Previous Page Table of Contents


Strategic supplementation to optimise rumen function and the balance of absorbed nutrients in ruminants fed largely on crop residues

T R Preston
International Livestock Centre for Africa,
P O Box 5689, Addis Ababa, Ethiopia


Introduction
Urea-molasses blocks
Milk production on crop residues
Fattening of cattle and sheep on state farms
References

Introduction

ILCA's strategy for improving the utilisation of fibrous crop residues and byproducts in livestock feeding (see Preston and Leng 1986) is based on an appreciation that:

* These feed resources yield nutrients to the animal mainly through the processes of fermentative digestion in the rumen.

* Because of their generally low contents of nitrogen and lipids and the low digestibility of fibrous crop residues, the end products of digestion are imbalanced in terms of the amounts of amino acids, glucose precursors and long-chain fatty acids relative to the total energy supply, mainly as short-chain fatty acids.

Feeding strategies should therefore aim to maximise fibre degradability in the rumen, optimise microbial protein synthesis and promote escape of dietary protein and lipid supplements from the rumen fermentation.

Fibre digestion in the rumen is enhanced by: (i) supplying a readily fermentable source of nitrogen so that rumen ammonia levels are maintained in the range of 15 to 25 mg/100 ml rumen fluid (Krebs and Leng 1984); and (ii) giving small quantities of readily digestible forage (Gutierrez and Elliott 1984; Silva and Ørskov 1985). Escape of protein from the rumen is facilitated by supplemention, either with oilseed or animal byproduct meals (Preston and Leng 1984), or with legumes with moderate contents of tannins (Marten and Ehle 1984).

Evidence that an inefficient rumen ecosystem is probably the first constraint on the productivity of much of Africa's ruminant population is given in Figure 1 which shows rumen ammonia levels in cattle and sheep on communal grazing in the Ethiopian highlands during the dry season. Rumen ammonia was much lower in cattle than in sheep on the same grazing and considerably less than is required to maximise cellulose digestion. The results given in Table 1 show that the situation in housed dairy heifers fed mainly meadow hay can be even worse, some animals having barely detectable amounts of ammonia in the rumen fluid.

These low levels of rumen ammonia indicate that substantial benefits in livestock productivity could be expected by providing a supplement which would elevate rumen ammonia to 15-20 mg/100 ml, considered to be optimum for cellulose digestion.

Table 1. Ammonia levels in rumen fluid of growing heifers and dry cows fed meadow hay and molasses on the Debre Zeit State farm in Ethiopia.

Growing heifers
(n=5)

Dry cows
(n=4)

---- Rumen ammonia (mg/litre) ----

22 ± 3

28 ± 5

Note: The recommended level of rumen ammonia is at least 100 mg/litre of rumen fluid for maximum rate of degradation of fibre.
Source: T R Preston and R A Leng (unpublished data).

In natural feeds, rumen ammonia arises from the degradation of dietary proteins. However, in situations where protein is in short supply, and this is the case in much of Africa, it will be more economical to use true protein in a way that will escape the rumen fermentation; and to supply rumen ammonia from some non-protein source such as urea, ammonium salts or livestock excreta.

Four methods have been used to supplement ruminant diets with urea. The urea can be sprayed on the feed as an aqueous solution; it can be mixed in liquid molasses at various concentrations up to 15%; it can be incorporated in a molasses-based block with a gelling agent to make the block solidify; or it can be added as an aqueous solution to the crop residue or byproduct followed by ensiling to convert the urea into ammonia.

In selecting one of the above methods it is desirable that the system used is simple, carries no major risks and maintains rumen ammonia levels as constant as possible throughout the day and night. One way of satisfying most of the above constraints is by incorporating the urea in a solid block which the animals must lick or chew.

Urea-molasses blocks

The National Dairy Board of India (NDDB 1984) has given considerable impetus to this scheme by manufacturing blocks in their feed mills and supplying them to smallholder farmers participating in their village milk cooperatives.

Figure 1. Ammonia level in rumen fluid of cattle and sheep grazing on communal pastures in the Debre Berhan area of Ethiopia.

Source: A Negussie (unpublished data).

