C.P. Peacock
Research Institute for Animal Production
P.O. Box 123 Bogor Indonesia
Introduction
Measurements of productivity
The Kenya study sample
Calculation of indices
Results of analyses of productivity
Conclusions
Acknowledgements
Summary
A brief review of indices of sheep and goat production used in the literature is given and their limitations noted. Sheep and goat production on Masai group ranches in Kenya is described and results are presented in the form of various indices of production: weaning and 18- month indices, a flock production index, traditional index and gross margins. The results of sensitivity analyses on the weaning and 18- month indices are provided in order to demonstrate the use of this type of analysis in identifying research and development priorities. It is concluded that characteristics of useful production indices are: an output component; an input component; clear specification of the time period; units relevant to the output component; and accompaniment by as full a description of the physical, economic and social environments as possible so that a correct interpretation of results can be made. Care should be used in clearly defining the purpose of the analysis and using indices appropriate to that purpose.
Events in Africa in recent years have highlighted the need for development of its agricultural production. There is a tendency for livestock to be relatively more important in the economies of the poorest countries in Africa, which are some of the poorest countries in the world. Within African society, sheep and goats comprise a greater proportion of the total wealth of poor families than of richer families (Peacock, 1984). Thus improvements in the production of sheep and goats is likely to improve the welfare of some of the poorest of the poor but in order to improve production it is important to make quantitative assessments of present biological and economic productivity. This paper reviews measures of output used by the International Livestock Centre for Africa (ILCA) and others, assesses the advantages and disadvantages of each type of measurement and proposes new indices and methods for their analysis.
For many years animal breeders have based selection between or among breeds on comparisons of productivity in the same environment (Trail & Durkin, 1982). Recently enough data has become available to allow the comparison of breeds in different ecological zones, production systems and under different management levels (Wilson, 1980).
Many possible measures can be used to quantify sheep and goat productivity (Knipscheer, Kusnadi & de Boer, 1984). The measure used should be appropriate to its purpose and will be tempered by the availability of suitable data. Possible purposes may be broadly categorised as: description; analysis; and prescription. Breed evaluation aims at describing performance within a given environment such as a research station (e.g. Fall et al, 1982), whereas offstation studies of traditional livestock production are more concerned with an analysis of performance in order to prescribe improvements directly or identify areas needing further research.
Measures used in the literature so far may be classified as describing:
- individual production traits;
- reproductive performance;
- reproductive performance and offspring growth;
- flock production indices.
INDIVIDUAL PRODUCTION TRAITS
Single parameters such as growth rate, weaning weight, mortality and parturition interval describe individual aspects of production. Under experimental conditions they are used to identify causal relationships between a specific input and a particular output. In studies of traditional animal production they can isolate weak aspects of production but generally off the research station it is more appropriate to place emphasis on the cumulative effects of individual traits on whole flock productivity as that should be the focus of attention.
REPRODUCTIVE PERFORMANCE
An example of a reproductive performance index is that used by Fitzhugh & Bradford (1983) which they erroneously define as a Flock Productivity Index (FPI):
This index has many limitations. No account is taken of lambing or kidding rate (females giving birth per females exposed to male) or female longevity and normally yearly production is a more useful time period than per day of parturition interval.
REPRODUCTIVE PERFORMANCE AND OFFSPRING GROWTH
The indices favoured by ILCA for sheep and goats in Fall et al (1982), Wilson (1983b) and Wilson, Peacock & Sayers (1985) are:
This index expresses parturition interval as a percentage of a full year and considers the production of young to weaning. This index may then be expressed per kg dam weight, considering her as the major input to the weight of young at weaning:
or further expressed per metabolic weight of dam:
As the feed requirement of the dam is more closely correlated with metabolic rather than with the real weight, Index III more accurately considers the main input (feed) to the offspring production. Fall et al (1982) also include dam viability in their index of 'flock' productivity.
There are many shortcomings to the indices so far examined. First, they do not take into account the number of males which have to be maintained to serve the flock. Second, they do not include post weaning growth as production nor the detrimental effects of maintaining 'old' males (those past optimum selling age) and their depressive effect on overall production when considered in commercial terms. Third as the indices can only be calculated from the records of individual productive females any unproductive members of the breeding flock will not be included and so their maintenance cost is not accounted for. Peacock (1983) found that 36 per cent of potential breeding females in Masai flocks had never given birth.
A two year study of sheep and goat production on three adjacent group ranches in Kajiado district was carried out as part of a multidisciplinary system study of Masai pastoralism. The ranches had been developed for different periods of time: Olkarkar was the most developed, Mbirikani the least and Merueshi intermediate. Data were obtained from a random sample of 89 households, stratified according to a measure of relative wealth. Animals were tagged and individual records established of growth, mortality and reproductive performance as each entered the continuous survey. Data on each household's income, expenditure, economic uses of livestock and grazing management were also recorded. A survey of population structures was carried out at the beginning of the study and a rapid survey of population structure and reproductive performance took place at the end of the study (Peacock, 1983; King et al, 1984).
