Abstract
Résumé
Introduction
Materials and methods
Results
Discussion
Conclusion
Acknowledgements
References
J W Banda,1,2 J Steinbach2 and
H-P Zerfas3
¹University of Malawi, Bunda College of Agriculture, Box 219, Lilongwe,
Malawi
2University of Giessen, Tropical Sciences Centre, Division of Animal
Production, Ludwigstrasse 21, 6300 Giessen, Germany
3Malawi-Germany Livestock Development Programme (MGLDP), Box 30549,
Lilongwe 3, Malawi
Milk yield, milk composition and growth rates of offspring from goats (local-LL, Boer-BB and their crosses-Be) and of sheep (local-LL, Dorper-DD and their crosses-De) were estimated over two kidding/lambing seasons for 12 weeks of lactation using three techniques of milk-yield estimation, namely kid/lamb suckling, hand-milking and oxytocin + hand-milking.
Mean total milk production in the dry end wet seasons was 84.6±3.1, and 66.8 ± 2.6kg, respectively, for goats; 50.2 ± 1.7 and 49.3 ± 1.9 kg, respectively, for sheep. Only the seasonal difference in goats was significant (P<0.001). Estimates of milk yield by stickling and oxytocin techniques were similar. Handmilking produced 26.8% and 40.5% less milk than the other two techniques in goats and sheep, respectively. The yields of LL (70.6 ±2.5 kg) and BB (75.0 ±3.8 kg) were similar, but significantly lower (P < 0.001) than those of BL does (81.6 ±2.3 kg). Local, DL and DD ewes produced, respectively, 37.8±1.8, 48.9±1.6 and 62.7±2.1 kg milk end the differences among these genotypes were significant (P<0.001). Dorper ewes did not perform as well in the rainy season as they did in the dry season.
The overall mean levels of total solids, fat, SNF,, ash, protein, lactose and energy for goats were 17.4%, 6.8%, 10.6%, 0.88%, 4.5%, 4.7%, and 4.44 MJ/kg, respectively. The respective values for sheep were 18.3%, 6.0%, 12.3%, 0.94%, 5.2%, 4.9% and 4.39 MJ/kg. Within each species, significant differences in compositional values between seasons, among techniques of milk-yield estimation and among genotypes were observed and are discussed.
Overall birth, weaning weight at 17 weeks and pre-weaning daily liveweight gains for kids were 2.77±0.08 kg, 13.0± 0.41 kg and 87.0±3.5 g, respectively. The values of sheep were, respectively, -3.19± 0.05 kg, 18.5±0.32 kg and 128.9 ±2.5 g. In goats, season of kidding had significant effect on all these traits, but genotype had effect only on kid birthweight. In sheep, season and genotype exerted significant influences in all the lamb traits. Correlations between milk yield and growth rate of the young were significantly high and positive Regressions of growth rate on milk production for kids were poorer than those for lambs.
Cette étude a été effectuée sur des caprins de race locale (LL), Boer (BB) et leurs croisements (BL) ainsi que sur des ovins de race locale (Lo), Dorper (DD) et leurs croisements (DLo). La production et la composition du lait ainsi que le rythme de croissance des petits ont été estimés pour deux parturitions et une période totale de 12 semaines. Trois méthodes ont servi à évaluer la production de lait, à savoir la tétée, la traite manuelle et l'association de l'injection d'oxytocine à la traite manuelle. En outre, ?06 personnes ont répondu à un questionnaire destiné à déterminer l'accueil fait au lait de chèvres et de brebis et aux produits dérivés par rapport à celui de la vache et aux produits identiques dérivés.
La production de lait des chèvres s'élevait à 84,6±3,1 et 66,8±2,6 kg respectivement pour la saison sèche et la saison humide contre 50,2±1, 7 et 49,3±1,9 kg respectivement pour les brebis. La saison n'avait d'effet significatif (P<0,001) que sur la production des chèvres. Les valeurs obtenues par la tétée et l'association de l'infection d'oxytocine à la traite manuelle étaient analogues La traite manuelle permettait d'obtenir plus de lait que les deux autres méthodes, les chiffres étant supérieurs de 26,8 et 40,5% respectivement pour les caprins et les ovins. La production des chèvres de race locale (70,6±2,5 kg) et celle des Boers (75,0± 3,8 kg) étaient analogues mais significativement (P<0,001) supérieures à celle de leurs croisements (81,6±2,3 kg). Quant aux brebis Lo, DLo et DD, leurs productions étaient significativement différentes, s'établissant respectivement à 37,8±1,8, 48,9±1,6 et 62, 7±2,1 kg. La production de saison sèche des brebis Dorper était supérieure à leur production de la saison des pluies.