The following series of trials, built on the Indian experience, was aimed especially at examining the apparent synergism which exists when urea-molasses blocks are given together with sources of bypass (escape) protein.

Molasses-urea blocks for fattening oxen

Sixteen mature highland oxen were tied in individual stalls and fed a basal diet of wheat straw and one of the following supplements:

* Urea sprayed on the straw (44 g/d in aqueous solution);

* Noug cake (Guizotia abyssinica) (2 kg/d);

* Free access to a block containing (% by weight) urea 10, wheat bran 15, calcium oxide 12, salt 5, triple-super-phosphate 3, molasses 55;

* The urea-molasses block plus 2 kg/d of noug cake.

The results are summarised in Table 2. The group receiving both block and noug cake gained 570 g/d, which was more than double the gain (220 g/d) of those that received only the noug cake (220 g/d); the groups which received only aqueous urea on the straw, or had only the block, lost 190 and 68 g/d, respectively. The synergistic effect of combining the urea-molasses block with the noug cake is particularly evident in these results.

Table 2. Mean values for liveweight change, feed intake and feed conversion in oxen fattened on a basal diet of wheat straw and supplements of urea, or urea-molasses block and/or noug cake (55 day trial).


Urea

Block

Noug

Noug/block

Liveweight (kg)






Initial

294

294

294

295


Daily change*

-0.19

-0.068

0.22

0.57

Feed intake** (kg/d)






Straw

4.88

4.26

4.81

4.69


Urea

0.04

0.041

-

0.046


Block

0.41

-

0.41



Noug



1.78

1.95

Total

4.92

4.67

6.59

7.10

Feed Conversion**

?

?

32

12

* SE of mean = + 0.065.
** Feed intakes and conversion are on basis of 90% dry matter.
Source: H Soller (unpublished data).

Urea-molasses blocks for lactating crossbred cows

This trial aimed at examining combined supplementation with a urea-molasses block and noug cake on the milk yield of crossbred cows (Holstein x Zebu) fed a basal diet of low-N (1.2% N in DM), low-digestibility (43%) meadow hay. As in vitro studies indicated that the protein in the noug cake was highly soluble, a comparison was made of heated (105°C for 1.5 hours) and unheated cake. Subsequently, two levels of noug cake (1 or 2 kg/d) were compared. In both trials, the protein treatment was given with or without the urea-molasses block.

The cattle were given the experimental diets during consecutive 28-day periods (trials 1 and 2 respectively), following a period of standard feeding (hay ad libitum and 2 kg/d of noug cake). The milk yield during the period of standard feeding was used as a covariate to adjust the yields recorded during the experimental periods.

The results are given in Tables 3 and 4. In both trials, milk yields and total dry matter intake were significantly increased, and hay intake tended to be increased, by allowing the cows access to urea-molasses blocks. Heating the noug cake had no effect on milk yield or feed intake. The most important finding was that while milk yield was increased by feeding 2 rather than 1 kg/d noug cake in the absence of the block, there was no difference due to level of noug cake when the cows had access to the block.

Samples of rumen fluid taken during both experiments showed that the urea-molasses block increased rumen ammonia concentrations in both trials (12±1.2 vs 9.8±1.2 and 18.4±4.0 vs 11±0.6 mg ammonia/100 ml rumen fluid for trials 1 and 2 respectively.

Milk yield was significantly related with rumen ammonia level in trial 1 (r = 0.65 and 0.64 for samples taken before and 3 hr after feeding) (see also Figure 2); and in trial 2 for the 1 kg/d noug cake level (r = 0.63 and 0.39 before and after feeding) but not for the 2 kg/d noug cake level.

It can be concluded from these trials that urea-molasses blocks are an effective method of raising rumen ammonia levels when the basal diet is a low-N forage. A urea-molasses block plus a limited (1 kg/d) quantity of an oilseed cake appears to be an adequate supplementary feeding regime for crossbred cows fed low-N, low-digestibility forages as their basal diet.

Milk production on crop residues

Sugar-cane tops are produced in large quantities in many countries in Africa and are usually burned (to facilitate harvesting of the current crop and subsequent fertilizing and soil preparation). When they are collected (e.g. by farmers living close to the estate) they are used inefficiently for livestock production, mainly because of their nutrient imbalance (low content of N and of lipids) as discussed earlier.

