3.1 Métodos de muestreo para las estadísticas de captura y esfuerzo
3.2 Muestreo de la composición de longitudes
3.3 Muestreo indirecto
3.1.1 Estadísticas necesarias
3.1.2 Definición de la población y elección de la unidad de muestreo
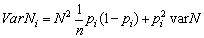
3.1.3 Estimación de la captura total
3.1.4 Estimaciones de la cantidad devuelta al mar
3.1.5 Estadística de esfuerzos
El primer paso en el estudio de una pesquería es saber lo que en ella se captura. Muy a menudo se carece de estadísticas de capturas, o se presentan en forma insuficiente, por ejemplo, sin dividir la captura total en especies o en clases de peces. Aún es más frecuente que falten datos sobre el esfuerzo de pesca, incluso en la forma más simple, tal como el número de barcos o de pescadores. Los datos sobre capturas y esfuerzos de pesca, y su relación, la captura por unidad de esfuerzo, que es el índice más simple de la abundancia de la población, constituyen la base para el estudio de las pesquerías. En cuanto dos de estas cantidades se determinan, la tercera se deduce por cálculo, que no ha de ser precisamente la captura por unidad de esfuerzo, ya que con datos sobre esta última y de las capturas se puede deducir el esfuerzo, o también la captura total de las otras dos. Por esta razón no es posible discutir separadamente los problemas del muestreo de las capturas y del esfuerzo.
Medidas del esfuerzo de pesca
Es preciso establecer claramente distinciones entre los varios usos que pueden hacerse con los datos del esfuerzo, y de las unidades necesarias para cada uno de ellos. Para un economista, el esfuerzo será una medida de los medios económicos, y la captura por unidad de esfuerzo una medida del éxito o eficiencia de la pesquería. Un biólogo considerará que el esfuerzo es una medida de la mortalidad causada por la pesca, y la captura por unidad de esfuerzo una medida de la abundancia o densidad de las poblaciones de peces. Así pues, cada uno necesitará diferentes unidades del esfuerzo de pesca, y sobre todo, estas unidades cambiarán de distinta manera a lo largo del tiempo. Por ejemplo, supóngase que en una pesquería en la que se venían usando piraguas movidas a remo se introduce el uso de motores fuera de bordo. Para el economista, los medios han cambiado poco, ya que los factores principales, número de pescadores y barcos, permanecen los mismos, y la captura por unidad de esfuerzo se habrá incrementado. Para un biólogo, la población permanece inalterada, y, por tanto, también la captura por unidad de esfuerzo, pero lo que habrá aumentado será el esfuerzo de pesca. Es decir, para un economista la unidad de esfuerzo será la piragua o el pescador, mientras que para un biólogo será la piragua no motorizada, de tal manera que una con motor podrá equivaler a dos sin motor.
Estas complicaciones (que tienden a incrementarse cuanto mayor sea la variedad de equipos auxiliares, y se generalicen las modificaciones y mejoras de los artes de pesca) hacen que sea conveniente recoger los datos del esfuerzo de pesca en dos etapas. Primero, una recolección de datos relativamente simple, tal como el número de barcos o de salidas, que pueden obtenerse, con frecuencia, con un muestreo conjunto con el de las capturas. Luego una información mucho más precisa, como la de la eslora de los barcos, características de los artes, etc., obtenida de una parte de la pesquería, que se generaliza al total de los datos de la primera estapa, y según las necesidades requeridas. Esta información detallada se puede tomar cada año, por medio de una muestra de la pesquería, pero también cada cierto tiempo; por ejemplo, la Comisión Internacional de Pesquerías del Atlántico Noroeste recoge información detallada (dimensiones de los barcos, de los artes, etc.) de todos los barcos que operan en el área, cada varios años.
En todo problema de muestreo lo primero que debe hacerse es definir la población que hay que someter a muestreo, y elegir una unidad apropiada de muestreo. Para esto, mejor que referirse al lugar en donde se han realizado las operaciones pesqueras es casi siempre más práctico atenerse a los lugares donde se desembarcan los peces, o se pesan y registran por primera vez. Lo más sencillo suele ser basar la pesquería en un cierto número de lugares de desembarco, que pueden ser considerados como una unidad. Un caso más complicado es cuando los desembarcos tienen lugar en cualquier punto de la costa o de un río; en este caso, la unidad será una determinada longitud de costa o de río. El tamaño mejor de una unidad es que sea lo suficientemente pequeña para que pueda ser abordada por un solo observador en un solo día; pero, en el caso de que la actividad pesquera esté muy esparcida, estos límites pueden ampliarse. Por último, algunas pesquerías, normalmente primitivas, cubren simplemente un área limitada, como un pantano o unos canales de irrigación, consumiéndose los peces localmente, o enviándose en pequeños lotes al mercado. En este caso, la unidad puede ser un área de terreno. Estos tipos de unidades pueden combinarse de tal manera que un sector de la costa pueda dividirse en un cierto número de lugares diferentes de desembarco, y longitudes de costa entre estos puntos.
El primer paso consistirá en establecer una estratificación, dividiendo las unidades (lugares de desembarco, sectores costeros) de acuerdo con el orden de magnitud de sus pesquerías. Para ello, es necesario realizar un examen previo de la pesquería, y, en el caso de las pesquerías sin lugares concretos de desembarcos, posiblemente un examen geográfico para delimitar con precisión los límites de las unidades. Donde la división de las unidades se hace en una forma más bien arbitraria, por ser la costa muy uniforme, se procurará que las capturas de las unidades sean lo más iguales unas a otras. Esto reducirá a un mínimo la variancia dentro de los estratos, con lo que aumentará la precisión de las estimaciones finales de las capturas, etc., para una cierta cantidad de muestreo. La división de los lugares, según la cantidad desembarcada sea grande, mediana o pequeña, puede cambiar durante el año con las pesquerías estacionales, de tal manera que un lugar de desembarco clasificado como «grande» durante la estación principal de pesca, tenga que ser clasificado como «pequeño» durante el resto del tiempo.
La intensidad del muestreo dependerá de la importancia de la unidad. Si es grande, es posible que sea necesario recoger una información muy completa, pero, si es pequeña, puede que sea suficiente una sola muestra que represente el 1 por ciento del total.
En cada unidad de población, tal como ha sido definida, es decir, un lugar de desembarco, puede que sea necesario establecer una nueva estratificación. Por ejemplo, un sector costero ha sido dividido en ocho unidades (lugares de desembarco), pero sólo es posible dedicar a cada una de ellas una décima parte del tiempo disponible. Esto significa que sólo podremos visitar cada unidad durante tres días al mes. La elección de estos tres días dependerá de circunstancias tales como las posibilidades de viajes entre los distintos lugares. Si éstas son buenas, es decir, si no hay dificultades o implica grandes gastos tomar los datos en el punto A el lunes, en el B el martes, etc., será mejor espaciar los tres días del muestreo con intervalos de 10 días durante el mes. (Los viajes entre los distintos puntos se facilitarían si los desembarcos se hicieran sólo por la mañana, dejando la tarde libre para viajar, lo que no podría ocurrir si los desembarcos tuvieran lugar durante todo el día.) Si, por el contrario, fuera difícil viajar, los tres días del muestreo habría que hacerlos seguidos, aun si esto causase pérdidas de precisión, por la probable correlación entre los desembarcos de los tres días sucesivos.
Otro tipo de estratificación, especialmente en los lugares de desembarco más importantes, sería según la clase de barcos o de artes de pesca. A veces es imposible recoger información de todos los desembarcos en un solo día, y los detalles de capturas y esfuerzo se obtienen tomando submuestras del total. La estimación que resulta será más precisa si se hace un muestreo con diferentes clases de barcos (ya sea por su tamaño o por la clase de arte que emplea) y se analizan separadamente. Esto, por supuesto, requiere una estimación de la cantidad desembarcada por cada clase de barco en el día y, luego, del desembarco total.
En un puerto, donde han desembarcado pesca 16 barcos, se examinan las capturas de dos que emplean espineles a mano y de otros dos que emplean redes de enmalle, que han desembarcado respectivamente 45 y 55 kg, 75 y 105 kg. (a) ¿Cuál será el desembarco total estimado? (b) Sabiendo que 6 de los barcos eran de espineles y los otros 10 de redes de enmalle, dígase qué estimación es mejor, la de 1.120 o la de 1.200 kg.
Es muy difícil medir la captura en el momento en que ésta se realiza. Normalmente, se mide clásicamente en el momento de la subasta en las lonjas de los puertos. Muchas veces las cantidades desembarcadas para la venta no coinciden con las capturadas, porque parte del pescado ha podido ser devuelto al mar, por no ser comercial o no llegar al tamaño legal, sin olvidar el que haya podido ser consumido por la propia tripulación'. Si estas cantidades fueran significativas, entonces sería necesario estimarlas mediante algún plan de muestreo, tal como el que se describe más adelante (sección 3.1.4). Igualmente, si las capturas se registran en alguna fase posterior de su comercialización, habrá que tener en cuenta las posibles pérdidas desde el momento del desembarco hasta el del muestreo.
Por ejemplo, en Zambia existe una importante pesquería en el lago Mweru, cuyo mercado mayor se encuentra en Copper Belt, a unos 400 km. Los peces enviados a este mercado deben pasar por un puesto de aduana, donde se hace un registro completo de estas exportaciones. Falta un registro completo del total de los desembarcos, pero éstos se pueden estimar mediante un muestreo consistente en observaciones de la proporción de peces desembarcados que se dedican a la exportación.
Si los peces se someten a elaboración antes de ser desembarcados, de tal manera que los pesos desembarcados no correspondan con los de las capturas, se hace necesario entonces el empleo de factores de conversión que los relacione. Desde luego, el caso más común es el del destripado y limpieza de los peces, siendo el factor de conversión pequeño y fácil de determinar; pero los peces también pueden secarse o salarse antes de su desembarco. Un caso importante muy especial del uso de factores de conversión es cuando se toman datos estadísticos elaborados por organismos ajenos a los de las pesquerías. Con frecuencia, suelen ser muy incompletos, ya sea porque sólo se registra una parte determinada de las capturas, por ejemplo, la que es comercial y no la que realmente ha tenido lugar, o porque ha habido falsificaciones deliberadas. Un caso muy común de estas últimas es cuando se utilizan como base del sistema estadístico los beneficios de los pescadores, declarados para la fijación de impuestos. En este caso, el establecimiento de factores de conversión fidedignos (proporción de la pesca no declarada a las autoridades) puede ser una tarea difícil. Lo mejor en estos casos es prescindir, en trabajos de biología, de tales estadísticas, y establecer un sistema propio de muestreo para realizar las estimaciones.
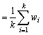
En algunas ocasiones, se hace necesario utilizar ciertos tipos de muestreos para poder determinar las capturas en una unidad primaria (como un lugar de desembarco o una parte de la costa), durante un tiempo determinado, tal como una jornada. A veces, es posible registrar todas las capturas desembarcadas, como cuando todas las cajas se colocan para la venta, siendo así fácil contarlas. En otros lugares, la unidad de muestreo puede cubrir grandes extensiones de la costa, quizá con varios desembarcos simultáneos, de tal manera que resulta imposible registrar con detalle todos los desembarcos. En estos casos, es corriente recurrir a un registro del número total de desembarcos, por un lado, y a una estimación de la captura media por desembarco, por otro. Para que esto sea posible, es preciso que, mientras se registra la captura de un desembarco, sea posible por lo menos controlar cuántos barcos están desembarcando en ese momento. En el caso extremo de que esto tampoco sea posible, se puede estimar el número de desembarcos por hora en parte del día solamente; entonces se dividirá el día en partes, (por ejemplo, n horas) para registrar el número total de desembarcos (N), y el resto del día (m horas) para tomar nota de cierto número de desembarcos (k desembarcos).
Entonces la captura media por desembarco
, donde wi es la captura del i° desembarco cuya captura se mide,
y el número total de desembarcos durante el día = (m + n) · N/n
y la captura total
La distribución del tiempo durante el día para registrar el número de desembarcos y la captura por desembarco dependerá de la relación de variancias de estas dos cantidades. Lo más probable es que la captura por desembarco varíe menos y, por tanto, requiera menos muestreo. El número de desembarcos por hora es más variable, y seguramente cambiará de una manera sistemática a lo largo del día. Por lo tanto, será muy conveniente extender a todo el día el registro de la frecuencia de desembarcos; un posible sistema consiste en dedicar una hora y media al registro del número de desembarcos, y media hora a la cantidad desembarcada, de una manera alternativa a lo largo de todo el día.