La teneur moyenne en matière sèche, en matière grasse, en matière sèche non graisseuse, en cendres, en protéine, en lactose et en énergie du lait de chèvre était respectivement de 17, 4%, 6,8%, 10,6%, 0,88%, 4,5%, 4, 7% et 4,44 MJ/kg contre respectivement 18,3%, 6,0%, 12, 3%, 0, 94%, 5, 2%, 4, 9% et 4, 39 MJ/kg pour le lait de brebis. Au sein de chaque espèce, des différences significatives avaient été mises en évidence et décrites, notamment en ce qui concerne la composition suivant la saison, les valeurs relatives aux différentes techniques d'évaluation et les génotypes.
Comparés à leurs homologues nés et élevés pendant la saison des pluies, les petits nés et élevés pendant la saison sèche avaient un poids à la naissance plus faible, mais un poids vif à 12 semaines, au sevrage et après le sevrage et un taux de croissance plus élevés (généralement au niveau de 0,001). Les paramètres de la croissance étaient systématiquement meilleurs chez les agneaux que chez les chevreaux. En ce qui concerne la croissance, les différences génotypiques étaient plus prononcées chez les ovins que chez les caprins. Parailleurs, il existait une corrélation élevée et positive entre la production de lait et la croissance des petits (r = 0,54 et 0,81 respectivement pour les caprins et les ovins).
Il ressort des résultats de cette enquête que les principaux obstacles à la consommation du lait de chèvre et de brebis sont le faible niveau de l'offre (P<0,001) suivi du fait que traditionnellement, les populations concernées n'ont pas pour habitude de traire ces espèces animales et de consommer leur lait. En ce qui concerne le test réalisé sur le goût, le lait de chèvre venait en tête, suivi du lait de brebis, le lait de vache venant en dernière position.
Research with non-dairy goats and sheep both in temperate and tropical areas has assessed the variation in the milking ability of dams, and demonstrated that the amount of milk produced by various breeds at various stages of lactation has a strong influence on kid and lamb growth during the pre-weaning period, with 20 to over 60% of the variation in weaning weight accounting for the volume of milk produced (Peart, 1982).
Due to influence of milk yield on weaning weights and due to the large variation in milking ability among the wide ranging genotypes available in the tropics, several methods for estimating milk production, namely kid/lamb suckling, hand-milking and hand-milking after oxytocin injection, must be tested and the best selected Steinbach, 1988). Results reported in literature on the use of suckling and oxytocin methods are very variable. Moreover, in extensive systems of management, season exerts significant indirect effects on the quantity and quality of foodstuffs as well as on the levels of diseases and parasites which, in turn, affect the milk production ability of the animals. For example, Sacker and Trail (1966) reported higher milk yields in goats and sheep during the rainy season while Mittal et al (1977) reported significant seasonal effects in Barbari goats, but not in Jamnapari goats. Malawi has about 1.6- and 0.8 million goats and sheep, respectively, of various genotypes (local, imported and their crosses). The introduction of dairy goats between 1986 and 1987 raised further questions as to the acceptability of their milk. Such information is needed to develop optimal breeding, development and marketing strategies for both meat and milk production programmes.
The objectives of this study were:
· to describe and evaluate the present and potential milk production capacity of the existing local and imported small ruminant stock (goats and sheep)· to compare different goat and sheep genotypes with respect to the composition of their milk
· to assess the potential influence of season on milk production and milk composition of goats and sheep in Malawi
· evaluate and compare the acceptability of goat and sheep milk relative to cow milk and
· to make recommendations for on-farm improvements, policy changes and draw suggestions for further research.
In addition, the growth rate and milk conversion efficiency of kids and lambs were studied.
The study was carried out at Lifidzi Goat Breeding Centre near Salima in Central Malawi. Lifidzi Goat Breeding Centre lies at 13°50' south and 34°30' east with an altitude of 600 meters. The Centre is one of the four farms run by the MalawiGerman Livestock Development Programme (MGLDP) established in 1983.
In the study on milk yield and milk composition, data were collected from the same 20 goats and 38 sheep in the dry season and in the rainy season. In addition to the animals used in both seasons, 5 goats and 7 sheep were used during the dry season only and 18 goats and 5 sheep during the rainy season only. Local (LL), Boer (BB) and crossbred (BL) goats and local (LL), Dorper (DD) and crossbred (DL) sheep were used. Each genotype was composed of first and second parity animals in the dry season and, second and third parity animals in the rainy season. Milk production of these animals was estimated by kid/lamb suckling, hand milking and oxytocin ± hand-milking techniques on 3 different days in each of the 12 weeks following parturition. The techniques were alternated every three weeks. Animals were incorporated each week as they kidded or lambed. All these factors were arranged in a 2 x 2 x 3 factorial design.
