Previous Page Table of Contents Next Page


Appendix D: A procedure to estimate the age effect on fertility

The average annual calving rate () of cows of age t can be expressed by a general function:

... (D.1)

where: t = age (years).

Cows reach maximum fertility around the middle of their reproductive lives. Function (D.1) can be approximated, in the absence of complete data, as in Figure D.1 with two curvilinear segments (AB) and (CD) tangent to a horizontal line (BC), which corresponds to the range of ages of highest fertility.

Figure D.1 Average annual calving rate () as a function of cow's age in years (t)

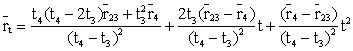
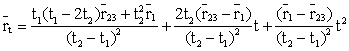
The minimum data necessary to estimate segments (AB) and (CD) of the curve are the average calving rate () realized by animals at the youngest reproductive age (t1), the maximum calving rate () realized between ages t2 and t3, and the calving rate () realized at the oldest reproductive age (t4). Assuming that quadratic functions are acceptable representations of the segments (AB) and (CD), then the following equations describe analytically the effect of age on average annual calving rates:

for t1 £ t £ t2 ... (D.2)

for t2 < t £ t4 ... (D.3)

for t3 < t £ t4 ... (D.4)

For cows conceiving at ages younger than t1 and older than t4, values and are assumed respectively.

As an example, consider a production system where 3-year-old cows have a 50% average annual calving rate (t1 = 3 and = 0.50), 5- to 9-year-old cows have a 75% average annual calving rate (t2 = 5, t3 = 9 and = 0.75), and cows 12 years old and older have a 40% average annual calving rate (t4 = 12 and = 0.40). Substituting these values into formulae (D.2), (D.3) and (D.4) yields:

for 3 £ t £ 5

for 5< t £ 9

for 9 < t £ 12.


Previous Page Top of Page Next Page