Una vez estimadas las capturas en los lugares y días en que se hicieron las observaciones, se pasa a calcular la captura total en todos los lugares y días de desembarcos, lo que puede hacerse de varias maneras. En primer lugar, si es que no se dispone de información adicional, se puede suponer que los lugares bajo muestra son una representación de todos los demás y, para deducir el desembarco total, se multiplica la cantidad de desembarcos registrados con el muestreo por el factor (N · T)/n donde N es el número total de lugares de desembarco, T es el número de días en el período considerado, y n es el número de desembarcos-días observados (n = m × t, si las observaciones se hicieron en m lugares y en t días en cada uno).
Se hicieron observaciones de muestreo en seis lugares de desembarco de un sector de la costa, durante cuatro días del mes de abril, y los desembarcos fueron:
a) 350, 480, 320, 350 kg
b) 180, 170, 250, 300 kg
c) 280, 310, 200, 210 kg
d) 370, 230, 250, 250 kg
e) 280, 350, 370, 400 kg
f) 400, 430, 380, 390 kg
Teniendo en cuenta que en todo el sector costero hay 25 lugares de desembarco, estímese el desembarco total en todos ellos durante dicho mes
Con frecuencia, es posible disponer de datos adicionales sobre la importancia relativa de los lugares de desembarco en los que no se hicieron observaciones directas de las cantidades desembarcadas. Por ejemplo, se pueden recoger datos sobre el número de pescadores o de barcos, ya sea por las propias estadísticas pesqueras, o por alguna otra fuente de información, como los documentos sobre recaudación de impuestos. Tales datos han de referirse a un período lo más largo posible, y durante el cual las condiciones fueran aproximadamente constantes, que en una pesquería estable pueden representar un año, pero en otras con más fluctuaciones tan sólo un mes o incluso una semana.
De los datos sobre los lugares observados directamente se puede deducir una captura media por barco (o por hombre), y este promedio se multiplica por el número total de barcos (u hombres) de todo el sector, obteniéndose la captura total.
En el Ejemplo 3.1.3.1, el número de barcos en los seis lugares de desembarco tomados como muestra fueron 20, 12, 15, 18, 20 y 25, respectivamente. En los otros 19 lugares de desembarco, según el registro realizado al comienzo del mes, había 250 barcos. Dígase cuál es la estimación de la captura total utilizando la información adicional del número de barcos (captura por barco y día
. Captura total = 17.045 × 360 × 30 = 184.086 kg).
Obsérvese que esta cantidad es inferior a la estimada anteriormente, porque el número medio de barcos en los lugares sometidos a muestreo era mayor que en el resto de la costa. Esto puede suceder en la práctica cuando no se usa un sistema apropiado de muestreo al azar, ya que puede ser conveniente realizar los registros en los lugares más importantes de desembarco.
A menudo se consideran como sinónimos las estadísticas de las capturas y los desembarcos (aparte del caso de la aplicación de los factores de conversión). Sin embargo, es frecuente que, por ejemplo, en Europa septentrional y en América los pescadores devuelvan al mar una parte de sus capturas, ya sea por tratarse de especies sin interés o de individuos (normalmente pequeños) sin valor comercial de las especies valiosas. Las observaciones realizadas en la costa, tal como han sido descritas en la sección anterior, sólo sirven para conocer las cantidades desembarcadas. En algunos casos, particularmente cuando se pretende valorar el efecto de la pesquería sobre la población, lo que se necesita son los datos de capturas. (Generalmente, puede admitirse que los peces capturados, aunque se devuelvan al mar, todos mueren, y, por lo tanto, se separan de la población. Si algún pez viviera, entonces la cantidad significativa sería la de los que, siendo devueltos, también mueren; la estimación de la proporción de los devueltos al mar que mueren exige otra recolección especial de datos, tal como la conseguida por observadores en los barcos comerciales, o por medio de experimentos.)
Para conocer la cantidad de peces devuelta al mar, suele ser conveniente que haya alguien a bordo que se ocupe de ello, porque, por lo general, los pescadores están demasiado ocupados para tomar nota de estos datos. Ya se comprenderá que resulta muy difícil obtener estadísticas completas de las cantidades devueltas y, si se consiguen, lo más probable es que sean inexactas. En consecuencia, se hace necesaria la aplicación de un muestreo como medio de información, que puede efectuarse por observadores especiales o con la colaboración de un grupo de pescadores, siempre que la cantidad de peces devueltos al mar sea apreciable. Los pescadores deben adiestrarse convenientemente para que sepan medir con precisión las cantidades devueltas, lo que no es necesario que hagan en todas las salidas, sino, por ejemplo, una de cada veinte. Los observadores especiales a bordo de los barcos son una garantía de la exactitud de los datos sobre las cantidades y clases de peces devueltos; sin embargo, resultan en parte ineficaces, puesto que quizás tengan que permanecer en un barco que pesca durante mucho tiempo en la misma área, donde la proporción de peces devueltos es siempre parecida, mientras que no se toma nota de lo que está ocurriendo en otros barcos y áreas. Así pues, la variancia de la cantidad devuelta al mar en el conjunto de la pesquería será alta en relación con el tiempo empleado para anotar estas cantidades. Si el observador especial tiene otras misiones a bordo, tal como medir peces, observar su madurez, alimentación, etc., se pueden eliminar las repeticiones innecesarias de la proporción de peces devueltos al mar y la cantidad rechazada se puede estimar de modo exacto y eficaz.
Como, por lo general, la cantidad devuelta varía normalmente de una manera acusada, tanto con las estaciones como con las áreas de pesca, se hace necesaria una estratificación. Dentro de cada estrato, tal como una determinada área en una cierta estación, la proporción de peces devueltos debe permanecer más o menos constante, aunque posiblemente varíe de un año a otro, como cuando aparece una gran clase anual sin valor comercial. De esta manera, la exactitud obtenida será alta, aunque sólo se disponga de unas pocas muestras (media docena de muestras por estrato pueden dar estimaciones de exactitud utilizable). Naturalmente, el número de muestras dependerá de la cantidad que se supone se deba devolver al mar. Como caso extremo, hay estaciones o áreas, especialmente las de freza, en las que se sabe que la cantidad devuelta al mar es insignificante o nula, de modo que puede omitirse el muestreo, permitiendo en cambio incrementarlo en otras áreas o estaciones.
Durante cuatro viajes realizados en el verano se observó que habían sido arrojadas al mar 5 toneladas de peces pequeños, y otras 40 desembarcadas; en un único viaje realizado en el invierno se comprobó que sólo se devolvieron 0,1 toneladas, y 11 se desembarcaron. Calcúlese cuál será el peso estimado de los peces arrojados al mar en el conjunto de la pesquería sabiendo que el total de desembarcos en el verano fue de 4.000 toneladas y de 5.500 en el invierno (500 + 50 = 550 toneladas).
Cuando las informaciones se obtienen de los propios pescadores, se pueden seguir dos caminos: o bien un grupo de pescadores dan una información de lo que ocurre en todas las salidas, o, por lo menos, en las que ellos efectúan, o se recurre a todos los pescadores informando cada uno de ellos de lo ocurrido en una pequeña fracción de su salida.
El primer sistema, que es probablemente el más fácil de seguir, tiene el inconveniente de no ser en absoluto un muestreo al azar, ya que incluye sólo los pescadores que se cree están más capacitados para cooperar. Por ejemplo, es probable que los pescadores que usan mallas estrechas o ciegas (y por tanto capturen una gran proporción de peces pequeños) sean los más reacios a cooperar. Esto, por otra parte, dará lugar a sesgos en las estimaciones de las cantidades devueltas al mar, en el sentido de subestimarlas. Antes de dar como admitido que la cantidad arrojada por los barcos tomados como muestra no está sesgada con respecto a la media general, es preciso comprobarlo de alguna manera, por ejemplo, observando la proporción de peces pequeños que desembarcan, etc.
Un problema similar al de la devolución de peces al mar es el de la elaboración a bordo, por ejemplo, el fileteado, siendo imposible determinar la composición de la captura por especies por medio de la observación en el momento del desembarco. Al igual que en el caso de los peces arrojados al mar, el problema más importante consiste en determinar la cantidad de peces pequeños de las especies de valor comercial elaboradas, más bien que ocuparse de todas las especies. La recolección de datos puede encargarse a observadores especiales o a los propios pescadores. Quizá lo más conveniente sea registrar la proporción de las especies que se dedican a la elaboración (cuyo total puede conocerse por los registros de desembarcos), más bien que de la captura total.
La forma más sencilla consiste en registrar el número de pescadores o de barcos, para lo cual normalmente no hace falta ningún tipo de muestreo, y son datos que pueden ser utilizados (como en la sección 3.1.3) como un paso intermedio en la estimación de la captura total. Sin embargo, tales estadísticas pocas veces resultan adecuadas en los estudios biológicos, como cuando se pretende conocer la intensidad de pesca real en una pesquería, particularmente en aquéllas en desarrollo. Casi siempre se necesitan medidas mucho más complicadas del esfuerzo de pesca, entre las cuales se encuentran determinaciones precisas del tiempo empleado en la pesca, tamaño de los barcos, número y dimensiones de las redes, etc.
Desde un punto de vista biológico, las unidades más adecuadas del esfuerzo no pueden conocerse en el mismo momento en que se recogen las estadísticas. Así, en el caso de una especie pelágica agregada en bancos como el boquerón, una buena medida de la densidad, o tamaño, del banco puede ser la captura por calada de un arte de cerco, referida a una longitud de red dada. Sin embargo, la abundancia total de la población puede relacionarse más estrechamente con el número de bancos, o con las distancias entre ellos, que con el tamaño individual de estos bancos, que pueden ser de parecido tamaño para una variedad de abundancias de la población total. El número de bancos se puede estimar basándose en el tiempo que tardan los pescadores en encontrarlos. En estos cálculos habrá que introducir correcciones para compensar el efecto de las mejoras técnicas que permiten localizar más rápidamente los bancos de peces, tales como mayor velocidad del barco, radiotelefonía, ecosondas, etc. La expresión que se emplee para la estimación del índice de densidad de la población (la captura por unidad de esfuerzo corregida), será posiblemente una complicada combinación del tiempo empleado en la exploración y de la captura por calada, expresión que muy bien puede estar sometida a revisiones, de acuerdo con las investigaciones que se vayan desarrollando. Sin embargo, este problema puede tener una solución rápida con tal de que se hayan recogido todos los datos necesarios.
La mayor parte de la información necesaria tendrá que ser recogida mediante algún método de muestreo. Debe, pues, recogerse una información completa del número de desembarcos, mediante un sistema apropiado de muestreo, tal como el descrito anteriormente para las estadísticas de captura. Utilizando una proporción de los desembarcos, tal como uno de cada siete, o todos los de un día cada semana, se recoge una información más completa sobre la forma de utilizar el tiempo fuera del puerto, el que se ha empleado para llegar a las áreas de pesca, el invertido para localizar los peces y el tiempo real de pesca, así como el número de caladas efectuadas, distinguiendo quizá entre las caladas con captura y sin ella. También puede recogerse información en estas encuestas sobre las dimensiones de las redes, equipos de radio y ecosonda, etc. Es de esperar que estos datos sólo cambien ocasionalmente, de modo que sólo sea necesario recopilarlos de tanto en tanto, por ejemplo, una vez al año.
