Previous Page Table of Contents Next Page


Chapter 15 Recirculatig Systems and Re-use of Water in Aquaculture

J. Kepenyes
Fish Culture Research institute
Szarvas, Hungary


1. INTRODUCTION
2. DESIGN OF RECIRCULATION SYSTEMS
3. THE PROPER UTILIZATION OF CAPACITY
4. GENERAL CONSIDERATIONS
5. REFERENCES


1. INTRODUCTION

The term "Recirculation system" or "recycling system" is used for that type of cultivation unit in which the outflow of the rearing tanks or ponds is partially or completely recirculated to them. Some other terms like "reconditioning system" and "reuse system" are also used to describe the same system.

There are two general types of water recirculation systems: the simple recirculation system and the complex recirculation system. These systems differ from the single-pass system that is shown in Figure la, where Q represents water flow rate required to ensure proper oxygen supply for the animals in the rearing unit, and where Q = 1.0 is the flow rate that is required for a given population (W) in the rearing unit.

Another single-pass system is shown in Figure 1b where pure oxygen is added directly to the rearing unit.

A simple recirculation system is one where the water supply that is needed to support a certain animal population is decreased by employing aeration and/or water treatment. Sometimes there is no treatment in this system at all.

Figure 1c shows a simple recirculation system with external aeration.

In the complex recirculation system a high reduction of water supply can be achieved by employing a water treatment unit, which besides employing re-aeration and mechanical filtration, at least one biological treatment is used. An example of a complex recirculation system is shown in Figure Id where the water supply needed to support a given fish population is reduced to one-tenth of that needed in a single-pass system. In recently developed complex recirculation systems more internal by-pass water cycles can be found, as is shown in Figure 2. These systems usually are semi-closed or quasi-closed systems. The term "closed system" is used when the water is supplied only for filling and to replace evaporation. A common aquarium with a bottom sand-filter may be described as a closed system.

2. DESIGN OF RECIRCULATION SYSTEMS


2.1 Design of Oxygen Supply
2.2 Design for Ammonia Removal
2.3 Design of Complex Recirculation Systems
2.4 Calculation of Water Requirement
2.5 Other Design Criteria


2.1 Design of Oxygen Supply

In designing the oxygen supply, maintenance of the required oxygen concentration in the fish tanks and replacement of the consumed oxygen in the system should be taken into account. The design of the oxygen supply is based on the material balance equation which derived from Figure 3.

Assuming stabilized conditions, the balanced equation on oxygen concentration is as follows:

QCAO-QCA + KLa (Cs - CA) V + (Caout + CA) Qr - mAW = 0

(1)

where

Q = supplemental water or make-up water (m3/d)
Qr = recycled water (m3/d)
CAO = oxygen concentration of inflow water (g/m3)
CA = concentration of the water in the fish tanks (g/m3).
Presuming perfect mixing, this is equal to the oxygen concentration of the outflow water
CAout = oxygen concentration of water outflowing from the aerator placed in the recycled water (g/m3)
Cs = saturation oxygen concentration (g/m3)
KLa = oxygen transfer coefficient of the aerator placed in the fish tank (d)
V = useful water volume of the fish tanks (m3)
W = mass of fish in the fish tank (kg)
mA = specific oxygen consumption, expressing the oxygen consumption of unit mass of fish per unit of time (g/kg/d).

Figure 1a. Single-pass system

Figure 1b. Simple recirculation system with aeration

Figure 1c. Simple recirculation system using direct injection of oxygen

Figure 1d. Complex recirculation system

Figure 2. Advanced quasi closed multiple cycle system

Figure 3. Aeration scheme in recirculation system

The following coefficients are introduced:

Recycling rate:

(2)

Fish density (kg/m3):

(3)

Oxygen deficiency

In the fish tank (g/m3):

D = Cs - CA

(4)

In the inflow water (g/m):

D0 = Cs - CA0

(5)

Efficiency of aeration of the aerator placed in the recycled water:

(6)

Value, characterizing the oxygen content of the inflow water:

(7)

Specific water flow, which is the supplemental water per unit mass of fish (m3/d/kg):

(8)

By rearranging equation (1) and introducing the above mentioned coefficients, the following equation for designing oxygen supply in the recirculation systems can be formulated:

(9)

The correlation between the aeration efficiency (XA) of the aerator placed in the recirculated water and the oxygen transfer coefficient applied to characterize aeration (KLar) is shown below:

(10)

where:

KLar = the daily oxygen transfer coefficient (d) of the aerator placed in the recycled water

VA = useful capacity (m) of the aerator placed in the recycled water.