The following experiment was set up to incorporate sugarcane tops in a practical feeding system for lactating cattle, and to examine the use of fresh alfalfa forage as a supplement expected to provide both rumen "activators" and bypass protein.

Table 3. Effect of supplements of urea (as a urea-molasses block containing 10% urea) and untreated or heated (105°C for 1.5 h) oilseed cake (Guizotia abyssinica) on milk yield, liveweight change and feed intake of crossbred cows (Friesian X Zebu) given a basal diet of low-N (1.2%) and low-digestibility (43%) meadow hay.

 

Noug Cake

Heated noug

SE

Sig

-B

+B

-B

+B

Milk yield (kg/d)








Pre-expt (1)

5.32

5.80

5.61

4.83




Experimental(2)

5.23

5.88

5.12

5.98

0.18

0.02

Liveweight (kg)








Mean

401

340

399

379




Change/d

-0.21

0.04

0.14

-0.39

0.17

0.20

Feed intake (kg/d)








Hay (3)

8.92

9.19

8.29

9.88

0.50

0.27


Block

0.71±0.39

0.80±0.37


Noug cake

1.98

1.92

1.81

1.92




Total DM (3)

9.74

10.6

9.0

11.2

0.50

0.07

1) During the 3 weeks prior to starting the experiment.

2) Adjusted by covariance for milk yield prior to the experiment and for mean liveweight during the experiment.

3) Adjusted by covariance for mean liveweight during the experiment.
Source: T R Preston, R A Leng, P J Brumby and M Nuwanyakpa (unpublished data).

Table 4. Effect of supplements of urea (as a urea-molasses block containing 10% urea) and either 1 or 2 kg/d of noug oilseed cake (Guizotia abyssinica) on milk yield, liveweight change, and feed intake of crossbred cows (Friesian X Zebu) given a basal diet of low-N (1.2%) and low-digestibility (43%) meadow hay.

 

1 kg/d noug

2 kg/d noug

SE

Sig

-B

+B

-B

+B

Milk yield (kg/d)








Pre-expt (1)

5.32

5.80

5.61

4.83




Experimental(2)

4.20

5.37

5.18

5.42

0.20

0.01

Liveweight (kg)








Mean

395

396

336

371




Change/d

-0.64

-0.39

-0.27

-0.27

0.23

NS

Feed intake (kg/d)








Hay(3)

8.72

9.60

8.80

9.26

0.41

0.48


Block

0.68±0.11

0.68±0.16


Noug Cake

1

1

2

2




Total DM (3)

8.76

10.1

9.72

10.7

0.39

0.05

1) During the 3 weeks prior to starting the experiment. (During this time the cattle were fed hay and 2 kg/day of cereal-based concentrate).

2) Adjusted by covariance for milk yield prior to the experiment and for mean liveweight during the experiment.

3) Adjusted by covariance for mean liveweight during the experiment.

Source: T R Preston, R A Leng, P J Brumby and M Nuwanyakpa (unpublished data).

Figure 2. Relationship between rumen ammonia (before feeding) and milk yield in crossbred (Friesian x Zebu) cattle receiving a basal diet of low-N (1.2%) and low-digestibility (43%) meadow hay supplemented (or not) with a urea(10%)molasses and with 2 kg/d of oilseed cake (T R Preston, R A Leng, P J Brumby and M Nuwanyaka, unpublished data; cited by Preston 1986).

Supplementation of sugar-cane tops for milk production

The experiment was carried out on one of the dairy farms managed by the Ministry of State Farms of the Ethiopian Government. Sixteen Friesian cows in early to mid-lactation were assigned at random to the control group (fed ad libitum meadow hay and 2 kg/d of 50/50 wheat bran and solvent-extracted noug cake for maintenance plus 500 g of the same mixture for each litre of milk) or to three experimental groups which were fed a basal diet of ad libitum "burnt" chopped sugar-cane tops, 2 kg/d of a mixture of molasses/urea (10% urea), and 1 kg/d of noug cake and either 0, 6 or 12 kg/d of freshly harvested alfalfa forage (mid-bloom stage). The experimental period was 42 days during which milk yields were recorded and adjusted (by covariance) according to the yield during a 28 day pre-experimental period when all the cows were fed the control diet.