3.2.1 Métodos de medición y registro
3.2.2 Selección de la muestra
3.2.3 Momento y lugar para el muestreo de las capturas comerciales
3.2.4 Estratificación
3.2.5 Tamaño de la muestra
3.2.6 Factores elevadores
Del trabajo que debe realizarse en una pesquería, la tarea que consume más tiempo es, sin duda, la determinación de la composición en tallas y edades de las capturas. Es conveniente distinguir entre dos programas de muestreo (aunque, como ocurre con tantas clasificaciones, la distinción no sea a veces muy clara). El primero consiste en el examen detallado de una serie de medidas y observaciones realizadas con precisión, pero forzosamente con lentitud y en un número relativamente escaso de ejemplares (por ejemplo, mediciones simultáneas de varias dimensiones del cuerpo, peso individual, peso de las gonadas, estado sexual, etc.), trabajo que se realiza ordinariamente en el laboratorio. El segundo consiste en mediciones rápidas, como la de la longitud total sobre gran cantidad de ejemplares, y con frecuencia en condiciones incómodas, como las de los mercados y lonjas de subasta de los peces.
Si lo que se pretende con el primer tipo de muestreo es sólo realizar estudios raciales o diferencias específicas, como los índices biométricos, o la media vertebral, el problema del muestreo será pequeño. La precisión que se alcance dependerá exclusivamente del número de peces tomados como muestra, independientemente de la forma en que hayan sido elegidos. Las pruebas de comparación entre los grupos de muestras consistirán, suponiendo que las muestras sean suficientemente grandes para el estudio requerido, en comprobar si existen grupos de peces que se diferencien significativamente, o si estas diferencias son inferiores a un nivel dado.
A veces, las estimaciones sobre la composición de las capturas según la edad, el estado de madurez, etc., se realizan directamente mediante muestreos que forzosamente resultan lentos, lo que con frecuencia hace el método ineficaz. Mucho más ventajoso es establecer un amplio y rápido muestreo de la composición de longitudes, y luego relacionar las demás observaciones con la longitud, a través de muestras relativamente pequeñas. Dado que la mayor parte del trabajo consistirá en el muestreo de la composición de longitudes, la eficiencia quedará notablemente incrementada si se emplean métodos y planificaciones estadísticas adecuadas a este fin. Aunque el tema de la manipulación se trata en otro manual de esta serie (otra buena exposición se da en el informe de la FAO, Centro de Capacitación sobre Metodología y Técnicas de Investigaciones acerca de la Caballa (Rastrellíger), Bangkok, 1958), merece la pena comentar aquí brevemente este problema. Las principales cuestiones que hay que considerar son: la medida que hay que utilizar (longitud total, horquilla, etc.), la precisión de las medidas (en milímetros, o en grupos más amplios) y los instrumentos de medición (ictiómetro, etc.). Como todas las medidas de la longitud están estrechamente relacionadas entre sí, incluso con otras medidas del «tamaño» (peso, etc.), basta escoger una de ellas, la que permita realizar las medidas más rápidas y exactas, incluso en condiciones difíciles. Normalmente, la dimensión más adecuada es la longitud total, pero, en las especies con la aleta caudal muy ahorquillada, puede ser mejor medir hasta el centro del ángulo que forman los dos lóbulos caudales (longitud-horquilla). Una cuestión de menor importancia es qué debe hacerse con los peces que por tener la cola dañada no presentan claramente una longitud determinada. Desde luego, estos peces pueden excluirse, si es que no existe alguna correlación entre el tamaño y la frecuencia del daño, como en el caso de que los peces mayores fueran más propensos a dañarse la cola. Si la exclusión fuera a producir un sesgo, no debería realizarse, en cuyo caso al pez dañado se le atribuiría la misma longitud que a otro que presentara las proporciones más parecidas en el resto del cuerpo.
En una sección anterior se dijo que, en el estudio de las distribuciones de frecuencias, de la longitud o de otra cantidad, no era aconsejable una precisión extrema, puesto que un número grande de grupos de longitud haría extremadamente prolijos los análisis. Se ha demostrado también (Holt, 1958) que, al pretender una gran precisión, se puede perder exactitud; por ejemplo, al medir al milímetro, se puede confundir el último centímetro sobre el que se hace la lectura (leer 173 mm en vez de 183 mm). Igualmente, cuando se han marcado lenguados en condiciones difíciles, no ha sido raro encontrar que los peces habían crecido (o encogido) exactamente 10 cm al volver a ser capturados a los pocos días (por el contrario, los cambios de unos 7 ó 13 cm eran muy raros). Como regla aproximada, se ha sugerido (Yule y Kendall, 1950) que deben tomarse 15-25 grupos efectivos, o quizá más cuando los datos son muy abundantes o las distribuciones de frecuencias complejas. Así, un agrupamiento que se sugiere para Rastrelliger, cuyas longitudes en las capturas varían entre 13 y 22 cm, es el de medios centímetros, con lo que se obtendrían 18 grupos, mientras que el grupo tipo para el bacalao del noroeste del Atlántico, que varía entre 40 y 130 cm, es de 3 cm, lo que da unos 30 grupos, resultando quizá un agrupamiento demasiado sutil. Es conveniente que la graduación de los ictiómetros, o aparatos para medir, sea suficientemente clara; ésta ha de tener las mismas unidades que en las que se pretenda agrupar a los peces: si es por clases de 1 cm, la graduación ha de ser en centímetros, ya que otras graduaciones en diversas unidades en el mismo ictiómetro pueden producir confusiones.
El método más sencillo para realizar los registros consiste en que una persona manipule y mida los peces y otra anote los datos en un estadillo. La forma de este estadillo será discutida en una sección posterior con más detalle, cuando se trate de la toma de otros datos, además de la longitud. En algunos estadillos, las longitudes se van anotando en columna, y luego se agrupan en forma de distribución de frecuencias. Este sistema es conveniente al hacer un muestreo detallado, cuando algunos atributos (longitud, peso, sexo, madurez, etc.) se registran para el mismo pez, pero normalmente resulta más práctico el anotar en un estadillo, a la izquierda y verticalmente, la serie de grupos de longitudes, en cuyos renglones correspondientes se hace una marca por cada pez de aquella talla, y luego se suman las marcas para cada grupo de tallas, con lo que automáticamente se obtiene la distribución de frecuencias. El recuento de las marcas se facilita si éstas se disponen de cierto modo, como el de reunir las rayas en grupos, por ejemplo, de cinco, para lo cual, después de haber colocado cuatro rayas verticales seguidas, la quinta se pone diagonalmente sobre ellas, o bien se construye un cuadrado con una diagonal (
o
). Como estas operaciones requieren dos personas, en ciertas situaciones pueden ser onerosas, aunque a veces la segunda persona es necesaria para mover las cajas de pescado. Para que un solo individuo pueda realizar la tarea, se puede usar un magnetófono, que registre los datos que el medidor dicte, y luego en el laboratorio se pasan al estadillo. Este sistema se usa en varios países de Europa.
Un método más sencillo, por el cual una sola persona puede realizar un registro permanente, consiste en el empleo de bandas de plástico o de celuloide. Para cada muestra se utiliza una banda, que se coloca en el aparato medidor, y encima los peces. Donde termina la cola se hace una perforación, con lo cual se tendrá una serie de agujeros. Luego, en el laboratorio, se coloca la banda sobre el ictiómetro y se comprueba a qué longitud corresponde cada agujero. Un sistema parecido consiste en emplear placas de plástico sobre las cuales se puedan hacer marcas con lápiz que no se borren con facilidad. El plástico se coloca sobre un ictiómetro y se marcan sobre él de forma permanente los intervalos de los grupos de longitudes. Se hace una marca con lápiz en el intervalo donde acaba la cola, y luego, en el laboratorio, se cuentan las marcas en cada intervalo y se hacen los estadillos. Ambos sistemas se pueden hacer sin que representen gran trabajo sobre el habitual del manejo de los peces.
A veces es preciso tomar sólo parte de los peces de un gran montón, que puede contener cientos de ellos, o más, como cuando están en la cubierta de un barco; en estas condiciones, un método inadecuado de selección puede producir sesgos muy fuertes. Muchas personas tienden a coger primero los peces más grandes o más visibles, con lo que la muestra quedará muy sesgada. Así, una muestra de bacalao tomada al azar a bordo del barco inglés de investigaciones Ernest Holt, para realizar estimaciones sobre la edad, resultó tener una longitud media de 10 cm más que la de la captura total. Nunca hay la seguridad de no haber incurrido en una mala selección, puesto que, por ejemplo, tratando de no coger primero los peces mayores, se puede caer en el defecto contrario, es decir, coger demasiados peces pequeños. Estos peligros de sesgos se pueden superar directamente midiendo todos los peces del montón, aunque la muestra así obtenida resultase entonces mayor de lo que exigieran las necesidades estadísticas. No obstante, el montón puede ser tan numeroso que no haya más remedio que tomar sólo una parte de él. Si se quiere retirar sólo 1/5 de los peces del montón, esto se puede hacer distribuyendo simultáneamente los peces en cinco montones, por ejemplo, cinco cestas, y tomando luego al azar una de ellas. La distribución simultánea para cada grupo debe hacerse con pocos peces cada vez para evitar que si, por ejemplo, los primeros peces que se toman son los más grandes y los últimos los más pequeños, los unos vayan a la primera cesta y los otros a la última. A pesar de todo, puede ocurrir que una de las cestas contenga una mayor proporción de peces grandes que las otras. Entonces debe repetirse la operación hasta conseguir una mayor homogeneidad entre los cinco montones.
Otra manera de proceder consiste en tomar todos los peces que existan a un lado del montón. Es muy importante que todos los peces de ese lado se midan hasta dejar limpio el piso donde estaban. Todavía son posibles los sesgos, ya que ha podido ocurrir que los peces mayores se hayan deslizado hacia uno de los costados, lo que a bordo puede ser corregido haciendo un muestreo de diferentes partes de las capturas en momentos distintos; en una calada se toman los peces después de descargados, en la siguiente antes de haber terminado la descarga.
Ordinariamente, las capturas comerciales se colocan en cajas o cestas y, si la muestra consiste en una o varias cajas, no existe un riesgo de sesgo por coger primero los peces más grandes. En cambio, cuando ha de tomarse una parte de la caja vuelve a surgir este riesgo de sesgo. Para evitarlo, se procederá como antes, o bien se reparte en varios montones simultáneamente, o se toman todos los peces de un costado de la caja, hasta dejar limpio el fondo de la misma, es decir, cogiendo de arriba hacia abajo, hasta los últimos del fondo.
Se ha de poner gran cuidado en la elección del momento y lugar de la toma de muestra, para evitar que, por causa de estos motivos, se produzcan sesgos. Las grandes diferencias sistemáticas entre los peces no sólo pueden proceder del lugar en que hayan sido pescados y del arte empleado, sino también del proceso a que hayan sido sometidos en su comercialización. La mayor parte de los biólogos tienen mucho cuidado de evitar las primeras causas de sesgos, pero éstas pueden pasar desapercibidas y producir fuertes sesgos.
Por ejemplo, un método en apariencia adecuado consiste en que un determinado vendedor envíe una muestra al azar de peces al laboratorio. Este vendedor puede estar acostumbrado a comprar con preferencia un determinado tamaño o calidad de peces para su mercado, tal como los grandes, con lo que se produciría en la muestra un sesgo hacia los tamaños mayores, mientras que otro peligro consistiría en que se enviasen al laboratorio los peces en peores condiciones, o más baratos por su pequeño tamaño. Por tanto, conviene hacer el muestreo lo más pronto posible, antes de que se haya introducido un sesgo que luego no pueda ser corregido. Esto significa que debe determinarse cuanto antes dónde, cuándo y con qué arte se hizo la captura.
Así pues, lo mejor será realizar el muestreo de las capturas comerciales en los mismos barcos, durante las operaciones de pesca. A pesar de todo, en la práctica suele ser difícil enviar personal de laboratorio a bordo, lo que, con frecuencia, será insuficiente, debido a que éste deberá permanecer a bordo durante todo el viaje, quizá varios días, durante el cual el barco visitará una o dos áreas de pesca, de modo que en todo este tiempo no podrá tomar más que un par de muestras. En cambio, en tierra puede hacer el muestreo en el mismo período de quizá hasta 20 ó 30 barcos a medida que descarguen, obteniéndose una información muy variada de las áreas, y hasta de los artes. La pérdida de tiempo a bordo puede ser compensada si el empleado del laboratorio toma nota de otra serie de informaciones, tales como peces devueltos al mar, alimento de los mismos, observaciones meteorológicas e hidrográficas, etc. Aunque tales informaciones no constituyan estrictamente parte del problema del muestreo que aquí se discute, no está de más considerarlas como parte integrante, junto con el muestreo propiamente dicho, de un plan general de investigación, para saber si el envío de observadores a bordo merece la pena en términos de la economía del uso de la mano de obra.
