Previous Page Table of Contents Next Page


Livestock policy and development in Latin America


Meat and milk consumption
Livestock production
International trade in livestock products
Livestock lending in Latin America
Government policy: when and how to intervene
Priority issues in Latin American livestock development
Bibliography

L. S. Jarvis

The address of Prof. Lovell S. Jarvis is Department of Agricultural Economics, University of California, Davis, CA 95616-8512. This article, which summarizes material by the author in Livestock Development in Latin America (1986), contains few citations. The author adds that "a more complete record of my considerable intellectual debts is contained in that book"

Beef is a staple food for the both poor and the rich in Latin America where per caput consumption averages 45 kg. The region has great potential thanks to its abundant grasslands, favourable climate, large herds of good genetic potential and livestock tradition.

This article discusses factors that form and constrain livestock development policy decisions within the Latin American region. It deals primarily with economic policy-issues affecting, in particular, beef and dairy cattle production because of its importance to the region. Consequences of fluctuations in world demand for beef are analysed and World Bank support to livestock development in the Latin American region is discussed.

Meat and milk consumption

Meat and milk consumption probably assume greater political and economic importance in Latin America than in any other region of the world. Annual per caput meat consumption in the region averages about 45 kg,, some 2.5 to three times the levels reached in Asia and Africa, and is much higher in the temperate zone (more than 100 kg in Argentina and Uruguay) than in the tropical zone (about 35 kg). Per caput milk consumption averages approximately 105 kg, some 2.5 to three times higher than the levels in other developing regions. Meat and milk together account for about 18 percent of Latin America's total expenditures and 38 percent of total food expenditures for the average urban family (Muchnik de Rubinstein and Nores, 1980).

The variation in meat and milk consumption patterns among Latin American countries reflects availability and opportunity costs of different types of resources in the area, and attention to consumption patterns is important for tailoring policies to specific country characteristics and needs.

Table 1 shows the level of meat consumption in most Latin American countries for the periods 1964-1966 and 1975-1977. In Table 2, the consumption data are rearranged to show the per caput consumption of all meats in 1975-1977 and also the share of each meat type. The variation in total meat consumption across countries is wide ranging from about 13 kg to 141 kg - reflecting the substantial variation in both income and agricultural resources.

1. Average annual meat consumption,* 1964-66 and 1975-77 - Consommation annuelle moyenne de viande, 1964-1966 et 1975-1977 - Consumo anual medio de carne, 1964-66 y 1975-77

Beef accounts for 50 percent of total regional meat and fish consumption and is the most important meat in every country except Peru and several of the Caribbean islands. In most countries of the world beef is considered a luxury food, but in Latin America it is a staple for the poor as well as for the rich. Household expenditure for beef rises with income but beef consistently accounts for the highest share of family expenditures in the lowest-income quartile of Latin America's cities (Muchnik de Rubinstein and Nores, 1980).

Strong consumer preferences and beef's relatively low price because of the region's abundant pasture resources, have traditionally allowed it to compete favourably with other meats. Pork and poultry each amount to 18 percent of Latin America's meat consumption, while lamb, mutton and goat consumption is low in most countries. Fish accounts for 15 percent of regional "meat" consumption and should be considered when planning livestock production strategies.

Significant fluctuations in per caput consumption occur as a result of cyclical income and beef price movements but the trend has been for beef consumption to grow slightly more rapidly than production and for exports to decline. Up until the 1980s, beef demand rose by approximately 5 percent annually as a result of population and income growth but, subsequently, rising beef prices held per caput consumption constant so that total consumption rose at approximately the same rate as population growth: 2.6 percent per year. Population growth and beef consumption, however, were more rapid in the tropical rather than the temperate region. The prolonged economic recession in Latin America during the 1980s reduced the growth rate of milk and meat production.

