Previous Page Table of Contents Next Page


Appendix B: A procedure to estimate the age effect on potential milk yield

In general, a breed's milk yield potential is highest for cows of middle age, and is lower for younger and older cows. Milk yield potential at age t expressed as a fraction of the maximum is denoted by:

yt = y(t) ... (B.1)

where: t = age (years).

This function can be approximated by two curvilinear segments (AB) and (CD) tangent to the horizontal line at points B and C, as shown in Figure B.1 where points B and C correspond to the age range of maximum milk yield potential.

Figure B.1 Relative potential milk yields (Yt) of cows of different ages (t)

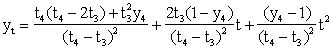
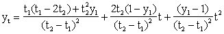
The minimum data necessary to estimate segments (AB) and (CD) of the curve as postulated here are: the fraction of potential milk yield (y1) realized at a young age (t1), the fraction (y4) realized at an old age (t4), and the intermediate ages (t2) and (t3) when milk yield is at its maximum potential. Assume further that quadratic functions can be used to approximate these two segments. The equations for the two quadratic functions are:

yt = a1 + b1t + c1t2 for segment (AB) where t1 £ t £ t2

yt = a2 + b2t + c2t2 for segment (CD) where t3 £ t £ t4.

Based on these assumptions concerning the shape of the milk yield potential curve, coefficients a1, b1, c1, a2, b2 and c2 can be derived analytically, yielding the following functional forms:

for t1 £ t £ t2 ... (B.2)

yt = 1 for t2 < t £ t3 ... (B.3)

for t3 < t £ t4 ... (B.4)

For lactating cows younger than t1 and older than t4, values y1 and y4 are assumed to apply respectively.

As an example, consider the case when potential milk yield is highest for 6- to 8year-old cows (t2 = 6 and t3 = 8). At 3 years, potential milk yield is 80% of the highest potential yield (t1 = 3 and y1 = 0.80), and at 13 years it is 60% of the highest potential yield (t4 = 13 and y4 = 0.60). Substituting these values into formulae (B.2) and (B.4) yields:

yt = 0.2 + 0.267 t - 0.022 t2 for 3 £ t £ 6

yt = 1.0 for 6 < t £ 8

yt = -0.024 + 0.256 t - 0.016 t2 for 8 < t £ 13.


Previous Page Top of Page Next Page