Si los observadores tienen la posibilidad de pasar en el mar de unos barcos a otros, entonces podrá incrementarse el número de muestras por día, o por mes, y con ello la eficiencia del muestreo. Tal es el caso de la pesquería con artes de cerco del golfo de Siam, donde los observadores a bordo de un bote recorren durante la noche los lugares de pesca, tomando nota del momento y lugar exactos de las capturas inmediatamente después de hechas las caladas. De esta manera, se llega a tomar nota del momento y lugar exactos de hasta 12 muestras por noche.
En la mayor parte de las pesquerías, el momento más apropiado para efectuar los muestreos es inmediatamente después del desembarco del pescado. En algunas lonjas, como las de Inglaterra y Japón, se dan las condiciones más favorables para esto, ya que el pescado se desembarca durante la noche y se subasta por la mañana. El tiempo que transcurre desde que todo el pescado se desembarca y deposita en la lonja hasta que comienza la subasta es de una o más horas, y en este momento es cuando el personal de laboratorio tiene una buena oportunidad de realizar fácilmente el muestreo, sin interferir con las actividades de los comerciantes que han de comprar el pescado. En estas condiciones, no suele haber problemas de tiempo y espacio en el muestreo, pero puede suceder, como ocurre en algunos sitios de Inglaterra y en otros países, que el período de tranquilidad entre el desembarco y la venta sea muy corto o no exista porque el pescado se vende inmediatamente después de desembarcado. Aun en este caso, siempre quedan unos pocos minutos para realizar un muestreo, suponiendo que el personal de laboratorio pueda hacerlo rápidamente y en condiciones difíciles, y que las relaciones con el personal de la lonja sean buenas. Estas últimas pueden mejorarse pagando una cierta cantidad para que el pescador deje hacer un muestreo de las capturas. Esto es probable que convenga más en pesquerías consistentes en un número elevado de pequeños pescadores, en que cada uno desembarca una captura reducida, pudiendo estar constituida la muestra por la captura de un solo pescador.
Cuando el muestreo en el mismo lugar de desembarco sea sumamente difícil o imposible, por ejemplo, porque el personal científico no pueda estar a tiempo en dichos lugares, no habrá más remedio que realizar el muestreo en una etapa posterior de la comercialización del pescado, como sería el caso en los mercados de mayoristas. Cuanto más se retrase el momento del muestreo, tanto mayores serán las dificultades en la obtención de los datos reales y exactos de las condiciones en que se hizo la captura, especialmente del lugar donde se realizó, y mayor será también la pérdida de información biológica. En el caso de que las capturas sigan dos canales de comercialización, como la venta en fresco y la elaboración de salazones, puede ocurrir que, si se somete a muestra el de la venta en fresco, se pierda la oportunidad de hacerlo con el destinado a salazón. En esta situación, el sistema de muestreo no puede dar una muestra al azar de la captura, y serán necesarias observaciones de vez en cuando en los desembarcos que no se someten regularmente a muestreo, para asegurarse que no difieren del resto de los desembarcos. Por ejemplo, el pescado que se destina a condimentos normalmente proviene de individuos de pequeño tamaño. No habrá más remedio que someter a muestreo todos los canales de la comercialización para evitar obtener estimaciones sesgadas, o, aún mejor, superar todas las dificultades y establecer el muestreo en los lugares de desembarco.
Ejemplo 3.2.4.1
Ejemplo 3.2.4.2
Ejemplo 3.2.4.3
Ejemplo 3.2.4.4
Ejemplo 3.2.4.5
El objetivo final de un muestreo puede consistir en estimar la composición de la captura total de cierta especie durante todo un año. Dado que un año resulta demasiado amplio para considerarlo como una unidad de muestreo, se requiere cierta división, o estratificación, tanto para efectos prácticos como para incrementar la eficiencia del muestreo. Lo más lógico es que estas divisiones se hagan de acuerdo con las estaciones o temporadas de las capturas, lugares y métodos de pesca. Por ejemplo, una de estas divisiones podría ser todo el pescado que se desembarca durante el mes de agosto en un cierto lugar de la costa y que ha sido capturado con redes de enmalle. Se debe tomar una o varias muestras del pescado desembarcado en este período y lugar, y estimar la composición de estos desembarcos; de la misma forma se estimará la composición de los desembarcos en otros lugares, épocas y con otros artes (si los hay), y por la suma de las frecuencias de todas estas estimaciones obtener la estimación de la composición de la captura total. En estas operaciones, es absolutamente indispensable conocer el volumen de las capturas en cada división para poder aplicar correctamente los «factores elevadores». Un factor elevador es el número por el que hay que multiplicar las frecuencias de la distribución en la muestra para obtener las frecuencias totales en la población sometida a muestreo.
Durante cuatro meses de invierno se tomaron muestras de Hilsa, cada una de 50 kg. A continuación se da la composición de longitudes de cada muestra:
|
Longitud |
Diciembre |
Enero |
Enero |
Febrero |
Marzo |
|
255- |
18 |
7 |
4 |
2 |
3 |
|
275- |
16 |
9 |
6 |
4 |
2 |
|
295- |
18 |
11 |
12 |
3 |
4 |
|
315- |
10 |
14 |
16 |
9 |
6 |
|
335- |
7 |
10 |
19 |
12 |
11 |
|
355- |
6 |
9 |
15 |
16 |
10 |
|
375- |
5 |
12 |
11 |
8 |
14 |
|
395- |
|
6 |
5 |
12 |
8 |
|
415- |
|
|
8 |
7 |
4 |
|
435- |
|
|
|
3 |
2 |
|
455- |
|
|
|
|
6 |
|
TOTAL |
80 |
78 |
96 |
76 |
70 |
La anotación 255- significa que esta clase comprende todos los peces de una longitud entre 255 mm y 274 mm, siendo el título de la siguiente clase 275-.
El peso total desembarcado cada mes fue de 250 kg en diciembre, 1.000 en enero, 2.500 en febrero y 500 en marzo.
Determínese el número total de peces desembarcados de cada grupo de longitud, y también el porcentaje de cada longitud en la composición del total de desembarcos. Compárese con el porcentaje de cada longitud en la composición de los 400 peces medidos.
Los factores elevadores de cada mes serán 250/50 = 5, 1.000/100 = 10, 2.500/50 = 50 y 500/50 = 10. (Obsérvese que en enero se tomaron dos muestras, por lo que habrá que sumarlas antes de aplicar el factor elevador, que será, desde luego, la mitad de lo que habría sido si sólo se hubiera tomado una muestra.) Aplicando los factores elevadores correspondientes a cada mes, y sumando las frecuencias obtenidas, se consigue la siguiente composición de longitudes:
|
Números desembarcados |
Números medidos | |||||||
|
Longitud |
Dic. |
Enero |
Feb. |
Mar. |
Total |
% |
Total |
% |
|
255 |
90 |
110 |
100 |
30 |
330 |
5 |
34 |
8,5 |
|
275 |
80 |
150 |
200 |
20 |
450 |
7 |
37 |
9 |
|
295 |
90 |
230 |
150 |
40 |
510 |
8 |
48 |
12 |
|
315 |
50 |
300 |
450 |
60 |
860 |
13 |
55 |
14 |
|
335 |
35 |
290 |
600 |
110 |
1 035 |
16 |
59 |
15 |
|
355 |
30 |
240 |
800 |
100 |
1 170 |
18 |
56 |
14 |
|
375 |
25 |
230 |
400 |
140 |
795 |
12 |
50 |
12,5 |
|
395 |
|
110 |
600 |
80 |
790 |
12 |
31 |
8 |
|
415 |
|
80 |
350 |
40 |
470 |
7 |
19 |
5 |
|
435 |
|
|
150 |
20 |
170 |
3 |
5 |
1 |
|
455 |
|
|
|
60 |
60 |
1 |
6 |
1,5 |
|
TOTAL |
400 |
1 740 |
3 800 |
700 |
6 640 |
|
400 |
|
Puede notarse que los peces pequeños están representados excesivamente en las muestras. Esto se debe a que el muestreo fue repartido de una manera más o menos uniforme a través del período, pero en febrero, cuando se dieron las mayores capturas, predominaban los peces grandes.
Al calcular los factores elevadores, se debe tener muy presente cuáles son las cantidades a estimar. En el ejemplo anterior, la cantidad a estimar era el número de peces desembarcados de cada grupo de talla, y los factores elevadores quedaban determinados por las cantidades desembarcadas cada mes. Si la cantidad a estimar hubiera sido la composición media de tallas de este período, los factores elevadores hubieran tenido que ser diferentes. Los factores elevadores para cada mes vendrán dados por el volumen de la población, que habrá que estimar de alguna manera.
Suponiendo que en el Ejemplo 3.2.4.1 los tamaños de la población en diciembre, enero, febrero y marzo eran proporcionales a 2:3:3:2 respectivamente, calcúlese la composición media de longitudes de la población.
El principal problema con que se enfrenta la estratificación de los desembarcos es la elección de la magnitud de las subdivisiones. Al aplicar los métodos usuales de muestreo estratificado, las subdivisiones no deben ser tan numerosas que no se pueda tomar de cada una por lo menos una muestra. Es preferible que las subdivisiones sean numerosas y pequeñas si existen grandes diferencias entre ellas, y pocas y extensas cuando las diferencias sean pequeñas; cada división debe ser lo suficientemente pequeña para que se puedan tomar muestras de ella. El número de muestras deberá ser, en lo posible, proporcional a la variancia en la subdivisión.
No es necesario que todas las divisiones tengan el mismo tamaño. Por ejemplo, en lo que se refiere al tiempo, podemos suponer una pesquería en la que se actúa durante todo el año, pero que tiene un máximo de desembarcos en una corta estación. Durante este máximo, la unidad de tiempo adecuada podrá ser la semana, tomando muestras a diario y, fuera de esta estación, podrá ser el mes, tomando una muestra cada semana.
Las capturas mensuales de mujoles (Mugil spp.) en el lago Menzala (Egipto), en 1956-57, figuran en el cuadro siguiente (datos tomados de Panse y Sastry, 1958):
|
Mes |
Junio |
Julio |
Ag. |
Sep. |
Oct. |
Nov. |
Dic. |
Ene. |
Feb. |
Mar. |
Abr. |
Mayo |
Total |
|
Capturas (toneladas) |
136 |
166 |
343 |
372 |
523 |
395 |
264 |
235 |
140 |
98 |
117 |
75 |
2 864 |
Si hay posibilidad de contar con tiempo y mano de obra suficientes para tomar 10 muestras durante el año, sugiérase cómo deberán repartirse.
No es posible decir que cualquier reparto es el «adecuado», pero uno razonable tendría cinco divisiones, con dos muestras tomadas en cada período; sin conocer la distribución por tamaños de cada mes, puede suponerse que la variancia en la distribución por longitud es igual en cada período - por lo que los períodos se escogerán de modo que se obtenga que el peso desembarcado en cada uno de ellos sea el mismo, en la medida de lo posible, por ejemplo, cercano a la media de 580 toneladas. Si el periodo de muestreo se inicia en enero, una división posible sería: enero-abril, mayo-julio, agosto-septiembre, octubre, noviembre-diciembre.
Suponiendo que en una pesquería con una distribución estacional semejante de la captura total se sabía por muestreos anteriores que los principales grupos de talla capturados cada mes eran:
|
Mes |
Junio |
Julio |
Ag. |
Sept. |
Oct. |
Nov. |
Dic. |
Ene. |
Feb. |
Mar. |
Abr. |
Mayo |
|
Tallas |
19-21 |
20-22 |
21-24 |
22-25 |
23-25 |
24-27 |
20-28 |
20-28 |
15-28 |
15-18 |
15-18 |
16-20 |
¿ Cómo modificarán esta información adicional los períodos propuestos anteriormente?