Poultry consumption rose rapidly throughout the tropical region. In Chile over the last 15 years this increase was largely the result of improved technology (balanced feeds, hybrid birds, sanitary controls and large-scale operations) which produced a better product at a lower cost. Pork consumption rose significantly during the 1960s but little during the 1970s, and technological change has been less pronounced in the swine industry than in the poultry industry.

Income and price elasticities. Poultry consumption will grow more rapidly than beef or pork in response to rising incomes, but consumption shares are not expected to change greatly. If domestic beef demand continues to outstrip domestic production, beef exports will decline further (Valdés and Nores, 1980). It is unlikely that the region will become a net importer because of its strong comparative advantage in beef, but production will necessarily take on greater priority to satisfy consumption and prices may have to rise. If international markets provide increased demand for beef, its price could rise substantially, thereby shifting consumption toward other meats - although it is estimated that a 30 percent price increase would reduce beef's share only by about 10 percent.

2. Share of various meats in total meat consumption, 1975-77

Part des divers types de viande dans la consommation totale de viande, 1975-1977

Proporción de los diversos tipos de carne en el consumo total, 1975-77

Country

Total

Beef

Pork

Poultry

Fish


consumption






(kg per caput)

(Percentage)

Tropical Latin America






Bolivia

31.4

51.9

17.5

3.2

2.9

Brazil

38.0

50.8

19.7

13.9

3.4

Colombia

33.9

70.5

12.1

8.6

7.1

Costa Rica

26.6

70.7

12.4

6.0

10.9

Cuba

40.8

40.9

14.5

19.9

24.8

Dominican Republic

21.3

35.7

16.9

32.4

14.6

Ecuador

28.3

41.0

14.1

8.5

28.6

El Salvador

13.7

43.1

19.7

16.1

12.4

Guatemala

13.4

63.4

10.4

17.2

4.5

Guyana

44.4

16.0

6.1

29.1

47.1

Haiti

13.5

31.1

40.7

6.7

8.1

Honduras

12.8

57.0

13.3

25.8

3.9

Jamaica

49.7

23.3

8.0

38.0

27.4

Mexico

26.6

35.7

27.1

17.3

13.5

Nicaragua

35.1

63.2

14.0

8.3

12.3

Panama

42.1

66.7

8.6

13.5

10.5

Paraguay

64.7

56.0

34.3

5.9

1.5

Peru

35.7

18.9

10.4

22.4

33.9

Trinidad and Tobago

40.2

16.7

8.7

5.1

16.4

Venezuela

55.2

46.0

10.0

25.4

17.0

Temperate Latin America






Argentina

140.5

66.8

7.3

6.2

0.6

Chile

42.1

54.6

7.6

10.0

19.5

Uruguay

107.7

75.3

5.2

4.9

3.8

Source: See Table 1.

Livestock production

Structure. Latin America stands out as a meat producing region and 94 percent of production is for domestic consumption. Most livestock types are found throughout the region, but cattle are particularly important where pasture resources are abundant, and poultry and pork where pasture resources are scarce. Mutton and lamb are prominent only in temperate areas.

Beef production has grown at about 2.6 percent per year, milk production at about 3 percent, swine production at about 2.5 percent and poultry at about 10 percent. Except for poultry, production has usually grown more slowly than demand, but growth rates vary considerably across countries because of differences in demand, resource availability and policy.

Latin American animal productivity is high compared with that of most other developing countries but is low in comparison with levels achieved in developed countries. Animal productivity for swine is lowest with respect to world levels but for bovine, poultry and sheep it is close to world averages. Low product prices have made it unprofitable to develop the more costly high-input systems used in North America and Europe. Improvements in pasture technology and management have begun to increase productivity during the last two decades, but in many areas of Latin America it has been more profitable to expand the area ranched rather than increase output per hectare.

Analysis of farm production systems is essential for improving the design of livestock research and production policy. Most beef is produced on medium and large ranches but a significant fraction is produced on small farms. Efforts to develop beef production have mainly been oriented toward medium and large ranches and the technologies developed for these farms are usually not well-suited to smallholders. The benefits of integrating animal and crop production are not achieved on most small farms. Greater emphasis on small farm needs and potential is justified by both production and equity concerns.