The breeding and management of all the animals are presented in Figure 1. In the dry season, all dams reared kids/lambs of their own genotypes. In the rainy season, LL does reared 50% BL kids, BL does 75% BL kids and BB does BB kids; LL ewes reared 50% DL lambs, DL ewes 75% DL lambs and DD ewes DD lambs. All animals were kept under the same feeding and general management practices. Throughout the trials, the animals grazed natural pastures from 0700 to 1700 hours except for one hour at mid-day. At night they were kept in raised houses fitted with slats. During milking only, animals on the trial received a concentrate mixture composed of 91% maize bran, 8% dried leucaena leaves and 1% common salt (NaCI) at a rate of 300 9 per animal/day. Refusals were weighed. The concentrate mixture contained 12.7% crude protein and 19.7 MJ GE (about 13 MJ ME)/kg DM.
The initial milk yield for each animal was determined about one week post-partum. Thereafter, milk yields were determined every week until the 12th week of lactation. On the days of yield determination, kids and lambs were separated from their dams for two 4-hour periods: 0700 to 1100 hours and 1110 to 1510 hours For the suckling method, the young were allowed to suckle at 1100 hours and at 1510 hours. They were weighed before and at completion of suckling. The difference in weight was taken as the milk production during the separation period. For the hand-milking technique, animals were milked out before going out for grazing. The amount of milk was not measured at this time. At 1100 and 1500 hours, they were milked out by hand for 10 minutes each time and the amount of milk measured. The daily milk production for both methods was calculated by summing up the two 4-hourly yields and multiplying the results by 3. The oxytocin technique (oxytocin ± hand-milking) was done by milking the animals after injection of oxytocin at the beginning of each milking. Ten international units or 1 ml of oxytocin was injected intramuscularly into the rear flank. After 3 to 5 minutes animals were milked out rapidly until no more milk could be withdrawn. Only one milk yield determination was carried out for health reasons. The amount of milk obtained during this single separation period was multiplied by 6 to obtain daily milk production.
Figure 1. The management of sheep and goats throughout the milk production trials.
During the days and times that hand-milking and oxytocin techniques were employed, 50 to 100 ml of milk samples were obtained. The samples were immediately frozen at about 20°C and stored for analysis in order to determine the chemical composition of the milk.
Liveweights of dams and the young were taken at parturition and at weekly intervals until the young were weaned at 17 weeks of age. At the time of weighing, condition scores of the dams were done. The scale used for the score was that described by Russel et al (1969) except that for goats the subcutaneous fat deposition component was ignored.
All the milk samples collected were analysed for fat by the Babcock method, for protein (N x 6.38) by the Kjeldahl method and for total solids and ash by methods described by AOAC (1980). Lactose was determined by Nelson's calorimetric determination of sugars. Solidsnot-fat (SNF) concentration was derived from total solids and fat concentrations by difference. Energy values were calculated using equations developed by Economides (1986) for sheep and goats as follows:
a. Goats: Y = 1.64 ± 0.42X1
b. Sheep: Y = 1.94 ± 0.43X1
where Y is the calorific value of milk in MJ/kg and X, is the per cent fat.
Dependent variables were milk yields, milk composition, liveweights and growth rate. Fixed least squares models described by Harvey (1977) for use on data with unequal subclass numbers were used. They included fixed effects of season, technique of milk-yield estimation, genotypes and their first order interactions. The effects of parity and the number of kids/lambs suckled were included as regressions. The model for the analysis of milk composition included in addition, the effect of lactation stage.
Milk production and lactation pattern
Analysis of variance and tests of significance for total lactation yields in goats and sheep are given in Table 1. In goats, season of kidding, technique of milk-yield estimation and genotype exerted significant effects on the total 12-week lactation yield. None of the interaction effects was significant. Parity of the dam had a quadratic relationship to the total lactation yield. The linear effect of the number of kids suckled was significant. In sheep, technique of milk yield estimation, genotype, genotype by technique and genotype by season interaction effects significantly influenced total lactation yield. Parity had only a quadratic effect on milk yield. The linear effect of litter size suckled was highly significant.
Table 1. Analysis of variance for factors affecting total milk yields in goats and sheep.
|
Source of variation |
Goats |
Sheep |
||||
|
df |
MS |
F |
df |
MS |
F |
|
|
Season (S) |
1 |
4722.33 |
19.16*** |
1 |
22.81 |
0.12 |
|
Technique (T) |
2 |
6817.26 |
27.65*** |
2 |
144281.60 |
6.14*** |
|
Genotype (G) |
2 |
2068.39 |
8.39*** |
2 |
9909.09 |
2.83*** |
|
Interactions |
|
|
|
|
|
|
|
G x T |
4 |
454.92 |
1.85 |
4 |
577.52 |
3.08* |
|
G x S |
2 |
460.25 |
1.87 |
2 |
1370.57 |
7.31*** |
|
T x S |
2 |
257.90 |
1.05 |
2 |
43.08 |
0.23 |
|
Regressions |
|
|
|
|
|
|
|
Parity linear |
1 |
5792.75 |
23.50*** |
1 |
28.09 |
0.15 |
|
Parity quadratic |
1 |
994.66 |
4.04* |
1 |
701.97 |
3.74* |
|
No. suckled linear |
1 |
6849.78 |
27.29*** |
1 |
4969.01 |
26.90*** |
|
Remainder |
146 |
246.53 |
|
233 |
187.56 |
|
* P<0.05; ** P<0.01; *** P<0.001.