Según puede verse, en la mayor parte de los meses aparece sólo un grupo modal, excepto entre diciembre-febrero, en que aparecen dos; por tanto, se requerirá un muestreo más intenso en este período. Durante la estación del máximo de capturas (septiembre-octubre), el ritmo de aumento de la talla es lento, de modo que no es necesario hacer tantos muestreos en dicho período. Se aconseja, por consiguiente, una división en cinco períodos: enero-febrero, marzo-mayo, junio-septiembre, octubre-noviembre, diciembre.
Al dividir los desembarcos totales según los puertos o sectores de la costa, se ha de tener un cuenta la comodidad física para las operaciones del muestreo. Lo más probable es que el laboratorio, o sitio de trabajo, se encuentren junto a un lugar importante de desembarcos. El muestreo en estos lugares puede hacerse sin gran pérdida de tiempo; quizá durante tres horas de ausencia del laboratorio, de las cuales dos correspondan al trabajo real de muestreo. En cambio, el muestreo en otros lugares puede llegar a significar la pérdida de un día, o más, de trabajo. Sin embargo, es preciso obtener información de estos lugares, si es que se quiere tener una buena estimación de la composición del conjunto de los desembarcos. En ciertos casos, puede ser útil considerar que los desembarcos de una especie en el lugar más favorable para el muestreo constituyen una muestra real de la población o poblaciones que explotan los pescadores de toda la zona. Esto bien puede ocurrir en las investigaciones que se llevan a cabo sobre las especies costeras, donde cada sector de la costa puede contener una población relativamente independiente. Si la población se explota por varios grupos de pescadores y las muestras sólo se obtienen de uno de ellos, no existirá garantía de que tales muestras sean representativas. Antes de plantear un sistema regular de muestreo en toda la región, es conveniente realizar un estudio preliminar sobre la composición de las capturas en los lugares de desembarco. Puede ocurrir que entre unos y otros lugares de desembarco no haya diferencias esenciales, y entonces baste tomar las muestras en los más convenientes, cuidando de comprobar de vez en cuando que entre los desembarcos que están sometidos a muestra y los que no lo están no hay diferencias. Un caso especial puede ocurrir en las pesquerías de alta mar. Los desembarcos totales de dos puertos pueden diferir en su composición porque las principales zonas de pesca de las dos flotas difieren también, pero se sobreponen. En este caso, los desembarcos serán divididos según la zona donde se haya hecho la captura, así como las muestras tomadas en uno de los puertos, que serán ponderadas de acuerdo con los desembarcos totales de cada zona para evitar los sesgos en las estimaciones de los desembarcos totales. También en este caso será necesario comprobar de vez en cuando que las capturas hechas por los pescadores en una misma zona, pero desembarcadas en diferentes lugares, no difieren en su composición.
Sin embargo, sucede con frecuencia que no es posible efectuar regularmente los muestreos donde se realizan los mayores desembarcos. Entonces, la división del total en áreas, y la elección del tamaño de la muestra en cada área, se hará de la forma normal, pero con una modificación. Corrientemente, el tamaño más adecuado de la muestra depende de la cantidad y variabilidad en cada división; lo cual será cierto siempre que el costo (en tiempo y trabajo) de la toma de muestras sea el mismo en todas las áreas. Si, por el contrario, el costo no es el mismo en todas las áreas, esto ha de tenerse en cuenta, y tomar más muestras donde sea más fácil y menos donde sean más costosas. En efecto, el tamaño óptimo de una muestra en un área será inversamente proporcional al costo de la muestra unidad en aquella área. En términos matemáticos, el tamaño óptimo de la muestra n en una división determinada vendrá dado por
N s2 µ n (costos iguales en todas las divisiones)
y
N s2/C µ n (costos variables)
donde
C representa el costo de la muestra de tamaño unidad en la división
N representa los desembarcos totales en la división
s2 representa la variancia dentro de la división
Al igual que antes, no es esencial obtener muestras de un tamaño preciso, pero sí lo es tener en cuenta el costo, y, asimismo, no realizar tampoco todo el muestreo en el lugar más cómodo.
La estratificación, o división, de acuerdo con el método de captura, es con frecuencia la más importante, tanto para el mejor conocimiento de la pesquería como para obtener las estimaciones más adecuadas. A menudo, el pescado capturado por artes distintos difiere mucho en el tamaño, y se hace necesaria la división. Si un arte puede tomar un margen más amplio de tallas que otro, requerirá también un muestreo más intensivo.
Los porcentajes de la composición de longitudes del bacalao desembarcado en Grimsby en 1957, capturado por arrastreros y con artes de cerco daneses, fueron respectivamente:
|
Longitud |
30-39 |
40-49 |
50-59 |
60-69 |
70-79 |
80-89 |
90-99 |
100-109 |
110+ |
|
Arrastre |
26,3 |
38,8 |
19,0 |
7,9 |
3,7 |
1,9 |
1,7 |
0,6 |
0,1 |
|
Cerco |
0,6 |
13,3 |
16,0 |
8,3 |
6,8 |
15,0 |
28,0 |
10,5 |
1,5 |
Los arrastreros desembarcaron en total 4.500 toneladas y los de cerco 3.500 toneladas. Calcúlese la variancia de la longitud media del pescado capturado por cada tipo de arte, y estúdiese la distribución del esfuerzo de muestreo entre los dos artes:
|
Arrastre: |
media = 49 cm |
variancia = 194 cm2 |
|
Cerco: |
media = 78 cm |
variancia = 440 cm2 |
De acuerdo con las variancias y pesos desembarcados, la cantidad de muestreo para obtener la mejor estimación de la longitud media que en conjunto proporcionan los dos artes, será dada por la relación entre los productos 45 × 194: 35 × 440, es decir, aproximadamente 1:1,7.
En el caso de que se hubiesen tomado como muestra 1.500 peces pesando 1,9 toneladas de las capturas de los arrastreros, y 500 peces pesando 2,2 toneladas de los de cerco (muestras que están en la relación 1,9:2,2 = 1:1,2, relación próxima a la que proporciona la mejor distribución, aunque indica que deberían someterse más a muestreo las capturas con cerco), calcúlese el número total de las longitudes bajo muestreo del arrastre y del cerco, y, de aquí, mediante el uso del factor elevador, el número total desembarcado de cada grupo de 10 cm.
La estratificación proporciona las mayores ventajas cuando la pesca se clasifica en categorías de tamaños. En el caso extremo, en el que esta clasificación sea detallada y cuidadosa, casi bastará conocer la cantidad de cada categoría para estimar la composición de los desembarcos. Sin embargo, las ventajas de la clasificación del pescado en categorías de tamaños subsisten siempre que exista una división del total de desembarcos en clases que difieran marcadamente en la composición de tallas, aunque esta división no sea muy precisa. En tanto los desembarcos totales puedan ser divididos en, por ejemplo, dos categorías, grandes y pequeñas, será ventajosa la estratificación en el muestreo, ya que siempre habrá una mayor variancia, y probablemente mucho mayor, entre las composiciones de tallas de las dos categorías que dentro de cada una de ellas.
Desde luego, se ha de realizar el muestreo por separado de cada categoría desembarcada por un barco, pero el caso es diferente cuando se trata de estimar la composición de los desembarcos totales, en que tanto se pueden tener en cuenta como no las categorías. Los dos procedimientos pueden ilustrarse con un ejemplo.
El lenguado que se desembarca en Lowestoft normalmente suele estar clasificado en cuatro categorías, grande, mediana, pequeña y escuálida, esta última la de peor calidad y menor valor comercial. Durante un cierto período, las cantidades totales desembarcadas fueron: grande, 4.500 kg; mediana 9.000 kg; pequeña, 23.040 kg; escuálida 660 kg, con un total de 37.200 kg. Un determinado barco desembarcó 180, 600, 2.080, y 60 kg de cada categoría, de los cuales se midieron 60, 30, 18 y 60 kg, obteniéndose la siguiente composición de longitudes:
|
Grupo de longitud |
25-29 |
30-34 |
35-39 |
40-44 |
45-49 |
50 + |
Total |
|
Grande |
|
|
|
16 |
33 |
15 |
64 |
|
Mediana |
|
2 |
47 |
27 |
|
|
76 |
|
Pequeña |
26 |
41 |
8 |
|
|
|
75 |
|
Escuálida |
|
|
7 |
15 |
14 |
14 |
50 |
a) estímese el número de cada grupo de longitud y de cada categoría desembarcada por el barco sometido a muestreo;b) estímese el número total desembarcado de cada grupo de longitud (i) elevando cada categoría separadamente hasta el desembarco total (estratificado), o (ii) elevando el desembarco total de todas las categorías del barco sometido a muestreo;
c) considérese la cantidad relativa bajo muestreo en cada categoría.
|
Grupo de longitud |
25-29 |
30-34 |
35-39 |
40-44 |
45-49 |
50+ |
Total |
|
Grande |
|
|
|
48 |
99 |
45 |
192 |
|
Mediana |
|
40 |
940 |
540 |
|
|
1 520 |
|
Pequeña |
4 160 |
6 560 |
1 280 |
|
|
|
12 000 |
|
Escuálida |
|
|
7 |
15 |
14 |
14 |
50 |
|
TOTAL |
4 160 |
6 600 |
2 227 |
603 |
113 |
59 |
13 762 |
Los factores elevadores para las estimaciones de los desembarcos totales del barco sometido a muestreo son, para cada categoría, 3, 20, 160 y 1 respectivamente, que dan la estimación de la composición de tallas, y el total por la adición entre ellas.
Para estimar el total desembarcado por todos los barcos, usando los datos de la cantidad desembarcada de cada categoría, los factores elevadores serían 25, 15, 8 y 11 respectivamente.
|
Grupo de longitud |
25-29 |
30-34 |
35-39 |
40-44 |
45-49 |
50 + |
Total |
|
Grande |
|
|
|
1 200 |
2 475 |
1 125 |
4 800 |
|
Mediana |
|
600 |
14 100 |
8 100 |
|
|
22 800 |
|
Pequeña |
33 280 |
52 480 |
10 240 |
|
|
|
96 000 |
|
Escuálida |
|
|
77 |
165 |
154 |
154 |
550 |
|
TOTAL |
33 280 |
53 080 |
24 417 |
9 465 |
2 629 |
1 279 |
124 150 |
También se puede estimar elevando el total de tallas del barco bajo muestra por el factor 6.200/620 = 10, dando las siguientes estimaciones
|
Total: |
41.600 |
66.000 |
22.270 |
6.030 |
1.130 |
590 |
137.620 |
Con la segunda estimación se tienen más peces pequeños (menores de 35 cm) y menos grandes (en algunos tamaños muchos menos). Esto se debe a que en el barco sometido a muestra había relativamente más peces pequeños que en el resto de la flota, aunque no se debe dar ninguna estimación como definitivamente exacta (o equivocada). La primera, que tiene en cuenta la cantidad de cada categoría desembarcada por todos los barcos, utiliza alguna información sobre las tallas del pescado desembarcado por los barcos que no fueron sometidos a muestreo y, por lo tanto, ha de acercarse más a los valores verdaderos que los de la segunda estimación.
En general, la unidad de muestreo suele ser la captura (o más corrientemente el desembarco) de un barco o una unidad de arte. El tamaño de la muestra dependerá de si se miden muchos peces de un barco, o pocos de varios barcos. A veces, las circunstancias impiden hacer tantas mediciones como se desearía, como es el caso cuando se hace el muestreo en una lonja o mercado y se dispone de poco tiempo porque el pescado se vende o retira inmediatamente. Así resulta que, para obtener un buen muestreo en la lonja - y, por tanto, unas buenas estimaciones del pescado desembarcado, y del que hay en el mar - tan necesario como un buen sistema de muestreo es que el hombre o personas encargadas de las mediciones sepan operar en condiciones difíciles y mantener relaciones amistosas con el personal del ambiente pesquero.