Rainfall throughout the study was below average, particularly on Mbirikani (<400 mm per year) and these harsh conditions were further exacerbated by an outbreak of the tick-borne virus disease, Nairobi sheep disease, which spread out from Mbirikani. These circumstances resulted in high mortality rates among both adult and young stock and, when combined with the Masai practice of seasonal breeding control, caused poor reproductive performance. During this difficult period many sheep and goats were slaughtered in extremis. The difference between this forced slaughter and that of stock voluntarily slaughtered was recorded in the study.
Although cattle provide the majority of Masai subsistence sheep and goats have many economic and cultural functions. They are also used in a number of customary transactions (gifts, loans and exchanges) which contribute to maintaining the owner's social network. Increasingly, Masai are selling sheep and goats to meet small cash demands. Of the ILCA study sites, Olkarkar residents, due to their greater access to markets, engaged in a greater proportion of cash transactions whereas those on Mbirikani were more traditional in their use of sheep and goats.
The indices used to assess the productivity of sheep and goats in this study were developed for particular analytical purposes and need to be understood in the context of the social and environmental conditions which prevailed during its course.
In order to compare the performance of ranches and strata (per year) at producing young and rearing them to weaning and to a reproductively active age (18 months) the index used was:

These indices use the proportion of potential breeding females giving birth per year (lambing/kidding rate) as the reproductive component of the index. This circumvents problems associated with the use of mean parturition interval in a study of only two years duration. The mean weight of the flock is a representation of the demographic structure of the flock.
To assess overall flock production where units may be numbers, weights or monetary value a Flock Productivity Index was developed:
Gross margins were calculated to estimate the economic efficiency of the sheep and goat enterprises:
Gross Margin = (Value of net inventory change + stock sales + value of voluntary slaughter + sale of hides) - (costs of maintenance + cost of stock purchases)
Finally, to make some judgements of Masai sheep and goat production according to the society's own criteria, an index was developed to assess the relative success of the provision and use of male castrate animals in the flock:

WEANING AND 18-MONTH INDICES
Weaning and 18-month indices are presented by ranch and wealth stratum in Table 1 and represent the liveweight (g) produced per kg of flock weight maintained per year. As previously noted these indices were calculated for a period of generally unfavourable conditions. They show that conditions were more favourable on Olkarkar than Mbirikani and that the year following weaning is an important period in production. On Olkarkar there were no production difference between species. At Mbirikani sheep produced more offspring, more successfully, than goats. These indices may also, of course, be calculated for different types and seasons of birth, parity number or flock in the same manner as the indices I, II and III of Wilson, Peacock & Sayers (1985)
Table 1. Weaning and 18-month indices (liveweight (g) produced per kg flock maintained per year)
|
Ranch/stratum
|
Weaning |
18 month |
|||
|
Sheep |
Goats |
Sheep |
Goats |
||
|
Olkarkar |
107 |
98 |
159 |
160 |
|
|
|
poor |
106 |
110 |
156 |
134 |
|
|
medium |
116 |
90 |
167 |
163 |
|
|
rich |
100 |
94 |
153 |
183 |
|
Mbirikani |
60 |
29 |
77 |
34 |
|
|
|
poor |
62 |
36 |
81 |
38 |
|
|
medium |
57 |
27 |
77 |
33 |
|
|
rich |
61 |
25 |
73 |
32 |
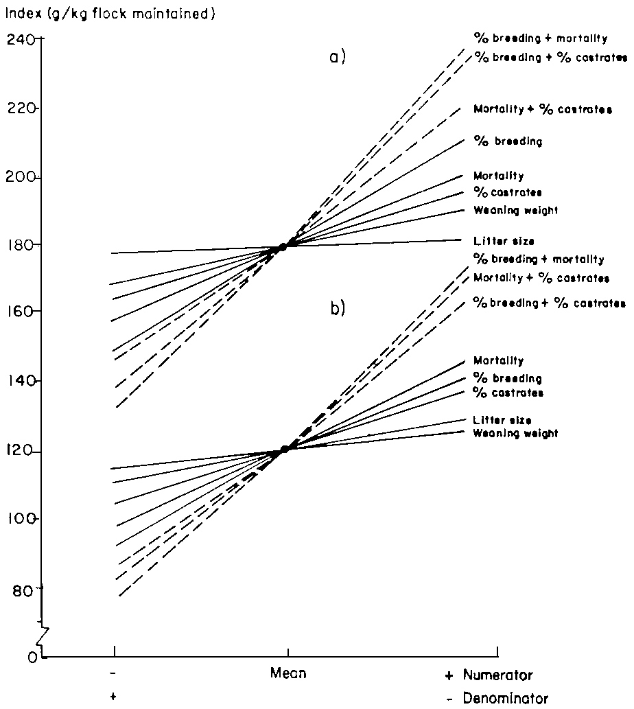
SENSITIVITY ANALYSIS
In order to determine the parameters which have the greatest effect on production (to weaning and to 18 months) and the extent to which the indices are responsive to change in one or more parameters, sensitivity analyses were undertaken. Sensitivity analysis can also be used to estimate the risks involved in production as well as helping to define research priorities (Dent & Blackie, 1979).