Figure 2. The relationship between milk production (MP) and litter size suckled (L) and parity (P) of the dam in goats.
Figure 3. The influence of genotype, technique of estimation and season on total 12 week milk yeld in sheep.
The least squares means and standard errors for total milk yields in both goats and sheep are presented in Table 2. In goats, milk production of does kidding in the dry season was significantly higher (P<0.001) than that of those kidding in the rainy season, irrespective of genotype or technique of milk-yield estimation. Estimates of milk yield obtained by the suckling technique and the oxytocin technique were similar. The quantity of milk harvested by hand-milking was 36.5% less (P < 0.001) than that harvested by the other two techniques. Boer x local crossbred goats showed higher (P<0.001) 12-week milk production over the local and Boer goats which gave similar milk-yield estimates. The regression of the total 12-week milk production on parity was 12.83 and -5.15 for the linear and quadratic terms, respectively. Total milk production increased by 13.64 kg with the increase in number of kids suckled. Coefficients of variation obtained from within-genotype analysis of variance were 24.5%, 118.9% and 20.9% for local, Boer x local crossbred and for boer goats, respectively.
In sheep, mean total milk yields were similar. The overall difference in 12-week milk production estimated by the lamb-suckling or oxytocin methods (58.6 or 56.6 kg, respectively) was not significant. Over the whole lactation period, hand-milking estimates were 40.5% less (P<0.001) than those of either the lamb-suckling or the oxytocin methods. Dorper ewes produced the largest quantities of milk and local ewes produced the least. Dorper x local crossbred ewes produced total milk yields which were intermediate between the two other genotypes. Differences among these genotypes were significant (P<0.001). Milk production performance among genotypes differed according to the technique milk yield estimation employed (P<0.05) and according to season of lambing (P<0.001). The local ewes produced 47.6% and 30.9% higher milk yield by the suckling method than by the hand-milking and oxytocin methods, respectively. Dorper x local crossbred and Dorper ewes on the other hand gave higher milk yields by the oxytocin method than by the hand milking and suckling methods. Dorper ewes produced 15% less milk in the rainy season than in the dry season, but the other two genotypes produced slightly more milk in the rainy season tan in the dry season. The regression equation of total milk production (MP) on litter size (L) and parity (P) was MP = 21.31 + 16.33L + 16.33 L + 12.84P - 3.38P2. The effect of litter size suckled and parity on total milk yield are presented in Figure 4.
The average daily milk yields and lactation pattern for goats and sheep are presented in Figure S. The average daily milk yield in goats increased to a maximum of 1076 9 at two weeks post-partum and then decreased steadily till the end of lactation at 12 weeks when production averaged 962 g/day. In sheep, on the other hand, the average daily milk yield was practically linear in decline, maximum production of 745 9 occurring in the first week, decreasing throughout lactation until 12 weeks of lactation when production was 508 g/day.
Table 2. Least squares means and standard errors (kg) for total milk yields of goats and sheep.
|
Main effect |
Goats |
Sheep | |||||
|
Subclass |
No. |
Mean |
SE |
No. |
Mean |
SE | |
|
Overall |
163 |
75.7 |
2.00 |
250 |
49.80 |
1.30 | |
|
Season |
|
|
|
|
|
| |
|
|
Dry |
73 |
84.6b |
3.10 |
131 |
50.20 |
1.70 |
|
|
Rainy |
90 |
66.8a |
2.60 |
119 |
49.30 |
1.90 |
|
Technique |
|
|
|
|
|
| |
|
|
Suckling |
51 |
82.2b |
3.10 |
82 |
58.60b |
1.80 |
|
|
Hand-milking |
56 |
60.9a |
2.80 |
84 |
34.30a |
1.80 |
|
|
Oxytocin |
56 |
84.1b |
2.80 |
84 |
56.60b |
1.80 |
|
Genotype |
|
|
|
|
|
| |
|
|
Local |
65 |
70.6a |
2.50 |
84 |
37.80a |
1.80 |
|
|
Crosses |
76 |
81.6b |
2.30 |
102 |
48.90b |
1.60 |
|
|
Exotic |
22 |
75.0a |
3.80 |
64 |
62.70c |
2.10 |
Means within variable groups bearing different letters differ significantly (P < 0.05). Those without letters did not show any difference in the analysis of variance.
