Trade in roundwood
Industrial roundwood trade
Sawnwood production and trade
Wood-based panels
Wood-based pulp
Paper and paperboard
It is the industrial roundwood component of total timber production that forms the basis for both domestic production of primary products and for international trade. Based on perceived comparative advantage, stage of economic development, and related industrial and trade strategies, countries of the Asia Pacific Region can choose to process the available industrial timber supply in domestically located facilities and to then consume/trade those basic products, or alternatively, supply unprocessed timber to the international marketplace.
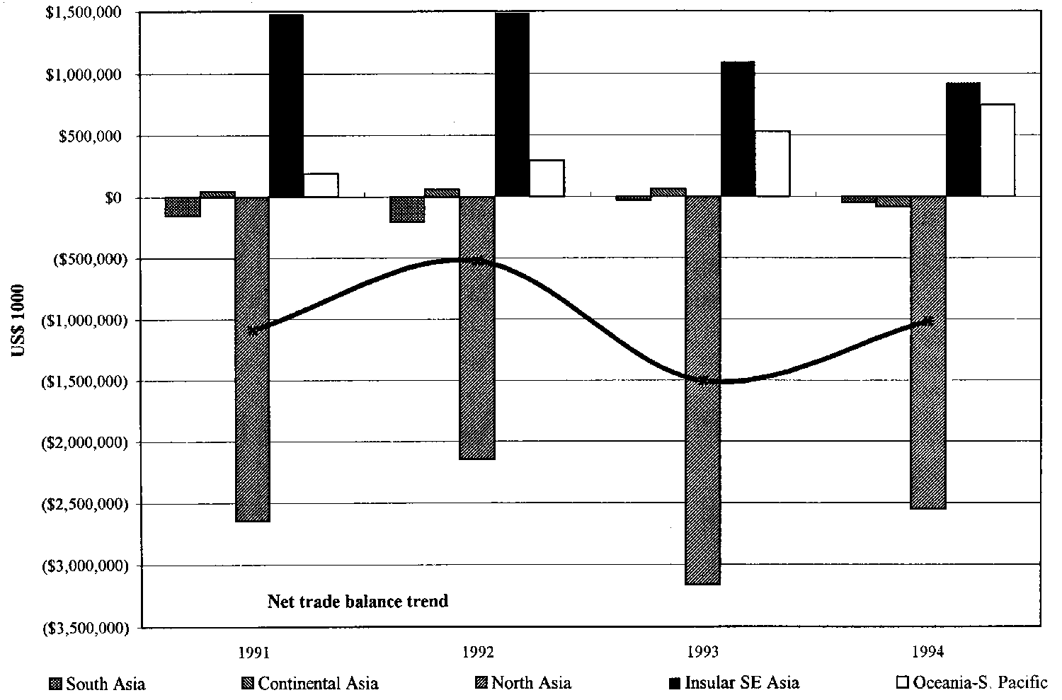
Summary information regarding trade in total roundwood by Asia Pacific sub-region is reported in Figure 6 and Table 15 by Volume and Figure 7 and Table 16 by Value for the period 1980, 1985 and 1990-94. Detailed statistics by country and sub-region are contained in Appendix 11.
As indicated in Table 15, the Asia-Pacific region as a whole is a net importer of roundwood. Total imports have varied between a low of 62.8 million cubic meters in 1985 to a high of 72.2 million cubic meters in 1991. Imports declined from 1991-1994 to a level of 65.5 million cubic meters in 1994. Total Roundwood exports also declined over this period, from over 44 million cubic meters in 1980 to 30.4 million cubic meters in 1993, with an increase to 32.7 million cubic meters in 1994. On a net trade basis, the entire Asia Pacific region imported some 32.8 million cubic meters in 1994 than was exported, This trade deficit on a volume basis has existed throughout the 1980-94 period, from a low of 26.6 million cubic meters in 1980 to a high of 34.1 million cubic meters in 1991.5 Examination of Table 15 reveals that North Asia was a net importer, with a deficit in volume trade in roundwood throughout the observed period. This region had a negative trade volume balance of 68.7 million cubic meters in 1980 which varied in the early 1990's reaching a negative balance of 59.5 million cubic meters in 1994. The greatest source of this deficit in roundwood was Japan with net imports of over 45.8 million cubic meters in 1994. South Korea and China were the other major sources of the sub-region's roundwood trade volume deficit. The South Asia region was also a net importer, having had a trade volume surplus of 255 thousand cubic meters in 1980 which reached a maximum deficit of 1.4 million cubic meters in 1990 before declining to a negative volume balance of only 367 thousand cubic meters for 1994. India reached a negative volume balance of almost 1.3 million cubic meters in 1990 before reducing import volumes significantly to only 285 thousand cubic meters in 1994. Pakistan also had an increasing volume deficit through the period, reaching almost 117 thousand cubic meters in 1994.
5 The net trade for each sub-region implicitly cancels out trade between countries in that region, leaving a net trade balance for the sub-region. Summing the positions of each sub-region in turn nets out trade between sub-regions, deriving a total net trade balance for the entire Asia Pacific region.
Figure 6. Roundwood Net Balance of Trade for the Asia-Pacific Region by Volume
Table 15. Summary - Total Roundwood Import, Export and Net Trade Balance
|
Asia Pacific - Regional Summary: Non-Conifer Industrial Roundwood (1000 CUM) |
|||||||
|
FAOSTAT |
1980 |
1985 |
1990 |
1991 |
1992 |
1993 |
1994 |
|
South Asia |
94 |
146 |
1,416 |
906 |
840 |
383 |
455 |
|
Continental Asia |
158 |
241 |
2,188 |
1,636 |
2,167 |
1,516 |
1,548 |
|
North Asia |
68,853 |
61,703 |
59,862 |
68,854 |
64,565 |
60,982 |
62,285 |
|
Insular SE Asia |
1,550 |
695 |
869 |
747 |
973 |
966 |
1,172 |
|
Oceania - S. Pacific |
9 |
5 |
106 |
86 |
39 |
30 |
21 |
|
Asia Pacific Total |
70,664 |
62,790 |
64,441 |
72,229 |
68,584 |
63,877 |
65,481 |
|
Asia Pacific - Regional Summary: Non-Conifer Industrial Roundwood (1000 CUM) |
|||||||
|
FAOSTAT |
1980 |
1985 |
1990 |
1991 |
1992 |
1993 |
1994 |
|
South Asia |
349 |
82 |
62 |
38 |
65 |
42 |
88 |
|
Continental Asia |
472 |
593 |
2,126 |
1,947 |
2,564 |
2,035 |
1,859 |
|
North Asia |
165 |
94 |
548 |
1,717 |
1,898 |
2,337 |
2,773 |
|
Insular SE Asia |
33,975 |
22,001 |
19,885 |
21,640 |
20,325 |
11,858 |
11,091 |
|
Oceania - S. Pacific |
9,101 |
9,424 |
9,740 |
12,748 |
13,976 |
14,161 |
16,882 |
|
Asia Pacific Total |
44,062 |
32,194 |
32,361 |
38,090 |
38,828 |
30,433 |
32,693 |
|
Asia Pacific - Regional Summary: Non-Conifer Industrial Roundwood (1000 CUM) |
|||||||
|
FAOSTAT |
1980 |
1985 |
1990 |
1991 |
1992 |
1993 |
1994 |
|
South Asia |
255 |
-64 |
-1,354 |
-868 |
-775 |
-341 |
-367 |
|
Continental Asia |
31,4 |
352 |
-62 |
311 |
397 |
519 |
311 |
|
North Asia |
-68,688 |
-61,609 |
-59,314 |
-67,137 |
-62,667 |
-58,645 |
-59,512 |
|
Insular SE Asia |
32,425 |
21,306 |
19,016 |
20,893 |
19,352 |
10,892 |
9,919 |
|
Oceania - S. Pacific |
9,092 |
9,419 |
9,634 |
12,662 |
13,937 |
14,131 |
16,861 |
|
Asia Pacific Total |
-26,602 |
-30,596 |
-32,080 |
-34,139 |
-29,756 |
-33,444 |
-32,788 |
Sri Lanka was a small net exporter during most of the period, yet had a negative balance in 1994. Oceania-S. Pacific had the largest positive net volume balance in total roundwood, reaching 16.9 million cubic meters for 1994. This positive balance had increased from 9.1 million cubic meters in 1980. With the exception of modest imports by Australia (14 thousand cubic meters in 1994), this sub-region is primarily a roundwood exporter region. Australian exports ranged from a low of 5.9 million cubic meters in 1990 to a high of 7.3 million cubic meters in 1994. New Zealand was the second largest exporter, with exports growing steadily in the 1990's to reach 5.5 million cubic meters in 1994. Papua New Guinea was the third major exporter of the sub-region, with exports growing from only 773 thousand cubic meters in 1980 to almost 3.2 million cubic meters by 1994. More moderate by volume, exports from Fiji and the Solomon Islands increased at a rapid rate, reaching 251 thousand and 593 thousand cubic meters respectively in 1994.
Perhaps the most significant trend illustrated in Table 15 is the rapidly declining positive volume trade balance in roundwood from Insular SE Asia. Imports dipped after 1980, but exports have fallen sharply, from almost 34 million cubic meters in 1980 to only 11.1 million cubic meters in 1994. This is, of course, directly related to the decision to ban log exports from Indonesia after 1980 with a subsequent decline from exports of 16.6 million cubic meters (1980) to about 1.6 million cubic meters in the 1991-94 period. At the same time, exports of roundwood from Malaysia increased from 15.8 million cubic meters in 1980 to almost 20. 3 million cubic meters by 1985. Thereafter, exports held at 18 to 19.5 million cubic meters through 1992, then declined to 8.8 million cubic meters for 1994. The Philippines has continued to be a modest net importer of roundwood, while Singapore, on the other hand, has experienced a variable trend, beginning as a net importer of over 1.2 million cubic meters in 1980 but becoming a net volume exporter from 1990-1994. Continental SE Asia has, with the exception of 1990 experienced a net trade volume surplus in roundwood, having a positive balance of 519 thousand cubic meters in 1993, slipping to 311 thousand cubic meters in 1994. While the majority of imports have been by Thailand (1.5 million cubic meters in 1994), the major sub-region exporter has been Myanmar. Exports from Myanmar exceeded 1.4 million cubic meters in 1992, thereafter declining to 982 million cubic meters in 1994.
As shown in Table 16, the Asia Pacific region has been a net importer of roundwood in value terms. While exports have ranged from US$ 3.4 billion in 1980 to a low of US$ 1.6 billion in 1985, exports have been near US$ 3.1 billion for the period 199294. At the same time, import values have increased from a low of US$ 5.1 billion in 1985 to US$ 9.7 billion in 1993 before a decline to just over US$ 9 billion for 1994. Oceania-S. Pacific has seen a growth in net roundwood value trade, reaching US$ 1.6 billion for 1994. North Asia, led by Japan of over US$ 7.3 billion in 1993, has consistently had a deficit balance of over US$ 7 billion in the 1990's with a high of US$ 9.2 billion in 1993. Insular Asia, although maintaining a positive balance by value, has seen a major decline from US$ 2.18 billion in 1980 to US$ 965 million for 1994. This trend, of course, reflects the log volume trends for Indonesia and Malaysia noted above.