Theory. Economic models of livestock production have been developed to provide insight into producer responses to changing economic environments, especially price changes, and guidelines for government policy. Economic theory indicates that an individual animal should be retained by the producer so long as its production (capital) value exceeds its slaughter value (Jarvis, 1974). Deciding whether to retain, sell or slaughter an animal is a major production decision and, aggregated across producers, it affects both the short- and long-term supply of livestock products.

Economic models shed light on a number of frequently observed phenomena associated with the beef industry in Latin America. It can be shown, for instance, how an increase in beef prices, drought or a technical change will affect such variables as the amount of feed provided to animals, the desired herd size, the number of animals slaughtered, their average weight and the values of different animals. When appropriately aggregated, these elements yield a macro-economic explanation of the cattle sector's performance.

In the beef sector, a negative short-term slaughter response to beef price changes is observed. When the price of beef increases (decreases), the number of animals slaughtered decreases (increases). The apparently perverse response to price changes is unusual among economic activities and it has been suggested that beef producers do not respond normally to economic incentives. However, this result is because current beef price changes are a primary determinant of expected future prices, which in turn determine desired output levels. It is also because cattle are a major input in their own production and consequent efforts to build the herd up (in response to an improving price situation) require a-reduction in the current number slaughtered. As beef prices rise, it usually becomes profitable to feed steers to heavier weights and to produce more calves. The withdrawal of steers, cows and heifers from slaughter temporarily reduces beef supply, but when these animals plus the additional calves produced are eventually sold, beef production again increases. Thus, although the short-term price response is negative, the long-term response is far-reaching and positive. Estimates of the short-term supply elasticity are in the order of -0.2 to -0.4, while estimates of the long-term supply elasticity exceed 1.0. The negative slaughter response can create substantial policy problems because a higher price can cause reduced beef availability for several years before ultimately leading to increased meat availability (Jarvis, 1974).

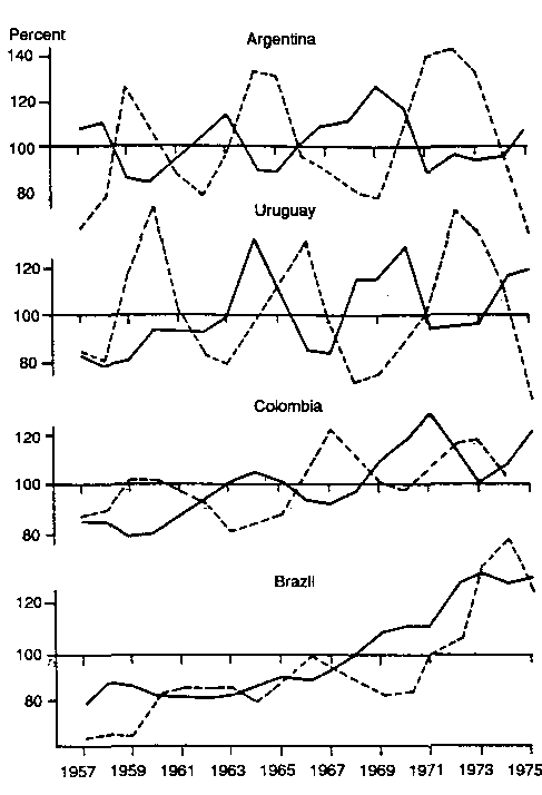
The cattle sector in most countries exhibits "cattle cycles"; that is, slaughter and beef prices oscillate about a trend over time (see Fig.). Even though cycles appear to be somewhat regular, they are difficult to predict. The amplitude and periodicity of the cycle are higher when: the technical efficiency is lower; the climatic variation is greater; the proportion of output exported is higher; and the consumer demand is less elastic. The existence of cattle cycles increases the risk of long-term ranch investment and creates incentives for producers to focus attention on speculative activity rather than long-term technological improvement. They also encourage governments to interfere with market activity (for example, restraining beef price movements at the retail level); reduce foreign exchange income if a greater volume of exports occurs in the "excess supply-low price" part of the cycle; increase the capital investment required; and raise the average cost in meat processing.