Equation (9) can be applied not only for designing recirculation systems but for all the intensive systems as well. Special applications of this equation include the following:

i) Recirculation system, where there is no aeration in the fish tank (KLa = 0):

(11)

ii) The same situation as in case i) but where the inflow water is saturated with oxygen (KLa = 0):

(12)

iii) Flow-through system, where aeration is applied into the fish tank itself (Z = 0)

(13)

iv) Flow-through system without aeration (Z = 0; KLa = 0):

(14)

v) Flow-through system without aeration, but the inflow water is saturated with oxygen (Z = 0; KLa = 0; XA0 = 1):

(15)

2.2 Design for Ammonia Removal

In designing ammonia removal, two main considerations should be taken into account:

1) the concentration of toxic nitrogen compounds should not exceed lethal levels, and

2) the toxic nitrogen compounds should be removed or transformed to non-toxic or less toxic materials. To accomplish these ends, a biological purification system which transforms the toxic nitrogen compounds to non-toxic forms should be installed into the recycling system.

Ammonia and organic nitrogen compounds are excreted by the fish in the process of metabolism. The nitrogen compounds are transformed into ammonia by heterotrophic microorganisms. Ammonia in turn is oxidized into nitrite and then to nitrate by nitrifying bacteria.

Ammonia in its un-ionized form is highly toxic to fish. The biological filter installed therefore would provide sufficient surface area to allow for attachment of adequate quantities of nitrifying bacteria needed to convert ammonia into non-toxic or less toxic nitrogen compounds.

A part of ammonia excreted through the gills of fish and originating from the decomposition of organic compounds in the water is transformed to ionized form as follows:

Figure

depends on the temperature (9) and the pH value.

If the allowable concentration of non-ionized ammonia is known, and the ratio f as found in the tables applied, the allowable total ammonia (concentration (CN) can be determined by the following equation:

(16)

The design for ammonia removal in recirculation systems is similar to that of oxygen supply as described in section 2.1. Theoretical scheme of the system is shown in Figure 4, in which, under stable conditions, the following equation can be derived:

CB0 - CBQ - (Cbout - CB)Qr + mAW = 0

(17)

where:

CB0 = total concentration of ammonia-nitrogen of the inflow water (g/m3)
CB = total concentration of ammonia-nitrogen of the water in the fish tanks (g/m3)
CBout = total ammonia-nitrogen concentration outflowing from the biological filter (g/m3)
mB = specific ammonia-nitrogen excretion of fish per unit of time (g/kg/d).

Coefficients (2) and (8) can also be applied here, and the following can be introduced:

i) Efficiency of biological purification system (XB):

(18)

ii) Figure characterizing the ammonia content of the inflow water (XB0):

(19)

Figure 4. Theoretical scheme of ammonia removal in recirculation system

Figure 5. (a & b) Flow-through system without aeration

Figure 5c. Flow-through system with aeration

Figure 5d. Flow-through system using pure oxygen

Figure 5e. Aeration scheme in recirculation system

Figure 6. Complex recirculation system with aeration and biofilter

By re-arranging/regrouping equation (17) and by applying coefficients (2), (8), (18) and (19) the following equation can be formulated:

(20)

where

qB = specific water flow.

It can be seen that this equation formally agrees with equation (11).

Special applications of equation (20)

i) Recirculation system, where the inflow water does not contain ammonia(XB = 1):

(21)

ii) Flow-through system (Z = 0):

(22)

iii) Flow-through system, where the inflow water does not contain ammonia (Z = 0; XB0 = 1) or compounds easily transformable to ammonia:

(23)

2.3 Design of Complex Recirculation Systems

The term "complex recirculation system" is used for that type of cultivation unit, in which a biological filter and an aerator (Figure 6) are both installed. When the ammonia removal is desired equation (20) can be applied.

When oxygen is supplied the quantity of oxygen needed for oxidation of ammonia to nitrite, then to nitrate, in the biological purification system also must be provided.