Figure 4. The relationship between milk production (MP) and litter size suckled (L) and parity (P) of the dam in sheep.
Figure 5. Overall lactation curves of sheep and goats.
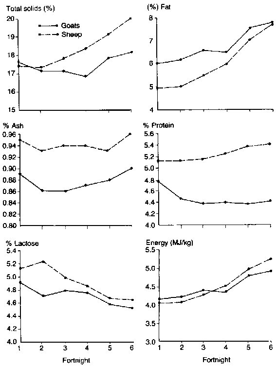
Milk composition
The composition of goats and sheep is shown in Table 3 and Figure 6. Local and BB goats had essentially the same milk composition in terms of total solids, butterfat, lactose and energy and these values except those for lactose, were significantly higher (P<0.001) than those for the Boer x local crossbred goats. There were no significant differences between BL and BB goats for SNF but SNF was significantly higher (P<0.001) in LL goats. Ash content was highest in BL goats and lowest in BB goats. Protein content was highest in LL goats and lowest in BB goats.
Local sheep produced milk with the lowest total solids (P<0.05), butterfat (P<0.001) and energy (P<0.001) contents, but had the highest levels of SNF (P<0.001), ash (P<0.01), protein (P<0.001) and lactose (P<0.001). The differences between DL and DD ewes in total solids, butterfat, SNF, ash and energy were not significant. However, the contents of protein and lactose in DD ewes were least and lower (P<0.001) than those in DL ewes whose values were intermediate.
Live weights and growth rates of kids and lambs
Mean liveweight and liveweight gains of kids from birth to weaning at 17 weeks are given in Table 4. Although kids born during the dry season were lighter (P) at birth than those born during the rainy season, they weighed more at weaning (P) and gained more (P<0.001) weight until statistically significant differences among dam genotypes were detected only for kid birth-weights. Kids born to LL does were lightest and those born to BB does were heaviest (P). Those born to BL does were intermediate. However, between birth and weaning, no statistically significant differences among dam genotypes for kid growth traits were observed.
Least squares means and standard errors of lamb live weights and liveweight gains from birth to weaning are shown in Table 5. Although the mean birthweight of lambs born in the dry season was lower (P) than that of those born in the rainy season, the performance of the former group was significantly superior to that of the latter group until weaning. Performance of lambs born to and reared by LL ewes was the least (P<0.001) in all growth traits. Weaning weights and liveweight gains were highest (P<0.001) in lambs born to and reared by DD ewes. The performance of those born to and reared by DL ewes was mostly intermediate. However, only the difference in birthweight between DL and DD ewes was significant (P <0.05). The differences between other performance traits between the two genotypes were not significant.
Table 3. Table contents (%) of total solids, butterfat and protein in goat milk.
|
Main effect |
No. |
Total solids |
Fat |
Protein |
||||
| Subclass |
Mean |
SE |
Mean |
SE |
Mean |
SE |
||
|
Overall |
1352 |
17.4 |
0.07 |
6.75 |
0.06 |
4.46 |
0.02 |
|
|
Season |
|
|
|
|
|
|
|
|
|
|
Dry |
600 |
18.1b |
0.10 |
6.71 |
0.09 |
4.46b |
0.02 |
|
|
Rainy |
752 |
16.7a |
0.09 |
6.80 |
0.08 |
4.31a |
0.03 |
|
Lactation week |
|
|
|
|
|
|
|
|
|
|
1-2 |
114 |
17.6b |
0.18 |
6.00a |
0.15 |
4.77b |
0.05 |
|
|
3-4 |
114 |
17.1a |
0.18 |
6.16ab |
0.15 |
4.46a |
0.05 |
|
|
5-6 |
112 |
17.1a |
0.18 |
6.57b |
0.15 |
4.37a |
0.05 |
|
|
7-8 |
112 |
16.8a |
0.18 |
6.48b |
0.15 |
4.40a |
0.05 |
|
|
9 10 |
112 |
17.8bc |
0.18 |
7.55c |
0.15 |
4.36a |
0.05 |
|
|
11-12 |
112 |
18.1c |
0.18 |
7.79c |
0.15 |
4.41a |
0.05 |
|
Technique Hand-milking |
676 |
17.0a |
0 09 |
6.24a |
0.07 |
4.53b |
0.02 |
|
|
Oxytocin |
676 |
17.7b |
0.09 |
7.27b |
0.07 |
4.40a |
0.02 |
|
Means within variable groups bearing different letters differ significantly (P < 0.05). Those without letters do not differ.
Figure 6. Changes in the composition of milk from sheep and goats at two weekly intervals.
Figure 7. Changes in liveweight and change condition scores of sheep and goats during the experimental period.