Cattle cycles create economic problems in countries exporting a large proportion of output. This is because external demand variations require relatively large changes in domestic consumption, which can only- be achieved with large price swings. Any demand shift causes a price movement in the same direction and the associated slaughter change is the reverse, exacerbating the situation. Governments often intervene in markets to alleviate the domestic impact of such cycles. This intervention often distorts markets and consequently reduces production. Alternative policies, such as providing better information, may allow governments to reduce the effect of cycles at a lower cost.

Price patterns for cattle in selected South American countries - Evolution cyclique des prix du bétail dans certains pays d'Amérique du Sud - Ciclos de precios de ganado en algunos países de América del Sur

Economic models can also highlight the greater profitability of dual-purpose cattle compared to specialized beef or milk production in tropical areas. Because of environmental stress in these areas, it is costly to achieve high production levels with specialized animals. Joint milk/beef production, which spreads the costs of raising and maintaining a cow over both outputs, is more profitable. The production complementarity of beef and milk implies that short-term responses are lessened and that a price increase for either product is likely to increase the long-term output of both products (Jarvis, 1982).

International trade in livestock products

Structure. Trade in livestock products has historically been an important source of foreign exchange for many Latin American countries but the region could produce a much larger livestock surplus for export, especially beef. The degree of stimulus provided by export markets significantly affects the rate and degree of livestock development.

During the last decade, the net Latin American livestock trade balance declined by about 50 percent in constant dollars. Trade took place in four major categories: fresh meat, other (processed) meat products, dairy products and eggs. The deteriorating trade balance essentially resulted from constant fresh meat and meat product exports, mainly beef, and rapidly rising dairy product imports, mainly milk.

Beef dominates the fresh meat trade, accounting for 83 percent of net exports. Poultry accounts for 7 percent of net exports and pork is the only meat in which a small regional deficit exists. Dairy product trade is almost exclusively limited to imports, mainly dry, condensed and evaporated milk and cream, which increased by 400 percent between 1971 and 1980. Imports accounted for only 5 percent of total regional milk consumption in 1980, but in seven countries they exceed 20 percent. Competition from subsidized sales of EEC milk exports were partially offset in the early 1980s by increased production in many Latin American countries. Given the situation of increasing production and local demand, because of recession a number of Latin American countries such as Brazil and Colombia are now essentially competitive in milk.

About one-half of the countries have been fresh beef exporters over the past two decades, one-third importers and one-sixth self-sufficient (see Table 3). Argentina and Uruguay accounted for 77 percent of regional exports in 1981. Other exporters include Colombia, Paraguay, Costa Rica, Honduras, Panama, Nicaragua and Guatemala. Brazil and Mexico were exporters until the late 1970s when rapid economic growth moved them back to a self-sufficiency status. Economic recession in the 1980s reduced domestic consumption, temporarily converting both to exporters again. Principal beef importers are Peru, Venezuela and the Caribbean island nations. Brazil has become a leading world poultry exporter, while Venezuela is the largest regional poultry importer.

3. Latin American trace in livestock products, 1971 and 1980 - Commerce des produits de l'élevage en Amérique latine, 1971 et 1980 - Comercio de productos pecuarios en América Latina, 1971 y 1980

In the early 1970s, when international beef prices rose rapidly and Argentina's export price rose by 150 percent between 1969 and 1973, several Latin American countries poised themselves to supply increased amounts of beef. Then, unexpectedly, beef demand declined after 1975 and international beef prices fell below 1969 levels. Recovery has been slow and real prices remain well below their 1973 peak. It appears that developed country consumers are demanding less beef. Considerable pessimism and uncertainty now exist in Latin America regarding the long-term demand for beef exports.