La elección del tamaño de la muestra dependerá de las variancias entre y dentro de las unidades (barcos, etc.), y del tiempo necesario para medir los peces e ir de un barco a otro. La variancia entre los barcos ordinariamente es mayor que la variancia dentro de los barcos, sobre todo cuando el pescado desembarcado por un determinado barco procede de la misma área, o ha sido capturado en la misma calada (por ejemplo, de un arte de cerco). El traslado de un barco a otro para la toma de muestras suele ser fácil cuando los desembarcos de las capturas se hacen al mismo tiempo, por ejemplo, poco antes de la subasta de la mañana, en cuyas condiciones lo mejor será tomar muchas muestras y pequeñas. En otros sitios, los desembarcos pueden tener lugar a intervalos durante el día, de modo que puede ser que no esté disponible para muestreo un segundo barco hasta después de haber terminado de medir los peces del primero, en cuyo caso lo mejor será tomar pocas muestras y grandes.
En el Ejemplo 2.4.3 se examinaron con detalle una serie de mediciones de arenques, y se llegó a la conclusión de que, de acuerdo con una cierta cantidad de tiempo disponible, lo mejor era tomar muestras de 17 ejemplares, para estimar con la mínima variancia la longitud media de los mismos. Antes de seguir con este análisis, o análisis semejantes en otras situaciones, sobre cuál es el tamaño de muestra más adecuado, conviene hacer notar dos puntos. El primero, y más importante, es que con muestras muy pequeñas el problema de elección al azar de los ejemplares se hace crítico (véase el Ejemplo 3.2.2). En el caso de que la pesca se desembarque en cajas o cestas, como suele ocurrir frecuentemente, lo mejor es tomar una o varias cajas completas como muestra, a no Ser que exceda demasiado del tamaño óptimo de muestra. En este último caso, se medirán suficientes peces para que no haya sesgos, por ejemplo, la mitad de la caja, tomando todo e] pescado de un lado. En segundo lugar, la longitud de los peces puede ser utilizada e interpretada para varios fines, y el mejor tamaño de muestra para estimar la longitud media no ha de serlo forzosamente también para estimar otras cantidades, por ejemplo, la proporción de peces mayores de una talla, o, en combinación con una cierta cantidad de datos de edad, la mortalidad. Sin embargo, el tamaño óptimo de la muestra tampoco suele ser muy diferente para unos fines u otros, y como la longitud media y su variancia son las cantidades más fáciles de calcular, éstas pueden ser una buena guía.
En cierta lonja se tarda medio minuto en medir cada tiburón; los barcos desembarcan las capturas casi a la vez, de modo que se tarda sólo un minuto desde que se mide la captura de uno hasta que se empieza la del siguiente. Suponiendo que la relación de variancias entre y dentro de los barcos es la misma que en el Ejemplo 2.4.1, dígase cuál es el tamaño óptimo de la muestra (3 peces).
¿Cuáles serían los tamaños óptimos de las muestras en ambos ejemplos si los desembarcos fueran poco frecuentes, de modo que el muestreo del desembarco de un barco requiriera una visita especial a la lonja que durase aproximadamente una hora (60 peces, 20 peces)?
Hasta este momento la elección del tamaño de la muestra se ha considerado en el caso que la pesca desembarcada por cada barco fuese esencialmente homogénea. Si la pesca desembarcada se compone de dos o más categorías, basadas en el tamaño o en la condición de los peces, entonces se requieren algunas ligeras modificaciones.
Si la catalogación de la pesca es siempre igual, sin que haya diferencias entre unos desembarcos y otros, cada categoría deberá ser tratada independientemente. Cada categoría requerirá un tamaño óptimo de muestra, y la división del esfuerzo total de muestreo se hará de acuerdo con los criterios corrientes en el muestreo estratificado, es decir, tomando mayor número de muestras en los estratos más numerosos y variables. Normalmente, esto significa que el número óptimo de muestras será distinto para cada categoría, pero, mientras no haya una verdadera necesidad de hacer esto, es más conveniente para el muestreo de todas las categorías de un desembarco tomar el mismo número de muestras de cada categoría. Esto significará que para aquellas categorías de las que se hubiera tomado un número de muestras superior al promedio, se incremente el número de ejemplares por muestra (por ejemplo, tomando dos cajas, en vez de una, en la categoría de los peces grandes). Conviene insistir en que, si el tamaño óptimo de la muestra resulta pequeño, no significa que no sea deseable un mayor muestreo, sino que la mejor manera de utilizar el esfuerzo de muestreo consiste en aumentar el número de muestras.
En varias secciones anteriores se ha hecho mención del uso de los factores elevadores. De una forma u otra, constituyen un paso vital en la combinación de los datos del muestreo con los de la población que se quiere examinar y que a menudo pasan fácilmente desapercibidos. Salvo en un sistema muy simple de muestreo, la distribución de longitudes de los peces medidos puede ser diferente, y a veces demasiado, de la que constituye la «población» bajo muestreo, que puede ser la que forman todos los peces desembarcados durante todo un año, o también la de todos aquellos que alcanzan, en el área donde se pesca, una talla determinada. Cuando se toma más de una muestra, dando cada cual una estimación de la distribución de tallas de la población, y han de combinarse, la estimación obtenida dependerá tanto de los factores elevadores, o ponderadores, como de las mismas distribuciones en las muestras. Un caso extremo es cuando los peces se clasifican en varias categorías perfectamente definidas por las tallas. En este caso, la información más importante para conocer la distribución de tallas de los peces desembarcados la constituye el registro de las cantidades desembarcadas de cada categoría. Puede ser necesario usar más de una serie de factores elevadores, y que después de cada serie haya que sumar los individuos de las muestras o grupos de muestras elevadas; tal serie de operaciones podría ser así:
1. Medida de los peces contenidos en una caja, de un barco, de un lugar de desembarcos, en un mes determinados.2. Elevación de la muestra según la captura del barco (esto es, multiplicando por un factor igual al número de cajas desembarcadas).
3. Suma de los resultados de todos los desembarcos bajo muestra tomados en aquel lugar y en aquel mes.
4. Elevación de estos desembarcos a los desembarcos totales en aquel lugar y mes (o sea, multiplicando por un factor igual a la relación de los desembarcos totales por aquéllos bajo muestra).
5. Suma de todas las estimaciones en los lugares de desembarcos donde se tomaron muestras.
6. Elevación de las estimaciones anteriores al total de desembarcos en todos los lugares en ese mes (multiplicando por la relación entre el total de desembarcos y los desembarcos en los lugares bajo muestra).
7. Suma de las estimaciones de todos los meses, para dar la distribución de los desembarcos anuales.
Se pueden realizar otras operaciones adicionales. Quizá se tomaron las muestras un mes sí y otro no; en este caso, para obtener la estimación de la composición de los desembarcos anuales habría que multiplicar las frecuencias de los meses sometidos a muestreo por la relación entre la captura total anual y la de los meses muestra, que sería el factor elevador. Por otra parte, es posible que no se pudiera efectuar el muestreo nada más que de una parte de la caja, en cuyo caso sería preciso elevar las frecuencias de la muestra al total de la caja.
Durante diciembre de 1945 y enero de 1946, fueron medidas unas muestras de Tilapia capturadas con una red de cerco en el lago Nyasa. Los resultados (datos adaptados de Lowe, 1952) fueron los siguientes:
|
Mes |
Longitud del cuerpo (cm) |
Total |
|||||||||||||||||||||
|
12 |
13 |
14 |
15 |
16 |
17 |
18 |
19 |
20 |
21 |
22 |
23 |
24 |
25 |
26 |
27 |
28 |
29 |
30 |
31 |
32 |
33 |
||
|
Dic. |
|
|
|
|
1 |
|
|
3 |
4 |
8 |
10 |
28 |
25 |
40 |
34 |
32 |
18 |
4 |
1 |
1 |
|
|
209 |
|
Dic. |
|
|
|
|
|
|
1 |
1 |
2 |
2 |
1 |
1 |
10 |
10 |
14 |
28 |
23 |
12 |
4 |
7 |
4 |
5 |
131 |
|
Dic. |
|
|
|
|
2 |
2 |
2 |
4 |
3 |
6 |
4 |
25 |
28 |
24 |
26 |
22 |
11 |
5 |
|
|
|
|
164 |
|
Enero |
|
1 |
3 |
4 |
1 |
3 |
6 |
6 |
8 |
15 |
15 |
22 |
30 |
25 |
27 |
20 |
18 |
9 |
4 |
|
1 |
|
218 |
|
Enero |
|
|
|
|
1 |
|
3 |
6 |
6 |
8 |
6 |
14 |
23 |
19 |
19 |
23 |
10 |
8 |
2 |
2 |
|
|
150 |
Las dos primeras muestras consistieron en la captura completa de una calada; la tercera y la quinta, en la mitad de la calada, y la cuarta en un tercio de la calada.
1. Donde sea necesario, elévese la muestra para obtener la captura total de la calada bajo muestra.2. Considerando cada mes por separado, elévense las capturas bajo muestra para obtener la captura total de cada talla durante el mes, y totalícese para los dos meses, dando 118.000 en diciembre y 120.000 en enero, respectivamente. [Nota: factor elevador para diciembre = 118.000/(209 + 131 + 328).]
3. Calcúlese la variancia de la longitud media dentro y entre las caladas de diciembre.
La gran variancia entre las caladas sugiere que el mejor sistema de muestreo sería el de muchas muestras y poco numerosas, y que, por lo tanto, las muestras tomadas (150-200 peces) son demasiado grandes. Sin embargo, hay que aclarar que la técnica de muestreo empleada fue la de enviar observadores que midieran los peces en los mismos barcos de pesca, tras la calada (que es el mejor sistema para evitar los sesgos que se producen por las manipulaciones para la venta). Esto quiere decir que, después de medir los peces de una calada, no había oportunidad de medir otros hasta pasado mucho tiempo, de modo que, en realidad, nada se ganaría reduciendo el tamaño de las muestras, aunque, desde luego, siempre existe la posibilidad de que los observadores pudieran dedicarse a otras operaciones, tales como medir peces de otra especie, realizar observaciones sobre madurez, alimentación, etc.
En el ejemplo anterior fueron empleados dos factores elevadores; el segundo de ellos, que transformaba las frecuencias de las muestras de un mes en las de las capturas totales en ese mes, está basado en las estadísticas normales de capturas, que seguramente se habrían realizado mediante otro programa de muestreo independiente. El primer factor, el que transformaba las frecuencias de la muestra en las del total de la calada (empleado en las tres últimas muestras), requiere una información que sólo puede obtenerse en el momento del muestreo. Solamente si en el momento de realizar el muestreo se toma nota de que la muestra consiste en toda, la mitad, la tercera parte, etc., de la captura de la cual procede, pueden combinarse las muestras con sus propios factores ponderadores para dar la mejor estimación de la composición de la captura total. Esta información en el momento del muestreo es una necesidad en casi todos los trabajos de este tipo para poder usar correctamente los factores elevadores. Los datos que se requieren son la cantidad de la muestra y la de la captura de la cual procede la muestra. A veces sólo se mide una parte de los peces de una caja (porque una completa sería demasiado), y entonces lo mejor es contar los que han quedado sin medir, para calcular correctamente el factor elevador. Por ejemplo, un barco desembarca 18 cajas de plegonero, de una de ellas se miden 100 peces y el resto (125) se cuentan. El factor elevador del pescado contenido en una caja será
18 x (225/100) = 40,5
Cuando se efectúa un muestreo regular, se puede abreviar mucho el trabajo por una disposición conveniente de las computaciones. Supongamos que las mediciones se han hecho en centímetros, pero que, al final, los datos serán agrupados, por ejemplo, cada 3 cm; entonces el trabajo se simplifica iniciando cuanto antes este agrupamiento, de modo que se reducirá el número de grupos de talla que hayan de ser empleados en las computaciones. Así, los datos del Ejemplo 3.2.6.1 se pueden agrupar cada 2 cm, resultando como sigue:
|
Muestra |
Grupos de longitud |
||||||||||||
|
12- |
14- |
16- |
18- |
20- |
22- |
24- |
26- |
28- |
30- |
32- |
Total |
Factor elevador |
|
|
1 |
|
|
1 |
3 |
12 |
38 |
65 |
66 |
22 |
2 |
|
209 |
1 |
|
2 |
|
|
|
2 |
4 |
8 |
20 |
42 |
35 |
11 |
9 |
131 |
1 |
|
3 |
|
|
4 |
6 |
9 |
29 |
52 |
48 |
16 |
|
|
164 |
2 |
|
4 |
1 |
7 |
4 |
12 |
23 |
37 |
55 |
47 |
27 |
4 |
1 |
218 |
3 |
|
5 |
|
|
1 |
9 |
14 |
20 |
42 |
42 |
18 |
4 |
|
150 |
2 |
|
TOTAL |
3 |
21 |
23 |
71 |
131 |
255 |
438 |
429 |
206 |
33 |
12 |
1 622 |
|
Los factores elevadores correspondientes se indican al final de cada línea, de modo que (si se toman en conjunto las muestras de ambos meses) el número estimado de peces en cada grupo de talla que se ha capturado en las caladas bajo muestreo será igual a la suma de los productos de dos columnas - que es un procedimiento muy cómodo para operar con la mayor parte de las máquinas calculadoras.