Figure 7. Roundwood Net Balance of Trade for the Asia-Pacific Region by Value
Table 16. Total Roundwood Import, Export and Net Trade by Value
|
Asia Pacific Region - Summary - Total Roundwood Import (1000 US$) | |||||||
|
FAOSTAT |
1980 |
1985 |
1990 |
1991 |
1992 |
1993 |
1994 |
|
South Asia |
8,146 |
14,189 |
242,429 |
174,089 |
219,368 |
37,344 |
58,556 |
|
Continental Asia |
15,087 |
41,952 |
222,795 |
269,595 |
287,546 |
235,663 |
268,895 |
|
North Asia |
8,372,379 |
5,003,496 |
7,053,616 |
7,968,473 |
7,517,713 |
9,338,588 |
8,552,250 |
|
Insular SE Asia |
123,139 |
30,667 |
61,902 |
60,807 |
107,829 |
102,406 |
133,283 |
|
Oceania-S. Pacific |
2,946 |
1,266 |
3,117 |
2,386 |
3,525 |
3,456 |
2,702 |
|
Asia Pacific Total |
8,521,697 |
5,091,570 |
7,583,859 |
8,475,350 |
8,135,981 |
9,717,457 |
9,015,686 |
|
Asia Pacific Region - Summary - Total Roundwood Export (1000 US$) | |||||||
|
FAOSTAT |
1980 |
1985 |
1990 |
1991 |
1992 |
1993 |
1994 |
|
South Asia |
31,537 |
2,516 |
6,655 |
5,066 |
3,275 |
2,752 |
3,877 |
|
Continental Asia |
63,736 |
91,458 |
223,715 |
329,803 |
388,395 |
333,674 |
226,773 |
|
North Asia |
40,346 |
16,678 |
36,297 |
140,318 |
136,557 |
173,557 |
160,574 |
|
Insular SE Asia |
2,950,009 |
1,225,402 |
1,575,024 |
1,579,841 |
1,632,069 |
1,244,540 |
1,098,012 |
|
Oceania-S. Pacific |
292,974 |
273,850 |
590,831 |
795,663 |
905,971 |
1,338,674 |
1,604,262 |
|
Asia Pacific Total |
3,378,602 |
1,609,904 |
2,432,522 |
2,850,691 |
3,066,267 |
3,093,197 |
3,093,498 |
|
Asia Pacific Region - Summary - Net Roundwood Trade Balance (1000 $US) | |||||||
|
FAOSTAT |
1980 |
1985 |
1990 |
1991 |
1992 |
1993 |
1994 |
|
South Asia |
23,391 |
-11,673 |
-235,774 |
-169,023 |
-216,093 |
-34,592 |
-54,679 |
|
Continental Asia |
48,649 |
49,506 |
920 |
60,208 |
100,849 |
98,011 |
-42,122 |
|
North Asia |
-8,332,033 |
-4,986,818 |
-7,017,319 |
-7,828,155 |
-7,381,156 |
-9,165,031 |
-8,391,676 |
|
Insular SE Asia |
2,826,870 |
1,194,735 |
1,513,122 |
1,519,034 |
1,524,240 |
1,142,134 |
964,729 |
|
Oceania-S. Pacific |
290,028 |
272,584 |
587,714 |
793,277 |
902,446 |
1,335,218 |
1,601,560 |
|
Asia Pacific Total |
-5,143,095 |
-3,481,666 |
-5,151,337 |
-5,624,659 |
-5,069,714 |
-6,624,260 |
-5,922,188 |
Most trade in roundwood would be for industrial product conversion elsewhere. Relatively little non-Industrial roundwood would enter international trade. Industrial roundwood historically was defined to include saw- and veneer logs, pulpwood, and 'other industrial'. However, with the establishment of the international harmonized trade classification system, the sub-categories were largely displaced with new separate categories for industrial roundwood for conifer, non-conifer-tropical, and non-conifer-other. As of 1989, the FAO database for forestry and forest products stopped reporting trade for the prior saw- and veneer log and other sub-categories, hence limiting the availability of time series date which is more recent.
Data compiled from the current FAOSTAT for the three categories of industrial roundwood are discussed briefly here for the period 1991 - 1994. Figure 8 and Table 17 presents sub-region summaries for industrial conifer roundwood imports, exports and net trade by volume. 18 summarized imports, exports and net trade by value. Detailed sub-region and country information is presented in Appendix 12.
As shown in Table 17, net Asia Pacific Conifer Roundwood imports varied from a high of 24.8 million cubic meters in 1991 to a low of 22.3 million cubic meters for 1993, increasing just slightly to 23.5 million cubic meters for 1994. Conifer industrial roundwood exports were considerably less, reaching just under 6 million cubic meters for 1994, up from 4.4 million cubic meters for 1991. For the Asia Pacific region as a whole, the region was a net importer of industrial conifer roundwood, with net imports of 17.5 million cubic meters for 1994. This was a decline from 20.4 million cubic meters for 1991.
Imports of industrial conifer roundwood was centered in North Asia, where Japan was the largest importer with 14.4 million cubic meters imported in 1994, almost 1 million cubic meters below the 15.3 million cubic meters imported in 1991. South Korea was the second leading importer, with 7.3 million cubic meters imported in 1994, up from the 6.4 million cubic meters imported in 1991. China was the third leading country in the North Asia sub-region in terms of industrial conifer roundwood imports, with the volume declining from 2.8 million cubic meters for 1991 to just under 1.6 million cubic meters in 1994. Oceania-S. Pacific was the leading exporter sub-region for industrial conifer roundwood, led by New Zealand with exports of over 4.8 million cubic meters in 1994. This represented an increase of 1.2 million cubic meters in New Zealand exports over 1991. Australia saw exports increase to 415 thousand cubic meters in 1994, up from only 135 thousand cubic meters for 1991. Myanmar (Continental sub-region) increased exports to 268 thousand cubic meters in 1994, being the largest sub-region exporter, followed by Laos with exports of 56 thousand cubic meters for 1994. Insular SE Asia was not a significant sub-region in terms of industrial conifer roundwood trade, with the Philippines being the largest importer (28 thousand cubic meters in 1994) and Malaysia the largest exporter. For Malaysia, exports declined from 185 thousand cubic meters in 1991 to only 71 thousand cubic meters in 1994.
Figure 8. Coniferous Industrial Roundwood Net Trade Balance for the Asia-Pacific Region by Volume
Table 17. Summary: Industrial Roundwood (Conifer) Imports, Exports and Net Trade by volume
Asia Pacific Region - Summary: Industrial Roundwood (Conifer)
Imports by Volume (1000 CUM)
|
FAOSTAT |
1991 |
1992 |
1993 |
1994 |
|
South Asia |
69 |
53 |
22 |
24 |
|
Continental Asia |
9 |
3 |
2 |
34 |
|
North Asia |
24,586 |
22,753 |
22,237 |
23,375 |
|
Insular SE Asia |
125 |
12 |
37 |
28 |
|
Oceania-S. Pacific |
5 |
19 |
6 |
2 |
|
Asia Pacific Total |
24,794 |
22,840 |
22,304 |
23,463 |
Asia Pacific Region - Summary: Industrial Roundwood (Conifer)
Exports by Volume (1000 CUM)
|
FAOSTAT |
1991 |
1992 |
1993 |
1994 |
|
South Asia |
0 |
1 |
0 |
0 |
|
Continental Asia |
234 |
245 |
266 |
327 |
|
North Asia |
205 |
347 |
318 |
299 |
|
Insular SE Asia |
215 |
115 |
98 |
92 |
|
Oceania-S. Pacific |
3,704 |
4,399 |
4,532 |
5,265 |
|
Asia Pacific Total |
4,358 |
5,107 |
5,214 |
5,983 |
Asia Pacific Region - Summary: Industrial Roundwood (Conifer)
Net Trade by Volume (1000 CUM)
|
FAOSTAT |
1991 |
1992 |
1993 |
1994 |
|
South Asia |
-69 |
-52 |
-22 |
-24 |
|
Continental Asia |
225 |
242 |
264 |
293 |
|
North Asia |
-24,381 |
-22,406 |
-21,919 |
-23,076 |
|
Insular SE Asia |
90 |
103 |
61 |
64 |
|
Oceania-S. Pacific |
3,699 |
4,380 |
4,526 |
5,263 |
|
Asia Pacific Total |
-20,436 |
-17,733 |
-17,090 |
-17,480 |
Reflecting the volume of industrial conifer roundwood trade, Figure 9 and Table 18 confirm that Asia Pacific is a significant net importer in value terms as well, with the regional deficit almost US$ 3.3 billion for 1993. As with volume, the largest net deficit region has been North Asia, with Japan, South Korea, and China accounting for almost all imports. Hong Kong experienced a net deficit with declining imports, reflecting in part the slow-down of conifer industrial roundwood imports into the People's Republic of China.
Trade in Non-Conifer Tropical Industrial Roundwood is summarized by sub-region in Figure 10 and Table 19. Perhaps surprisingly, Asia Pacific Region is nearing a balance in overall trade in non-conifer tropical industrial roundwood. Imports were 13.9 million cubic meters for 1994, down from 20.6 million cubic meters in 1991. At the same time, exports declined from 22.8 million cubic meters to only 13.4 million cubic meters. As a consequence, net volume trade declined from almost 3.1 million cubic meters (net exports) for 1992 to -486 thousand cubic meters (net imports) for 1994. North Asia had the greatest negative trade balance by volume, but which had declined from 19.5 million cubic meters (1991) to 8.7 million cubic meters for 1994. While Japan imports dropped modestly, to 7.4 million cubic meters in 1994, imports by China fell from 4.1 million cubic meters in 1991 to just under 1.5 million cubic meters for 1994. At the same time, imports by South Korea declined, from 4.1 million cubic meters to just 2.1 million cubic meters in 1994. Imports to the Continental SE Asia region were predominantly for Thailand, while exports were from Myanmar and Cambodia. Myanmar exports dropped from 1.2 million cubic meters in 1991 to 602 thousand cubic meters in 1994. Cambodia exports reached 499 thousand cubic meters in 1992 before declining to only 301 thousand cubic meters for 1994.
Insular SE Asia dominated exports of non-conifer tropical industrial roundwood within Asia Pacific,, yet saw the total export decline from 19.5 million cubic meters in 1991 to only 8.7 million cubic meters for 1994. While the Philippines and Singapore were small net importers, Malaysia saw exports decline from 19. 19.3 million cubic meters to 8.6 million cubic meters in 1994. Indonesia, with a ban on the export of unprocessed timber, saw volumes continue to decline, from only 134 thousand cubic meters in 1991 to just 43 thousand cubic meters for 1994.
Papua New Guinea was the major exporter of non-conifer tropical industrial roundwood within the Oceania-S. Pacific sub-region, with volume of exports increasing from 1.3 million cubic meters to 3.1 million cubic meters between 1991-1994. The Solomon Islands increased its modest exports from 295 thousand to 592 thousand cubic meters.