Policy issues. The expected long-term trend in total world demand for beef is unclear, especially for products from countries where beef is subject to sanitary restrictions because of foot-and-mouth disease (FMD). In addition, the cyclical swings in beef demand and supply, which are likely to be exacerbated by government intervention, may increase risk and discourage output.

International trade in beef and veal is segmented into distinct markets by commercial and sanitary restrictions. Commercial restrictions are imposed in importing countries, such as the United States, EEC members and Japan, to increase the prices received by domestic producers, while sanitary restrictions are imposed to protect domestic herds from FMD. Mexico and Central America are free of FMD while most countries in South America have endemic FMD.

Commercial and sanitary restrictions diminish world livestock production and trade. Trade restrictions and production subsidies cause producer prices to be two to seven times higher in the importing countries than in the exporting countries. It has been estimated that a 50 percent reduction in Organisation for Economic Cooperation and Development (OECD) beef trade restrictions would increase the value of annual Latin American beef exports by nearly 50 percent (Valdés, 1983). Sanitary restrictions also separate world markets into thinner and less stable segments. Beef exported from countries having FMD sells at approximately 20 percent less. In general, trade restrictions benefit producers and harm consumers in importing countries while harming producers and benefiting consumers in exporting countries.

Livestock lending in Latin America

History. World Bank lending for livestock development was initiated in Uruguay in 1959. Livestock projects were financed in 19 other Latin American countries between 1963 and 1973, and by 1983 approximately 75 projects containing important livestock components had been financed by the World Bank.

Project lending rose throughout 1973 but subsequently declined because the drop in international beef prices reduced the profitability of beef production. Greater concern about income distribution shifted the emphasis from the financing of relatively large, affluent commercial ranchers to the smaller farms which, at least initially, required greater technical and staff efforts but were able to absorb fewer funds.

Approximately 60 percent of World Bank lending was for beef production, about 30 percent for dairy production and smaller amounts for sheep, swine, poultry and other livestock production. Cattle were emphasized because they are the most important livestock type in terms of production, consumption and international trade, and the region has great potential as a result of its abundant grasslands, a favourable climate, large herds of good genetic potential and a livestock tradition.

Strategy. The strategy followed in most early beef and dairy projects was that of improving animal nutrition through better pastures, mineral supplementation and better infrastructure and animal management, including the control of disease and parasites. Dairy projects placed greater emphasis on genetic improvement while strategies for swine, poultry and other species varied.

Investments in private ranches, pasture improvement, fencing, corrals, dips, machinery, watering points and breeding stock were financed by long-term credit to producers. Projects also provided limited technical assistance in farm planning and management.

The livestock strategy chosen required substantial investment, increased use of variable inputs and better management - changes which were closely interlinked. While the approach adopted had considerable technical and economic justification, it made livestock production a more complex undertaking. The severity of several problems was initially underestimated. The economic context was less favourable than expected because the Bank was unable to persuade most to forego market government intervention, and international prices declined after 1973. In addition, producers were reluctant to shift from traditional low-input, low-cost technologies to more costly, management-intensive approaches without the assurance of a stable market, which could not be guaranteed. Technical and economic planning was required but most ranchers were unaccustomed to planning or record maintenance while many technologies were promising in the long term but not adequately adapted to the local context when projects were initiated.

Despite these obstacles, livestock lending in Latin America has been reasonably successful. Ex post calculations of the economic rate of return was available for 32 projects for this study and these averaged 12.5 percent. Few projects were failures; most strengthened credit, technical assistance and policy planning agencies and achieved technological improvements.

Issues. A number of problems recurred during project implementation; for example:

Mixed-breed cattle in the Colombian Llanos being fed mineral supplements - Bovins de race mixte dans les Llanos colombiens, auxquels on donne un complément de substances minérales - Vacunos de diversas razas en los Llanos colombianos, a los que se administran suplementos minerales

Agricultural researchers inspecting an improved pasture triar - Agronomes inspectant une parcelle d'essai de pâturage amélioré - Investigadores agrícolas inspeccionan un ensayo de pastos mejorados

Zebu-Criollo cattle in the Latin American tropics - Zébus Criollo en Amérique latine tropicale - Vacunos cebú-criollo en una región tropical de América Latina

· The profitability of new investments and management techniques depended on higher and more stable producer beef prices, but governments found it politically difficult to accept higher-beef prices which, consequently, were unstable.