Changes in liveweight and body condition scores of goats and sheep during lactation are shown in Figure 7. In goats, the overall weight (±SE) was 34.7±0.25 kg and the mean body condition score was 2.87±0.05. In sheep, overall mean weight was 31.1±0.16 and mean body condition score was 2.70±0.04.
Table 4. The content (%) of total solids, fat and protein in sheep milk.
|
Main effect |
No |
Total solids |
Fat |
Protein |
||||
|
Subclass |
Mean |
SE |
Mean |
SE |
Mean |
SE |
||
|
Overall |
2024 |
18.30 |
0.06 |
6.02 |
0.05 |
5.23 |
0.02 |
|
|
Season |
|
|
|
|
|
|
|
|
|
|
Dry |
1056 |
19.00b |
0.08 |
6.14b |
0.07 |
5.58b |
0.02 |
|
|
Rainy |
968 |
17.70a |
0.09 |
5.90a |
0.07 |
4.89a |
0.02 |
|
Lactation week |
|
|
|
|
|
|
|
|
|
|
1-2 |
172 |
17.40a |
0.15 |
4.93a |
0.13 |
5.12a |
0.04 |
|
|
3 4 |
172 |
17.30a |
0.15 |
5.00a |
0.13 |
5.12a |
0.04 |
|
|
5-6 |
170 |
17.80b |
0.15 |
5.48b |
0.13 |
5.15a |
0.14 |
|
|
7 8 |
167 |
18.30c |
0.16 |
5.99c |
0.13 |
5.24a |
0.04 |
|
|
9 10 |
166 |
19.10d |
0.16 |
7.03d |
0.13 |
5.73b |
0.04 |
|
|
11-12 |
166 |
20.00e |
0.16 |
7.69e |
0.13 |
5.41b |
004 |
|
Hand-milking |
1010 |
17.80a |
0.07 |
5.25a |
0.06 |
5.37b |
0.02 |
|
|
Oxytocin |
1014 |
18.90b |
0.07 |
6.79b |
0.06 |
5.10a |
0.02 |
|
Means within variable groups bearing different letters differ significantly (P < 0.05). Those without letters do not differ.
Table 5. Least squares means and standard errors of the milk composition in goats and sheep
In the present study, goats produced significantly less milk in the rainy season than in the dry season which disagrees with the observations of Mukundan and Bhat (1983). During the year when rainy season trials were set up, rainfall had increased from 976 mm to over 1300 mm which was obtained from October 1988 to early April 1989. These much longer and intensive rains disturbed the normal grazing period and pattern. In addition, the level of worm infestation observed in faeces and the higher level of disease incidences during this season could have accounted for the productive performance.
The non-significant difference in estimates of total and daily milk yields between suckling and oxytocin techniques throughout lactation does not agree with the results of Mill and Steinbach (1984) who obtained higher estimates when oxytocin technique rather than when suckling technique was used. Hand-milking produced 36.5% less milk than either of the other two methods. Similar findings have been reported by Ueckermann et al (1974). These findings and the present results might show that all the breeds used in the present study have never been selected for milk production and indicate very strong mothering instinct.
Differences in dam genotypes in total and daily milk production were evident. Previous estimates of milk production of the three goat genotypes are limited. Levels attained by the LL does are much higher than those reported for other tropical/subtropical breeds (Devendra and Bums, 1983). The breed is, however, surpassed by far by the Beetal and Jamnapari of India and the Damascus of Cyprus. The estimates of Boer goats are very much lower than those observed on the same breed elsewhere in Africa (Ueckermann et al, 1974). The present milk-yield estimates of BL does are 112% of the mid-parent average, 116% of the LL goats and 109% of BB goats. This might suggest that crossbreeding the BB and the LL goats could be beneficial for increased milk production.
The total milk yields of sheep in the dry rainy seasons were similar. Similar findings were reported by Aboul-Naga et al (1981a). Much earlier, Sacker and Trail (1966) observed that the growth rate of lambs of the East African Blackheaded sheep lambing in the dry season was restricted.
Total milk intake by lambs (suckling technique) was similar to total milk production of the ewes (oxytocin + hand-milking). The oxytocin + hand-milking technique usually gave no second milk let-down or residual milk in the udder as confirmed by palpation. This might suggest that either the ewes had adjusted their daily milk secretion to equal that consumed by their lambs or that all the lambs were consuming all the milk the ewes were capable of producing as suggested by Wohit et al (1984). Similar findings were reported by Doney et al (1979) and Aboul-Naga et al (1981 b).
Although previous estimates on the sheep breeds used in the present study are not available, the levels attained by LL ewes are similar to those of Malpura and Chokla in India, higher than those of West African Dwarf sheep in Nigeria (Gatenby, 1986), but surpassed by Rahmani, Ossimi and Barki (Aboul-Naga et al, 1981a). Ueckermann et al (1974) reported that of the South African non-woolled sheep, Dorper breed produced an average daily milk yield of 1262 9 in 100 days. The present yield of about 750 g/day recorded in 84 days is too low and might be indicative of the existing insufficient nutritional environment.