Figure 9. Coniferous Industrial Roundwood Net Trade Balance for the Asia-Pacific Region by Value
Table 18. Summary: Industrial Roundwood (Conifer) Imports, Exports and Net Trade by Value
Asia Pacific Region - Summary: Industrial Roundwood (Conifer)
Imports by Value (1000 US$)
|
FAOSTAT |
1991 |
1992 |
1993 |
1994 |
|
South Asia |
7,892 |
6,560 |
994 |
1,029 |
|
Continental Asia |
965 |
509 |
217 |
6,080 |
|
North Asia |
3,215,634 |
3,342,156 |
4,134,517 |
3,770,701 |
|
Insular SE Asia |
6,805 |
1,593 |
5,173 |
2,352 |
|
Oceania-S. Pacific |
5 |
1,613 |
1,129 |
921 |
|
Asia Pacific Total |
3,231,850 |
3,352,431 |
4,142,030 |
3,781,083 |
Asia Pacific Region - Summary: Industrial Roundwood (Conifer)
Exports by Value (1000 US$)
|
FAOSTAT |
1991 |
1992 |
1993 |
1994 |
|
South Asia |
0 |
36 |
1 |
17 |
|
Continental Asia |
14,109 |
17,799 |
20,497 |
24,587 |
|
North Asia |
28,114 |
24,061 |
27,439 |
20,489 |
|
Insular SE Asia |
19,046 |
9,093 |
23,681 |
18,988 |
|
Oceania-S. Pacific |
210,372 |
232,233 |
454,557 |
456,428 |
|
Asia Pacific Total |
271,641 |
283,222 |
526,175 |
520,509 |
Asia Pacific Region - Summary: Industrial Roundwood (Conifer)
Net Trade by Value (1000 US$)
|
FAOSTAT |
1991 |
1992 |
1993 |
1994 |
|
South Asia |
-7,892 |
-6,524 |
-993 |
-1,012 |
|
Continental Asia |
13,144 |
17,290 |
20,280 |
18,507 |
|
North Asia |
-3,187,520 |
-3,318,095 |
-4,107,078 |
-3,750,212 |
|
Insular SE Asia |
12,241 |
7,500 |
18,508 |
16,636 |
|
Oceania-S. Pacific |
209,818 |
230,620 |
453,428 |
455,507 |
|
Asia Pacific Total |
-2,960,209 |
-3,069,209 |
-3,615,855 |
-3,260,574 |
Table 19. Summary: Industrial Roundwood (Non-Conifer-Tropical) Imports, Exports and Net Trade by Volume
Asia Pacific Region - Summary: Industrial Roundwood (Non Conifer-Tropical)
Imports by Volume (1000 CUM)
|
FAOSTAT |
1991 |
1992 |
1993 |
1994 |
|
South Asia |
815 |
759 |
309 |
363 |
|
Continental Asia |
1,546 |
2,032 |
1,364 |
1,393 |
|
North Asia |
17,866 |
15,611 |
12,705 |
11,517 |
|
Insular SE Asia |
388 |
635 |
464 |
580 |
|
Oceania-S. Pacific |
2 |
1 |
1 |
|
|
Asia Pacific Total |
20,617 |
19,038 |
14,843 |
13,853 |
Asia Pacific Region - Summary: Industrial Roundwood (Non Conifer-Tropical)
Export by Volume (1000 CUM)
|
FAOSTAT |
1991 |
1992 |
1993 |
1994 |
|
South Asia |
38 |
4 |
2 |
6 |
|
Continental Asia |
1,614 |
1,780 |
1,343 |
966 |
|
North Asia |
33 |
41 |
29 |
2 |
|
Insular SE Asia |
19,525 |
18,049 |
9,469 |
8,723 |
|
Oceania-S. Pacific |
1,595 |
2,222 |
2,192 |
3,670 |
|
Asia Pacific Total |
22,805 |
22,096 |
13,035 |
13,367 |
Asia Pacific Region - Summary: Industrial Roundwood (Non Conifer-Tropical)
Net Trade by Volume (1000 CUM)
|
FAOSTAT |
1991 |
1992 |
1993 |
1994 |
|
South Asia |
-777 |
-755 |
-307 |
-357 |
|
Continental Asia |
68 |
-252 |
-21 |
-427 |
|
North Asia |
-17,833 |
-15,570 |
-12,676 |
-11,515 |
|
Insular SE Asia |
19,137 |
17,414 |
9,005 |
8,143 |
|
Oceania-S. Pacific |
1,593 |
2,221 |
2,119 |
3,670 |
|
Asia Pacific Total |
2,188 |
3,058 |
-1,808 |
-486 |
The trends in Non-Conifer Tropical Industrial Roundwood trade by volume reflected as well in value terms as summarized in Figure 11 and Table 20. For 1991 and 1994 the Asia Pacific Region had a negative trade balance of over US$ 1 billion, with a sharp drop in 1992 but a corresponding peak in 1993. North Asia had a significant deficit (US$ 2.6 billion, 1994) while both Insular Asia and Oceania S.-Pacific had positive balances. As reported in Appendix 13, Japan had the largest deficit by value, at US$ 1.8 billion in 1994, but South Korea ($US 371 million), China (US$ 250 million) and Hong Kong (US$ 97.4 million) also contributed to the over-all imbalance in this sub-region's trade in non-conifer tropical industrial roundwood.
South Asia was most directly influenced by small and declining net imports by value by India, where imports dropped from US$ 158.6 million to just under US$ 46 million for 1994. Pakistan saw net imports increase from US$ 3.6 million to almost US$ 6.2 million during this time. Thailand, Myanmar and Viet Nam all saw exports drop (by value) from 1991-94, with Cambodia and Laos experiencing gains. Thailand had slightly declining imports by value, yet had imports averaging about US$ 260 million for 1991-94 while exports dropped to near zero.
Insular SE Asia's net export balance for non-conifer tropical industrial roundwood trade shrank from US$ 1.5 billion in 1991 to just under US$ 997 million by 1994. While imports increased for Indonesia, the Philippines, Malaysia and Singapore, exports declined more significantly with the exception of Singapore. Malaysia exported declined from almost US$ 1.5 billion to US$ 974.6 million from 1991-94. By comparison, trade in Non-Conifer (Other) Industrial Roundwood was minor relative to both Conifer and Non-Conifer Tropical Industrial Roundwood. Summaries of Non-Conifer (Other) imports, exports and net trade by volume and value are provided in Figure 12, Table 21 and Figure 13 and Table 22, with sub-region and country details contained in Appendix 14.
The Asia Pacific Region was a net importer of Non-Conifer (Other) industrial roundwood over the 1991-94 period by both volume and value. North Asia was the largest importer, and had the greatest sub-region deficit. The volume of imports by the North Region declined moderately, from 1.8 million cubic meters in 1991 to 1.4 million cubic meters for 1994. Exports remained at about 450-500 thousand cubic meters over the period. The net trade position of North Asia for this category improved slightly, from a deficit of 1.2 million cubic meters in 1991 to 937 thousand cubic meters by 1994. China was the largest importer within the sub-region, with an import volume of 704 thousand cubic meters in 1994; however, China was also the largest sub-region exporter, exporting 418 thousand cubic meters in 1994, down moderately from earlier years. In contrast, Japan, and to a lesser extent, South Korea were largely importers. For Japan, imports dropped from 1.1 million cubic meters in 1991 to 546 million cubic meters for 1994.
Insular SE Asia also had a deficit in trade in Non-Conifer (Other) Industrial Roundwood trade, with a net deficit of about 320 thousand cubic meters for 1993-94.
Table 20. Summary: Industrial Roundwood (Non Conifer Tropical) Imports, Export, and Net Trade by Value
Asia Pacific Region - Summary: Industrial Roundwood (Non Conifer-Tropical)
Imports by Value (1000 US$)
|
FAOSTAT |
1991 |
1992 |
1993 |
1994 |
|
South Asia |
162,335 |
209,201 |
32,352 |
54,074 |
|
Continental Asia |
267,560 |
284,793 |
232,379 |
259,871 |
|
North Asia |
2,654,704 |
2,158,103 |
3,170,002 |
2,552,688 |
|
Insular SE Asia |
33,734 |
66,468 |
51,269 |
72,304 |
|
Oceania-S. Pacific |
435 |
189 |
356 |
155 |
|
Asia Pacific Total |
3,118,768 |
2,718,754 |
3,486,358 |
2,939,092 |
Asia Pacific Region - Summary: Industrial Roundwood (Non Conifer-Tropical)
Exports by Value (1000 US$)
|
FAOSTAT |
1991 |
1992 |
1993 |
1994 |
|
South Asia |
4,945 |
542 |
773 |
975 |
|
Continental Asia |
312,772 |
346,495 |
295,729 |
175,795 |
|
North Asia |
4,306 |
6,130 |
5,258 |
366 |
|
Insular SE Asia |
1,513,897 |
1,552,243 |
1,145,381 |
996,631 |
|
Oceania-S. Pacific |
192,066 |
293,331 |
531,589 |
744,352 |
|
Asia Pacific Total |
2,027,986 |
2,198,741 |
1,978,730 |
1,918,119 |
Asia Pacific Region - Summary: Industrial Roundwood (Non Conifer-Tropical)
Net Trade by Value (1000 US$)
|
FAOSTAT |
1991 |
1992 |
1993 |
1994 |
|
South Asia |
-157,390 |
-208,659 |
-31,579 |
-53,099 |
|
Continental Asia |
45,212 |
61,702 |
63,350 |
-84,076 |
|
North Asia |
-2,650,398 |
-2,151,973 |
-3,164,744 |
-2,552,322 |
|
Insular SE Asia |
1,480,163 |
1,485,775 |
1,094,112 |
924,327 |
|
Oceania-S. Pacific |
191,631 |
293,142 |
531,233 |
744,197 |
|
Asia Pacific Total |
-1,090,782 |
-520,013 |
-1,507,628 |
-1,020,973 |
Table 21. Summary: Industrial Roundwood (Non-Conifer Other) Imports, Exports and Net Trade
Asia Pacific Region - Summary: Industrial Roundwood (Non Conifer-Other)
Imports by Volume (1000 CUM)
|
FAOSTAT |
1991 |
1992 |
1993 |
1994 |
|
South Asia |
15 |
15 |
50 |
31 |
|
Continental Asia |
0 |
1 |
2 |
2 |
|
North Asia |
1,780 |
1,592 |
1,479 |
1,367 |
|
Insular SE Asia |
55 |
93 |
320 |
321 |
|
Oceania-S. Pacific |
3 |
2 |
2 |
5 |
|
Asia Pacific Total |
1,853 |
1,703 |
1,853 |
1,726 |
Asia Pacific Region - Summary: Industrial Roundwood (Non Conifer-Other)
Exports by Volume (1000 CUM)
|
FAOSTAT |
1991 |
1992 |
1993 |
1994 |
|
South Asia |
0 |
2 |
6 |
6 |
|
Continental Asia |
|
|
|
|
|
North Asia |
584 |
550 |
552 |
430 |
|
Insular SE Asia |
|
|
|
|
|
Oceania-S. Pacific |
57 |
186 |
172 |
207 |
|
Asia Pacific Total |
641 |
738 |
730 |
643 |
Asia Pacific Region - Summary: Industrial Roundwood (Non-Conifer-Other)
Net Trade by Volume (1000 CUM)
|
FAOSTAT |
1991 |
1992 |
1993 |
1994 |
|
South Asia |
-15 |
-13 |
-44 |
-25 |
|
Continental Asia |
0 |
-1 |
-2 |
-2 |
|
North Asia |
-1,196 |
-1,042 |
-927 |
-937 |
|
Insular SE Asia |
-55 |
-93 |
-320 |
-321 |
|
Oceania-S. Pacific |
54 |
184 |
170 |
202 |
|
Asia Pacific Total |
-1,212 |
-965 |
-1,123 |
-1,083 |
Table 22. Summary: Non-Conifer Sawnwood Production by Volume
Asia Pacific Region - Summary: Industrial Roundwood (Non Conifer-Other)
Imports by Value (1000 US$)
|
FAOSTAT |
1991 |
1992 |
1993 |
1994 |
|
South Asia |
3,408 |
3,186 |
3,892 |
2,269 |
|
Continental Asia |
96 |
471 |
1,000 |
1,315 |
|
North Asia |
289,533 |
260,330 |
287,981 |
255,280 |
|
Insular SE Asia |
17,444 |
34,434 |
43,123 |
48,720 |
|
Oceania-S. Pacific |
847 |
1,064 |
916 |
979 |
|
Asia Pacific Total |
311,328 |
299,485 |
336,912 |
308,563 |
Asia Pacific Region - Summary: Industrial Roundwood (Non Conifer-Other)
Exports by Value (1000 US$)
|
FAOSTAT |
1991 |
1992 |
1993 |
1994 |
|
South Asia |
96 |
278 |
229 |
233 |
|
Continental Asia |
|
|
|
|
|
North Asia |
58,563 |
52,908 |
65,160 |
42,379 |
|
Insular SE Asia |
|
|
|
|
|
Oceania-S. Pacific |
6,990 |
25,405 |
18,384 |
26,624 |
|
Asia Pacific Total |
65,649 |
78,591 |
83,773 |
69,236 |
Asia Pacific Region - Summary: Industrial Roundwood (Non Conifer-Other)
Net Trade by Value (1000 US$)
|
FAOSTAT |
1991 |
1992 |
1993 |
1994 |
|
South Asia |
-3,312 |
-2,908 |
-3,663 |
-2,036 |
|
Continental Asia |
-96 |
-471 |
-1,000 |
-1,315 |
|
North Asia |
-230,970 |
-207,422 |
-222,821 |
-212,901 |
|
Insular SE Asia |
-17,444 |
-34,434 |
-43,123 |
-48,720 |
|
Oceania-S. Pacific |
6,143 |
24,341 |
17,468 |
25,645 |
|
Asia Pacific Total |
-245,679 |
-220,894 |
-253,139 |
-239,327 |
In contrast, Oceania-S. Pacific was the only sub-region with a net surplus in trade of Non-Conifer (Other) Industrial Roundwood. Volume of exports increased from 57 thousand cubic meters (1991) to 207 thousand cubic meters for 1994, while imports were insignificant. Within the sub-region, most exports were by New Zealand.
Historically, the largest share of roundwood not exported by countries in the Asia Pacific Region has gone for the domestic production of sawnwood. Sawnwood produced domestically, of course, may subsequently be exported as Sawnwood rather than as roundwood. Further, Imported logs may also be used to produce sawnwood. The production, import, export, and net trade by volume for Non-Conifer Sawnwood is summarized in Figure 14, Figure 15, and Table 23. Imports, exports and net trade by value is summarized in Table 24. Detailed statistics for Non-Conifer Sawnwood by sub-region and country are reported in Appendix 15.
