Environmental and genetic effects on lamb weights at seven different ages
Ewe body weights
Weights at birth, 2 and 4 months were available for 360 lambs, at 4, 6 and 8 months for 298 lambs and at 8, 10 and 12 months for 209 lambs, born in the years 1977 - 1980. Analyses of variance, laid out in Table 13, showed origin, year and month of birth, type of birth, sex, age of dam and individual dams to have significant effects on lamb body weight at different stages.
The estimated least squares means for body weight at seven different ages are shown in Table 14.
Figure 3 illustrates the mean growth of all lambs from birth to 12 months. The coefficients of variation of weight at birth, 2, 4, 6, 8, 10 and 12 months were 19%, 22%, 22%, 20%, 18%, 19% and 19% respectively.
Table 14. Estimated least squares means for weight at seven different ages
Figure 3. Mean body weights from birth to 12 months.
Effect of year of birth
Table 13 indicates that significant year effects existed for weights at all ages. Lambs born in 1980 were significantly heavier at all ages from 2 months to 12 months than those born in the three other years, while lambs born in 1978 were significantly lighter. The weight differences between lambs born in these two extreme years at 2, 4, 6, 8, 10 and 12 months were 25%, 53%, 59%, 62%, 77% and 71% respectively of the mean weights.
Causes of variation between years in this environment can be annual rainfall affecting pasture availability, and the disease situation, changes in management techniques, genetic progress, etc. Correlations and regressions between the 4 year means for weight at each stage from 2 months to 12 months and the 4 year means for rainfall from birth to each stage are indicated in Table 15 (Mean birth date taken as July 1).
Table 15. Correlations between and regressions of weight (kg) at 6 ages and rainfall (mm) between birth and that age.
|
Age |
Correlation |
Regressions |
|
2 months |
-0.77 |
-0.003 |
|
4 months |
-0.91 |
-0.009 |
|
6 months |
-0.82 |
-0.011 |
|
8 months |
-0.74 |
-0.014 |
|
10 months |
-0.66 |
-0.017 |
|
12 months |
-0.74 |
-0.018 |
Table 15 indicates strong negative correlations between weight at all stages and rainfall over the corresponding periods, ranging from 0.66 to 0.91. The regressions of weight on rainfall showed a reduction in weight of 3, 9, 11, 14, 17 and 18 gm for each additional 1 mm rainfall from birth to 2, 4, 6, 8, 10 and 12 months respectively. Table 8 shows the mortality rates from birth to weaning and weaning to 12 months for these four years. The correlation between mortality rate to weaning and weaning weight of survivors was -0.91; and between mortality rate to 12 months and weight at 12 months, -0.92. The weights of survivors at 4 months and 12 months were 142 gm and 237 gm less respectively for each addition-all 1% mortality that had occurred during these periods.
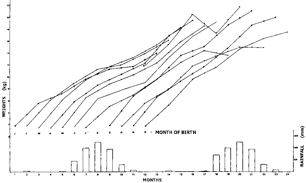
Effect of month of birth
Table 13 indicates that the effects associated with month of birth were significant at all ages except 2 and 12 months. Figure 4 shows the weights of animals in each of the month of birth groups, corrected for all other effects evaluated.
Figure 4. Effect of month of birth on body weight.
The effects of month of birth on later body weights are usually related to the stage in the wet and dry weather cycle at which an animal reaches a given age; and relative rankings of month of birth groups might be expected to change from stage to stage.
Correlations and regressions between the 12 monthly means for weight and the 12 monthly means for rainfall from birth are given in Table 16 for the four ages 4, 6, 8 and 10 months where month of birth effect is significant.
Table 16. Correlations between and regressions of weight (kg) at 4 ages and rainfall (mm) between birth and that age.
|
Age |
Correlation |
Regression |
|
4 months |
-0.10 |
-0.001 |
|
6 months |
-0.29 |
-0.002 |
|
8 months |
-0.39 |
-0.004 |
|
10 months |
-0.46 |
-0.005 |
Table 16 indicates that the correlations and regressions between rainfall and weight at the 4, 6, 8 and 10 month stages were all negative but small.
Effect type of lambing
Table 13 indicates that type of lambing, single or twin, had a significant effect on all weights from birth to 8 months, twin lambs being 21%, 27%, 23%, 21%, 16%, 8% and 5% lighter than singles at birth, 2, 4, 6, 8, 10 and 12 months of age respectively.
Effect of sex
Table 13 indicates that the effect of sex was significant at all ages except 2 months. At birth, 2, 4, 6, 8, 10 and 12 months, males were 9%, 5%, 8%, 18%, 20%, 13% and 17% heavier than females.
Effect of dam parturition number
Table 13 indicates that the effect associated with dam parturition number was significant at the birth and 2-month stages only. At birth, lambs from second parturition dams were 30% heavier and lambs from third and later parturition dams 41% heavier, than lambs from first parturition dams. At 2-months of age the respective differences were 13% and 34%.
Repeatability of early lamb weights
The repeatabilities of lamb birth, 2 month and 4 month weights considered as a characteristic of the ewe are indicated in Table 17. Data are from 360 lambs born to 146 ewes.
Table 17. Repeatability of early lamb weights
|
Trait |
Repeatability |
s.e. |
|
Birth weight |
0.22 |
0.07 |
|
2 months weight |
0.18 |
0.07 |
|
4 months weight |
0.24 |
0.08 |
Phenotypic correlations between lamb body weights at different ages
The phenotypic correlations available between lamb weights are shown in Table 18. These were all positive, with correlations between birth and early weights being lower than those between all other later ages.