The quantity of oxygen utilized in the biological filter can be determined, using the following equation:

aQrCBXB = (CAout - CA)Qr

where

a = the quantity of oxygen needed for oxidation of a unit quantity of NH3 - N to NO3 - N. Its value is 4.0 .... 4.6.

While biological filters can be considered as aerators the efficiency of aeration can be calculated using the following equation:

(24)

Their efficiency, however, is negative, thus the negative sign showing oxygen consumption. Positive efficiency on the other hand is provided by aerators.

The resultant efficiency (X.) of these aerators can be calculated by the following formula:

XA = XA1 - XA2XA2 + XA2

(25)

where:

XA1 = efficiency of the biological filter as an aerator
XA2 = efficiency of aerator placed in the recirculation unit

To illustrate the above, determination of the different values are given below:

Basic data:

Temperature of inflow and rearing water 9 = 20°C
Concentration of hydrogen ions pH = 8
Saturation O2 concentration at 9 = 20°C (from a table)

C =9.0 g/m3 s
Ratio of nitrogen forms at q = 20°C and at pH = 8 (from a table)
f = 0.04
Required oxygen concentration in the fish tanks
CA = 4.0 g/m3

Oxygen concentration in the inflow water CA0 = 8 g/m3
Allowable free ammonia concentration in the fish tank in ammonia-nitrogen
Free ammonia concentration in the inflow water
Specific ammonia excretion of fish mB = 1.125 g/kg/d
Specific oxygen consumption of fish mA = 12 g/kg/d

Example 1

Flow-through system without aeration, where the inflow water is saturated with oxygen and does not contain ammonia (Figure 5a).

a) Design of oxygen supply

Oxygen deficiency in the fish tank (equation (4):

D = Cs- CA = 9.0 - 4.0 = 5.0 g/m3

Specific water flow (equation (15):

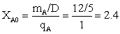
b) Design of ammonia removal

Allowable total ammonia nitrogen concentration (equation (16):

Specific water flow (equation (23):

As qA > qB requirements should be fulfilled thus

q = qA = 2.4 m3/d/kg

Example 2

Flow-through system at CA0 = 8 g/m3 and (Figure 5b)

a) Design of oxygen supply (equations (5), (7) and (14))

b) Design of ammonia removal (equations (16), (19) and (22):

Example 3

Where the specific flow-through water is to be kept at a lower value determined for ammonia qA = qB = 1.0 m3/d/kg, in which case aeration is needed the process can be carried out by three different methods:

a) Aeration in the fish tanks (equation (13)) where fish density:

S = 35 kg/m3 (Figure 5c)

For necessary oxygen transfer coefficient of aerator (equation (9)):

b) Increase of oxygen content of inflow water (formula 14)) when

Supply is needed where

D0 = D (1 - XA0) = 5 (1 - 2.4) = 7.0 g/m3

and

CA0 = Cs - D0 = 9.0 + 7.0 = 16.0 g/m3

which means that inflow water is to be oversaturated by 16.0/9.0 = 1.78 = 178% oxygen. This, however can be carried out only by addition of pure oxygen (Figure 5d).

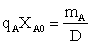
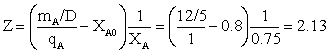
c) Aeration in the recycled water (Figure 5e) where efficiency of the aerator (XA) equals 0.75:

circulation rate can be achieved (equation (11)) if water flow through the fish tanks is:

qA total = qA (1 +Z) = 1 (2.13 +1) = 3.13 m3/h/kg

In sequentially constructed systems, if we take XA equal to XA0 and Z a whole number, then in the present example XA = XA0 = 0.8 and Z = 2.

Then

This is the specific water flow of the system, as also

q = qA = qB = 1.0 m3 . d . kg (see 2.3, example 2b)

As described in the system shown in Figure 7a, dividing the fish tank into parts Z + 1 (in this case into three parts) parallel to the direction of the water flow, and the aerator into Z parts (in this case into two parts) and supplying water according to Figure 7b it is obvious that Figure 7b can be laid out according to Figure 7c, and a sequentially constructed system results.

Example 4

Complex recirculation systems where a biological filter and an aerator are installed into the recirculated water (see Figure 6).