· Long-term credit was an essential project component because proposed investments were large relative to farm cash flow and had long gestation periods. However, interest rate ceilings in many countries resulted in substantial producer subsidies. Loan indexing was encouraged to achieve positive real interest rates in countries where inflation was high, but the introduction of indexing proved highly conflictive and time-consuming in practice and distracted attention from production issues.

· Concern with income distribution focused attention on the regressive impact of interest rate subsidies to larger ranchers; the effects of beef price increases on urban consumers; the incompatibility of livestock projects with ongoing land reform efforts in a number of countries; and the social implications of livestock/ crop competition for land.

· Technology transfer proved more difficult than expected. Important adaptations to the local environment were required. Systematic monitoring, evaluation and applied research components had to be added to achieve a feedback mechanism which would permit such adaptations. Managerial improvements also proved essential; they occurred slowly and were inhibited by the prevailing socioeconomic framework.

· Institutional development was important. Project units needed to recruit and train competent staff and convince both ranchers and traditional lending agencies that the recommended- development approach was sound. Credit agencies had to substitute technical and economic criteria for political and social criteria in evaluating loans.

· Within tropical regions, projects sometimes promoted specialized beef or milk production until additional analysis indicated that dual-purpose production was

Government policy: when and how to intervene

Policy focus. Government intervention in the livestock sector has been concerned primarily with the distribution of output among producers, consumers, processors and government (revenues). Preoccupation with distributional aims has been motivated partly by long-standing social tensions and by an apparent lack of other instruments with which to tackle distributional goals more efficiently. Equity is a valid concern, but efforts to utilize livestock prices as instruments of income redistribution have achieved distributional goals only partially and temporarily and have incurred a high cost in terms of foregone production. A number of governments have begun to adopt actions with a positive production impact. They are:

· Livestock sector policy analysis, including the identification of key constraints on livestock industry development; the provision to producers of information regarding national and international markets; and the design of more efficient policies to achieve government goals.

· Applied and basic research which cannot be profitably undertaken by private firms.

· Animal health programmes involving the collection of industry and animal health data, policy definition, supervision of health regulations and quality controls on vaccines.

· Extension services to assist in development, demonstration and the communication of improved technologies and management techniques to producers, including owners of smaller farms.

· Infrastructure permitting, (improved) access to productive regions in order to reduce costs of inputs and outputs and to encourage the diffusion of new technologies.

· Negotiation with importing country governments regarding sanitary and commercial trade restrictions imposed on livestock products, with the purpose of achieving greater long-term access and market stability.

Priority issues in Latin American livestock development

Latin American governments face a trade-off between higher livestock prices to encourage output and lower prices to benefit consumers. The political strength of urban consumers has usually induced governments to restrict prices. This policy is feasible, however, only as long as a country has an export surplus or if it is willing to subsidize the cost of imports. In both cases, the loss of foreign exchange is costly. Increased livestock product consumption because of population and income growth will exacerbate the situation and, in the long term, consumers will be harmed rather than helped by price restrictions.

Rapidly rising domestic milk demand and increased milk imports suggest that government efforts to restrict the increase in domestic milk prices also will reduce economic welfare. Limited protection against concessionary milk exports from developed countries may be justified if domestic production potential is high.

In the lowland tropics, dual-purpose beef-milk production is often more economical than specialized beef or milk production. Priority should be placed on development of small- to medium-size dairy plants, road infrastructure and milk collection facilities and better pastures for improved cow nutrition.