Various approaches can be adopted. If a feasible range of parameter values is known this can be divided into 100 parts and the level raised to assess its impact on an output criterion (index). However, more appropriate to survey statistics is to change a variable by one standard error which is an objective quantity with a known probability of occurrence. In order to do this the standard errors must be tied to a common number of animals: in the example presented the mean holding size in Mbirikani of 65 sheep and 64 goats was adopted. Litter size, mortality rates, and weights at 150 and 550 days were all varied positively and negatively by one standard error. Flock weight was altered by one standard error of the proportion of 'old' castrates in Mbirikani flocks. The number of births per year was estimated from the rapid survey data. Standard errors were obtained from the variation in this parameter among sample flocks. Developed over several breeding seasons, the rapid survey estimate better represents a mean than the rather extreme value recorded during the two year study.
Results from the sensitivity analyses for Mbirikani indices are presented in Figures 1 and 2. The slope of the line is an indication of the effect of the parameter on the output criterion. The slope will be straight if the parameter is part of the numerator and bent if in the denominator or if it is from a combination of parameters.
Figure 2.a. Sensitivity analyses of parameters in the 18-month index for sheep on Masai group ranches in Kenya
Figure 2.b. Sensitivity analyses of parameters in the 18-month index for goats on Masai group ranches in Kenya
In sheep the parameter accounting for the greatest variation in output to weaning was the proportion of breeding females giving birth per year. Mortality was next most important followed by the percentage of 'old' castrates. Weight at weaning and litter size were of negligible importance. When an increase in the proportion breeding was combined with a decrease in the 'old' castrates the largest improvement resulted this also being greater than the simple sum of the component parameters.
In goats, mortality was the parameter accounting for most variation. Mortality, proportion giving birth and proportion of 'old' castrates were grouped ahead of litter size and weaning weight. Forming a third group were the combinations of: mortality with proportion giving birth; mortality with percentage 'old' castrates; and proportion giving birth with percentage 'old' castrates. Clearly, improved reproductive performance and reduced mortality should be priority areas for research and development.
FLOCK PRODUCTION, OFFTAKE RATES AND TRADITIONAL INDICES
Table 2 shows FPI in numbers of animals used or produced per head of flock maintained and from these gross (including animals in social transactions) and net offtake rates of each species by ranch and stratum.
Table 2. Flock production indices (number per head flock per year), gross and net offtake (per cent) and traditional index (number per head of flock per year)
|
Ranch/stratum
|
Sheep |
Goats |
|||||||
|
FPI |
Gross |
Net |
Traditional |
FPI |
Gross |
Net |
Traditional |
||
|
Olkarkar |
0.30 |
12.4 |
-4.9 |
0.098 |
0.16 |
10.9 |
5.6 |
0.105 |
|
|
|
poor |
0.35 |
20.0 |
5.2 |
|
0.06 |
10.4 |
14.4 |
|
|
|
medium |
0.29 |
12.5 |
-4.2 |
|
0.23 |
14.4 |
6.2 |
|
|
|
rich |
0.25 |
4.8 |
-15.8 |
|
0.19 |
7.8 |
-3.8 |
|
|
Mbirikani |
0.16 |
28.0 |
39.5 |
0.094 |
0.19 |
25.5 |
31.8 |
0.144 |
|
|
|
poor |
0.27 |
44.4 |
62.1 |
|
0.10 |
36.3 |
62.5 |
|
|
|
medium |
0.18 |
27.8 |
37.0 |
|
0.32 |
24.6 |
17.2 |
|
|
|
rich |
0.05 |
11.7 |
19.3 |
|
0.16 |
15.6 |
15.6 |
|
At Olkarkar sheep were more productive (in these terms) than goats and managed to achieve a slightly higher gross offtake rate than goats while flock size also increased, whereas the goat flock decreased by 5.6 per cent. Mbirikani sheep and goats were similar in overall production but had higher gross offtake rates mainly due to forced slaughterings. They did not manage to compensate for this offtake because of poor reproductive performance so, in fact, net offtake rates were higher than gross rates. Trends for higher gross offtake rates in the poor strata and lower rates in the richer ones emphasise the greater use of sheep and goats by poor families.