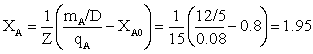
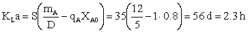
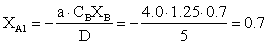
If in this example the circulation rate Z = 15 and the efficiency of biological filter XB = 0.7, specific supplemental water for ammonia (formula 20)) is:

Water flow in the fish tank is:

qB (Z + 1) = 1.28 m3/d/kg

Water flow through the recirculation unit is:

qBZ = 1.2 m3/d/kg

Figure 7. Sequentially constructed systems

Required efficiency (qB = qA) of aeration (aerator + biological filter) is:

The biological filter needs oxygen, the quantity of which is:

Efficiency of aeration: (see formula (24))

Required efficiency of aerator (formula (25)) is:

Oxygen concentration of the water outflowing from the aerator is:

Cs - (1 - XA) D = 9 - (1 - 1.95) 5 = 13.75 g/m3, which is equal to 13.75/9.00 = 1.53 = 153% oversaturation

2.4 Calculation of Water Requirement

Water requirement of different fish culture systems, termed specific water requirement (v), is the amount of water needed for production of a unit mass of fish flesh:

(26)

To calculate this figure, a value for specific growth rate (G) is needed. This can be determined as follows:

(27)

where

G = specific growth rate (g/kg/d)
W = mass of fish (kg)

If value G is not constant during the growing season, its average can be calculated by the following formula:

where

W0= initial weight of fish (kg)
WT = mass of fish at the end of growing season (kg)
T = growing season (d)

The specific water requirement (m3/g) can be calculated when the specific water flow (q) and the specific growth rate (G) are known, as follows:

(29)

or

(30)

where

q = specific water flow (m3/kg/d) according to calculation in the previous chapter

Specific water requirement calculated for the systems shown in example 2.3 can be seen in Table 1 where it is presumed that G = 20 g/kg/d.

Table 1 Water Requirement of Different Fish Culture Systems Assuming that G (Specific Growth Rate) = 20 g/kg/d

Denomination

Reference section

m3/d/kg

m3/kg





Flow-through system supplied with oxygen saturated supplemental water free of ammonia

2.3 ex. 1

2.4

120

Flow-through system (when the supplying water is not oxygen saturated and contains some ammonia)

2.3 ex. 2

3.0

150

Flow-through system with aeration of the fish tank or with application of pure oxygen

2.3 ex. 3 a & b

1.0

50

Recirculation system with aerator

2.3 ex. 3c

1.0

50

Complex recirculation system

2.3 ex. 4

0.08

4

2.5 Other Design Criteria

When the circulation rate is chosen (Z), the following facts must be taken into account:

a) The supplemental water of the recirculation system (Q) must make up for all water losses in the system, such as seepage water, evaporation, back washing of the filters, etc.

b) Other products of metabolism must not reach toxic concentration for the fish. Nitrate concentration in the fish tanks can be calculated by the following equation:

where:


Example: If the nitrate concentration of the inflow water in the system described in 2.3, example 4 is:

then

3. THE PROPER UTILIZATION OF CAPACITY

In a fish production system the initial fish mass (W0) reaches Wt value during the culture period (T) (see Figure 8).

It is presumed that the specific growth rate (G) and the specific water requirement (q) are constant during the growing season, in which case the specific water requirement on the basis of equation (26) is:

(32)

where

V = the theoretically needed water volume (m3) for growing the fish mass (WT - W0)

On the basis of equation (30) and equation (32) the volume of water theoretically provided during the growing season is:

(m3)

(33)

The water volume flowing through the system is:

Q = qW

(m3/d)

and theoretically must increase in relation to the increasing mass of fish. It reaches the highest value at the end of the growing season, when W = WT.

(m3/d)

(34)

The water supply system (water intake, pumps, pipelines) must be designed for the maximum water flow. In most of the fish production systems the flow-through water is not modified during the growing season, it is constantly at a value determined by equation (34). In this case the amount of water utilized during the growing season is:

V¢ = qWTT

(m3)

(35)

Figure 8. Diagrams of fish production and water requirements

The ratio of amounts of water determined by equations (33) and (34) shows the relationship between the theoretically needed and the actually utilized amount of water. This ratio is called utilization coefficient.

