedings of a World Symposium sponsored by FAO/EIFAC/ICES/IUNS, Hamburg, 20-23 June, 1978. Schr.Bundesforschungsant.Fisch.Hamb., (14/15)vol. 2: 219-28


Previous Page Top of Page Next Page