The pattern of daily milk yields in goats significantly rising to maximum within two weeks and then decreasing afterwards to end of lactation was also observed by Ehoche and Buvanendran (1983) in the Red Sokoto goat. The pattern of milk yields as observed in sheep was also reported by Gatenby (1986).
The overall contents of total solids, fat, SNF, ash, protein, lactose and energy observed in the present study are much higher than those of all other breeds, except those of the West African Dwarf and the pygmy goats, as summarised by Parkash and Jenness (1968) and Devendra and Burns (1983). The contents in sheep are lower than those reported for Middle Atlas of Morocco (Gatenby, 1986). The changes in the composition of sheep and goat milk in this study are different from the results reported for dairy goats in the temperate areas (Parkash and Jenness, 1968).
Kids and lambs born in the dry season weighed less at birth, but weighed and grew more up to weaning. The lighter birthweight in the dry season might probably be due to nutrition of the dam in the last third of pregnancy. Most goats and sheep gave birth between May and June when rains had stopped and plan of nutrition was getting low. Peart (1982) concluded that when nutrition of the dams during the last stages of gestation is low or restricted, birthweight of kids and dam milk yields in the first lactation weeks are reduced. However, the higher performance of these kids and lambs until weaning is probably due to the higher yields of milk and milk components produced by the dams during this reason. Observations made in the present study are contrary to expectations and to most published results (Sousa et al, 1987; Hendy, 1987). The controversy might have arisen due to differences in location, management, environment and genotype.
Genotypic effect of dams was evident for differences in kid birthweight, but not for weights and gains to weaning. The least and heaviest birthweights in kids born to local and Boer does, respectively, are expected. Similar results were observed in sheep. The intermediate birthweights of kids born to crossbred goats may imply some additive gene action among the dams for kid birthweight and an advantage over the local goats as regards this trait. These results are contrary to the report published by De Haas (1977). Later, similar findings to the present results were reported by Ayoade and Butterworth (1982). However, similarity among genotypes in most of the pre-weaning traits might indicate that the milk yield differences may have been inadequate for the kids to show differences. In sheep, lambs born to and reared by local lambs performed the poorest. Weaning weights and pro- weaning gain differences in lambs born to and reared by Dorper on the one hand and crossbred ewes on the other hand were not significant, implying that the differences in milk yield only were not adequate to show differences in growth traits of the lambs.
Goats produced more milk than sheep irrespective of genotype used. The milk yields are much lower than those for temperate and other Indian-recognised breeds. Due to reproductive problems in exotic genotypes, especially in Boer goats, no clear conclusions can be drawn. The content of all milk constituents in sheep, except fat, was higher than that in goats. The average composition is much higher than that of most tropical genotypes recorded. Lambs grew faster than kids. The low milk yields of the goats and sheep used could probably be increased by both selection and crossbreeding with well known high milk producing breeds. Although no valid recommendations could be drawn from this short-term study, the study has brought out some specific areas and problems that need attention. Some suggestions to be made need to be backed up by long-term studies through multidisciplinary approach.
Suggestions for further research
· If at all feasible, more research is required to include a larger number of Boer goats in order to come up with valid conclusions.· There should be a continuation of the evaluation and description of the performance potential (milk and meat) of all the existing stock to cover all the genotypes in all the zones of the country.
· Evaluation of the milk production potential should be extended to include the newly introduced Saanen breed and its crosses with local goats. Assessment should include even post-weaning period to effectively evaluate milk production persistency, a character suitable for dairy production. The three milk measurement techniques should be tried to find the differences in milk production response. The suckling method needs refinement.
· Possible causes of mortalities and disease incidences should be found. There is need to search several new treatment strategies to improve the health status of the small ruminants. Causes of reproductive problems in Boer goats and Dorper sheep should be promptly investigated.
· Testing of several lamb and kid rearing regimes. This should include different suckling regimes and time of weaning, different feeding systems and housing types to help reduce mortality. Effect of milk removal on performance of the young should be examined.
· Test several feeding, health, breeding and management technologies on the existing stock and evaluate their economic viability.
· Selection of the existing small ruminant stock for growth rate of the offspring and milk production should be expanded or established.
· Comparative technical and economic evaluations of goat and cattle milk and meat production enterprises at farm and station level need to be conducted.
The authors wish to thank the Malawi-German Livestock Development Programme for the provision of animals, facilities and other materials used in the study. The funds used in this work were obtained from the German Academic Exchange Service (DAAD), Contract Research Committee of the Ministry of Agriculture (Research), Malawi and the University of Malawi Research and Publications Committee.