Total dry matter intake and milk yield increased linearly as the level of alfalfa was increased and did not differ significantly from that on the control diet at the highest level of alfalfa (Table 5). Supplementation with alfalfa did not depress intake of the sugar-cane tops.

Rumen ammonia concentrations 3 hours after feeding were in the range 20-30 mg/100 ml of rumen fluid and did not differ among treatments.

The on-farm cost of cane tops is only one tenth of that of hay and supplementation with farm-grown alfalfa, 2 kg/d of molasses/urea and only 1 kg/d of noug cake is obviously more economical, and more in the national interest, than the feeding of 7 kg/d of a mixture of bran and noug cake.

Table 5. Effect on feed intake and milk yield of Friesian cows of supplementing a basal diet of chopped sugar-cane tops (harvested after burning of the standing crop), molasses/urea and noug cake, with alfalfa forage.

 

Alfalfa forage (kg/d)

SEX

Sig

Control

0

6

12

Milk yield (kg/d)1

9.58

7.42

8.01

9.01

± 0.29

0.001

Feed intake (kg/d)








Hay

6.2







Cane tops


18.4

19.1

17.4




Alfalfa forage


-

6.0

12.0




Molasses


1.6

1.6

1.6




Urea


0.2

0.2

0.2




Noug Cake


1.0

1.0

1.0




Concentrates

7.1







Total DM

11.6

9.74

11.2

11.8

±0.35

0.005

1) Adjusted by covariance for average milk yield during two 4-week periods pre- and post-experiment when the control diet was given.

Source: A Belete and T R Preston (unpublished data).

The need now is to test the system with other crop residues (e.g. cereal straws) and to examine alternative sources of legume forages better adapted than alfalfa for tropical conditions.

Fattening of cattle and sheep on state farms

EXPERIMENTS IN BEEF PRODUCTION ON STATE FARMS

Background

Innovations were introduced into three programmes:

* The ranches used to quarantine cattle purchased from pastoralists, prior to fattening or slaughter for export.

* The feedlots at Kuriftu and Wonji where cattle are intensively fattened prior to export.

* The quarantine ranches used to hold sheep and goats purchased from pastoralists prior to export

Quarantine ranches for cattle

The innovations consisted of:

* Supplementary feeding of molasses/urea (2.5%) (given ad libitum) and restricted quantities (500 g/d) of poultry litter and noug cake.

* Building of large thorn bush enclosures (minimum of 10 m2/head) for holding the cattle at night (previously the space allowance in the night corral was only 2 m2/head); this allowed feed troughs (half oil drums) to be placed in the corrals with sufficient space for the animals to eat freely.

Results for one of the ranches where these recommendations were put into effect are particularly succesful; the cattle are now fattening when previously they were losing weight. The "thorn fence" feedlot is very much cheaper than a conventional structure and the running costs are also reduced.

Feedlots

In the feedlots, it was recommended that the existing system of restricted (3 kg/d) molasses and liberal concentrate feeding (4 kg/d of a 50/50 mixture of wheat bran and noug cake) be changed to ad libitum molasses (with 2.5% urea) and restricted supplementation with noug cake (1 kg/d) and poultry litter (500 g/d).

Several pens in one feedlot were put on this regime but after a trial period of 2-3 weeks the programme was stopped because of an unexpectedly high incidence (some 5% of animals were affected) of molasses toxicity (cerebro-cortical necrosis caused by interference with energy supply to the brain due to insufficiency of thiamine and/or glucose; see Losada et al, 1971).

It was suspected that the high toxicity incidence was related to the feeding of sugar-cane tops and not to the ad libitum molasses, since toxicity was also observed in a second feedlot where molasses was restricted to only 3 kg/d.

Nevertheless, it appeared to be necessary to demonstrate on an experimental basis that ad libitum molasses could be fed safely to fattening cattle and that the proposed minimum supplementation would support high rates of liveweight gain.