The traditional index is a measure of the capacity to use castrated stock for a variety of purposes as well as the ability to replace the animals used. When considered in these terms the poor performance of Mbirikani flocks calculated by other indices was no longer evident as both Mbirikani and Olkarkar performed equally on this index. This emphasises the need for care in the choice of an index to fit the purpose of the analysis, as very different results can be obtained through different measurements.
GROSS MARGINS
Economic analyses, in monetary terms, are difficult to apply to traditional production where many outputs do not enter the market and most inputs are not purchased. Assigning monetary values to au outputs and inputs can only be achieved by application of certain assumptions to the calculations. This is quite legitimate as long as any such assumptions are explicitly stated and consistently applied.
Table 3 presents gross margin calculations for Olkarkar and Mbirikani. Income was credited as money derived from livestock and hide sales plus the value of any change in livestock inventory. Stock which were voluntarily slaughtered were assumed to be adults and were valued at the mean adult sale price. Stock involuntarily slaughtered were excluded from the calculations. The main costs considered were those of purchased inputs (acaricide, antibiotics, anthelmintics and salt) and those of purchased stock. Forage and labour were assumed to have no cost. Employment opportunities in Kajiado are extremely limited and applying even a minimal opportunity cost to labour would create artificial distortions.
As might be expected from the poor biological performance, economic returns were low. Mbirikani sheep made a net loss. The return on capital from Olkarkar sheep and from Olkarkar and Mbirikani goats was also low. Again it must be emphasised that this was performance during a period of drought and epidemic disease. In 'normal' years, if certain simple innovations were adopted, a sustainable yield of 30 per cent for sheep and 26 per cent for goats could be achieved (Peacock, 1984).
Table 3. Gross margins of Olkarkar and Mbirikani sheep and goat enterprises (Kenya shillings per year)
|
|
Sheep |
Goats |
|||
|
Olkarkar |
Mbirikani |
Olkarkar |
Mbirikani |
||
|
Flock gross margin |
1,248 |
-348 |
652 |
607 |
|
|
Gross margin: |
|
|
|
|
|
|
|
per head |
13 |
-5 |
10 |
10 |
|
|
per breeding female |
27 |
-4 |
11 |
21 |
|
Return on capital (per cent) |
10 |
-4 |
8 |
8 |
|
Kenya shillings 12 = US$ 1.00 approximately
The indices used have given different pictures because each index represents a different viewpoint. Even a cursory examination of the different indices shows that they rank the ranches and livestock species in different orders. This shows the distortions which may emerge if a partial analysis is carried out by examining only one aspect of production. For example, at weaning Olkarkar sheep were the most productive but when the analysis was extended to 18 months goats at Olkarkar were the most productive. There is evidently a need to be aware of the limitations of indices and to accept that one index alone cannot provide a definitive account of production.
For an index of production to be useful it must possess the following characteristics:
- an output component;
- an input component;
- a clear specification of the time period;
- units relevant to the subject;
- a description of the context under which the results were obtained and to which the index applies.
Indices specifically developed for the analysis of a particular situation are probably of greater assistance in improving that situation than the use of standardised measures. Standard measures may allow the comparison of species among countries or production systems but may not necessarily reveal weaknesses in the internal operation of the production system. The exception to this might be if the concept of a 'yield gap' was applied (Knipscheer, Kusnadi & de Boer, 1984). The term yield gap applies to the differences between production on research stations and that offstation, the magnitude of which indicates the potential for improvement.
The output part of the index should include all relevant components and if output included hair, wool or milk then they should be incorporated into the index. If they were traded, a monetary value could be assigned but if not conversion into units of energy or protein might be considered.
The input to the index should be that resource which is considered as most requiring improvement. In the Masai case this is the flock itself, as in areas of communal pasture this is the resource which is owned and can be manipulated by the owner. If production were from a fixed area of land then it might be more appropriate to examine production per land unit. If labour was limiting through competition with another enterprise then production per unit of labour would perhaps be a more suitable measure.
The time period should normally be one year unless there is good reason to use an alternative. The units of the index should be associated with the type of output and the purpose of the analysis. In order to interpret indices correctly an adequate description of the physical, economic and social environment of production should accompany their presentation.
The use of production indices can be extremely useful and enlightening but care must be exercised in the choice of appropriate ones so that correct conclusions are made about present production. It is only in this way that reliable recommendations can be made to improve sheep and goat production in Africa.
Field work was carried out by the author while employed by ILCA. Interpretation of results and conclusions are, however, the author's own responsibility. Mike Ole Make, Tole Narok and Robin Sayers are thanked for their various contributions.