Non-Conifer Sawnwood production has increased overall from the Asia Pacific Region, from 44.6 million cubic meters in 1980 to 51 million cubic meters in 1994. Production was just under 53 million cubic meters for 1990, thereafter declining moderately. Major production was shared by Insular SE Asia (17.3 million cubic meters), South Asia (16.3 million cubic meters) and North Asia (13.6 million cubic meters) with smaller production in Continental Asia (2 million cubic meters) and Oceania-S. Pacific (1.8 million cubic meters). Production has declined for North Asia, while South Asia and Insular SE Asia have both experienced increasing production. India dominates production in South Asia, Thailand (with declining production) and Viet Nam lead Continental Asia in production, and China dominates production in North Asia, followed by Japan. China's production has increased from 7.8 million cubic meters to almost 9.7 million cubic meters from 1980-94, while Japan's production has declined from 7.0 to 2.9 million cubic meters.
Insular SE Asia production of non-conifer Sawnwood is largely shared between Malaysia (8.8 million cubic meters, 1994) and Indonesia (8.0 million cubic meters). Indonesia's production reached a high of 9 million cubic meters in 1990 and is estimated to have declined annually thereafter. Malaysia reached a production of 9.3 million cubic meters in 1992-93, up from 5.4 million cubic meters in 1985. Oceania production is highly concentrated in Australia, with volume declining from 2.1 million cubic meters in 1980 to 1.5-1.6 million cubic meters from 1991-94.
Non-conifer Sawnwood imports are lead by North Asia and more recently by Continental Asia. North Asia imports increased from 905 thousand cubic meters to a high of 4.8 million cubic meters in 1993. Continental Asia imports grew from 345 thousand cubic meters in 1980 to 2.3 million cubic meters for 1994. North Asia importers are primarily Japan and China, both of which have increased significantly since 1980, and South Korea, where imports have grown from zero to 934 thousand cubic meters.
Figure 14. Non-coniferous Sawnwood Production for the Asia-Pacific Region
Figure 15. Non-coniferous Sawnwood Net Trade for the Asia-Pacific Region by Volume
Table 23. Summary: Non-Conifer Sawnwood Imports, Exports and Net Trade by Volume
|
Asia Pacific Region - Summary: Non-Conifer Sawnwood Production by Volume (1000 CUM) |
|||||||
|
FAOSTAT |
1980 |
1985 |
1990 |
1991 |
1992 |
1993 |
1994 |
|
South Asia |
9,795 |
15,663 |
16,772 |
16,959 |
16,790 |
16,576 |
16,342 |
|
Continental Asia |
2,740 |
1,999 |
2,428 |
2,415 |
2,377 |
2,013 |
2,027 |
|
North Asia |
16,611 |
15,515 |
12,999 |
13,317 |
12,179 |
13,703 |
13,604 |
|
Insular SE Asia |
13,009 |
13,825 |
18,769 |
18,260 |
18,353 |
18,060 |
17,254 |
|
Oceania-S. Pacific |
2,486 |
2,133 |
1,960 |
1,759 |
1,750 |
1,713 |
1,806 |
|
Asia Pacific Total |
44,641 |
49,135 |
52,928 |
52,710 |
51,449 |
52,065 |
51,033 |
|
Asia Pacific Region - Summary: Non-Conifer Sawnwood Imports by Volume (1000 CUM) |
|||||||
|
FAOSTAT |
1980 |
1985 |
1990 |
1991 |
1992 |
1993 |
1994 |
|
South Asia |
53 |
97 |
132 |
133 |
72 |
11 |
45 |
|
Continental Asia |
345 |
246 |
'1,501 |
1,544 |
1,862 |
1,816 |
2,312 |
|
North Asia |
905 |
1,874 |
3,323 |
3,668 |
4,190 |
4,843 |
4,523 |
|
Insular SE Asia |
1,324 |
782 |
1,264 |
1,083 |
1,087 |
1,288 |
1,100 |
|
Oceania-S. Pacific |
318 |
325 |
278 |
190 |
188 |
179 |
150 |
|
Asia Pacific Total |
2,945 |
3,324 |
6,498 |
6,618 |
7,399 |
8,137 |
8,130 |
|
Asia Pacific Region - Summary: Non-Conifer Sawnwood Exports by Volume (1000 CUM) |
|||||||
|
FAOSTAT |
1980 |
1985 |
1990 |
1991 |
1992 |
1993 |
1994 |
|
South Asia |
9 |
2 |
69 |
67 |
8 |
6 |
8 |
|
Continental Asia |
176 |
113 |
191 |
627 |
680 |
961 |
496 |
|
North Asia |
124 |
155 |
316 |
399 |
904 |
663 |
459 |
|
Insular SE Asia |
6,318 |
6,129 |
6,982 |
6,444 |
7,086 |
6,801 |
5,546 |
|
Oceania-S. Pacific |
131 |
58 |
61 |
30 |
103 |
60 |
86 |
|
Asia Pacific Total |
6,758 |
6,457 |
7,619 |
7,567 |
8,781 |
8,491 |
6,595 |
|
Asia Pacific Region - Summary: Non-Conifer Sawnwood Net Trade by Volume (1000 CUM) |
|||||||
|
FAOSTAT |
1980 |
1985 |
1990 |
1991 |
1992 |
1993 |
1994 |
|
South Asia |
-44 |
-95 |
-63 |
-66 |
-64 |
-5 |
-37 |
|
Continental Asia |
-169 |
-133 |
-1,310 |
-917 |
-1,182 |
-855 |
-1,816 |
|
North Asia |
-781 |
-1,719 |
-3,007 |
-3,269 |
-3,286 |
-4,180 |
-4,064 |
|
Insular SE Asia |
4,994 |
5,347 |
5,718 |
5,361 |
5,999 |
5,513 |
4,446 |
|
Oceania-S. Pacific |
-187 |
-267 |
-217 |
-160 |
-85 |
-119 |
-64 |
|
Asia Pacific Total |
3,813 |
3,133 |
1,121 |
949 |
1,382 |
354 |
-1,535 |
Continental Asia imports have been essentially to Thailand, reaching 2.3 million cubic meters in 1994 from only 342 thousand cubic meters in 1980. Insular Asia imports have bee to Singapore, although 1994 volume declined from near 1 million cubic meters (1990-93) to 610 thousand cubic meters in 1994. Philippine imports, starting in 1992 grew to 438 thousand cubic meters, well below the long term decline in production. In spite of leading production in Oceania, Australia is also the dominant importer of non-conifer sawnwood.
Exports of non-conifer sawnwood historically exceeded imports from 1980 through 1993, but with the net trade balance declining. While the region had a net trade surplus in non-conifer sawnwood of 3.8 million cubic meters in 1980, this had dropped to under 1 million cubic meters in 1991, to only 354 thousand cubic meters in 1993, with a net volume trade deficit of 1.5 million cubic meters for 1994. This was primarily in response to a decline in exports after 1992, particularly declines for Insular SE Asia and Continental Asia. Insular SE Asia was the only sub-region with a positive volume trade balance in non-conifer sawnwood, reaching a peak of 6 million cubic meters in 1992 before declining to 4.4 million cubic meters in 1994. North Asia had a deficit in trade of 4.1 million cubic meters in 1994, almost offsetting the positive volume balance for Insular SE Asia. While exports have varied and declined from 1992 peaks, the switch from an Asia Pacific surplus to a deficit position was largely brought about by the increase in imports.
Continental Asia's position has largely reflected the dynamics in production (decline), imports (increased) and exports (small) for non-conifer sawnwood. In contrast, North Asia's changing trade position is reflective of the decline in Japan's production and increase in imports, together with China's modest increase in production but significant increase in imports. South Korea's declining production has also been matched with more modest increases in imports.
Insular Asia's position has reflected moderate increased production overall, stable imports, moderately declining exports, and a slightly declining trade balance in the volume of non-conifer sawnwood. Within the sub-region, Indonesia and Malaysia have increased production while Singapore (largely using imported logs) has reduced non-conifer sawnwood production, declining production in the Philippines, decreased imports by Singapore with increased Philippine imports, and declining Indonesia exports.
As shown in Figure 16 and Table 24, the net trade position for the Asia Pacific Region as a whole has changed from a net surplus of US$ 871 million in 19780 to a deficit of US$ 649 million in 1994. Only the gain in exports by Insular SE Asia in 1992 enabled Asia Pacific to hold a modest positive balance in that year. Larger imports by North Asia subsequently turned this small surplus to the deficits shown for 1993-94. Indonesia and Malaysia were the only Insular Asia countries to have a positive balance by value for non-conifer sawnwood in 1994, led by Malaysia's surplus of over US$ 1.5 billion.
Figure 16. Non-coniferous Sawnwood Net Trade for the Asia-Pacific Region by Value
Table 24. Summary: Non-Conifer Sawnwood Imports, Exports and Net Trade by Value
|
Asia Pacific Region - Summary: Non-Conifer Sawnwood Imports by Value (1000 US$) |
|||||||
|
FAOSTAT |
1980 |
1985 |
1990 |
1991 |
1992 |
1993 |
1994 |
|
South Asia |
8,386 |
8,637 |
20,643 |
18,468 |
23,687 |
6,155 |
16,148 |
|
Continental Asia |
45,023 |
37,763 |
317,984 |
363,387 |
433,618 |
501,053 |
581,045 |
|
North Asia |
272,840 |
453,204 |
1,259,802 |
1,437,313 |
1,496,988 |
2,124,526 |
2,242,674 |
|
Insular SE Asia |
172,362 |
95,017 |
170,226 |
184,224 |
250,900 |
266,486 |
289,372 |
|
Oceania-S. Pacific |
86,556 |
123,460 |
109,220 |
80,665 |
81,818 |
89,500 |
99,622 |
|
Asia Pacific Total |
585,167 |
718,081 |
1,877,875 |
2,084,057 |
2,287,011 |
2,987,720 |
3,228,861 |
|
Asia Pacific Region - Summary: Non-Conifer Sawnwood Exports by Value (1000 US$) |
|||||||
|
FAOSTAT |
1980 |
1985 |
1990 |
1991 |
1992 |
1993 |
1994 |
|
South Asia |
1,586 |
969 |
18,892 |
16,217 |
4,078 |
3,401 |
5,040 |
|
Continental Asia |
69,669 |
57,237 |
85,500 |
240,004 |
229,454 |
286,229 |
184,407 |
|
North Asia |
63,747 |
55,786 |
119,526 |
138,523 |
211,155 |
261,244 |
225,683 |
|
Insular SE Asia |
1,289,863 |
971,045 |
1,534,325 |
1,586,405 |
1,950,098 |
2,306,945 |
2,128,817 |
|
Oceania-S. Pacific |
31,737 |
14,171 |
20,879 |
11,231 |
24,842 |
18,646 |
35,998 |
|
Asia Pacific Total |
1,456,602 |
1,099,208 |
1,779,122 |
1,992,380 |
2,419,627 |
2,876,465 |
2,579,945 |
|
Asia Pacific Region - Summary: Non-Conifer Sawnwood Net Trade by Value (1000 US$) |
|||||||
|
FAOSTAT |
1980 |
1985 |
1990 |
1991 |
1992 |
1993 |
1994 |
|
South Asia |
-6,800 |
-7,668 |
-1,751 |
-2,251 |
-19,609 |
-2,754 |
-11,108 |
|
Continental Asia |
24,646 |
19,474 |
-232,484 |
-123,383 |
-204,164 |
-214,824 |
-396,638 |
|
North Asia |
-209,093 |
-397,418 |
-1,140,276 |
-1,298,790 |
-1,285,833 |
-1,863,282 |
-2,016,991 |
|
Insular SE Asia |
1,117,501 |
876,028 |
1,364,099 |
1,402,181 |
1,699,198 |
2,040,459 |
1,839,445 |
|
Oceania-S. Pacific |
-54,819 |
-109,289 |
-88,341 |
-69,434 |
-56,976 |
-70,854 |
-63,624 |
|
Asia Pacific Total |
871,435 |
381,127 |
-98,753 |
-91,677 |
132,616 |
-111,255 |
-648,916 |
The Asia Pacific Region is also a major producer of Conifer Sawnwood, as indicated in Figure 17, Figure 18, and Table 25. Total regional production was 50.5 million cubic meters in 1980, increasing to 51. 9 million cubic meters in 1990. Production was 49.5 million cubic meters in 1994. As compared with Non-Conifer Sawnwood (Table 23), production volumes within Asia Pacific Region are approximately comparable, particularly in the 1990's. However, patterns of production are quite different
Conifer Sawnwood production is largely concentrated in North Asia, primarily Japan and China. Japan's production has declined, from 29.9 million cubic meters in 1980 to 22.8 million cubic meters in 1994, reflecting changed patterns of conifer industrial roundwood imports. China's production of conifer sawnwood was 15.5 million cubic meters in 1994, about equal to 1990 production but below the high of 17.7 million cubic meters of 1985. South Korea production reached 3.2 million cubic meters in 1991, then declined to approximately 2.7 million cubic meters for 1993-94 (see Appendix 16 for country and sub-region details).