Los biólogos pesqueros no están sólo interesados en conocer la longitud de los peces, sino también en aspectos tales como la edad, madurez, sexo, caracteres merísticos, etc. El muestreo directo para el estudio de estas características se rige por las mismas consideraciones que el de la talla, pero, como llevan más tiempo que la simple medición de la longitud, suelen ser muy difíciles de determinar en el mismo lugar del desembarco, y es preferible llevar las muestras al laboratorio. Existen algunas excepciones: por ejemplo, la determinación del sexo en ciertas especies (como el lenguado), puede hacerse simultáneamente con la colocación del pez en el ictiómetro, siempre que exista buena luz. En este caso, y si el estadillo ya está preparado para anotar la longitud de los peces según el sexo, se tarda tanto simplemente en medirlos como en hacer esta operación y determinar el sexo. En algunas especies, como las gallinetas, el lenguado, etc., el crecimiento es tan diferente en los machos y en las hembras que es mejor tratar cada sexo como si fueran especies diferentes, computando por separado los datos sobre la talla, edad, madurez, etc. Exactamente se da el caso contrario en los mares tropicales, donde suele haber especies sumamente parecidas, de tal manera que se hace preciso tratarlas conjuntamente en las mediciones en los lugares de desembarco, llevando luego muestras al laboratorio para estudiar con detalle la composición específica.
Cuando se realiza directamente un muestreo para conocer la composición de edades, se han de seguir los mismos principios que en el caso de la talla. Para evitar los sesgos, lo mejor es realizar la toma de muestras tan pronto como sea posible después de la captura, antes de que comiencen las manipulaciones de comercialización (si esto no es posible, por lo menos someter a muestreo todas las categorías comerciales, procurando hacer luego las correcciones con los adecuados factores ponderadores). La variancia será reducida si se toman tamaños de muestras adecuados, aunque, al llevar más tiempo estas observaciones, y por tanto el empleado en el total de la muestra, éstas no tendrán por qué ser tan grandes. Asimismo, la variancia quedará reducida si se escogen estratificaciones adecuadas.
En la práctica, para evitar sesgos que pasan desapercibidos, será mejor tomar muestras considerablemente mayores de las que proporcionaría una variancia mínima. Así, la muestra más pequeña libre de sesgos será probablemente una caja o una cesta (o media caja, si se ha tenido buen cuidado en tomar todos los peces de un costado) y, si los peces no se desembarcan en recipientes, bien pudiera ser una muestra de 100 peces. Ordinariamente, esta muestra es grande, aunque no demasiado para la mejor eficiencia del muestreo rápido, tal como la medición de la talla, pero reportaría cierta ineficiencia (en el sentido de aumentar la variancia) en operaciones más lentas, como el muestreo de la edad. Sin embargo, merece la pena operar con una tal ineficiencia si se asegura no introducir un sesgo, que no pueda luego corregirse y destruya, por tanto, la validez de la mayor parte de los resultados.
El muestreo de la longitud es, ante todo, una operación muy rápida, que ordinariamente puede hacerse en el mar, o en las lonjas de subasta durante las operaciones normales comerciales, pudiéndose devolver los peces medidos para su venta. Por el contrario, otros tipos de observaciones no sólo llevan más tiempo, sino que, con frecuencia, exigen que se hagan mutilaciones en los peces, por lo que suele ser necesario llevar las muestras a los centros de investigación. Siempre es preferible obtener directamente las muestras de los pescadores que no comprarlas en los mercados o las lonjas; lo mejor sería separar la muestra a bordo durante la operación de pesca, separándose tantas muestras como, por ejemplo, áreas de pesca haya pasado el arrastrero en una salida. Tales muestras de un lugar y momento determinados suponen una gran mejora comparadas con las que se toman en el momento del desembarco de peces, que posiblemente han sido capturados en diferentes lugares. Sin embargo, requiere una completa seguridad de que los pescadores hayan anotado fielmente los datos de la calada, y, sobre todo, que hayan sabido tomar las muestras sin ningún sesgo. En una sección anterior (3.1) ya se hizo mención sobre la dificultad de tomar muestras relativamente pequeñas en la cubierta de un barco sin que resultasen sesgadas, aunque no haya habido una selección consciente. Por otra parte, siempre existe el riesgo, especialmente en los momentos en que el pescado esté caro o escaso, de que los pescadores tiendan a poner los peces de peor calidad, o más baratos, en la muestra para el personal científico.
Como consecuencia de tantos inconvenientes y riesgos de sesgos difíciles de encontrar, casi siempre lo mejor es efectuar el muestreo en los lugares de desembarco, donde se puede controlar todo el proceso del muestreo. Una solución sería, desde luego, enviar un observador para tomar a bordo las muestras, como ya se ha comentado anteriormente, a propósito de la determinación de las cantidades devueltas al mar (sección 3.1.4), y significaría pérdida de tiempo, a no ser que el observador recoja un número mayor de informaciones, de manera que el tiempo empleado para cada una sea mínimo, pero en total quede ocupado útilmente.
El procedimiento normal para estudiar la edad, madurez, etc., consiste, por tanto, en utilizar muestras moderadas - de unos 100 peces - que se adquieren en las lonjas de subasta y se llevan al laboratorio; para evitar sesgos, lo mejor es que se encargue a una persona del laboratorio de ir a la lonja y comprar la muestra, y, mejor aún, que la caja de la cual se toma la muestra haya sido elegida al azar y no entregada por el personal de la lonja. Todo esto supone una gran pérdida de tiempo y dinero, por lo que es conveniente realizar más de un tipo de observaciones sobre los peces. Así, en el programa de muestreo del arenque inglés, además de numerosas mediciones en la lonja, se lleva una serie de muestras al laboratorio, de unos 100 peces, cada uno de los cuales se mide y pesa, se le quitan las escamas para la determinación de la edad, se observa la madurez y se cuentan las vértebras.
Muchas de las características consideradas, tales como peso, edad, madurez, etc., están estrechamente relacionadas con la longitud. Un procedimiento muy cómodo de estudiar su distribución en las capturas consiste en aplicar primero un muestreo extenso para conocer con precisión la distribución de las tallas, y luego, mediante un número relativamente pequeño de muestras, establecer la relación entre la talla y el carácter considerado, por ejemplo, la edad. De este modo la frecuencia de individuos que se ha estimado para el grupo de tallas se reparte proporcionalmente entre los porcentajes de edades, deducidos al estudiar la composición de edades de ese grupo de tallas por medio de las muestras especiales. Esencialmente, cada grupo de tallas se trata por separado.
(adaptado de Fridriksson, 1934)
Se midieron 100 bacalaos entre 50 y 100 cm, y se usaron sus otolitos para la determinación de la edad. Los peces de menos de 9 años y los de más de 11 años se reunieron en dos grupos. Los resultados se dan en el cuadro siguiente:
|
Talla (cm) |
Edad (años) |
|||||
|
-8 |
9 |
10 |
11 |
12+ |
Total |
|
|
50- |
3 |
1 |
|
|
|
4 |
|
60- |
3 |
10 |
|
|
|
13 |
|
70- |
7 |
32 |
1 |
7 |
|
47 |
|
80- |
1 |
8 |
3 |
6 |
|
18 |
|
90- |
|
3 |
3 |
5 |
2 |
13 |
|
100- |
|
|
|
1 |
1 |
2 |
|
TOTAL |
14 |
54 |
7 |
19 |
3 |
97 |
Una serie separada de mediciones de longitudes dieron estimaciones del total (en decenas de millares) del pescado desembarcado en cada grupo de 10 cm, que figura en la segunda columna del cuadro siguiente:
|
Talla (cm) |
Total desembarcado |
Estimación del número desembarcado de cada edad |
||||
|
-8 |
9 |
10 |
11 |
12+ |
||
|
50- |
91 |
68 |
23 |
|
|
|
|
60- |
79 |
21 |
59 |
|
|
|
|
70- |
168 |
25 |
114 |
3 |
25 |
|
|
80- |
93 |
6 |
40 |
17 |
30 |
|
|
90- |
45 |
|
14 |
11 |
15 |
5 |
|
100- |
21 |
|
|
|
10 |
11 |
|
TOTAL |
497 |
120 |
250 |
31 |
80 |
16 |
Las cantidades de cada edad y tamaño desembarcadas han sido estimadas, e incluidas en este segundo cuadro, dividiendo cada cantidad de la segunda columna en las proporciones de los grupos de edad de la correspondiente línea del primer cuadro. Así, en la muestra para la edad, el 25 por ciento de los peces de 50-60 cm tenían 9 años. Por tanto, el 25 por ciento de los peces del grupo de 50 cm = 0,25 × 91 = 22,75 decenas de millares de peces de 9 años. Los demás datos que aparecen en el cuadro se obtienen de manera similar (aquí están redondeados), y, sumando las columnas, se tendrán las estimaciones del número total de cada edad. Los cálculos se facilitan utilizando un simple factor elevador para cada grupo de longitudes igual al número de peces desembarcado, dividido por los peces de ese grupo en la muestra para la edad, y multiplicando por los peces a cada edad y grupo de la muestra de edad. Así, el factor elevador (en decenas de millares) para el grupo de 50 cm será 91/4 = 22,75, y el número de peces de 8 años y más jóvenes será igual a 3 × 22,75 = 68 (redondeando a las decenas de millar más próximas).
Cuando se realizan estimaciones de la composición de longitudes, las ventajas de este método son grandes, puesto que disminuyen las ocasiones de sesgos y se reduce la variancia en las estimaciones de la edad. Suponiendo que las estimaciones de la composición de longitudes no estén sesgadas, resulta difícil imaginar cómo puede introducirse un sesgo al tomar peces de un cierto grupo de longitudes, de modo que haya una tendencia a seleccionar los de una determinada edad. Se puede producir un sesgo si entre los peces de un determinado grupo de longitudes, seleccionados para el estudio de la edad, algunos de ellos tienen que rechazarse o inutilizarse porque sus escamas u otolitos son de difícil interpretación para saber la edad. Es muy probable que la mayor parte de los rechazados pertenezcan a los peces de más edad dentro de ese grupo y puedan, por tanto, ser subestimados en su abundancia. Lo mismo puede decirse de otras características que se relacionen con la longitud, a no ser que haya ciertas diferencias externas, como podría ser el caso entre los peces maduros e inmaturos de una determinada talla.
En el Ejemplo 3.3.1, el número de peces de cada grupo de longitud cuya edad se determinó era aproximadamente proporcional al número de peces desembarcados en cada grupo de tallas. Esto no es siempre necesario, tanto es así que los números tomados como muestra para cada talla pueden elegirse de acuerdo con otros criterios. Así, por ejemplo, lo normal es que se capture más cantidad de peces pequeños que grandes y, sin embargo, tan necesario es disponer de una cantidad adecuada de peces para determinar la edad de unos como de otros; es más, generalmente, en las tallas grandes la composición de edades es más complicada, de modo que para tener de todos los grupos de longitudes una precisión parecida será necesario hacer más muestreos con los peces más grandes.