Foot-and-mouth disease has been eliminated in Mexico, Central America, Chile, a small part of Colombia and several other smaller and relatively isolated Latin American nations. With these exceptions, Latin American beef exports are subject to sanitary restrictions, resulting in lower prices and greater uncertainty. Production losses and costs involved in FMD control are also substantial.

Cattle foraging in improved tropical legume pastures - Bétail paissant sur des pâturages améliorés de légumineuses fourragères tropicales - Vacunos en pastos mejorados de leguminosas tropicales

Demonstration of results from stocking rate trials on improved pastures - Démonstration de résultats d'essais de taux de charge de pâturages améliorés - Demostración de los resultados de los ensayos de densidad

Triple-purpose livestock: small farmer ploughing with an ox and cow in Colombia - Bétail polyvalent (viande-lait-traction); un petit agriculteur laboure avec un bœuf et une vache en Colombie - Vacunos trivalentes: un pequeño agricultor arando con un buey y una vaca en Colombia

Several Latin American nations may find eradication of FMD attractive in the future (Muchnik de Rubinstein, 1978). Because it would benefit producers and possibly harm consumers, efforts are unlikely to receive widespread support. Eradication is likely to require cooperation between countries with common borders although, if one exports to another, they may have asymmetric interests in achieving eradication.

Livestock research has received low government priority in most Latin American countries but increased research is needed. Technological design must be coordinated with price policy and should take into consideration specific socio-environmental constraints faced by farms, including livestock/crop interactions. Because livestock research is slow, costly and difficult compared with crop research, and because technological advances are often piecemeal, governments must support research over substantial periods without expecting dramatic results.

Improving pastures, usually with a fertilized grass/legume mix, has been a central element in efforts to better animal nutrition. Such pastures offer great potential for increased low-cost beef and milk production throughout the region (Seré and Jarvis, 1989). Nonetheless, the diffusion of improved pastures has been slow. The cost of their establishment is high while their persistence under grazing has been short, as they are subject to disease and require more sophisticated management than do traditional pastures.

Controversy exists regarding the suitability of Amazon land for livestock production. Deforestation for cattle production seems likely to lead to land degradation and ecological damage in most areas (Hecht and Nores, 1982). In any event, livestock development in savannah regions, Brazil's Cerredo and the Colombian-Venezuelan Llanos, for example, is more profitable than in the Amazon.

Bibliography

Hecht, S.B. & Nores, G., eds. 1982. Amazonia - Agriculture and Land Use Research. Proc. Int. Conf., Cali, Colombia, CIAT.

Jarvis, L.S. 1974. Cattle as capital goods and ranchers as portfolio managers: an application to the Argentine cattle sector. J. Polit. Econ, May-June.

Jarvis, L.S. 1982. To beef or not to beef: portfolio choices of Asian smallholder cattle producers. In, J.C. Fine and R.G. Lattimore, eds. Livestock in Asia: issues and policies. Ottawa, Canada, IDRC.

Jarvis, L.S. 1986. Livestock development in Latin America. Washington, D.C., World Bank.

Muchnik de Rubinstein, E. 1978. La economía de la fiebre aftosa. análisis de sus externalidades y estrategias de control en la costa norte de Colombia. Cali, Colombia, CIAT.

Muchnik de Rubinstein, E. & Nores, G.A. 1980. Gasto en carne de res y productos lácteos por estrato de ingreso en doce ciudades de América Latina. Cali, Colombia, CIAT.

Seré, C. & Jarvis, L. 1989. The betting line on beef: ex ante estimates of improved pasture research benefits for the Latin American tropics. Agricultural Technology Workshop, Vol. 1. The Hague, ISNAR.

Valdés, A. 1983. Agricultural protection in industrialized countries: its cost to Latin America. Washington, D.C., IFPRI.

Valdés, A. & Nores, G. 1980. Growth potential of the beef sector in Latin America - survey of issues and politics. Proc. IV World Conf. on Anim. Prod. Buenos Aires, Argentina, WAAP.


Previous Page Top of Page Next Page