Oceania-S. Pacific was the second leading sub-region of conifer sawnwood production, concentrated primarily in New Zealand. (2.8 million cubic meters, 1994) and Australia (1.9 million cubic meters, 1994). Both New Zealand and Australia have increased production of conifer sawnwood since 1980 in response to increased harvest of plantation timber. Elsewhere, conifer sawnwood production has remained modest. India has maintained production estimated at 2.5 million cubic meters over the past decade, while Pakistan has had only small increased production, reaching 577 thousand cubic meters in 1993 before declining to 432 thousand cubic meters for 1994. Production in Continental Asia has been stagnant with the largest share originating in Viet Nam. Cambodia and Myanmar have only had estimated conifer sawnwood production since 1992. Indonesia has experienced some increase in conifer sawnwood production, with output estimated at about 138 thousand cubic meters in the 1990's, based on increased plantations. Fiji production reached an estimated 90 thousand cubic meters in 1991 but subsequently has declined to 57 thousand cubic meters for 1993-94.
While leading the Asia Pacific region in conifer sawnwood production, North Asia is also the dominant importer, primarily Japan. Japan's imports grew from just under 5 million cubic meters in 1980 to over 9 million cubic meters for 1994. In addition, much of Japan's production of conifer sawnwood was based on imported conifer industrial roundwood. China's imports of conifer sawnwood have also grown, from virtually nothing in 1980 to 850 thousand cubic meters for 1994. South Korea also experienced rising imports after 1990, reaching 252 thousand cubic meters for 1993 and 218 thousand cubic meters for 1994. Oceania trade in conifer sawnwood is marked by exports from New Zealand and imports by Australia. New Zealand's exports grew to over 1 million cubic meters in 1994, reflecting growth in production as plantations mature. Australia accounts for the majority of the Asia Pacific imports of conifer sawnwood outside North Asia. North Asia exports are primarily from China, with volume above 300 thousand cubic meters for the period 1992-94. Modest exports from Insular SE Asia are primarily from Malaysia, with smaller volumes from the Philippines and Indonesia. Continental Asia exports of conifer sawnwood have been small, with the exception of 188 thousand cubic meters from Viet Nam in 1990, with 506 thousand cubic meters in 1991.
Figure 17. Coniferous Sawnwood Production for the Asia-Pacific Region
Figure 18. Coniferous Sawnwood Net Trade for the Asia-Pacific Region by Volume
Table 25. Summary: Conifer Sawnwood Production, Import, Export and Net Trade by Volume
Asia Pacific Region - Summary: Conifer Sawnwood Production by Volume (1000 CUM)
|
FAOSTAT |
1980 |
1985 |
1990 |
1991 |
1992 |
1993 |
1994 |
|
South Asia |
1,664 |
2,734 |
2,832 |
2,760 |
2,845 |
3,109 |
2,964 |
|
Continental Asia |
63 |
57 |
105 |
113 |
132 |
131 |
148 |
|
North Asia |
45,383 |
44,208 |
45,049 |
40,480 |
38,877 |
41,902 |
41,378 |
|
Insular SE Asia |
101 |
129 |
217 |
220 |
216 |
228 |
228 |
|
Oceania-S. Pacific |
3,316 |
3,659 |
3,651 |
3,669 |
4,091 |
4,555 |
4,819 |
|
Asia Pacific Total |
50,527 |
50,787 |
51,854 |
47,242 |
46,161 |
49,925 |
49,537 |
Asia Pacific Region - Summary: Conifer Sawnwood Imports by Volume (1000 CUM)
|
FAOSTAT |
1980 |
1985 |
1990 |
1991 |
1992 |
1993 |
1994 |
|
South Asia Continental Asia |
61 27 |
13 0 |
210 |
1 16 |
4 26 |
97 108 |
15 64 |
|
North Asia |
4,986 |
4,323 |
7,729 |
8,297 |
8,638 |
9,928 |
10,213 |
|
Insular SE Asia |
19 |
5 |
6 |
30 |
34 |
32 |
37 |
|
Oceania-S. Pacific |
756 |
1,201 |
1,234 |
1,144 |
1,160 |
1,133 |
1,056 |
|
Asia Pacific Total |
5,849 |
5,542 |
8,981 |
9,488 |
9,862 |
11,298 |
11,385 |
Asia Pacific Region - Summary: Conifer Sawnwood Exports by Volume (1000 CUM)
|
FAOSTAT |
1980 |
1985 |
1990 |
1991 |
1992 |
1993 |
1994 |
|
South Asia |
0 |
0 |
0 |
0 |
1 |
1 |
1 |
|
Continental Asia |
0 |
0 |
188 |
506 |
49 |
39 |
51 |
|
North Asia |
378 |
201 |
223 |
190 |
534 |
472 |
446 |
|
Insular SE Asia |
150 |
101 |
79 |
81 |
139 |
189 |
175 |
|
Oceania-S. Pacific |
640 |
500 |
597 |
862 |
921 |
994 |
1,049 |
|
Asia Pacific Total |
1,168 |
802 |
1,087 |
1,639 |
1,644 |
1,695 |
1,722 |
Asia Pacific Region - Summary: Conifer Sawnwood Net Trade by Volume (1000 CUM)
|
FAOSTAT |
1980 |
1985 |
1990 |
1991 |
1992 |
1993 |
1994 |
|
South Asia |
-61 |
-13 |
-2 |
-1 |
-3 |
-96 |
-14 |
|
Continental Asia |
-27 |
0 |
178 |
490 |
23 |
-69 |
-13 |
|
North Asia |
-4,608 |
-4,122 |
-7,506 |
-8,107 |
-8,104 |
-9,456 |
-9,767 |
|
Insular SE Asia |
131 |
96 |
73 |
51 |
105 |
157 |
138 |
|
Oceania-S. Pacific |
-116 |
-701 |
-637 |
-282 |
-239 |
-139 |
-7 |
|
Asia Pacific Total |
-4,681 |
-4,740 |
-7,894 |
-7,849 |
-8,218 |
-9,603 |
-9,663 |
The net trade position for conifer sawnwood for Asia Pacific is also summarized in Table 25. Overall, the region has experienced an increase in the overall conifer sawnwood deficit, growing from 4.7 million cubic meters in 1980 and 1985 to over 9.7 million cubic meters by 1994. This is in addition to regional conifer sawnwood production sustained by processing of imported conifer roundwood during this period. As implied above, however, this situation is primarily a North Asia situation, represented by the shift from imported roundwood to a greater share of imported conifer sawnwood by Japan. China's more modest increase in importation of conifer sawnwood also contributed to the growing trade deficit for the North Asia sub-region. South Korea and Hong Kong also represent net importers within the North Asia sub-region.
Trade in conifer sawnwood by value is summarized in Figure 19 and Table 26 with detailed accounts included in Appendix 16. As would be expected from the discussion of volume of imports and exports above, the Asia Pacific region has a negative trade balance for conifer sawnwood which has brown from US$ 995.2 million in 1980 to over US$ 3.5 billion in 1994. As with trade volume, this situation is primarily reflective of the situation in North Asia (Japan, China and South Korea). North Asia accounted for US$ 945.7 million of the 1985 region deficit, and fully US$ 3.5 billion of the 1994 regional deficit. Surprisingly, only Insular SE Asia had a positive balance by value, with a modest surplus of US$ 52 million in 1994, with surplus trade by Malaysia, Indonesia and the Philippines. Only Singapore and Brunei had deficits for conifer sawnwood within the sub-region.
In spite of New Zealand's surplus of trade in conifer sawnwood, the large net imports by Australia and many of the South Pacific Islands contributed to an overall sub-region deficit in conifer sawnwood. This was US$ 60.9 million for 1994, down from a high of over US$ 174.5 million for 1990.
Figure 19. Coniferous Sawnwood Net Trade for the Asia-Pacific Region by Value
Table 26. Summary: Conifer Sawnwood Imports, Exports and Net Trade by Value
Asia Pacific Region - Summary: Conifer Sawnwood Imports by Value (1000 US$)
|
FAOSTAT |
1980 |
1985 |
1990 |
1991 |
1992 |
1993 |
1994 |
|
South Asia |
6,277 |
955 |
547 |
342 |
918 |
8,136 |
3,688 |
|
Continental Asia |
2,400 |
58 |
5,000 |
8,000 |
6,414 |
13,222 |
18,063 |
|
North Asia |
1,038,925 |
681,627 |
2,104,933 |
2,183,634 |
3,072,855 |
3,357,883 |
3,597,868 |
|
Insular SE Asia |
2,840 |
1,284 |
1,688 |
7,434 |
9,562 |
14,363 |
15,951 |
|
Oceania-S. Pacific |
151,936 |
130,999 |
290,725 |
260,193 |
261,803 |
287,229 |
379,478 |
|
Asia Pacific Total |
1,202,378 |
814,923 |
2,402,893 |
2,459,603 |
3,351,552 |
3,680,833 |
4,015,048 |
Asia Pacific Region - Summary: Conifer Sawnwood Exports by Value (1000 US$)
|
FAOSTAT |
1980 |
1985 |
1990 |
1991 |
1992 |
1993 |
1994 |
|
South Asia |
8 |
0 |
0 |
0 |
197 |
208 |
146 |
|
Continental Asia |
0 |
0 |
30,571 |
66,452 |
8,509 |
6,013 |
7,839 |
|
North Asia |
93,271 |
42,114 |
89,602 |
79,404 |
89,780 |
95,175 |
91,590 |
|
Insular SE Asia |
29,866 |
19,269 |
33,442 |
26,511 |
43,151 |
77,841 |
68,108 |
|
Oceania-S. Pacific |
83,993 |
64,272 |
116,153 |
172,853 |
186,745 |
277,638 |
318,516 |
|
Asia Pacific Total |
207,138 |
125,655 |
269,768 |
345,220 |
328,382 |
456,875 |
486,199 |
Asia Pacific Region - Summary: Conifer Sawnwood Net Trade by Value (1000 US$)
|
FAOSTAT |
1980 |
1985 |
1990 |
1991 |
1992 |
1993 |
1994 |
|
South Asia |
-6,269 |
-955 |
-547 |
-342 |
-721 |
-7,928 |
-3,542 |
|
Continental Asia |
-2,400 |
-58 |
25,571 |
58,452 |
2,095 |
-7,209 |
-10,224 |
|
North Asia |
-945,654 |
-639,513 |
-2,015,331 |
-2,104,230 |
-2,983,075 |
-3,262,708 |
-3,506,278 |
|
Insular SE Asia |
27,026 |
17,985 |
31,754 |
19,077 |
33,589 |
63,478 |
52,157 |
|
Oceania-S. Pacific |
-67,943 |
-66,727 |
-174,572 |
-87,340 |
-75,058 |
-9,591 |
-60,962 |
|
Asia Pacific Total |
-995,240 |
-689,268 |
-2,133,125 |
-2,114,383 |
-3,023,170 |
-3,223,958 |
-3,528,849 |
Since 1980, the production of wood-based panels has grown substantially in the Asia Pacific Region. In 1980, total production was 19.5 million cubic meters, growing to 22.3 million and 29.1 million cubic meters by 1985 and 1990 respectively. Thereafter, wood based panel production grew even more rapidly, reaching 50.7 million cubic meters by 1994. A summary of production, imports, exports and net trade in wood-based panels is shown in Figure 20, Figure 21, and Table 27, with detailed statistics by sub-region and country included in Appendix 17.
The majority of wood-based panel production is in North Asia, led by China. Sub-region production has increased from 14.2 million cubic meters in 1980 and 1990, to over 30.8 million cubic meters for 1994. China's production increased from only 2.3 million cubic meters in 1980, to almost 21.6 million cubic meters for 1994. Japan's production declined after 1980, from 10.3 million cubic meters in that year to 7.5 million cubic meters in 1994, in part the results of the drastically reduced availability of roundwood non-conifer tropical logs for panel production.