La variancia en la estimación del número de peces de cada edad, obtenida con el empleo de tablas longitud-edad, como se ha hecho en los cuadros anteriores, vendrá dada por una distribución multinomial. Así, si en un cierto grupo de longitudes
N = número de peces en los desembarcosn = número de peces tomados como muestra para la edad
npi = número de peces en la muestra de edad i
Ni = número estimado de peces de edad i en los desembarcos de una determinada talla
de modo que Ni = Npi
variancia de npi= npi (1 - pi)
variancia de
![]()
y el coeficiente de variación de
La variancia estimada del número total de peces de cierta edad desembarcados y pertenecientes a todas las tallas se obtendrá por una simple adición (se pueden sumar las variancias en los distintos grupos de longitudes porque en cada uno de ellos las distribuciones calculadas por el muestreo son completamente independientes). La expresión anterior para la variancia supone que N, el número de peces de un determinado grupo de longitudes desembarcados, se conoce con precisión. En la práctica, tendrá que estimarse también por algún procedimiento de muestreo. Así pues, habrá que incluir un término adicional, de modo que la estimación apropiada de la variancia de Ni es
Lo más probable es que el primer término sea el mayor, y en ningún caso la presencia de un término adicional debido a la variancia de N disminuye la conveniencia que el primer término sea lo más pequeño posible. Como puede verse, la parte de la variancia debida a la estimación de pi será, como es normal, inversamente proporcional a n, el número de peces en la muestra, así que se incrementará la precisión aumentando el muestreo. Sin embargo, ésta también será mayor si pi es grande; y si pi se acerca a la unidad, la variancia tenderá a cero, esto es, si casi todos los peces de un grupo de longitudes tienen la misma edad, el número de peces de todas las edades se conocerá con gran precisión.
En el empleo de las tablas longitud-edad se han de tomar esencialmente tres determinaciones:
a) cómo habrá que dividir el conjunto de la distribución de longitudes entre los grupos de tallas;b) cómo habrá que dividir el año; por ejemplo, si bastará con una sola tabla para todo el año, o una para cada mes o trimestre;
c) cuántos peces se habrán de tomar como muestra en cada grupo de longitudes.
Al elegir los grupos de longitudes y las estaciones, que es un ejemplo más de elección de estratos en un muestreo estratificado, normalmente es de desear que estos estratos sean lo suficientemente pequeños como para que no existan diferencias (en este caso, en la proporción de edades) en las distribuciones de las posibles subdivisiones que se pudieran hacer en cada estrato. Es también de desear la disminución de la variancia haciendo pi lo más grande posible, para lo cual se pueden dividir los grupos de tallas de tal manera que vengan a corresponderse con los grupos de edades, lo que por lo menos es fácil de hacer en las tallas menores, cuando el crecimiento es rápido y se perciben con claridad las modas de las tallas correspondientes a cada edad. Un ejemplo se da en la siguiente tabla de longitud-edad, por trimestres, para el bacalao pequeño capturado en el Mar del Norte en 1960, según el número de peces de cada edad en las muestras:
|
Grupo de talla |
30-39 |
40-49 |
50-59 |
60-69 |
70-79 | |||||||||||||||
|
Trimestre |
1 |
2 |
3 |
4 |
1 |
2 |
3 |
4 |
1 |
2 |
3 |
4 |
1 |
2 |
3 |
4 |
1 |
2 |
3 |
4 |
|
1 año |
|
|
12 |
56 |
|
|
1 |
23 |
|
|
1 |
|
|
|
|
|
|
|
|
|
|
2 años |
36 |
26 |
36 |
8 |
62 |
51 |
73 |
50 |
15 |
41 |
54 |
63 |
|
2 |
13 |
43 |
|
|
|
|
|
3 años |
1 |
4 |
|
|
4 |
1 |
3 |
2 |
18 |
9 |
6 |
2 |
19 |
21 |
25 |
17 |
4 |
28 |
27 |
30 |
|
4 años |
|
|
|
|
|
|
|
|
2 |
|
|
|
1 |
3 |
|
11 |
20 |
7 |
7 |
6 |
|
5 años |
|
|
|
|
|
|
|
|
|
|
|
|
1 |
1 |
|
|
9 |
|
|
|
|
TOTAL |
37 |
30 |
48 |
64 |
66 |
52 |
77 |
75 |
35 |
50 |
61 |
65 |
21 |
27 |
38 |
71 |
33 |
35 |
34 |
36 |
Como puede verse, los dos grupos más pequeños muestran grandes cambios durante el año, de modo que una tabla única anual seria insuficiente. Sin embargo, las diferencias entre trimestres sucesivos, excepto para las tallas menores, no son muy acusadas, de modo que puede suponerse que los cambios de mes a mes serán menores. Así pues, puede admitirse que los trimestres constituirán una división suficientemente sutil del año, y que incluso las tablas longitud-edad semestrales podrían ser satisfactoriamente razonables. Los peces grandes de 70-79 cm y, con más motivo, los de tallas mayores, que no aparecen en la tabla, presentan pequeños cambios estacionales. Por esta razón, para éstos resulta suficiente una tabla longitud-edad anual. No hay ninguna razón para que no se puedan usar tablas de diferentes períodos para los distintos grupos de longitudes, pero, en la práctica, es preferible usar tablas de iguales períodos para todos los grupos de longitud; en el caso anterior, lo mejor sería utilizar tablas longitud-edad semestrales.
No existen cambios muy bruscos entre los grupos de longitud. Así, las proporciones de peces de tres años en el primer trimestre en cada uno de los cinco grupos de longitudes son 0,03, (o sea 1/37), 0,06, 0,51, 0,90 y 0,12, respectivamente. Esto indica que no debe haber grandes diferencias en la composición de edades entre los grupos de 5 cm, tal como 40-44 y 45-49, lo que se confirma con el análisis de los datos originales. Por lo tanto, los grupos de 10 cm son suficientemente pequeños. Sin embargo, las diferencias entre estos grupos son lo suficientemente grandes como para hacer pensar que la división en grupos más amplios, como 15 ó 20 cm, no daría estimaciones precisas.
Lo más probable es que el número óptimo de peces que deba tomarse como muestra en cada grupo de longitudes difiera grandemente de la proporción en que aparecen estos grupos de longitudes en el conjunto de los desembarcos obtenidos en un muestreo al azar. Ordinariamente, los desembarcos están constituidos por una mayoría de peces pequeños. El número de peces de cada edad representados en estos grupos podrá conocerse con gran precisión, mientras que las estimaciones del número de individuos de las edades mayores tendrán una considerable variancia. En muchos estudios, es conveniente que las estimaciones del número de peces en cada edad vengan a tener una precisión parecida, por lo menos para las edades más importantes. Por ejemplo, si la mortalidad se estima como la relación entre el número de peces de 4 y 5 años, aunque conozcamos con mucha precisión el número de los de 4 años, servirá de poco si en cambio el número de peces de 5 años se estima con gran imprecisión. Un sistema razonable de muestreo para el análisis de la edad consistiría, por tanto, en tomar un número igual de cada grupo de longitudes. En efecto, en las edades más jóvenes las estimaciones no sólo pueden ser más precisas, sino que también, al menos para los peces que tienen un crecimiento rápido y uniforme, los grupos de longitudes que se elijan pueden hacerse coincidir más o menos con los grupos de edad, con lo que se reducirá el término (1 - pi) en la expresión de la variancia,
. En cambio, las tallas mayores contendrán peces de varias edades.
Teniendo en cuenta los datos longitud-edad para el bacalao dados en el cuadro anterior, y que los miles de peces desembarcados en cada trimestre se estimaron como sigue:
|
Trimestre |
1 |
2 |
3 |
4 |
|
30-39 |
202 |
275 |
160 |
270 |
|
40-49 |
327 |
675 |
488 |
508 |
|
50-59 |
107 |
200 |
394 |
673 |
|
60-69 |
109 |
116 |
205 |
329 |
|
70-79 |
43 |
70 |
139 |
104 |
estímese el número de peces de cada edad, de 1 a 5, menores de 80 cm, desembarcados en cada trimestre, y durante todo el año. Estímese también el total anual usando una tabla única de longitud-edad para todo el año.
Suponiendo que las cantidades desembarcadas de cada talla se conocen con precisión, calcúlense las variancias de las estimaciones del número de cada edad, empleando las tablas longitud-edad trimestrales y la tabla anual.
Datos de varias fuentes
Las tablas longitud-edad (o de longitud-madurez, etc.), además de su utilidad para mejorar la eficiencia del muestreo en una pesquería simple, resultan de un valor inapreciable cuando se trata de una pesquería mixta, donde la misma población esté explotada por varias clases de artes, o por flotas de diferentes puertos o países. Aunque dos flotas puedan parecer similares, es muy improbable que sus capturas tengan la misma composición de longitudes, sexos, edad, etc. Estas diferencias surgen por efecto de las diversas propiedades selectivas de los artes, pero más a menudo porque generalmente las dos flotas no pescan por igual en las mismas áreas. Cualquiera que sea la causa de estas diferencias, es evidente que no se pueden tomar las capturas de un tipo de arte, o flota de un puerto o país, como representativas de los otros artes, puertos o países. Las diferencias entre las capturas residen esencialmente en la composición de longitudes, y la relación entre la talla y la edad, por ejemplo, no queda afectada - esto es, al igual que cualquier selección realizada por un técnico en el muestreo de pescado desembarcado se relaciona con la longitud, y no con la edad de pescado de determinada longitud, lo mismo sucede con los artes según la talla del pescado, y no se podrá discriminar entre, por ejemplo, los peces de 2 y 3 años de 30 cm. Existen, no obstante, excepciones; la selectividad de los artes, en el sentido más estricto, no tiene por qué relacionarse con la edad, para una longitud dada, pero dos barcos pueden pescar en áreas con peces de diferente composición de tallas, y con diferentes ritmos de crecimiento.
Si existen dos áreas con una evidente diferencia entre los ritmos de crecimiento de sus peces, esto indica que su mezcla no puede ser muy rápida, y lo mejor es tratarlos separadamente, no sólo en el muestreo, sino también en los análisis subsiguientes.
Como regla general, se puede decir que, para conocer la composición de longitudes de las capturas, debe establecerse un muestreo para cada clase de arte, barco, puerto y país, pero, para componer las tablas de relación entre la talla y la edad, sólo es preciso efectuar el muestreo de una parte de la pesquería, y luego aplicarla a las composiciones de tallas de todos los desembarcos.
Durante 1960, los pescadores con artes de trasmallo desembarcaron en Grimsby las siguientes cantidades (en millares) de bacalao de menos de 80 cm pescado en el Mar del Norte:
|
Trimestre |
1 |
2 |
3 |
4 |
|
30-39 |
2 |
2 |
5 |
18 |
|
40-49 |
12 |
55 |
138 |
87 |
|
50-59 |
6 |
66 |
196 |
70 |
|
60-69 |
5 |
43 |
80 |
14 |
|
70-79 |
3 |
42 |
91 |
6 |
Usando la tabla longitud-edad, compuesta a partir de los desembarcos de los arrastreros, estímese el número de peces de cada edad.
Lo mejor, desde luego, sería tomar muestras del mayor número de secciones (artes, puertos, barcos, etc.) de la pesquería para construir las tablas longitud-edad, que deberían ser únicas para aplicarlas ya sea al conjunto de desembarcos, o a los de cada sección en particular. Esencialmente, todo esto no es más que un problema de muestreo estratificado en el que cada grupo de longitudes debe ser considerado como una población independiente sobre la que hay que realizar estimaciones de la composición por edades. La estratificación, es decir, el tratar separadamente cada sección de los desembarcos, no representa una ventaja, porque se incrementará la variancia, a menos que el muestreo se haga precisamente en proporción a la cantidad en cada sección y un prorrateo tan exacto del muestreo es improbable que pueda hacerse.
Una tal recolección de datos sobre la edad, a la larga, puede ser de suma utilidad en una pesquería internacional. La determinación de la edad, o un trabajo similar, no sólo requiere mucho tiempo, sino un grado apreciable de destreza y experiencia. No todos los países que explotan una población de peces pueden estar en condiciones de recoger datos sobre la edad (por ejemplo, porque no disponen de suficiente personal), pero todos podrán establecer un muestreo de la composición de longitudes. De esta manera, pueden obtenerse los datos sobre edad para todo el conjunto de desembarcos, ya sea a través de un organismo internacional apropiado que disponga de todas las fuentes de datos sobre longitudes, y sobre longitud-edad disponibles, o nacionalmente, siempre que, cuando se disponga de datos sobre la edad, se publiquen en forma de tablas de longitud-edad.