By using this correlation and after simplification, the following equation can be derived:

(36)

or

(37)

In the above cases, there is only one stocking and one harvest in a rearing unit. The utilization coefficient is arrived at assuming that fish reached the mass upon complete utilization of the system at the end of the culture period (T). Utilization can be increased by raising the fish through a number of stages (n).

Where stocking of fish is done in T/n = 2 stages, the first batch W0 is put in the first tank group and is reared there for T/n time. After this period the first group is transferred into the second tank while a second stock material W0 replaces the first lot in the first tank, etc.

Figure 9 gives an example when n = 3.

Utilization coefficient of an n value can be calculated by substituting T of the previous equation with T/n value.

Example:

For different n values and assuming G = 20 g/kg/d and T = 150 d, the utilization coefficient is:




Figure 9. Diagrams of fish production and water requirement in complex recirculation system

The specific water requirement of the complex recirculation system described in example 4, section 2.3 is:

v = 4 m3/kg

The practical specific water requirement at constant water flow is:


and

4. GENERAL CONSIDERATIONS

The following factors should be noted when designing a system in a given location:

1) Availability of supplemental water

The quality and temperature of water should be constant (i.e. the well should be founded either on subsoil - or bank filtered water).

2) Disposal of effluent water

Effluent water is made up of:

rinsing water (from the purification units), washing water (containing disinfecting chemicals) and sewage water.

Sewage and washing water can be connected into the sewage system or collected and then disposed of. Washing water should be neutralized before disposal.

Energy supply, thermal and electric

To provide thermal energy it is advised to use cheap natural hydrothermal or industrial waste heat energy from effluent water of power stations where possible. If the quality of the natural thermal water is not suitable for fish culture, it should be utilized with a heat-exchange or heat pump system. A two-directional electric energy supply or motor generator back-up unit will ensure continuous operation of the system.

Other facilities

1. Road

A paved single lane road will be needed for easy transportation, servicing, etc.

2. Building

The building houses the following:

culturing unit, including tanks and troughs; control room for water control; purification, energy supply, aeration; service rooms (changing room, office, laboratory, food-preparation, store-room, aggregate room).

3. Technological parts

- Fish tanks of 100 l to 2 m3 volume for proper stocking of different species, preferably of polyethylene with adjustable water level;

- concrete pipe lines with gravity system to collect waste water;

- sedimentation tank possibly with direct disposal of the water (without extra water lifting);

- biological filter;

- water purifying unit to rinse the filter system and to keep the reserve water;

- ventilation, aeration - preferably with liquid oxygen. Facilities using atmospheric oxygen should be designed so that oxygen-saturated water enters the system. In the tanks the possibility of local aeration should be ensured as well;

- water disinfecting facilities (ozonization, ultra-violet sterilizer, chlorination); pumps, air filters, compressors;

- pipes (polyethylene), profiles, mountings.

4. Other provisions

- heating
- ventilation;
- illumination;
- lightning protection.

5. REFERENCES

Berka, R., B. Kujal and K. Lavicky, 1980, Recirculation systems in Eastern Europe. Paper presented to EIFAC Symposium. New developments in the utilization of heated effluents and recirculation systems for intensive aquaculture. Stavanger, Norway, 28 May - 3 June 1980. Rome, FAO, EIFAC/80/Symp. R./l4.2:22 p. (mimeo)

Colt, J.E. and D.A. Armstrong, 1981, Nitrogen toxicity to crustaceans, fish and molluscs. In Proceedings of the Bio-Engineering Symposium for fish culture, edited by L.J. Alien and E.C. Kinney. Bethesda, Maryland, Fish Culture Section of the American Fisheries Society, pp. 34-47

Kepenyes, J. and A. Ruttkay, 1983, Water requirement of fish production. In International Conference on water management and production potential in agriculture. Szarvas Hungary, pp. 90-100

Mayo, R.D., 1981, Recirculation systems in northern America. Schr. Bundesforschungsanst. Fisch., Hamb., (16/l7) Vol. 2 :329-42

Rosenthal, H., 1981, Recirculation systems in western Europe. Schr. Bundesforschungsanst. Fisch., Hamb.. (16/l7) Vol. 2:305-16

Spotte, S., 1979, Fish and invertebrate culture; water management in closed systems. New York Wiley-Interscience, 145 p. 2nd ed.


Previous Page Top of Page Next Page