Production of wood based panels for Insular SE Asia also increased dramatically, from only 3.5 million cubic meters in 1980 to over 16 million cubic meters in 1994. This growth was largely the result of the substitution of domestic panel production for the export of unprocessed non-conifer tropical industrial log exports in Indonesia after 1980. Indonesia's wood panel production grew from 1 million cubic meters in 1980 to over 10.5 million cubic meters for 1994, a ten-fold increase. During the time, production of wood based panels in Malaysia increased from 1.1 million cubic meters to 5.1 million cubic meters in 1993, and 4.9 million cubic meters for 1994. Singapore production declined in the region, as did the Philippines. Both countries saw approximately a fifty percent decline in production from 1980-1994 near 350 thousand cubic meters for 1993-94.
Oceania also experienced an increase in wood based panel production, from 1.2 million cubic meters in 1980 to almost 2.2 million cubic meters in 1994. For 1994, both Australia and New Zealand produced approximately 1.1 million cubic meters. Growth in production in Australia has been more modest, however, up from 847 thousand cubic meters in 1980. During this time, New Zealand production grew from 319 thousand cubic meters. Production in the Continental SE Asia sub-region grew to almost 1 million cubic meters, primarily through growing output in Thailand which accounted for 929 thousand cubic meters of the 1994 sub-region total. Production of wood based panels in South Asia has remained more static, ranging between 536 thousand and 568 thousand cubic meters from 1985-94, with the majority of production (estimated at 442 thousand cubic meters) produced in India. Production in Pakistan doubled, from 48 thousand cubic meters in 1980 to some 94 million cubic meters in 1994.
Figure 20. Panel Production for the Asia-Pacific Region
Figure 21. Panel Net Trade for the Asia-Pacific Region by Volume
Table 27. Summary: Wood Based Panels - Production, Imports, Exports and Net Trade by Volume
|
Asia Pacific Region - Summary: Wood-Based Panels Production by Volume (1000 CUM) |
|||||||
|
FAOSTAT |
1980 |
1985 |
1990 |
1991 |
1992 |
1993 |
1994 |
|
South Asia |
327 |
536 |
558 |
561 |
557 |
564 |
568 |
|
Continental Asia |
184 |
233 |
515 |
587 |
549 |
904 |
998 |
|
North Asia |
14,226 |
12,884 |
14,793 |
18,068 |
22,743 |
24,410 |
30,834 |
|
Insular SE Asia |
3,519 |
7,321 |
11,493 |
13,258 |
14,826 |
16,426 |
16,061 |
|
Oceania-S. Pacific |
1,197 |
1,325 |
1,734 |
1,670 |
1,743 |
1,888 |
2,198 |
|
Asia Pacific Total |
19,453 |
22,299 |
29,093 |
34,144 |
40,418 |
44,192 |
50,659 |
|
Asia Pacific Region - Summary: Wood-Based Panels Imports by Volume (1000 CUM) |
|||||||
|
FAOSTAT |
1980 |
1985 |
1990 |
1991 |
1992 |
1993 |
1994 |
|
South Asia |
33 |
20 |
38 |
23 |
40 |
25 |
69 |
|
Continental Asia |
8 |
7 |
50 |
53 |
75 |
57 |
70 |
|
North Asia |
645 |
1,490 |
8,214 |
9,081 |
10,137 |
11,817 |
12,618 |
|
Insular SE Asia |
404 |
753 |
963 |
900 |
788 |
832 |
837 |
|
Oceania-S. Pacific |
106 |
131 |
190 |
199 |
253 |
252 |
252 |
|
Asia Pacific Total |
1,196 |
2,401 |
9,455 |
10,256 |
11,293 |
12,983 |
13,846 |
|
Asia Pacific Region - Summary: Wood Based Panels Exports by Volume (1000 CUM) |
|||||||
|
FAOSTAT |
1980 |
1985 |
1990 |
1991 |
1992 |
1993 |
1994 |
|
South Asia |
13 |
16 |
24 |
24 |
22 |
19 |
44 |
|
Continental Asia |
16 |
29 |
11 |
19 |
51 |
211 |
207 |
|
North Asia |
2,000 |
877 |
1,071 |
959 |
1,066 |
1,013 |
632 |
|
Insular SE Asia |
1,936 |
5,866 |
10,872 |
11,382 |
12,029 |
12,752 |
12,865 |
|
Oceania-S. Pacific |
157 |
97 |
419 |
513 |
622 |
609 |
810 |
|
Asia Pacific Total |
4,122 |
6,885 |
12,397 |
12,897 |
13,790 |
14,604 |
14,558 |
|
Asia Pacific Region - Summary: Wood-Based Panels Net Trade by Volume (1000 CUM) |
|||||||
|
FAOSTAT |
1980 |
1985 |
1990 |
1991 |
1992 |
1993 |
1994 |
|
South Asia |
-20 |
-4 |
-14 |
1 |
-18 |
-6 |
-25 |
|
Continental Asia |
8 |
22 |
-39 |
-34 |
-24 |
154 |
137 |
|
North Asia |
1,355 |
-613 |
-7,143 |
-8,122 |
-9,071 |
-10,804 |
-11,986 |
|
Insular SE Asia |
1,532 |
5,113 |
9,909 |
10,482 |
11,241 |
11,920 |
12,028 |
|
Oceania-S. Pacific |
51 |
-34 |
229 |
314 |
369 |
357 |
558 |
|
Asia Pacific Total |
2,926 |
4,484 |
2,942 |
2,641 |
2,497 |
1,621 |
712 |
The Asia Pacific region had imports of wood based panels of 13.8 million cubic meters in 1994, significantly up from the 1.2 million cubic meters imported in 1980. Most of this increase took place in North Asia, where the increased unavailability of non-conifer tropical industrial roundwood resulted in a decline in production based on imported logs and a corresponding import of wood based panels. Imports by Japan, increased from 315 thousand to over 5.6 million cubic meters; imports by South Korea grew from 17 thousand cubic meters in 1985 to over 1.7 million cubic meters, and imports by China increased from 50 thousand cubic meters (1980) to almost 4.0 million cubic meters. Hong Kong also saw imports increase but more moderately, from 273 thousand cubic meters to 1.3 million cubic meters in 1994. Insular Asia imports of wood based panels more than doubled, from 404 thousand cubic meters to over 837 thousand cubic meters. This trade was primarily by Singapore, but smaller imports were recorded by Malaysia and the Philippines. Continental Asia saw modest imports by Thailand, while South Asia experiences small imports by Sri Lanka.
Wood panel exports also experienced strong growth over the 1980-94 period, but not as rapidly as imports. Export volume was 4.1 million cubic meters for 1980, growing to 12.4 million cubic meters by 1990. Thereafter, growth has been steady but moderate, with exports reaching 14.6 million cubic meters in 1994. As is well recognized, the greatest proportion of wood-base panel exports are from Insular SE Asia, led by Indonesia which increased exports from only 245 thousand cubic meters in 1980 to in excess of 9.2 million cubic meters in 1993 and 8.6 million cubic meters for 1994. Malaysia also experienced increased wood panel exports, from 604 thousand cubic meters in 1980 to over 3.8 million cubic meters for 1994. The Philippines saw exports drop from 435 thousand cubic meters to 58 thousand cubic meters during this period, while Singapore exports declined from a high of 860 thousand cubic meters in 1990 to just 188 thousand cubic meters for 1993 before exports recovered to 348 thousand cubic meters for 1994.
South Asia exports originated in India, with a drop in the modest exports from Bhutan after 1991. Continental Asia exports increased but were modest, with Thailand being the primary source. Thailand's exports were 194 thousand cubic meters for 1993 and declined to 157 thousand cubic meters for 1994. Sub-region exports were 207 thousand cubic meters for 1994.
The above patterns in production and trade resulted in the Asia Pacific Region as a whole being a net volume exporter, although North Asia was a strong net importer. Since 1990, Insular SE Asia has had a net trade surplus which has exceeded North Asia's net volume deficit by a diminishing margin, with 1994 balances almost offsetting. Insular SE Asia enjoyed a positive balance by volume for wood-based panels of just over 12 million cubic meters, while North Asia had a volume deficit of just under 12 million cubic meters. Oceania-S. Pacific had a small but growing positive volume trade balance, reaching 558 thousand cubic meters for 1994. As shown in Figure 22 and Table 28, wood based panel trade by value mirrors closely the volume trade flow. Insular and North Asia have converged with a positive by diminishing balance in favor of Insular SE Asia overall. Insular SE Asia had a positive balance by value of almost US$ 5.6 billion in 1993 and US$ 5.3 billion in 1994, accruing largely to Indonesia (US$ 3.7 billion, 1994) and Malaysia (US$ 1.6 billion, 1994). Oceania has also gained a growing surplus in wood based panel trade by value, overcoming a deficit in 1980 and 1985 moving towards achieving a positive balance of US$ 188.3 thousand for 1994. This net balance accrued primarily to New Zealand and Fiji.
Figure 22. Panel Net Trade for the Asia-Pacific Region by Value
Table 28. Summary: Wood Based Panels Imports, Exports and Net Trade by Value
|
Asia Pacific Region - Summary: Wood-Based Panels Imports by Value (1000 US$) |
|||||||
|
FAOSTAT |
1980 |
1985 |
1990 |
1991 |
1992 |
1993 |
1994 |
|
South Asia |
13,407 |
9,540 |
16,990 |
10,650 |
23,393 |
12,158 |
30,660 |
|
Continental Asia |
2,071 |
1,583 |
21,963 |
26,501 |
42,791 |
35,827 |
44,306 |
|
North Asia |
213,979 |
353,085 |
2,778,285 |
2,914,457 |
3,196,229 |
4,774,128 |
5,168,632 |
|
Insular SE Asia |
103,270 |
77,731 |
201,852 |
260,989 |
289,432 |
231,041 |
320,429 |
|
Oceania-S. Pacific |
51,524 |
49,622 |
87,767 |
79,455 |
103,092 |
99,918 |
121,956 |
|
Asia Pacific Total |
384,251 |
491,561 |
3,106,857 |
3,292,052 |
3,654,937 |
5,153,072 |
5,685,983 |
|
Asia Pacific Region - Summary: Wood-based Panels Exports by Value (1000 US$) |
|||||||
|
FAOSTAT |
1980 |
1985 |
1990 |
1991 |
1992 |
1993 |
1994 |
|
South Asia |
7,164 |
12,000 |
15,917 |
16,739 |
12,718 |
10,560 |
17,873 |
|
Continental Asia |
0 |
0 |
0 |
0 |
0 |
0 |
0 |
|
North Asia |
818,219 |
333,496 |
477,964 |
403,877 |
414,616 |
455,038 |
300,605 |
|
Insular SE Asia |
561,946 |
1,570,910 |
3,450,449 |
4,008,209 |
4,347,586 |
5,798,825 |
5,597,571 |
|
Oceania-S. Pacific |
37,821 |
20,145 |
117,389 |
141,866 |
171,340 |
195,572 |
310,282 |
|
Asia Pacific Total |
1,425,150 |
1,936,551 |
4,061,719 |
4,570,691 |
4,946,260 |
6,459,995 |
6,226,331 |
|
Asia Pacific Region - Summary: Wood-Based Panels Net Trade by Value (1000 US$) |
|||||||
|
FAOSTAT |
1980 |
1985 |
1990 |
1991 |
1992 |
1993 |
1994 |
|
South Asia |
-6,243 |
2,460 |
-1,073 |
6,089 |
-10,675 |
-1,598 |
-12,787 |
|
Continental Asia |
-2,071 |
-1,583 |
-21,963 |
-26,501 |
-42,791 |
-35,827 |
-44,306 |
|
North Asia |
604,240 |
-19,589 |
-2,300,321 |
-2,510,580 |
-2,781,613 |
-4,319,090 |
-4,868,027 |
|
Insular SE Asia |
458,676 |
1,493,179 |
3,248,597 |
3,747,220 |
4,058,154 |
5,567,784 |
5,277,142 |
|
Oceania-S. Pacific |
-13,703 |
-29,477 |
29,622 |
62,411 |
68,248 |
95,654 |
188,326 |
|
Asia Pacific Total |
1,040,899 |
1,444,990 |
954,862 |
1,278,639 |
1,291,323 |
1,306,923 |
540,348 |
The domestic consumption of wood in the Asia Pacific also includes wood fiber utilized in the manufacture of pulp. Together with the use of other non-wood based fibers, this sector provides raw material for the subsequent production of a broad range of paper and paperboard products.