Aboul-Naga A M, El-Shobokshy A S. Marie I F and Moustafa M A. 1981a. Milk production from subtropical non-dairy sheep. 1. Ewe performance. Journal of Agricultural Science (Cambridge) 97: 279-301.
Aboul-Naga A M, El-Shobokshy A S and Moustafa M A. 1981b. Milk production from subtropical non-dairy sheep. 2. Method of measuring Journal of Agricultural Science (Cambridge) 79:303-308
AOAC (Association of Official Analytical Chemists). 1980. Official methods of analysis. 13th edition. AOAC, Washington, DC, USA. 1018 pp.
Ayoade J A and Buttenworth M H. 1982. The relationships between birth and weaning weights in kids of Malawian local goats, Boer and their crosses. Tropical Animal Production 7 (2): 113115.
De Haas H J. 1977. Boer crossbred goats in Kenya: A comparison of growth rates. Animal Research and Development 6:72- 76.
Devendra C and Burns M. 1983. Goat production in the tropics. Commonwealth Agricultural Bureau, Slough, UK. 183 pp.
Doney J M, Peart J N and Smith W F. 1979. A consideration of the technique us for estimation of milk yield by suckled sheep and a comparison of estimates obtained by two methods in relation to the effect of breed, level of production and stage of lactation. Journal of Agricultural Science (Cambridge) 92:123-132.
Economides S. 1986. Comparative studies of sheep and goats: Milk yield and composition and growth rate of lambs and kids. Journal of Agricultural Science (Cambridge) 106:477-484.
Ehoche O W and Buvanendran V. 1983. The yield and composition of milk and pre-weaning growth rate of Red Sokoto goats in Nigeria. World Review of Animal Production 19:19-24.
Gatenby R M. 1986. Sheep production in the tropics and subtropics. 1st edition. Longman Group Ltd. Essex, UK. pp. 202-225.
Harvey W R. 1977. User's guide for LSML76. Mixed model least-squares maximum likelihood computer program. Ohio State University, Columbus, Ohio, USA. (Mimeograph)
Hendy C R C. 1987. Production of the indigenous goats under traditional management in southern Tanzania. In: Santanta O P. Aliomar Gabriel da Silva and Foote WC (eds), Proceedings of the IV International Conference on Goats. Volume II. International conference held in Brasilia, Brazil, 8-13 March 1987. Departamento de Difusao de Tecnologia-DDT, Brasilia, Brazil. p. 1544 (Abstract 342).
Mill H and Steinbach J. 1984. Genotypische unterschiede in der Milchleistung bis zum Zitpunk des Absetzens in Abhängigkeit von der Melktechnik Seminar über Ziegenforschung in Cap Serrat/Sria, Tunis, Oktober, 1984. Germany. pp. 150-161.
Mittal J P. Agarwal M P and Bist K S. 1977. Effect of breed, age, season and pare on milk secreting capacity of goats. Indian Veterinary Journal 54:449-453.
Mukundan G and Bhat P N. 1983. Lactation curve in Malabari goats and their Saanen half-bred. l. Milk production. Indian Journal of Animal Science 53(6):666-669.
Parkash S and Jenness R. 1968. The composition and characteristics of goat's milk: A review. Dairy Science Abstracts 30:67-87.
Peart P N. 1982. Lactation of suckling ewes and does. In: Coop I E (ed), World animal science. C. Production- systems approach. 1. Sheep and goat production. Elsevier Publishing Co., Amsterdam, The Netherlands.
Russel A J F. Doney J M and Gunn R G. 1969. Subjective assessment of body fat in live sheep. Journal of Agricultural Science (Cambridge) 72:451-54.
Sacker G D and Trail J C M. 1966. The effect of year, suckling, dry season, and type of dam (ewe or gimmer) on milk production in East African Blackheaded sheep as measured by lamb growth . Journal of Agricultural Science (Cambridge) 66: 93-95.
Sousa W H. Corriea W S. Nery J K, Lima F A M and Pant K P. 1987. Influence of the breeding season on birth and survival of Caninde kids. In: Santanta O P. Aliomar Gabriel da Silva and Foote W C (eds), Proceedings of the IV International Conference on Goats. Volume II. International conference held in Brasilia, Brazil, 8-13 March 1987. Departamento de Difusao de Tecnologia-DDT, Brasilia, Brazil. p. 1487 (Abstract 263).
Steinbach J. 1988. Experiences with the evaluation of the production potential of local and improved goat breeds in Northern Tunisia. Animal Research and Development 28:10-114.
Ueckermann L, Joubert D M and van der Stein G J. 1974. The milking capacity of Boer goat does. World Review of Animal Production 10(4):73-83.
Wohlt J E, Foy W L, Jr, Kniffen D M and Trout J R. 1984. Milk yield by Dorset ewes as affected by sibling status, sex and age of lamb, and measurement. Journal of Dairy Science 67(4):802-807.