Table 18. Phenotypic correlations between lamb body weights
|
Trait |
2 months |
4 months |
6 months |
8 months |
10 months |
12 months |
|
weight |
weight |
weight |
weight |
weight |
weight |
|
|
Birth weight |
.41 |
.29 |
|
|
|
|
|
2 months weight |
|
.78 |
|
|
|
|
|
4 months weight |
|
|
.84 |
.72 |
|
|
|
6 months weight |
|
|
|
.86 |
|
|
|
8 months weight |
|
|
|
|
.85 |
.72 |
|
10 months weight |
|
|
|
|
|
.86 |
Weights, at lambing and when lamb weaned at 4 months of age, were available for 144 ewes, together with the birth and 4 month weights of their 360 lambs, produced in 316 parturitions. In order to facilitate analyses and obtain correlations between ewe and lamb weights, the ewe weights in the 44 lambings producing twins, were used twice in the analyses. The data referred to lambings over the four years 1977 - 1980. Analyses of variance laid out in Table 19, showed origin, year of lambing and individual ewes to have significant effects on weights at lambing, lamb weaning and their mean. Additionally, month of lambing had a significant effect on weight at lamb weaning and mean weight.
Table 19. Analyses of variance of weights of adult ewes
|
Source |
d.f. |
Mean squares × 102 |
||
|
Weight at lambing |
Weight at weaning |
Mean weight |
||
|
Origin |
1 |
71424** |
57971** |
63299** |
|
Ewes |
145 |
1904** |
2284** |
1745** |
|
Year of lambing |
3 |
12261** |
22386** |
17876** |
|
Month of lambing |
10 |
682 |
2238** |
696** |
|
Type of lambing |
1 |
566 |
865 |
357 |
|
Sex |
1 |
199 |
56 |
246 |
|
Number of lambing/foundation |
1 |
180 |
106 |
180 |
|
Number of lambing/born on centre |
2 |
647 |
431 |
550 |
|
Remainder |
195 |
475 |
516 |
269 |
**= P< .01.
The estimated least squares means for the three measures of ewe body weight are shown in Table 20.
The mean ewe body weight at lambing was 23.8 kg, and at weaning of lamb 23.3 kg, thus an average of 0.5 kg was lost during the 4 months suckling period.
The repeatabilities of ewe weights at parturition, at weaning of lambs 4 months later and the mean of the two, are indicated in Table 21.
Table 20. Estimated least squares means for weights of adult ewes (kgs)
|
Variable |
Number |
Weight at lambing |
Weight at weaning |
Mean weight |
|
Overall mean |
360 |
23.82 |
23.33 |
23.47 |
|
Origin | ||||
|
Foundation (1) |
225 |
25.55 |
24.88 |
25.10 |
|
Born on centre (2) |
135 |
22.09 |
21.77 |
21.85 |
|
Year of lambing | ||||
|
1977 |
45 |
22.94 |
21.53 |
22.39 |
|
1978 |
86 |
22.60 |
21. 04 |
21.60 |
|
1979 |
102 |
23.12 |
23.29 |
22.95 |
|
1980 |
127 |
26.62 |
27.46 |
26.96 |
|
Month of lambing | ||||
|
January |
26 |
24.35 |
21.14 |
22.82 |
|
February |
34 |
24.44 |
23.27 |
23.91 |
|
March |
38 |
23.80 |
23.85 |
23.73 |
|
April |
21 |
23.68 |
23.76 |
23.65 |
|
May |
28 |
24.81 |
22.73 |
23.75 |
|
June |
29 |
22.68 |
22.06 |
22.15 |
|
July |
6 |
22.39 |
21.31 |
21.91 |
|
August |
- |
- |
- |
- |
|
September |
16 |
24.83 |
25.57 |
24.48 |
|
October |
39 |
23.28 |
25.33 |
23.97 |
|
November |
64 |
23.78 |
23.64 |
23.65 |
|
December |
59 |
23.99 |
23.95 |
24.20 |
|
Type of lambing | ||||
|
Single |
272 |
23.58 |
23.03 |
23.28 |
|
Twin |
88 |
24.07 |
23.63 |
23.67 |
|
Sex | ||||
|
Male |
198 |
23.72 |
23.28 |
23.36 |
|
Female |
162 |
23.93 |
23.38 |
23.59 |
|
Number of lambing/origin 1 | ||||
|
1-4 |
93 |
25.74 |
24.74 |
25.29 |
|
5+ |
132 |
25.37 |
25.03 |
24.92 |
|
Number of lambing/origin 2 | ||||
|
1 |
32 |
21.18 |
21.05 |
21.04 |
|
2 |
39 |
22.59 |
22.21 |
22.35 |
|
3+ |
64 |
22.51 |
22.05 |
22.16 |
Table 21. Repeatability of ewe body weights
|
Trait |
Repeatability |
s.e. |
|
Weight at parturition |
0.57 |
0.05 |
|
Weight 4 months after parturition |
0.60 |
0.05 |
|
Mean weight |
0.70 |
0.04 |
These repeatability estimates were within the range normally reported for ewe body weights.
The phenotypic correlations between ewe weights and lamb preweaning weights are shown in Table 22.
Table 22. Phenotypic correlations between ewe and lamb weights
|
Trait |
Lamb birth weight |
Lamb 2 months weight |
Lamb 4 months weight |
|
Ewe weight at parturition |
0.20 |
0.38 |
0.39 |
|
Ewe weight 4 months after parturition |
0.06 |
0.27 |
0.32 |
|
Mean ewe weight |
0.18 |
0.36 |
0.39 |
The correlation of ewe weight with lamb pre-weaning weights was about double that between ewe weight and lamb birth weight.