Wood based pulp production in the Asia Pacific region has increased by approximately one third from 1980 to 1994, from 14.4 million metric tons to just over 20.1 million metric tons. The summary of wood pulp production, import, export and net trade by volume is given in Figure 23, Figure 24 and Table 29, and by value for trade in wood pulp in Figure 25 and Table 30. Details by sub-region and country are provided in Appendix 18.
As shown in Table 29, production of wood pulp in North Asia has dominated Asia Pacific region production, although the proportional share from this sub-region has declined. In 1980, North Asia produced over 11.3 million metric tons, or about 79 percent of total Asia Pacific production. North Asia production had increased to 14.2 million metric tons in 1991, then declined to 13.9 million metric tons for 1994, accounting for 69 percent of the regional total. The majority of sub-regional production has been in Japan, which produced an estimated 10.6 million metric tons in 1994, about the average for the 1990's but only slightly above the levels achieved in 1980 and 1985. Growth in the North sub-region production was primarily in China, where production increased by approximately 1 million metric tons between 1985 and 1994, in spite of the severe shortage of wood fiber and the high degree of utilization of non-wood fibers for pulping. South Korea also increased production within the North Asia sub-region, from 167 thousand metric tons in 1980 to 532 thousand metric tons in 1994. Oceania-S. Pacific and South Asia sub-regions were the second and third leading wood pulp producers within the Asia Pacific region, with Oceania producing 2.4 million metric tons and South Asia 2.3 million metric tons in 1994. While the growth in production was small for Oceania, South Asia production effectively doubled from 1980 to 1994. Within Oceania the majority of wood pulp production is in New Zealand (1.4 million MT in 1994) while the balance is produced in Australia (987 thousand MT for 1994). Within South Asia, India is the dominant producer of wood based pulp, with growth from 840 thousand metric tons in 1980 to almost 2.0 million metric tons in 1994. The greatest growth for Indian production took place from 1980 to 1990, with production relatively static during the 1990's.
Figure 23. Pulp Production for the Asia-Pacific Region
Figure 24. Pulp Net Trade for the Asia-Pacific Region by Volume
Table 29. Summary: Wood Pulp Production, Import, Export and Net Trade by Volume
|
Asia Pacific Region - Summary: Wood Pulp Production by Volume (1000 MT) |
|||||||
|
FAOSTAT |
1980 |
1985 |
1990 |
1991 |
1992 |
1993 |
1994 |
|
South Asia |
1,012 |
1,514 |
2,088 |
2,144 |
2,219 |
2,281 |
2,286 |
|
Continental Asia |
10 |
26 |
21 |
46 |
53 |
59 |
123 |
|
North Asia |
11,339 |
11,375 |
13,752 |
14,207 |
13,801 |
13,542 |
13,877 |
|
Insular SE Asia |
190 |
291 |
855 |
903 |
1,185 |
1,498 |
1,513 |
|
Oceania-S. Pacific |
1,819 |
2,054 |
2,261 |
2,387 |
2,306 |
2,369 |
2,350 |
|
Asia Pacific Total |
14,370 |
15,260 |
18,977 |
19,687 |
19,564 |
19,749 |
20,149 |
|
Asia Pacific Region - Summary: Wood Pulp Imports by Volume (1000 MT) |
|||||||
|
FAOSTAT |
1980 |
1985 |
1990 |
1991 |
1992 |
1993 |
1994 |
|
South Asia |
58 |
98 |
154 |
278 |
222 |
242 |
239 |
|
Continental Asia |
80 |
98 |
129 |
187 |
224 |
322 |
283 |
|
North Asia |
3,121 |
3,792 |
4,825 |
5,484 |
5,854 |
6,025 |
7,271 |
|
Insular SE Asia |
184 |
243 |
398 |
443 |
722 |
982 |
1,034 |
|
Oceania-S. Pacific |
285 |
208 |
280 |
198 |
237 |
253 |
240 |
|
Asia Pacific Total |
3,728 |
4,439 |
5,786 |
6,590 |
7,259 |
7,824 |
9,067 |
|
Asia Pacific Region - Summary: Wood Pulp Exports by Volume (1000 MT) |
|||||||
|
FAOSTAT |
1980 |
1985 |
1990 |
1991 |
1992 |
1993 |
1994 |
|
South Asia |
0 |
0 |
0 |
0 |
0 |
1 |
1 |
|
Continental Asia |
0 |
0 |
1 |
26 |
25 |
59 |
57 |
|
North Asia |
133 |
79 |
103 |
101 |
162 |
116 |
58 |
|
Insular SE Asia |
2 |
6 |
142 |
152 |
132 |
119 |
161 |
|
Oceania-S. Pacific |
475 |
428 |
649 |
684 |
649 |
699 |
666 |
|
Asia Pacific Total |
610 |
513 |
895 |
963 |
968 |
994 |
943 |
|
Asia Pacific Region - Summary: Wood Pulp Net Trade by Volume (1000 MT) |
|||||||
|
FAOSTAT |
1980 |
1985 |
1990 |
1991 |
1992 |
1993 |
1994 |
|
South Asia |
-58 |
-98 |
-154 |
-278 |
-222 |
-241 |
-238 |
|
Continental Asia |
-80 |
-98 |
-128 |
-161 |
-199 |
-263 |
-226 |
|
North Asia |
-2,988 |
-3,713 |
-4,722 |
-5,383 |
-5,692 |
-5,909 |
-7,213 |
|
Insular SE Asia |
-182 |
-237 |
-256 |
-291 |
-590 |
-863 |
-873 |
|
Oceania-S. Pacific |
190 |
220 |
369 |
486 |
412 |
446 |
426 |
|
Asia Pacific Total |
-3,118 |
-3,926 |
-4,891 |
-5,627 |
-6,291 |
-6,830 |
-8,124 |
Figure 25. Pulp Net Trade for the Asia-Pacific Region by Value
Table 30. Summary: Wood Pulp Imports, Exports and Net Trade by Value
|
Asia Pacific Region - Summary: Wood Pulp Imports by Value (1000 US$) |
|||||||
|
FAOSTAT |
1980 |
1985 |
1990 |
1991 |
1992 |
1993 |
1994 |
|
South Asia |
25,120 |
45,418 |
68,800 |
130,459 |
117,997 |
75,583 |
94,728 |
|
Continental Asia |
43,682 |
39,947 |
101,657 |
118,889 |
136,737 |
164,190 |
158,871 |
|
North Asia |
1,463,760 |
1,434,697 |
3,161,202 |
2,939,493 |
2,933,316 |
2,397,772 |
3,468,226 |
|
Insular SE Asia |
76,154 |
87,279 |
234,356 |
245,216 |
367,803 |
402,185 |
521,939 |
|
Oceania-S. Pacific |
106,568 |
75,855 |
193,519 |
118,054 |
123,331 |
109,490 |
96,416 |
|
Asia Pacific Total |
1,715,284 |
1,683,196 |
3,759,534 |
3,552,111 |
3,679,184 |
3,149,220 |
4,340,180 |
|
Asia Pacific Region - Summary: Wood Pulp Exports by Value (1000 US$) |
|||||||
|
FAOSTAT |
1980 |
1985 |
1990 |
1991 |
1992 |
1993 |
1994 |
|
South Asia |
0 |
0 |
0 |
0 |
288 |
866 |
899 |
|
Continental Asia |
0 |
0 |
781 |
11,030 |
10,901 |
12,850 |
30,659 |
|
North Asia |
66,600 |
24,905 |
55,971 |
43,405 |
96,208 |
61,293 |
34,940 |
|
Insular SE Asia |
462 |
3,303 |
80,740 |
73,728 |
60,620 |
41,661 |
93,209 |
|
Oceania-S. Pacific |
130,369 |
100,951 |
255,740 |
230,796 |
216,614 |
203,833 |
235,844 |
|
Asia Pacific Total |
197,431 |
129,159 |
393,232 |
358,959 |
384,631 |
320,503 |
395,551 |
|
Asia Pacific Region - Summary: Wood Pulp Net Trade by Value (1000 US$) |
|||||||
|
FAOSTAT |
1980 |
1985 |
1990 |
1991 |
1992 |
1993 |
1994 |
|
South Asia |
-25,120 |
-45,418 |
-68,800 |
-130,459 |
-117,709 |
-74,717 |
-93,829 |
|
Continental Asia |
-43,682 |
-39,947 |
-100,876 |
-107,859 |
-125,836 |
-151,340 |
-128,212 |
|
North Asia |
-1,397,160 |
-1,409,792 |
-3,105,231 |
-2,896,088 |
-2,837,108 |
-2,336,479 |
-3,433,286 |
|
Insular SE Asia |
-75,692 |
-83,976 |
-153,616 |
-171,488 |
-307,183 |
-360,524 |
-428,730 |
|
Oceania-S. Pacific |
23,801 |
25,096 |
62,221 |
112,742 |
93,283 |
94,343 |
139,428 |
|
Asia Pacific Total |
-1,517,853 |
-1,554,037 |
-3,366,302 |
-3,193,152 |
-3,294,553 |
-2,828,717 |
-3,944,629 |
Wood based pulp production has also grown in Insular SE Asia, centered on Indonesia, where production grew from only 190 thousand metric tons in 1980 to 1.5 million metric tons in 1994. Indonesia accounted for almost 1.3 million metric tons, or about 83 percent of the sub-region's output in 1994. The Philippines has maintained production near 150 thousand metric tons annually since 1985, while Malaysia has only reported production for 1993-94, yielding 103 thousand metric tons in 1994. Continental SE Asia has not been a major producer of wood based pulp, yet volume increased from 10 thousand metric tons in 1980 to 123 thousand metric tons in 1994, produced in Thailand and Viet Nam.
Trade in wood-based pulp has been primarily as imports, with the Asia Pacific region as a whole having a growing deficit in trade by volume. In 1994, Asia Pacific had net imports of over 8.1 million metric tons, an increase of over 2.5 times the net imports of 3.1 million metric tons of 1980. Imports were primarily to the North Asia sub-region, in spite of this sub-region being the major Asia Pacific producer. Japan was the largest importer, followed by South Korea and China. Japan imports have grown moderately, to 3.7 million metric tons in 1994, up from 2.2 million metric tons in 1980 and 1985. South Korean imports grew from 465 thousand metric tons in 1980 to 1.9 million metric tons in 1994, an increase of some 400 percent. Growth in China's imports almost mirror that for South Korea, having increased from 449 thousand metric tons in 1980 to 1.7 million metric tons for 1994.
Insular SE Asia has also had a significant upward trend in the import of wood-based pulps, from only 184 thousand metric tons in 1980 to over 1 million metric tons for 1994. Almost all of this growth, and the majority of imports, has been by Indonesia, with imports supplementing that country's leading role within the sub-region as the dominant pulp producer. Imports of pulp by Malaysia, Philippines, and Singapore have remained modest, with only Malaysia showing a doubling of import volume (to 94 thousand metric tons) in recent years.
The moderate exports of wood-based pulps from Asia Pacific are centered in Oceania-S. Pacific, where New Zealand has maintained exports averaging about 650 thousand cubic meters over the 1990's, with an export volume of 666 thousand metric tons in 1994. Insular SE Asia exports are led by Indonesia, with an export volume of 119 thousand metric tons in 1994 or only about 14 percent of the corresponding import volume for Indonesia.
As would be expected from the trends in volume of production and trade for wood-based pulps, the Asia Pacific region has a growing value deficit as well. As shown in Table 30, this deficit reached almost US$ 4 billion for 1994, well above the deficits of US$ 1.5 billion for 1980 and 1985. As with volume, North Asia accounts for both the greatest share of imports by value as well as the largest contribution to the overall Asia Pacific regional deficit. Only Oceania-S. Pacific has a positive trade balance for wood pulps.
Wood-based pulps, together with other pulp fibers (including recycled wood fiber) constitute the basic raw material for the production of a wide variety of paper and paperboard products, including newsprint, printing and writing papers, and sanitary papers as primary products along with paperboards for carton stocks and other industrial uses. The Asia Pacific region has more than doubled the aggregate production of these items since 1980, up from a total of 31 million metric tons to over 75.5 million metric tons by 1994 (Figure 26 and Table 31). As with wood-based pulps, production of paper and paperboard in largely centered in the North Asia sub-region, where both Japan and China are major producers (Appendix 19). While Japan has maintained production at near 28.5 million metric tons since 1990, China has experienced an increase of nearly 10 million metric tons over this period, reaching a production of 26.9 million metric tons in 1994. South Korea has also had increased production, with a growth from 1.7 million metric tons in 1980 to over 6.4 million metric tons in 1994.