Strategic supplementation of straw- and molasses-based diets for growing/fattening bulls

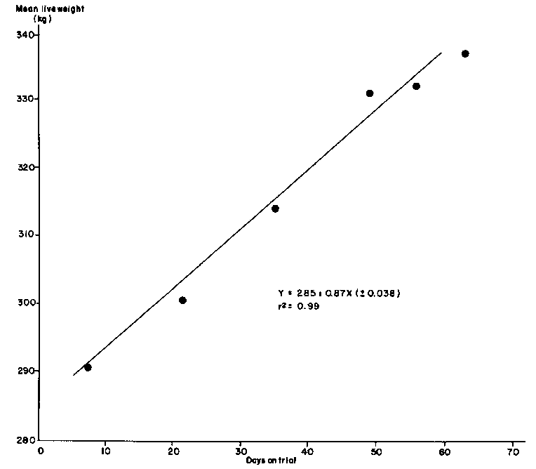
Thirty mature bulls were brought from one of the holding ranches to the ILCA Highlands research farm at Debre Zeit. They were in very poor body condition and it was decided to put them on a growing ration based on teff straw (with 1% urea) and 500 g/d of noug cake and 500 g/d poultry litter for a period of 63 days.

Mean liveweight gain (Figure 3) during this recovery period was surprisingly high (870 g/d), reflecting rapid compensatory growth.

At the end of the 63-day period the basal diet of 50% of the animals was changed to molasses (with 2.5% urea) fed ad libitum; the straw was restricted to 0.8% of liveweight (DM basis). The remainder of the cattle stayed on the same straw/urea diet as they had received previously.

Figure 3. Average liveweights of 24 Zebu bulls (and estimated rate of liveweight gain) during a 63-day period when they were fed tef straw supplemented with urea (1.5% by weight of the straw), 500 g/d of poultry liner and 500 aid of noug cake (M Hiwot, T Tadesse and T R Preston, unpublished data).

The following experimental treatments were applied to the cattle on both basal diets:

* No supplement;
* 500 g/d noug cake (increased to 1 000 g/d after 63 days);
* 500 g/d poultry litter; and
* 500 g/d of noug and 500 g/d of poultry litter.

After 70 days on these regimes, two animals from each replicate (originally three animals per replicate) on the straw diets were offered free choice molasses which contained 10% urea for one week, then 6% urea for one week and finally 2.5% urea.

Figure 4. Mean liveweights of Zebu bulls during a 98-day period when they were fed either: ad libitum molasses/urea (2.5%), 500 g/d of noug cake and 500 aid of poultry litter; or ad libitum straw (with 1.5% urea) and 500 aid noug cake (with or without 500 aid of poultry litter). For the latter group, a liquid mixture of molasses containing urea was offered ad libitum from day 70 to 77(10% urea), from 77 to 84 with 6% urea and from 84 to 91 days with 2.5% urea (M Hiwot, T Tadesse and T R Preston, unpublished data).

Liveweights are plotted in Figure 4 for two groups of animals: four cattle that were fed the straw and noug cake diets (no differences due to poultry litter therefore the results for the two treatments were combined); and three animals fed the molasses/noug cake/poultry litter diet. Mean values for effects of poultry litter on liveweight gain on straw- and on molasses based diets are given in Table 6.

Table 6. Effect of poultry litter on liveweight gain of Zebu bulls given basal diets of molasses/urea or straw/urea (gain estimated by linear regression of weight against time)

Basal diet

Poultry litter

SEx

Signif.

-

+

Molasses(i)

385

717

89

0.06

Straw(ii)

488

488

90

NS


Noug cake




-

+



Molasses

503

507

146

NS

Straw

407

609

126

20

(i) From day 21 to 91; (ii) from day 7 to 70 (before the introduction of molasses)

Points to note are:

* It took 21 days for the cattle to adapt to the molasses diet, when the urea concentration was 2.5% (period 0-21 days on Figure 4) whereas when the molasses was offered at 10% urea, adaptation was immediate (days 70-91 in Figure 4). The results are confounded with time, and therefore must be interpreted cautiously, but the suggestion is that the high urea concentration aided the adaptation from straw to molasses. Possibly the sudden introduction of fermentable sugars in the diet, due to the animals eating large quantities of molasses, led to temporary rumen ammonia deficiency (when urea was only 2.5% of the molasses) and a consequent disturbance of the rumen microflora, and that this was corrected by giving 10% urea (on this treatment the animals ate 6-7 kg/d of molasses containing 600-700 g urea!!).