Insular SE Asia is the second leading producer sub-region for paper and paperboard, closely followed by the South Asia and Oceania-S. Pacific sub-regions. Insular SE Asia production has doubled since 1990, reaching over 4.2 million metric tons in 1994. Indonesia was the leading producer, at over 3 million metric tons, followed by Magnesia (574 thousand metric tons) and the Philippines (518 thousand metric tons). South Asia has seen an increase in production of paper and paperboard from 1.1 million metric tons to over 3.2 million metric tons from 1980 to 1994, led by India where production was 2.6 million metric tons in 1994. This was up only moderately from 1990, but almost a three-fold increase from 1980. Production in Oceania-S. Pacific was concentrated in Australia, where production has increased only moderately since 1990. Sub-region production grew from 2.1 million metric tons 1980 to 2.8 million metric tons in 1990, thereafter staying near this level and reaching 3.1 million metric tons for 1994. New Zealand production has also remained relatively flat, at about 825 thousand metric tons since 1990, reaching a high of 860 thousand metric tons in 1994.
Continental SE Asia is the smallest producer sub-region for paper and paperboard products in the Asia Pacific Region, with a modest but expanding production. This sub-region achieved an output of 1.8 million metric tons in 1994, almost double the level for 1990 and well above the 385 thousand metric tons produced in 1980. As with wood pulp, the sub-region was dominated by paper and paperboard production in Thailand which accounted for 1.7 million metric tons in 1994 or 92 percent of the sub-region total.
As shown in Figure 27, the Asia Pacific region has experienced a growing deficit by volume for paper and paperboard products, reaching 7 million metric tons for 1994. Imports have grown from 4.1 million metric tons in 1980 to almost 14 million metric tons for 1994. North Asia, Insular SE Asia and Oceania-S. Pacific sub-regions have accounted for the greatest share of rising imports.
Figure 26. Paper Production for the Asia-Pacific Region
Figure 27. Paper Net Trade for the Asia-Pacific Region by Volume
Table 31. Summary: Paper & Paperboard Production, Import, Export and Net Trade by Volume
|
Asia Pacific Region - Summary: Paper & Paperboard Production by Volume (1000 MT) |
|||||||
|
FAOSTAT |
1980 |
1985 |
1990 |
1991 |
1992 |
1993 |
1994 |
|
South Asia |
1,119 |
1,768 |
2,535 |
2,701 |
2,893 |
3,180 |
3,233 |
|
Continental Asia |
385 |
541 |
950 |
1,077 |
1,276 |
1,450 |
1,807 |
|
North Asia |
26,732 |
34,098 |
50,100 |
52,695 |
53,957 |
57,696 |
62,138 |
|
Insular SE Asia |
668 |
831 |
2,038 |
2,606 |
3,554 |
3,877 |
4,243 |
|
Oceania-S. Pacific |
2,104 |
2,316 |
2,768 |
2,833 |
2,728 |
2,875 |
3,092 |
|
Asia Pacific Total |
31,008 |
39,554 |
58,391 |
61,912 |
64,408 |
69,078 |
74,513 |
|
Asia Pacific Region - Summary: Paper & Paperboard Imports by Volume (1000 MT) |
|||||||
|
FAOSTAT |
1980 |
1985 |
1990 |
1991 |
1992 |
1993 |
1994 |
|
South Asia |
429 |
467 |
394 |
552 |
647 |
519 |
634 |
|
Continental Asia |
168 |
227 |
374 |
416 |
578 |
627 |
585 |
|
North Asia |
1,925 |
2,630 |
4,575 |
5,380 |
6,901 |
7,642 |
9,109 |
|
Insular SE Asia |
857 |
978 |
1,633 |
1,859 |
2,112 |
1,658 |
2,410 |
|
Oceania-S. Pacific |
764 |
919 |
1,050 |
910 |
1,027 |
1,169 |
1,232 |
|
Asia Pacific Total |
4,143 |
5,221 |
8,026 |
9,117 |
11,265 |
11,615 |
13,970 |
|
Asia Pacific Region - Summary: Paper & Paperboard Exports by Volume (1000 MT) |
|||||||
|
FAOSTAT |
1980 |
1985 |
1990 |
1991 |
1992 |
1993 |
1994 |
|
South Asia |
23 |
19 |
13 |
27 |
36 |
3 |
25 |
|
Continental Asia |
15 |
8 |
61 |
50 |
74 |
123 |
186 |
|
North Asia |
1,111 |
1,405 |
2,885 |
3,832 |
4,493 |
4,128 |
4,952 |
|
Insular SE Asia |
62 |
119 |
477 |
685 |
801 |
876 |
1,111 |
|
Oceania-S. Pacific |
418 |
353 |
499 |
542 |
640 |
689 |
645 |
|
Asia Pacific Total |
1,629 |
1,904 |
3,935 |
5,136 |
6,044 |
5,819 |
6,919 |
|
Asia Pacific Region - Summary: Paper & Paperboard Net Trade by Volume (1000 MT) |
|||||||
|
FAOSTAT |
1980 |
1985 |
1990 |
1991 |
1992 |
1993 |
1994 |
|
South Asia |
-406 |
-448 |
-381 |
-525 |
-611 |
-516 |
-609 |
|
Continental Asia |
-153 |
-219 |
-313 |
-366 |
-504 |
-504 |
-399 |
|
North Asia |
-814 |
-1,225 |
-1,690 |
-1,548 |
-2,408 |
-3,514 |
-4,157 |
|
Insular SE Asia |
-795 |
-859 |
-1,156 |
-1,174 |
-1,311 |
-782 |
-1,299 |
|
Oceania-S. Pacific |
-346 |
-566 |
-551 |
-368 |
-387 |
-480 |
-587 |
|
Asia Pacific Total |
-2,514 |
-3,317 |
-4,091 |
-3,981 |
-5,221 |
-5,796 |
-7,051 |
China and Hong Kong are the leading importers in North Asia, with imports of 4 million and 3 million metric tons in 1994 respectively. Japan is an important importer, at 1.4 million metric tons for 1994 but with relatively slow growing imports since 1990. China was the fastest growing importer, from 1.4 million metric tons in 1990 to the 4 million metric tons imported in 1994.
Insular SE Asia imports have been led by Singapore and Malaysia, which have experienced nearly equal trends since 1980. Sub-region imports increased from 857 thousand metric tons in 1980 to 2.4 million metric tons in 1994. Singapore accounted for 910 million metric tons, while Malaysia imported 878 thousand metric tons in 1994, both representing an increase of over three times levels of imports in 1980. Oceania, as the third leading importing sub-region, saw imports of paper and paperboard almost double since 1980, from 764 thousand metric tons to over 1.2 million metric tons. Imports were heavily dominated by Australia, accounting for over 1 million metric tons in 1994.
Exports of paper and paperboard have averaged about half the level of imports for the Asia Pacific region 1990, totaling 6.9 million metric tons in 1994. Almost 5 million metric tons were exported from North Asia, primarily by China (1.2 million MT), Hong Kong (1.5 million MT), and South Korea (1.3 million MT). Hong Kong and South Korea exports were up significantly from 1990, while China's exports grew more modestly. Japan experienced declining exports of 977 thousand metric tons in 1994 after a high of 1.2 million metric tons exported in 1992. Insular SE Asia was the second leading sub-region in terms of exports of paper and paperboard, with sub-region exports of 1.1 million metric tons in 1994, slightly more than double the level of exports for 1990. Most of the exports were from Indonesia (696 thousand metric tons in 1994) followed by Singapore (325 thousand metric tons, 1994). Indonesia was the only net exporter by volume for paper and paperboard products within this sub-region.
Although much smaller in volume, exports from Continental SE Asia grew by a factor of three from 1990, reaching 186 thousand metric tons in 1994 which was still well below imports. Most exports originated in Thailand, where exports expanded from 52 thousand metric tons in 1990 to 183 thousand metric tons for 1994. In spite of this trend, Thailand has remained the largest net importer of paper and paperboard within the sub-region. South Asia is not a significant exporter of paper and paperboard, with occasional exports from India determining the sub-region's total.
Trade in paper and paperboard products by value is summarized in Figure 28 and Table 32, and closely reflects the trends in trade by volume. All sub-regions of Asia Pacific are net importers by value, with a deficit of US$ 4.5 billion for 1994, up significantly from US$ 1.5 billion in 1980 and US$ 3.1 billion for 1990. North Asia, followed by Insular SE Asia and Oceania are the largest net importers by value. China, Hong Kong, Malaysia and Australia are the primary net importers. Virtually all of Oceania-S. Pacific are net importers with the exception of New Zealand. South Asia, including India, Pakistan, Bangladesh, and Sri Lanka, continue to experience growing deficits in paper and paperboard trade by value.
Figure 28. Paper Net Trade for the Asia-Pacific Region by Value
Table 32. Summary: Paper & Paperboard Import, Export and Net Trade by Value
|
Asia Pacific Region - Summary: Paper & Paperboard Imports by Value (1000 US$) |
|||||||
|
FAOSTAT |
1980 |
1985 |
1990 |
1991 |
1992 |
1993 |
1994 |
|
South Asia |
229,787 |
275,814 |
354,181 |
403,445 |
436,093 |
315,168 |
400,889 |
|
Continental Asia |
111,980 |
144,162 |
325,834 |
343,578 |
463,649 |
439,207 |
575,161 |
|
North Asia |
1,355,803 |
1,608,763 |
3,586,300 |
3,881,247 |
4,645,848 |
4,634,783 |
5,847,000 |
|
Insular SE Asia |
493,691 |
570,003 |
1,288,452 |
1,407,575 |
1,442,300 |
1,064,653 |
1,599,845 |
|
Oceania-S. Pacific |
474,521 |
597,052 |
1,008,369 |
912,290 |
982,988 |
1,061,565 |
1,156,827 |
|
Asia Pacific Total |
2,665,782 |
3,195,794 |
6,563,136 |
6,948,135 |
7,970,878 |
7,515,376 |
9,579,722 |
|
Asia Pacific Region - Summary: Paper & Paperboard Exports by Value (1000 US$) |
|||||||
|
FAOSTAT |
1980 |
1985 |
1990 |
1991 |
1992 |
1993 |
1994 |
|
South Asia |
11,933 |
9,004 |
11,908 |
19,750 |
28,163 |
3,155 |
14,912 |
|
Continental Asia |
9,763 |
8,678 |
53,113 |
53,412 |
64,490 |
73,590 |
162,821 |
|
North Asia |
927,090 |
981,864 |
2,690,163 |
3,299,977 |
3,760,947 |
3,146,218 |
3,741,712 |
|
Insular SE Asia |
35,033 |
110,886 |
413,299 |
492,993 |
541,645 |
524,775 |
785,074 |
|
Oceania-S. Pacific |
172,114 |
150,074 |
274,543 |
295,099 |
344,104 |
342,047 |
361,690 |
|
Asia Pacific Total |
1,155,933 |
1,260,506 |
3,443,026 |
4,161,231 |
4,739,349 |
4,089,785 |
5,066,209 |
|
Asia Pacific Region - Summary: Paper & Paperboard Net Trade by Value (1000 US$) |
|||||||
|
FAOSTAT |
1980 |
1985 |
1990 |
1991 |
1992 |
1993 |
1994 |
|
South Asia |
-217,854 |
-266,810 |
-342,273 |
-383,695 |
-407,930 |
-312,013 |
-385,977 |
|
Continental Asia |
-102,217 |
-135,484 |
-272,721 |
-290,166 |
-399,159 |
-365,617 |
-412,340 |
|
North Asia |
-428,713 |
-626,899 |
-896,137 |
-581,270 |
-884,901 |
-1,488,565 |
-2,105,288 |
|
Insular SE Asia |
-458,658 |
-459,117 |
-875,153 |
-914,582 |
-900,655 |
-539,878 |
-814,771 |
|
Oceania-S. Pacific |
-302,407 |
-446,978 |
-733,826 |
-617,191 |
-638,884 |
-719,518 |
-795,137 |
|
Asia Pacific Total |
-1,509,849 |
-1,935,288 |
-3,120,110 |
-2,786,904 |
-3,231,529 |
-3,425,591 |
-4,513,513 |