* On the molasses/urea basal diet (ignoring the first 3 weeks) there was a significant improvement (P = 0.06) in liveweight gain due to the poultry litter (683±96 g/d with and 371±90 g/d without poultry litter).

* Poultry litter did not influence performance on the straw diet (488±125 and 48836 g/d with and without poultry litter).

* Performance tended to be better with noug cake in the diet for both the straw and the molasses diets.

These findings are in general agreement with those in the literature (Meyreles et al 1982; Meyreles and Preston 1982) namely that the stimulatory effect (as opposed to simple substitution) of poultry litter is only observed on molasses diets. The hypothesis that this is due to the poultry litter increasing rumen propionate (Fernandez and Hughes-Jones 1981; Marrufo 1984) is currently being evaluated in ongoing trials at ILCA.

The above observations suggest that the most economical fattening system is likely to be:

Ad libitum straw (or other fibrous crop residue or byproduct) supplemented with urea (2% of straw DM) and 500 g/d oilcake meal for first 56-84 days. The exact time will depend on the condition of the cattle at the start (thin animals will continue to grow on a straw-based diet for a longer period). Molasses should then be introduced, initially with 10% urea, then, in successive weeks, 6% and finally 2.5% urea, and the feeding system continued until the animals achieve the necessary finish (i.e. degree of fatness).

References

Fernandez A and Hughes-Jones M. 1981. Rumen fermentation and rumen function in bulls receiving a basic diet of molasses/urea supplemented with poultry litter, sweet potato forage or wheat bran. Trop. Anim. Prod. 6:360.

Gutierrez E and Elliott R. 1984. Interaccion digestiva de la pulpa de henequen (Agave fourcroydes) y el pasto estrella de Africa (Cynodon plectostachyus). In: Alternativas y valor nutritivo de algunos recursos alimenticios destinados a produccion animal. In forme provisional No. 16. Fundacion Internacional para la Ciencia, Stockholm. pp. 229-246.

Krebs G and Leng R A. 1984. The effect of supplementation with molasses/urea blocks on ruminal digestion. Anim. Prod. Aust. 15:704.

Losada H. Dixon F and Preston T R. 1971. Thiamine and molasses toxicity: Effects with roughage-free diets. Revista Cubana de Ciencia Agricola (English edition) 5:369-378.

Marrufo D. 1984. La Leucaena leucocephala: su productividad en la zona henquenera de Yucatan y su uso como suplemento en dietas a base de melaza/urea. Tesis de Maestria, Universidad de Yucatan.

Marten G C and Ehle F R. 1984. Influence of quality variation in four legume species on weight gains of grazing heifers. Agron. Abstr. p. 159.

Meyreles L and Preston T R. 1982. The role of poultry litter in molasses/urea diets for the fattening of cattle. Trop. Anim. Prod. 7:138-141.

Meyreles L, Pound B and Preston T R. 1982. The use of Leucaena leucocephala or sugar cane tops as sources of forage in cattle diets based on molasses/urea, supplemented with chicken litter and/or wheat bran. Trop. Anim. Prod. 7:92-97.

NDDB (National Dairy Development Board). 1984. NDDB Annual Report. NDDB, Anand, India.

Preston T R and Leng R A. 1984. Supplementation of diets based on fibrous residues and byproducts. In Straw and other fibrous byproducts as feed (Editors: F Sundstol and E Owen). Elsevier Press, Amsterdam. pp. 373-413.

Preston T R and Leng R A. 1986. Matching livestock production systems to available resources. ILCA, Addis Ababa, Ethiopia. 331 pp.

Silva A and Ørskov E R. 1985. Effect of unmolassed sugar beet pulp on the rate of straw degradation in the rumens of sheep given barley straw. Proc. Nutr. Soc. 44:50A.


Previous Page Top of Page